Application of Elastic Wave Velocity for Estimation of Soil Depth
Abstract
:1. Introduction
2. Testing Site
2.1. Site Description
2.2. Soil Classification
3. Methodology
3.1. Seismic Survey
3.2. Dynamic Cone Penetrometer Test
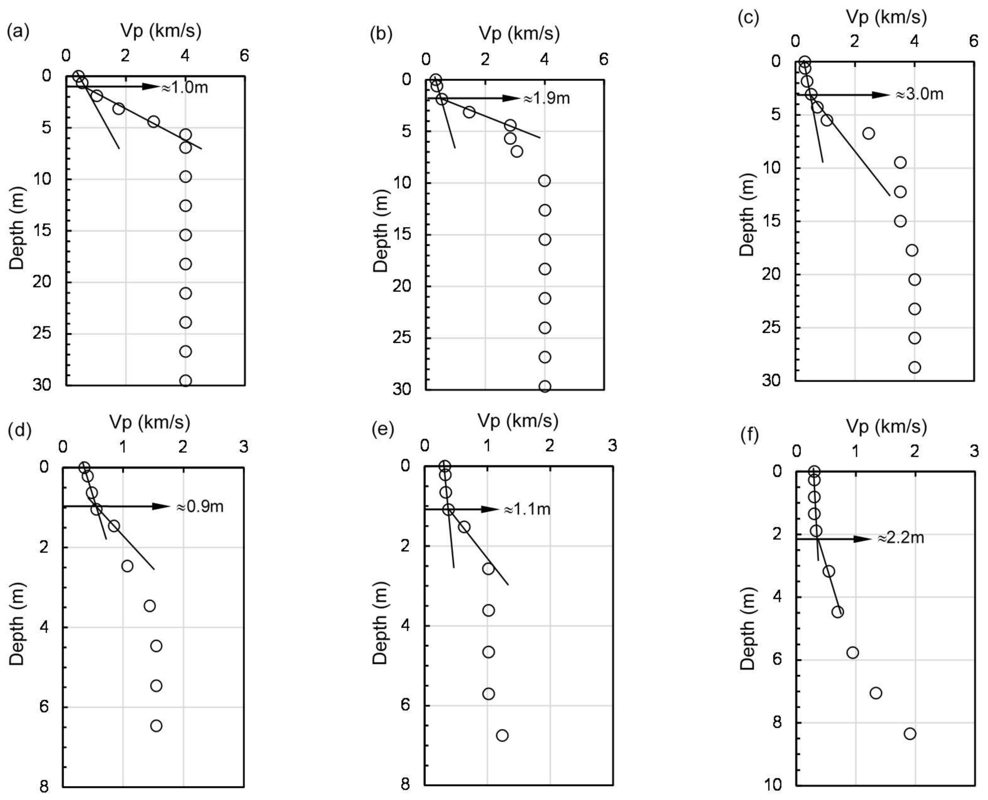
4. Results and Analysis
5. Discussion
6. Conclusions
- The estimated soil depth using the soil classification based on the reference P-wave velocity shows high variation and high soil depth compared with that based on dynamic cone penetration test, reflecting the estimation of soil depth based on the reference wave velocity is not reliable.
- The seismic wave velocity slightly increases with depth even in one layer and it changes rapidly at layer boundaries. Because the graphical bilinear method newly suggested in this study is based on the change in the slope between wave velocity and depth, the estimated soil depths using the suggested method are comparable with the measured values by dynamic cone test, reflecting the enhanced reliability in estimating soil depth by seismic survey.
