Modeling Organizational Resilience in Human-Cyber-Physical Systems (Industry 5.0) Through Collective Dynamics, Decision Scenarios and Crisis-Aware AI: A Multi-Method Simulation Approach
Abstract
1. Introduction
- This study pursues three specific research objectives aligned with the challenges of Industry 5.0 organizational resilience: To quantitatively compare organizational resilience across decision-making paradigms by evaluating baseline performance, crisis throughput, and recovery dynamics in centralized, distributed, and self-organized structures under identical disruption conditions;
- To identify the mechanisms through which crisis-aware AI enhances organizational resilience, distinguishing between direct performance effects and indirect coordination effects such as coalition formation and workload redistribution;
- To assess the validity of absolute, capacity-normalized resilience metrics in comparison with traditional proportional measures, examining their ability to produce rankings consistent with operational viability during disruptions.
2. Literature Review
2.1. Organizational Resilience: Concepts and Frameworks
2.2. Decision-Making Paradigms in Organizations
2.3. Artificial Intelligence in Manufacturing Systems
2.4. Multi-Agent Systems and Emergent Coordination
2.5. Research Positioning and Gap Synthesis
3. Materials and Methods
3.1. Simulation Framework
- complexity Tj ∈ [3, 12],
- deadline dj ∈ [5, 15] time steps,
- resource requirement Rj ∈ [2, 8] units.
3.2. Agent Types and Behavioral Rules
3.2.1. Worker Agents
- skill level Si~U(0.2,0.7), representing technical proficiency,
- capacity Ci~U(3,10), representing maximum concurrent workload,
- cooperation propensity θi~U(0.4,0.9), representing willingness to form coalitions [50].
- Perception: updating task progress and completion status;
- Decision: selecting tasks and potential partners via a paradigm-specific rule;
- Action: performing individual work or coalition work;
- Learning: updating cooperation propensity based on outcomes.
- Skill match:
- Value:
- Feasibility:
- Urgency:
3.2.2. Manager Agents
- a coordination efficiency ηm ~ U (0.6,0.95), influencing decision quality;
- a fixed set of subordinate workers Sm.
3.2.3. AI Assistant Agents
- average workload, w, in the agent’s domain;
- workload standard deviation, σw within the domain;
- current resource availability, Ravailable (assumed publicly visible via centralized inventory systems or MES integration);
- number of pending tasks, |Q| (tasks assigned to or visible to domain workers);
- recent throughput, ∑Vcompleted summed over domain workers only.
- NO_AI: AI agents are not present; workers operate solely based on local rules;
- AI_SIMPLE: AI agents are active and use the same Q-learning architecture, but with a single, stationary reward function focused on improving throughput and workload balance, without an explicit crisis mode;
- AI_CRISIS: AI agents are active and use a crisis-aware reward function that changes when resource scarcity is detected.
- denotes the incremental throughput achieved within the agent’s domain at time step ;
- captures workload equity, defined as:
- penalizes excessive queue growth:
- penalizes systematic worker overcommitment:
- rewards maintaining throughput above 50% of the pre-crisis baseline;
- penalizes short-term volatility, defined as:
- penalizes short-term volatility, defined as:
- in baseline periods, Padopt = 0.5 + 0.3θi (approximately 50–80%);
- in crisis periods, Padopt = 0.85 + 0.15θi (approximately 85–100%).
3.3. Decision-Making Paradigms
3.4. Disruption Protocol
3.5. Resilience Metrics
- Pduring is the mean throughput (tasks completed per step) during the disruption window;
- Pmax = 12 tasks/step is the maximum expected throughput (empirical upper bound across simulations);
- Trecovery is the number of steps required until performance reaches or exceeds a fixed threshold of 7.0 tasks/step for at least three consecutive steps;
- τ = 10 is a time-scaling constant.
3.6. Data Collection and Statistical Analysis
- instantaneous task completions per step;
- cumulative number of completed tasks;
- average workload ratio (workload divided by capacity);
- current resource availability;
- queue size (number of pending tasks);
- network density and clustering coefficient;
- number of coalitions formed per step.
- Sensitivity validation: Section 5.3 demonstrates that qualitative findings (paradigm rankings, AI benefits) persist across parameter perturbations (±20% utility weights, 6.0–8.0 recovery thresholds, 40–80% disruption severity), confirming structural rather than parametric dependencies.
- Cross-model validation: Results align with theoretical predictions from organizational literature. Centralized bottlenecks replicate Simon’s [19] predictions; distributed coordination failures align with Thompson’s [32] interdependence theory; self-organized resilience matches Heylighen’s [21] findings on distributed problem-solving.
