Abstract
Effective mass, the portion of an athlete’s mass contributing to a punch, is a key biomechanical factor influencing punching strength in boxing. This study examines its relationship with punch mechanics, impulse dynamics, and body composition, identifying techniques that maximize effective mass and enhance force transfer efficiency. Thirty trained male boxers performed jab, cross, lead hook, and rear hook punches while punching force and limb acceleration were measured using an AMTI MC12-2K force plate and Noraxon Ultium EMG sensors. Effective mass was calculated as the ratio of peak force to fist acceleration at impact. Statistical analysis compared punching techniques and examined correlations with body composition and training experience. Straight punches (jab, cross) exhibited significantly higher effective mass than hooks (KW-H = 235.24; p < 0.001; η2 = 0.468), despite hooks generating greater peak forces. Cross punches had the highest effective mass (31.17 ± 16.20 kg), followed by jabs (30.39 ± 15.09 kg). No significant correlation was found between effective mass and body composition or training tenure, suggesting technique is more critical than absolute body mass. These findings highlight the importance of optimizing linear punch mechanics and impulse-to-acceleration synchronization in training to enhance effective mass transfer and striking performance.
1. Introduction
Modern combat sports, such as boxing, are characterized by a dynamic combination of physical and technical abilities that determine the effectiveness of strikes. Punching force, as a key factor influencing success in competition, is the result of many variables. One of these is body mass [1]. For this reason, combat sports are divided into weight categories. However, it is often observed that some boxers punch significantly harder than others, even when their body masses are identical. In the boxing community, legends persist about punchers who strike with the power of a heavyweight despite being 20 kg lighter than the limit for that category. What, then, influences the punching force beyond body mass? Genetic predispositions undoubtedly play an essential role [2]. Thick forearm bones predispose an athlete to generate greater punching force. Some studies indicate that genetic predispositions can account for 44% to 68% of phenotypic variability in sports performance, including strength, endurance, and power, which must translate into punching force [3].
Another phenomenon, still relatively underexplored in the context of combat sports, is effective mass. The concept of effective mass in boxing suggests that punching force is not solely a function of an athlete’s body mass but also how that mass is utilized during the strike [4]. Effective mass, which describes an athlete’s ability to transfer force from body mass through the kinematic chain, thus becomes a key indicator of the biomechanical efficiency of punching techniques [5].
The analysis of punching force in boxing necessitates consideration of both biomechanical and physiological factors. On the one hand, movement biomechanics play a decisive role in generating maximal punching force [6]. Athletes who effectively engage the muscles of the legs, hips, torso, and arms in the punching motion can generate significant force values, underscoring the critical role of movement coordination and the flexibility of body segments within the kinematic chain [7]. On the other hand, factors such as body mass, the ratio of muscle to fat tissue, and training experience may play a substantial role in maximizing effective mass and punching force [8,9,10].
The phenomenon of effective mass is extensively analyzed in the scientific literature. Neto and colleagues [7] defined effective mass as a phenomenon in which the athlete’s body mass becomes biomechanically integrated at the moment of contact with the target, leading to the maximization of punching force. This model has been further developed by researchers such as Lenetsky et al. [4] and Wąsik et al. [11], who proposed various methods for calculating effective mass, including using a modified version of Newton’s formula, where effective mass is calculated as the ratio of maximum punching force to fist acceleration at the moment of contact with the target.
Several studies also emphasize the significance of genetic factors in athletes’ ability to generate force. Genetic polymorphisms, such as ACTN3 and ACE variants, are associated with muscle performance and the ability to generate dynamic force, which may directly impact effective mass values [2,3,12]. Furthermore, the training experience of athletes influences their biomechanical efficiency, as increased years of training allow for better utilization of body mass in generating force [13].
The effective mass of individual strikes is directly related to the punching force generated and the acceleration of the fist [11]. However, while previous studies have explored general punching mechanics and the role of acceleration in strike performance, the relationship between impulse dynamics and effective mass remains underexplored. Most existing research has focused on peak force output or acceleration individually, rather than examining how impulse—the product of force and time—interacts with effective mass transfer in boxing techniques. A deeper understanding of this interaction could provide insights into how boxers optimize their strikes beyond raw power and speed. Therefore, this study focuses on the kinetic analysis of different boxing techniques and other variables affecting effective mass transfer. By identifying key biomechanical factors influencing impulse-to-acceleration synchronization, this research seeks to fill an existing gap in the understanding of strike efficiency. A precise kinetic model of effective mass transfer can contribute to evidence-based training methods, improving impact optimization.