Acknowledgments
Author Contributions
Conflicts of Interest
References
- Kamatchi, P.; Rajasankar, J.; Iyer, N.R.; Lakshmanan, N.; Ramana, G.V.; Nagpal, A.K. Effect of depth of soil stratum on performance of buildings for site-specific earthquakes. Soil Dyn. Earthq. Eng. 2010, 30, 647–661. [Google Scholar] [CrossRef]
- Francés, A.P.; Lubczynski, M.W. Topsoil thickness prediction at the catchment scale by integration of invasive sampling, surface geophysics, remote sensing and statistical modeling. J. Hydrol. 2011, 405, 31–47. [Google Scholar] [CrossRef]
- Ho, J.Y.; Lee, K.T.; Chang, T.C.; Wang, Z.Y.; Liao, Y.H. Influences of spatial distribution of soil thickness on shallow landslide prediction. Eng. Geol. 2012, 124, 38–46. [Google Scholar] [CrossRef]
- Adhikary, S.; Singh, Y.; Paul, D.K. Effect of soil depth on inelastic seismic response of structures. Soil Dyn. Earthq. Eng. 2014, 61, 13–28. [Google Scholar] [CrossRef]
- Bao, X.; Liao, W.; Dong, Z.; Wang, S.; Tang, W. Development of Vegetation-Pervious Concrete in Grid Beam System for Soil Slope Protection. Materials 2017, 10, 96. [Google Scholar] [CrossRef] [PubMed]
- Han, Z.; Wang, Y.; Qing, X. Characteristics Study of In-Situ Capacitive Sensor for Monitoring Lubrication Oil Debris. Sensors 2017, 17, 2851. [Google Scholar] [CrossRef] [PubMed]
- Heimsath, A.M.; Dietrich, W.E.; Nishiizumi, K.; Finkel, R.C. Cosmogenic nuclides, topography, and the spatial variation of soil depth. Geomorphology 1999, 27, 151–172. [Google Scholar] [CrossRef]
- Kuriakose, S.L.; Devkota, S.; Rossiter, D.G.; Jetten, V.G. Prediction of soil depth using environmental variables in an anthropogenic landscape, a case study in the Western Ghats of Kerala, India. Catena 2009, 79, 27–38. [Google Scholar] [CrossRef]
- Trustrum, N.A.; De Rose, R.C. Soil depth-age relationship of landslides on deforested hillslopes, Taranaki, New Zealand. Geomorphology 1988, 1, 143–160. [Google Scholar] [CrossRef]
- Kirkby, M.J. A model for the evolution of regolith-mantled slopes. In Models Geomorphology; Allen and Unwin: London, UK, 1985; pp. 213–237. [Google Scholar]
- Dietrich, W.E.; Reiss, R.; Hsu, M.L.; Montgomery, D.R. A process-based model for colluvial soil depth and shallow landsliding using digital elevation data. Hydrol. Process. 1995, 9, 383–400. [Google Scholar] [CrossRef]
- Gallipoli, M.; Lapenna, V.; Lorenzo, P.; Mucciarelli, M.; Perrone, A.; Piscitelli, S.; Sdao, F. Comparison of geological and geophysical prospecting techniques in the study of a landslide in southern Italy. Eur. J. Environ. Eng. Geophys. 2000, 4, 117–128. [Google Scholar]
- De Vita, P.; Agrello, D.; Ambrosino, F. Landslide susceptibility assessment in ash-fall pyroclastic deposits surrounding Mount Somma-Vesuvius: Application of geophysical surveys for soil thickness mapping. J. Appl. Geophys. 2006, 59, 126–139. [Google Scholar] [CrossRef]
- Min, D.H.; Park, C.H.; Lee, J.S.; Yoon, H.K. Estimating Soil Thickness in a Debris Flow using Elastic Wave Velocity. J. Eng. Geol. 2016, 26, 143–152. [Google Scholar] [CrossRef]
- Standard Test Method for Sieve Analysis of Fine and Coarse Aggregates; ASTM, C136; ASTM: West Conshohocken, PA, USA, 1984.
- Mohammadi, S.D.; Nikoudel, M.R.; Rahimi, H.; Khamehchiyan, M. Application of the Dynamic Cone Penetrometer (DCP) for determination of the engineering parameters of sandy soils. Eng. Geol. 2008, 101, 195–203. [Google Scholar] [CrossRef]
- Brough, M.; Stirling, A.; Ghataora, G.; Madelin, K. Evaluation of railway trackbed and formation: A case study. NDT & E Int. 2003, 36, 145–156. [Google Scholar]
- Salgado, R.; Yoon, S. Dynamic cone penetration test (DCPT) for subgrade assessment. Jt. Transp. Res. Program 2003, 73, 20–28. [Google Scholar]
- Standard Test Method for Use of the Dynamic Cone Penetrometer in Shallow Pavement Applications; ASTM D6951/D6951M-09; ASTM: West Conshohocken, PA, USA, 2015.