4. Results
4.1. Baseline Performance Under Stable Conditions
- autonomous task selection, which enables improved matching between individual skills and task requirements, reducing backlog (≈445 tasks);
- intensive coalition formation (≈5.53 coalitions/step), which enables the execution of tasks exceeding individual capacity.
4.2. Baseline Effect of AI in Self-Organized Systems
4.3. Crisis Response Under Resource Disruption
4.4. Recovery Trajectories After Disruption
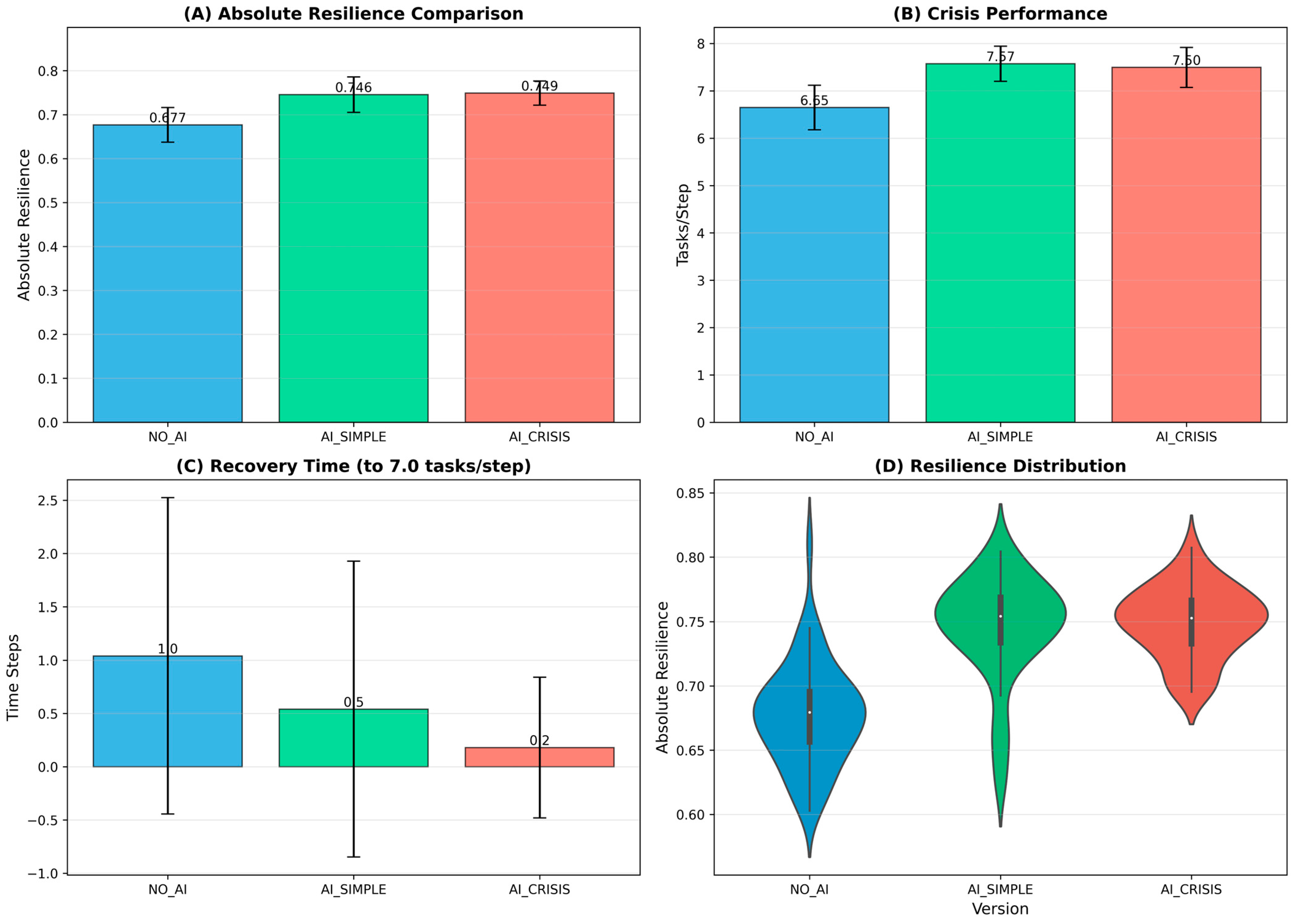
4.5. Absolute Resilience and AI Impact in Self-Organized Systems
4.6. Coalition Dynamics and Network-Level Adaptation
5. Discussion
5.1. Theoretical Implications
5.1.1. Organizational Structure and Resilience Mechanisms
5.1.2. AI as Metacognitive Enhancement vs. Centralized Control
5.1.3. Resilience Measurement Bias and Metric Selection
5.1.4. Emergent Coordination Mechanisms
5.2. Practical Implications for Industry 5.0
- Automotive assembly: Emphasize station-level autonomy within takt-time constraints; coalition formation for quality escalations
- Semiconductor fabrication: Balance autonomy with cleanroom protocols; crisis AI focused on yield preservation during material shortages
- Pharmaceutical manufacturing: Regulatory compliance boundaries within which self-organization operates; crisis mode for batch prioritization under API scarcity
- Custom machinery: Project-based coalition formation; AI assists in skill-task matching for one-off orders
5.3. Limitations and Future Research
Sensitivity Analysis and Robustness
- Skill distribution: Worker skill range [0.2, 0.7] was extended to [0.2, 0.9] to include “master” level workers (10% of workforce with Si > 0.8). Centralized throughput increased modestly (4.55 → 5.12 tasks/step, +12.5%) as executives could leverage high-skill workers, but self-organized systems maintained superiority (9.28 → 9.61 tasks/step, +3.6%), confirming that structural bottlenecks rather than skill ceilings drive centralized underperformance. ANOVA comparing paradigms remained highly significant (p < 0.001) under both skill distributions.
- Utility function weights: Alternative weight configurations were tested: urgency-prioritizing (w = 0.1/0.3/0.2/0.4), equal weights (w = 0.25 each), and feasibility-heavy (w = 0.2/0.3/0.4/0.1). Self-organized systems maintained superior throughput across all configurations (range: 8.9–9.7 tasks/step), though urgency-prioritizing workers induced +18% workload volatility (standard deviation increased from 0.08 to 0.15). Paradigm rankings remained unchanged (p < 0.001), with Spearman rank correlation ρ > 0.96 across all weight schemes.