The aim of this study is to evaluate the relationship between effective mass in boxing punches and key biomechanical factors, including punch mechanics, impulse dynamics, and an athlete’s body composition and training experience. By examining how effective mass varies across different techniques and identifying the variables that influence force transfer, this study seeks to deepen the understanding of striking efficiency in combat sports. The study poses the following research questions: (1) Which boxing techniques (jab, cross, lead hook, rear hook) demonstrate the highest effective mass, and how does this relate to punch biomechanics? (2) How does the relationship between impulse, acceleration, and contact duration influence effective mass transfer in boxing punches? (3) To what extent do body composition (muscle mass, fat mass) and training experience predict effective mass in striking techniques?
We hypothesize that straight punches (jab and cross), due to their linear trajectory and more efficient kinetic chain utilization, will exhibit higher effective mass and impulse-to-acceleration ratios compared to hook punches. Additionally, we hypothesize that body composition and training experience will not significantly predict effective mass values, highlighting the predominance of biomechanical technique over physiological factors in determining strike efficiency.
The answers to these questions will help to understand the mechanisms shaping sports performance and identify factors that can contribute to optimizing training methods.
2. Materials and Methods
2.1. Participants
The study sample comprised 30 male boxers (body mass: 86.4 ± 1.4 kg body fat: 23.46 ± 5.27%, body muscle: 72.9 ± 5.17%, body height: 175.8 ± 7.9 cm, age: 29.2 ± 1.4 years, experience: 6.0 ± 2.1 years) from various clubs based in Częstochowa, Poland. To qualify for the study, athletes needed a minimum of one year of boxing experience or notable accomplishments at the national level. Additionally, they were required to be free from injuries, and they declared that they were in a training period and in optimal physical condition on the day of the experiment. Three boxers in the group were left-handed and employed a reverse-stance attacking style while adhering to all technical guidelines for specific techniques.
Additionally, all participants in the experiment underwent body composition analysis. Data on the percentage distribution of fat tissue and muscle tissue were collected, providing additional insights into variables potentially affecting the effective mass coefficient.
2.2. Ethics
The research protocol was reviewed and approved by the Human Subjects Research Committee at Jan Długosz University (KE-O/4/2022) to ensure adherence to ethical standards. All participants were fully informed about the procedures involved and voluntarily agreed to participate in the study. Their health status and injury-free condition were verified before the tests based on individual declarations. All participants provided written consent for participation in this study.
2.3. Equipment
The body composition analysis was conducted using the GARMIN Index S2 smart scale (model 010-02294-12, manufactured in 2021; Garmin Ltd., Olathe, KS, USA). To measure punching force (ground reaction force), the researchers used a force plate (AMTI MC12-2K, part of the 2000 series, Watertown, MA, USA) secured to a stable framework and covered with a protective layer to prevent direct contact with the device (Figure 1). The plate, made of aluminum, had dimensions of 305 × 406 × 79 mm. Data synchronization was achieved using a Noraxon (MR 3.18, Scottsdale, AZ, USA) synchronization system MyoSync. Additionally, an Ultium EMG wireless inertial sensor, developed by Noraxon, was used to collect acceleration data. The sensor, designed to capture accelerations up to 4000 g, operated at a sampling rate of 2000 Hz and was affixed to the hand using Velcro straps and a boxing glove. The boxing gloves used for punches were 16-ounce sizes, the same for each participant.
Figure 1.
Research equipment: (A) force plate AMTI MC12-2K with a strike pad; (B) EMU sensor on upper limb.
2.4. Protocol
The methodological framework was based in part on our previous study [5], which investigated effective mass in straight punches performed without gloves. However, the present study extends this protocol by including hook techniques and applying a more ecologically valid condition using standard 16-oz boxing gloves. These modifications aimed to replicate real training and competitive scenarios more accurately. The experiment took place at the University’s Center for Human Movement Analysis. Participants underwent preliminary health checks to confirm their eligibility—they submitted a written declaration stating they were free from injuries or conditions that could affect the outcome of the study After providing informed consent, they engaged in a 10-min warm-up routine consisting of various dynamic exercises, such as jumps, rotations, and simulated punches. Following this, they practiced striking a target equipped with the force plate to ensure proper alignment and familiarity with the apparatus. Each participant performed 10 strikes with each of the four techniques to familiarize themselves with the device’s specifications and its shock-absorbing properties. The decision was made to perform strikes with gloves rather than bare fists. This approach preserved the natural working environment for boxers, who typically do not execute strikes without gloves in their daily practice. This also ensures that the athletes strike with maximum force, without subconsciously holding back to protect their hands. Sixteen-ounce gloves were used, which is a standard training size for boxing athletes. The gloves, manufactured by Orthodox Wear, feature a typical boxing-style profile.