- Reynolds, J.M. An Introduction to Applied and Environmental Geophysics; Wiley: New York, NY, USA, 2003. [Google Scholar]
- Lee, K.M.; Kim, H.; Lee, J.H.; Seo, Y.S.; Kim, J.S. Analysis on the Influence of Groundwater Level Changes on Slope Stability using a Seismic Refraction Survey in a Landslide Area. J. Eng. Geol. 2007, 17, 545–554. [Google Scholar]
- Hong, W.P.; Kim, J.H.; Ro, B.D.; Jeong, G.C. Case Study on Application of Geophysical Survey in the Weathered Slope including Core Stones. J. Eng. Geol. 2009, 19, 89–98. [Google Scholar]











| Position | Soil Depth (m) | Error Ratio (%) | ||||
|---|---|---|---|---|---|---|
| Measured | Estimated | |||||
| Dynamic Cone Test | Reference P-Wave Velocity | Graphical Bilinear Method | Reference P-Wave Velocity | Graphical Bilinear Method | ||
| BTS | 1 | 1.1 | 2.3 | 1.1 | 109.1 | 0.0 |
| 2 | 0.8 | 2.0 | 0.8 | 150.0 | 0.0 | |
| 3 | 1.0 | 1.8 | 1.0 | 80.0 | 0.0 | |
| 4 | 0.4 | 1.9 | 0.5 | 375.0 | 25.0 | |
| 5 | 0.5 | 1.4 | 0.6 | 180.0 | 20.0 | |
| 6 | 0.2 | 1.8 | 0.5 | 800.0 | 150.0 | |
| 7 | 0.6 | 1.4 | 0.5 | 133.3 | 16.7 | |
| 8 | 0.7 | 2.4 | 1.0 | 242.9 | 42.9 | |
| 9 | 1.9 | 5.6 | 1.9 | 194.7 | 0.0 | |
| 10 | Over 2.0 | 3.5 | 3.0 | - | - | |
| Average | 251.7 | 28.2 | ||||
| BS | 1 | 0.2 | 1.7 | 0.2 | 750.0 | 0.0 |
| 2 | 0.9 | 1.4 | 0.9 | 55.6 | 0.0 | |
| 3 | 1.0 | 3.4 | 1.2 | 240.0 | 20.0 | |
| Average | 348.5 | 6.6 | ||||
| MS | 1 | 1.1 | 2.4 | 1.0 | 118.2 | 9.1 |
| 2 | 0.8 | 2.6 | 0.9 | 225.0 | 12.5 | |
| 3 | 1.0 | 2.4 | 1.1 | 140.0 | 10.0 | |
| Average | 161.1 | 10.5 | ||||
| TS | 1 | 0.4 | 4.4 | 0.6 | 1000.0 | 50.0 |
| 2 | 1.9 | 5.2 | 2.2 | 173.7 | 15.8 | |
| 3 | 0.9 | 4.2 | 0.9 | 366.7 | 0.0 | |
| Average | 513.5 | 21.9 | ||||
© 2018 by the authors. Licensee MDPI, Basel, Switzerland. This article is an open access article distributed under the terms and conditions of the Creative Commons Attribution (CC BY) license (http://creativecommons.org/licenses/by/4.0/).
Share and Cite
Choo, H.; Jun, H.; Yoon, H.-K. Application of Elastic Wave Velocity for Estimation of Soil Depth. Appl. Sci. 2018, 8, 600. https://doi.org/10.3390/app8040600
Choo H, Jun H, Yoon H-K. Application of Elastic Wave Velocity for Estimation of Soil Depth. Applied Sciences. 2018; 8(4):600. https://doi.org/10.3390/app8040600
Chicago/Turabian StyleChoo, Hyunwook, Hwandon Jun, and Hyung-Koo Yoon. 2018. "Application of Elastic Wave Velocity for Estimation of Soil Depth" Applied Sciences 8, no. 4: 600. https://doi.org/10.3390/app8040600
APA StyleChoo, H., Jun, H., & Yoon, H.-K. (2018). Application of Elastic Wave Velocity for Estimation of Soil Depth. Applied Sciences, 8(4), 600. https://doi.org/10.3390/app8040600