- Centralized manager capacity: Executive processing limits were varied from 10 to 50 tasks/step. Centralized throughput scaled sublinearly: 10 tasks/step → 4.2 tasks/step, 15 → 4.55, 30 → 6.2, 50 → 7.8. Performance asymptoted near distributed levels (6.55 tasks/step) at 50 tasks/step but remained below self-organized (9.28 tasks/step), confirming that centralized underperformance stems from concentration of authority (structural bottleneck) rather than specific numerical processing limits. This finding validates the 15-task limit as representative of bounded rationality constraints without artificially handicapping centralized structures.
- Resilience metric exponents: Reversing throughput-recovery weights to (0.4 throughput, 0.6 recovery) or equalizing (0.5 each) altered absolute resilience scores by <8% but preserved rankings (self-organized > distributed > centralized, correlation ρ > 0.94) and AI superiority (AI_CRISIS > NO_AI, p < 0.001 under all formulations). This robustness indicates that the qualitative advantage of self-organized structures and crisis-aware AI does not depend on specific exponent calibration.
- Disruption severity: Varying resource reduction from 20% to 80% capacity loss produced proportional throughput drops but identical paradigm rankings. At 20% reduction, self-organized systems retained 85% throughput vs. 78% for distributed and 88% for centralized; at 80% reduction, retention values were 45%, 38%, and 52%, respectively. The absolute resilience hierarchy remained unchanged across all severity levels (p < 0.001, ANOVA). Coalition formation rates increased monotonically with disruption severity in self-organized systems (from 5.5 at 20% to 12.3 at 80%), demonstrating adaptive intensification of collaboration under stress.
- Organizational scale: Simulations with 50 agents (35 workers, 12 managers, 3 AI) and 200 agents (140 workers, 50 managers, 10 AI) produced qualitatively identical findings. Throughput scaled approximately linearly with workforce size (self-organized: 4.6, 9.3, 18.5 tasks/step for N = 50, 100, 200), while paradigm performance ratios remained stable (self-organized/centralized ≈ 2.0–2.1 across scales). This suggests that results generalize across realistic manufacturing cell sizes (10–250 workers) commonly observed in Industry 4.0/5.0 settings.