For the main experiment, the sensor was first attached to the non-dominant arm, and participants performed ten high-force strikes—five jabs and five lead hooks with rest time corresponding to the requirement of rerunning the record and changing position (2–5 s). Then, there was a rest period for the time to transfer the sensor to the dominant arm (around 1 min), allowing participants to execute another ten strikes with their rear hand—five crosses and five rear hooks. Sensor repositioning provided natural rest intervals between trials. We exclude the possibility of fatigue effect for athletes at that level. During normal training sessions, boxers hit a punching bag dozens of times, therefore 20 hits within a short period of time and short rest could not affect their performance. To investigate potential fatigue effects, the reliability of pressure force measurements across repeated punch trials was assessed using the Intraclass Correlation Coefficient (ICC). ICC was calculated using a two-way mixed-effects model, considering each participant as a random effect and trials as repeated measures within each punch type. Specifically, this approach partitions variance into between-subject and within-subject components, quantifying how consistently each participant performed across their trials. The resulting ICC values indicated good-to-excellent reliability for all punch types: jab (ICC = 0.85), cross (ICC = 0.89), lead hook (ICC = 0.93), and rear hook (ICC = 0.82). High internal consistency of the results appears to confirm the minimal impact of fatigue on the athletes’ performance during testing.
Jabs are quick, straight punches performed with the lead hand, requiring minimal torso rotation. This punch primarily targets the opponent’s upper body or head and serves as a fundamental tool for controlling distance and setting up combinations. The jab begins with a slight push from the lead foot, transferring energy through the leg and core. The lead shoulder flexion goes vertically as the arm fully extends vertically in the elbow joint in a straight line, with the forearm rotating slightly inward upon impact. The non-punching hand remains high to protect the face, and after landing, the jab retracts swiftly to its original guard position.
Crosses, also known as rear straight punches, are executed with the dominant hand and involve significant hip and torso rotation to generate maximum power. The movement starts from the rear foot, which pivots to drive energy upward through the hips and core. The torso rotates forcefully as the punching arm extends in a direct line toward the target. The fist remains vertical or slightly turned inward upon impact. A properly executed cross engages the entire body, ensuring efficient energy transfer from the lower body to the upper limb. Once the punch lands, it quickly retracts to the guard position to maintain defensive readiness.
Lead hooks are powerful side punches executed with the lead hand. The movement begins with weight transfer to the lead leg and a subtle pivot of the lead foot. The torso rotates as the elbow lifts to shoulder height, positioning the arm at a roughly 90-degree angle. The punch travels in a curved motion, with the fist oriented either palm-down or palm-inward, depending on preference. The lead hook is highly effective at targeting the opponent’s head or body, utilizing rotational force to generate impact. After making contact, the arm retracts back to the guard position.
Rear hooks are delivered with the dominant hand and involve the entire body’s engagement for maximum power. The technique starts with a weight shift onto the rear leg, followed by a strong pivot of the rear foot. The torso rotates explosively, guiding the arm in a wide arc. Like the lead hook, the elbow remains at shoulder height, and the fist orientation can vary. This punch is particularly effective for generating knockout power due to the full-body movement involved. Once the rear hook lands, it returns swiftly to the guard to maintain defensive positioning.
All four techniques’ execution is shown in Figure 2.
Figure 2.
Illustration of four recorded boxing techniques: jab, cross, lead hook, and rear hook.
2.5. Data Processing and Analysis
Each participant performed five punches per technique. Data were initially saved in Excel’s *.slk format via Noraxon MR 3.18 software and then converted to *.xlsx for analysis. A Python (Python 3.10) script utilizing the SciPy library’s findpeaks function identified the highest force values for each strike. The script, developed collaboratively on the Deepnote platform, also calculated fist acceleration at the moment of maximum force.