6. Conclusions
Supplementary Materials
Author Contributions
Funding
Institutional Review Board Statement
Informed Consent Statement
Data Availability Statement
Conflicts of Interest
Abbreviations
| ABM | Agent based modeling |
| AI | Artificial intelligence |
| HCPS | Human-cyber-physical systems |
| MARL | Multi-agent reinforcement learning |
| MES | Manufacturing execution systems |
| ML | Machine learning |
| RL | Reinforcement learning |
References
- Xu, X.; Lu, Y.; Vogel-Heuser, B.; Wang, L. Industry 4.0 and Industry 5.0—Inception, conception and perception. J. Manuf. Syst. 2021, 61, 530–535. [Google Scholar] [CrossRef]
- Breque, M.; De Nul, L.; Petridis, A. Industry 5.0: Towards a Sustainable, Human-Centric and Resilient European Industry; European Commission, Directorate-General for Research and Innovation: Brussels, Belgium, 2021. [Google Scholar]
- Leng, J.; Sha, W.; Wang, B.; Zheng, P.; Zhuang, C.; Liu, Q.; Wuest, T.; Mourtzis, D.; Wang, L. Industry 5.0: Prospect and retrospect. J. Manuf. Syst. 2022, 65, 279–295. [Google Scholar] [CrossRef]
- Ivanov, D. Viable supply chain model: Integrating agility, resilience and sustainability perspectives—Lessons from and thinking beyond the COVID-19 pandemic. Ann. Oper. Res. 2020, 319, 1411–1431. [Google Scholar] [CrossRef]
- Dolgui, A.; Ivanov, D.; Sokolov, B. Reconfigurable supply chain: The X-network. Int. J. Prod. Res. 2020, 58, 4138–4163. [Google Scholar] [CrossRef]
- McKinsey & Company. The Semiconductor Decade: A Trillion-Dollar Industry. McKinsey Quarterly. 2021. Available online: https://www.mckinsey.com/industries/semiconductors/our-insights (accessed on 15 December 2024).
- Belhadi, A.; Kamble, S.; Jabbour, C.J.C.; Gunasekaran, A.; Ndubisi, N.O.; Venkatesh, M. Manufacturing and service supply chain resilience to the COVID-19 outbreak: Lessons learned from the automobile and airline industries. Technol. Forecast. Soc. Chang. 2021, 163, 120381. [Google Scholar] [CrossRef]
- Sodhi, M.S.; Tang, C.S. Supply chain management for extreme conditions: Research opportunities. J. Supply Chain Manag. 2021, 57, 7–16. [Google Scholar] [CrossRef]
- Ambulkar, S.; Blackhurst, J.; Grawe, S. Firm’s resilience to supply chain disruptions: Scale development and empirical examination. J. Oper. Manag. 2015, 33–34, 111–122. [Google Scholar] [CrossRef]
- Wang, B.; Zhou, H.; Li, X.; Yang, G.; Zheng, P.; Song, C.; Yuan, Y.; Wuest, T.; Yang, H.; Wang, L. Human digital twin in the context of Industry 5.0. Robot. Comput. Integr. Manuf. 2024, 85, 102626. [Google Scholar] [CrossRef]
- Rahwan, I.; Cebrian, M.; Obradovich, N.; Bongard, J.; Bonnefon, J.F.; Breazeal, C.; Crandall, J.W.; Christakis, N.A.; Couzin, I.D.; Jackson, M.O.; et al. Machine behaviour. Nature 2019, 568, 477–486. [Google Scholar] [CrossRef]
- Puranam, P.; Alexy, O.; Reitzig, M. What’s “new” about new forms of organizing? Acad. Manag. Rev. 2014, 39, 162–180. [Google Scholar] [CrossRef]
- Kusiak, A. Smart manufacturing. Int. J. Prod. Res. 2018, 56, 508–517. [Google Scholar] [CrossRef]
- Hosseini, S.; Ivanov, D.; Dolgui, A. Review of quantitative methods for supply chain resilience analysis. Transp. Res. E Logist. Transp. Rev. 2019, 125, 285–307. [Google Scholar] [CrossRef]
- Kazancoglu, Y.; Ozkan-Ozen, Y.D.; Sagnak, M. Resilience indices for sustainable supply chains: A capacity-anchored approach. Ann. Oper. Res. 2023, 329, 1247–1272. [Google Scholar]
- Sharma, R.; Ruud, P.A. Absolute resilience metrics as predictors of supply chain failure and bankruptcy. Int. J. Prod. Econ. 2025, 271, 109195. [Google Scholar] [CrossRef]
- Sharma, P.; Wang, L.; Zhang, Y. Multi-objective reinforcement learning for crisis-aware supply chain coordination. Decis. Support Syst. 2024, 175, 114029. [Google Scholar]
- Liu, J.; Chen, X. Adaptive confidence calibration for AI-assisted decision-making under uncertainty. IEEE Trans. Syst. Man Cybern. 2024, 54, 1823–1835. [Google Scholar]
- Simon, H.A. The architecture of complexity. Proc. Am. Philos. Soc. 1962, 106, 467–482. [Google Scholar]
- Choi, T.Y.; Krause, D.R. The supply base and its complexity: Implications for transaction costs, risks, opportunism, and quality. J. Oper. Manag. 2006, 24, 637–652. [Google Scholar] [CrossRef]
- Heylighen, F. Stigmergy as a universal coordination mechanism I: Definition and components. Cogn. Syst. Res. 2016, 38, 4–13. [Google Scholar] [CrossRef]
- Sutton, R.S.; Barto, A.G. Reinforcement Learning: An Introduction, 2nd ed.; MIT Press: Cambridge, MA, USA, 2018. [Google Scholar]
- Lee, J.D.; See, K.A. Trust in automation: Designing for appropriate reliance. Hum. Factors 2004, 46, 50–80. [Google Scholar] [CrossRef]
- Holling, C.S. Resilience and stability of ecological systems. Annu. Rev. Ecol. Syst. 1973, 4, 1–23. [Google Scholar] [CrossRef]
- Woods, D.D. Four concepts for resilience and the implications for the future of resilience engineering. Reliab. Eng. Syst. Saf. 2015, 141, 5–9. [Google Scholar] [CrossRef]
- Folke, C.; Carpenter, S.R.; Walker, B.; Scheffer, M.; Chapin, T.; Rockström, J. Resilience thinking: Integrating resilience, adaptability and transformability. Ecol. Soc. 2010, 15, 20. [Google Scholar] [CrossRef]
- Burnard, K.; Bhamra, R. Organisational resilience: Development of a conceptual framework for organisational responses. Int. J. Prod. Res. 2011, 49, 5581–5599. [Google Scholar] [CrossRef]
- Bucovețchi, O.; Voipan, A.E.; Voipan, D.; Stanciu, R.D. Redefining Organizational Resilience and Success: A Natural Language Analysis of Strategic Domains, Semantics, and AI Opportunities. Systems 2025, 13, 999. [Google Scholar] [CrossRef]
- Zobel, C.W. Representing perceived tradeoffs in defining disaster resilience. Decis. Support Syst. 2011, 50, 394–403. [Google Scholar] [CrossRef]
- Mintzberg, H. The Structuring of Organizations: A Synthesis of the Research; Prentice-Hall: Englewood Cliffs, NJ, USA, 1979. [Google Scholar]
- March, J.G.; Simon, H.A. Organizations; Wiley: New York, NY, USA, 1958. [Google Scholar]
- Thompson, J.D. Organizations in Action: Social Science Bases of Administrative Theory; McGraw-Hill: New York, NY, USA, 1967. [Google Scholar]
- Baldwin, C.Y.; Clark, K.B. Design Rules: The Power of Modularity; MIT Press: Cambridge, MA, USA, 2000. [Google Scholar]
- Holland, J.H. Hidden Order: How Adaptation Builds Complexity; Addison-Wesley: Reading, MA, USA, 1995. [Google Scholar]
- von Hippel, E.; von Krogh, G. Open-source software and the “private-collective” innovation model: Issues for organization science. Organ. Sci. 2003, 14, 209–223. [Google Scholar] [CrossRef]
- Bigley, G.A.; Roberts, K.H. The incident command system: High-reliability organizing for complex and volatile task environments. Acad. Manag. J. 2001, 44, 1281–1299. [Google Scholar] [CrossRef]
- Uhl-Bien, M.; Marion, R.; McKelvey, B. Complexity leadership theory: Shifting leadership from the industrial age to the knowledge era. Leadersh. Q. 2007, 18, 298–318. [Google Scholar] [CrossRef]
- Hannah, S.T.; Uhl-Bien, M.; Avolio, B.J.; Cavarretta, F.L. A framework for examining leadership in extreme contexts. Leadersh. Q. 2009, 20, 897–919. [Google Scholar] [CrossRef]
- Gama, J.; Žliobaitė, I.; Bifet, A.; Pechenizkiy, M.; Bouchachia, A. A survey on concept drift adaptation. ACM Comput. Surv. 2014, 46, 44. [Google Scholar] [CrossRef]
- Parasuraman, R.; Riley, V. Humans and automation: Use, misuse, disuse, abuse. Hum. Factors 1997, 39, 230–253. [Google Scholar] [CrossRef]
- Dulac-Arnold, G.; Levine, N.; Mankowitz, D.J.; Li, J.; Paduraru, C.; Gowal, S.; Hester, T. Challenges of real-world reinforcement learning: Definitions, benchmarks and analysis. Mach. Learn. 2021, 110, 2419–2468. [Google Scholar] [CrossRef]
- Bucovetchi, O.; Georgescu, A.; Badea, D.; Stanciu, R.D. Agent-Based Modeling (ABM): Support for Emphasizing the Air Transport Infrastructure Dependence of Space Systems. Sustainability 2019, 11, 5331. [Google Scholar] [CrossRef]
- Fagiolo, G.; Moneta, A.; Windrum, P. A critical guide to empirical validation of agent-based models in economics: Methodologies, procedures, and open problems. Comput. Econ. 2007, 30, 195–226. [Google Scholar] [CrossRef]
- Guimerà, R.; Uzzi, B.; Spiro, J.; Amaral, L.A.N. Team assembly mechanisms determine collaboration network structure and team performance. Science 2005, 308, 697–702. [Google Scholar] [CrossRef]
- Watts, D.J.; Strogatz, S.H. Collective dynamics of ‘small-world’ networks. Nature 1998, 393, 440–442. [Google Scholar] [CrossRef]
- Barabási, A.L.; Albert, R. Emergence of scaling in random networks. Science 1999, 286, 509–512. [Google Scholar] [CrossRef]
- Zhang, K.; Yang, Z.; Başar, T. Multi-agent reinforcement learning: A selective overview of theories and algorithms. In Handbook of Reinforcement Learning and Control; Springer: Cham, Switzerland, 2021; pp. 321–384. [Google Scholar]
- Kazil, J.; Masad, D.; Crooks, A. Utilizing Python for agent-based modeling: The Mesa framework. In Social, Cultural, and Behavioral Modeling; Thomson, R., Bisgin, H., Dancy, C., Hyder, A., Hussain, M., Eds.; Springer: Cham, Switzerland, 2020; pp. 308–317. [Google Scholar]
- Battini, D.; Faccio, M.; Persona, A.; Sgarbossa, F. New methodological framework to improve productivity and ergonomics. Int. J. Ind. Ergon. 2011, 41, 30–42. [Google Scholar] [CrossRef]
- Axelrod, R. The Evolution of Cooperation; Basic Books: New York, NY, USA, 1984. [Google Scholar]
- Nembhard, D.A.; Osothsilp, N. Task complexity effects on between-individual learning/forgetting variability. Int. J. Ind. Ergon. 2002, 29, 297–306. [Google Scholar] [CrossRef]
- Grosse, E.H.; Glock, C.H.; Neumann, W.P. Human factors in order picking. Int. J. Prod. Res. 2015, 55, 698–715. [Google Scholar]
- Chiaburu, D.S.; Harrison, D.A. Do peers make the place? J. Appl. Psychol. 2008, 93, 1082. [Google Scholar] [CrossRef]
- Groover, M.P. Automation, Production Systems, and Computer-Integrated Manufacturing, 5th ed.; Pearson: London, UK, 2020. [Google Scholar]
- Brooks, F.P., Jr. The Mythical Man-Month: Essays on Software Engineering; Addison-Wesley: Reading, MA, USA, 1995. [Google Scholar]
- Hackman, J.R. Leading Teams; Harvard Business Press: Brighton, MA, USA, 2002. [Google Scholar]
- Van Fleet, D.D.; Bedeian, A.G. A history of the span of management. Acad. Manag. Rev. 1977, 2, 356–372. [Google Scholar] [CrossRef]
- Watkins, C.J.C.H.; Dayan, P. Q-Learning. Mach. Learn. 1992, 8, 279–292. [Google Scholar]
- Mnih, V.; Kavukcuoglu, K.; Silver, D.; Rusu, A.A.; Veness, J.; Bellemare, M.G.; Graves, A.; Riedmiller, M.; Fidjeland, A.K.; Ostrovski, G.; et al. Human-level control through deep reinforcement learning. Nature 2015, 518, 529–533. [Google Scholar] [CrossRef] [PubMed]
- Blondel, V.D.; Guillaume, J.L.; Lambiotte, R.; Lefebvre, E. Fast unfolding of communities in large networks. J. Stat. Mech. Theory Exp. 2008, 2008, P10008. [Google Scholar] [CrossRef]
- Newman, M.E.J. The structure and function of complex networks. SIAM Rev. 2003, 45, 167–256. [Google Scholar] [CrossRef]
- Sodhi, M.S.; Tang, C.S. Supply chain disruptions from COVID-19. J. Supply Chain Manag. 2021, 9, 145–156. [Google Scholar]
- Ivanov, D.; Dolgui, A. Viability of intertwined supply networks: Extending the supply chain resilience angles towards survivability. Int. J. Prod. Res. 2020, 58, 2904–2915. [Google Scholar] [CrossRef]
- Cimellaro, G.P.; Reinhorn, A.M.; Bruneau, M. Framework for analytical quantification of disaster resilience. Eng. Struct. 2010, 32, 3639–3649. [Google Scholar] [CrossRef]
- Harris, C.R.; Millman, K.J.; van der Walt, S.J.; Gommers, R.; Virtanen, P.; Cournapeau, D.; Wieser, E.; Taylor, J.; Berg, S.; Smith, N.J.; et al. Array programming with NumPy. Nature 2020, 585, 357–362. [Google Scholar] [CrossRef]
- Carley, K.M. On the evolution of social and organizational networks. Res. Sociol. Organ. 1999, 16, 3–30. [Google Scholar]
- Anderson, P. Complexity theory and organization science. Organ. Sci. 1999, 10, 216–232. [Google Scholar] [CrossRef]
- Jarrahi, M.H. Artificial intelligence and the future of work: Human-AI symbiosis in organizational decision making. Bus. Horiz. 2018, 61, 577–586. [Google Scholar] [CrossRef]
- Trist, E.L.; Bamforth, K.W. Some social and psychological consequences of the longwall method of coal-getting: An examination of the psychological situation and defences of a work group in relation to the social structure and technological content of the work system. Hum. Relat. 1951, 4, 3–38. [Google Scholar] [CrossRef]
- Christopher, M.; Peck, H. Building the resilient supply chain. Int. J. Logist. Manag. 2004, 15, 1–13. [Google Scholar] [CrossRef]
- Foerster, J.; Assael, I.A.; de Freitas, N.; Whiteson, S. Learning to communicate with deep multi-agent reinforcement learning. In Advances in Neural Information Processing Systems; Curran Associates, Inc.: Red Hook, NY, USA, 2016; pp. 2137–2145. [Google Scholar]
- Choi, T.Y.; Hong, Y. Unveiling the structure of supply networks: Case studies in Honda, Acura, and DaimlerChrysler. J. Oper. Manag. 2002, 20, 469–493. [Google Scholar] [CrossRef]



| Paradigm | AI Configuration | Replications | Total Runs | Notes |
|---|---|---|---|---|
| Centralized | NO_AI | 150 | 150 | Baseline hierarchical control |
| Distributed | NO_AI | 150 | 150 | Baseline modular coordination |
| Self-organized | NO_AI | 150 | 150 | Baseline autonomous coordination |
| AI_SIMPLE 1 | 50 | 50 | Generic AI support (no crisis mode) | |
| AI_CRISIS | 150 | 150 | Crisis-aware AI adaptation | |
| Total | 650 |
| Paradigm | Tasks/Step | Queue Size | Avg. Workload 2 (Capacity Ratio) | Coalitions/ Steps |
|---|---|---|---|---|
| Centralized | 4.55 ± 0.42 | 673.7 ± 48.2 | 0.89 ± 0.06 | ≈0 |
| Distributed | 6.55 ± 0.51 | 542.7 ± 52.3 | 0.51 ± 0.09 | ≈0 |
| Self-organized | 9.28 ± 0.53 | 445.3 ± 38.7 | 0.65 ± 0.08 | 5.53 ± 1.21 |
| Version | Tasks/Step | Queue Size | Avg. Workload | Coalitions/ Steps |
|---|---|---|---|---|
| Self-Organized, NO_AI | 9.28 ± 0.53 | 445.3 ± 38.7 | 0.65 ± 0.08 | 5.53 ± 1.21 |
| Self-Organized, AI_CRISIS | 11.29 ± 0.48 | 378.0 ± 35.2 | 0.87 ± 0.07 | 8.11 ± 1.45 |
| Paradigm, Version | Baseline Tasks/Step | Crisis Tasks/Step | Retention (≈Pduring/Ppre) |
|---|---|---|---|
| Centralized, NO_AI | 4.38 ± 0.41 | 3.07 ± 0.38 | ≈0.82 ± 0.06 |
| Distributed, NO_AI | 6.56 ± 0.50 | 4.84 ± 0.45 | ≈0.74 ± 0.05 |
| Self-Organized, NO_AI | 9.24 ± 0.52 | 6.65 ± 0.47 | ≈0.72 ± 0.06 |
| Self-Organized, AI_CRISIS | 11.28 ± 0.49 | 7.50 ± 0.42 | ≈0.67 ± 0.05 |
| Paradigm | Pre-Performance (Tasks/Step) | During Performance | Retention | Recovery Time (Steps) |
|---|---|---|---|---|
| Centralized | 4.38 ± 0.41 | 3.07 ± 0.38 | ≈0.82 ± 0.06 | ≈32 ± 8.2 |
| Distributed | 6.56 ± 0.50 | 4.84 ± 0.45 | ≈0.74 ± 0.05 | ≈15 ± 4.5 |
| Self-organized | 9.24 ± 0.52 | 6.65 ± 0.47 | ≈0.72 ± 0.06 | ≈14 ± 3.8 |
| Version | Baseline Tasks/Step | Crisis Task/Step | Normalized Crisis (Pduring/12) | Absolute Recovery Time | Rabsolute | Cohen’s d vs. NO_AI | 95% CI |
|---|---|---|---|---|---|---|---|
| NO_AI | 9.24 ± 0.52 | 6.65 ± 0.47 | 0.55 ± 0.04 | ≈1.0 ± 1.5 | 0.677 ± 0.039 | — | [0.667, 0.687] |
| AI_SIMPLE | 11.24 ± 0.43 | 7.57 ± 0.37 | 0.63 ± 0.03 | ≈0.5 ± 1.4 | 0.746 ± 0.040 | 1.78 (large) | [0.735, 0.757] |
| AI_CRISIS | 11.28 ± 0.49 | 7.50 ± 0.42 | 0.63 ± 0.04 | ≈0.2 ± 0.8 | 0.749 ± 0.028 | 2.13 (very large) | [0.742, 0.756] |
| Phase | Timeline | Scope | Key Interventions | Monitoring & Governance |
|---|---|---|---|---|
| 1. Pilot deployment | 3–6 months | Single production cell (10–20 workers) |
|
|
| 2. Horizontal scaling | 6–12 months | 3–5 departments (50–100 workers) |
|
|
| 3. Crisis resilience integration | 12–18 months | Organization-wide (100+ workers) |
|
|
| 4. Continuous adaptation | 18+ months | Institutionalization |
|
|
Disclaimer/Publisher’s Note: The statements, opinions and data contained in all publications are solely those of the individual author(s) and contributor(s) and not of MDPI and/or the editor(s). MDPI and/or the editor(s) disclaim responsibility for any injury to people or property resulting from any ideas, methods, instructions or products referred to in the content. |
© 2025 by the authors. Licensee MDPI, Basel, Switzerland. This article is an open access article distributed under the terms and conditions of the Creative Commons Attribution (CC BY) license.
Share and Cite
Bucovețchi, O.; Voipan, A.E.; Voipan, D.; Georgescu, A.; Dobrescu, R.M. Modeling Organizational Resilience in Human-Cyber-Physical Systems (Industry 5.0) Through Collective Dynamics, Decision Scenarios and Crisis-Aware AI: A Multi-Method Simulation Approach. Appl. Sci. 2026, 16, 292. https://doi.org/10.3390/app16010292
Bucovețchi O, Voipan AE, Voipan D, Georgescu A, Dobrescu RM. Modeling Organizational Resilience in Human-Cyber-Physical Systems (Industry 5.0) Through Collective Dynamics, Decision Scenarios and Crisis-Aware AI: A Multi-Method Simulation Approach. Applied Sciences. 2026; 16(1):292. https://doi.org/10.3390/app16010292
Chicago/Turabian StyleBucovețchi, Olga, Andreea Elena Voipan, Daniel Voipan, Alexandru Georgescu, and Razvan Mihai Dobrescu. 2026. "Modeling Organizational Resilience in Human-Cyber-Physical Systems (Industry 5.0) Through Collective Dynamics, Decision Scenarios and Crisis-Aware AI: A Multi-Method Simulation Approach" Applied Sciences 16, no. 1: 292. https://doi.org/10.3390/app16010292
APA StyleBucovețchi, O., Voipan, A. E., Voipan, D., Georgescu, A., & Dobrescu, R. M. (2026). Modeling Organizational Resilience in Human-Cyber-Physical Systems (Industry 5.0) Through Collective Dynamics, Decision Scenarios and Crisis-Aware AI: A Multi-Method Simulation Approach. Applied Sciences, 16(1), 292. https://doi.org/10.3390/app16010292