To isolate actual punch movements and avoid noise, an acceleration threshold of 12 m/s2 was set, slightly above Earth’s gravitational acceleration. A strike was defined as beginning when the fist’s acceleration exceeded this threshold and ending when the pressure force reached its peak. Residual analysis was performed to clean the data out of noise. A Butterworth filter with lowcut set at 20 Hz was used and highcut at a level of 250 Hz. This filer turns out to be the most optimal out of the trials ranging from 1 to 60 Hz lowcut. Additionally, some measurements contained data collection errors with extreme and odd values (sensor tremor, etc.) and had to be removed to ensure the integrity and reliability of the analysis. Effective mass (Me) was determined using the following formula [11]:
where Fmax is the peak force applied during impact, and a represents the highest acceleration recorded at contact.
In the analysis of force generation in boxing punches, in addition to peak force, the study also considered the impulse, which provides a more comprehensive understanding of the total impulse of a strike. The impulse measures not only the maximum force at a given moment but also its duration, offering a clearer picture of how force is distributed throughout the punch (Figure 3). This is crucial because two punches with similar peak forces can have vastly different effectiveness depending on how long the fist remains in contact with the target. To further refine this analysis, an additional metric—impulse/fist acceleration—was introduced to normalize impulse relative to fist acceleration. Impulse and impulse/fist acceleration were calculated by integrating the force–time curve for each punch, allowing for a detailed comparison of both total impulse and its relationship to punch dynamics across different techniques—straight punches (jab, cross) and hooks (lead hook, rear hook). The start of contact was identified when the gradient of the pressure force exceeded 10% of its maximum increase, while the end of contact was determined when the gradient dropped below 4% of its maximum decrease. The total force absorbed during the contact phase was computed as the area under the curve of the pressure force over the identified time range using numerical integration. Further lowering of the decrease gradient results in the algorithm being unable to detect the end of the strike. The data and script used in this analysis are fully available at (https://doi.org/10.5281/zenodo.14966351).
Figure 3.
Sample visualization of the algorithm output for force impulse computation, represented as the area under the force distribution curve over time, referred to as impulse.
2.6. Statistical Analysis
Statistical analyses were conducted using Statistica 13 (TIBCO software). Descriptive statistics were computed for all variables, and the Shapiro–Wilk test was used to assess the normality of distributions. Since the result indicated a non-normal distribution, the Kruskal–Wallis test was applied to compare groups. The Kruskal–Wallis test was chosen as it is well-suited for small samples and does not assume a normal distribution, making it appropriate for analyzing biomechanical data with potentially non-homogeneous variance. The consistency of the findings across multiple performance metrics (effective mass, impulse, acceleration) further reinforces the reliability of the results. While alternative statistical approaches for small samples exist, the current methodology was selected to balance robustness and interpretability. Additionally, beta (β) coefficients were calculated using a multivariate regression model, with R2 and adjusted R2 determined to explore potential relationships between the recorded variables. A significance threshold of p < 0.05 was established. Effect sizes were calculated to assess the magnitude of observed differences. For the Kruskal–Wallis test, effect size was determined using eta squared (η2). The interpretation of effect size follows common guidelines: η2 = 0.01 indicates a small effect, η2 = 0.06 represents a medium effect, and η2 = 0.14 or higher signifies a large effect.
In addition to the Kruskal–Wallis test, the statistical analysis also evaluated differences between punch types using the Mann–Whitney U test and interpreted practical significance via Glass rank-biserial correlation (G scores). For the Lead Jab vs. Rear Cross comparison (jab: n = 118, cross: n = 127), the sample size was sufficient, clearly detecting significant and practically meaningful differences, particularly large for Total_GRF (G = 0.712), moderate for afist (G = 0.369) and AUC/afist (G = −0.435), and small for AUC (G = −0.233). The negligible differences found in Me (G = 0.017) and %Me (G = 0.031) were not practically meaningful, and given the large sample size, additional participants would unlikely alter these results.
In contrast, for the Rear Hook vs. Lead Hook comparison (rear hook: n = 127, lead hook: n = 132), the sample size, despite being similarly robust, proved sufficient to identify only small to negligible differences, such as in Total_GRF (G = −0.146) and AUC (G = −0.122). The negligible differences observed in afist (G = −0.075), Me (G = 0.008), %Me (G = 0.016), and AUC/afist (G = 0.023) suggest these metrics are inherently similar between these punch types. Given the minimal effect sizes observed, achieving statistical significance would require impractically large sample sizes. Thus, the existing samples were more than adequate to conclude minimal practical differences exist between rear and lead hooks across these measures.
Additionally, we performed the Mann–Whitney U test to verify the effect solely between pairs of jab–rear cross, and lead–rear hook.
3. Results
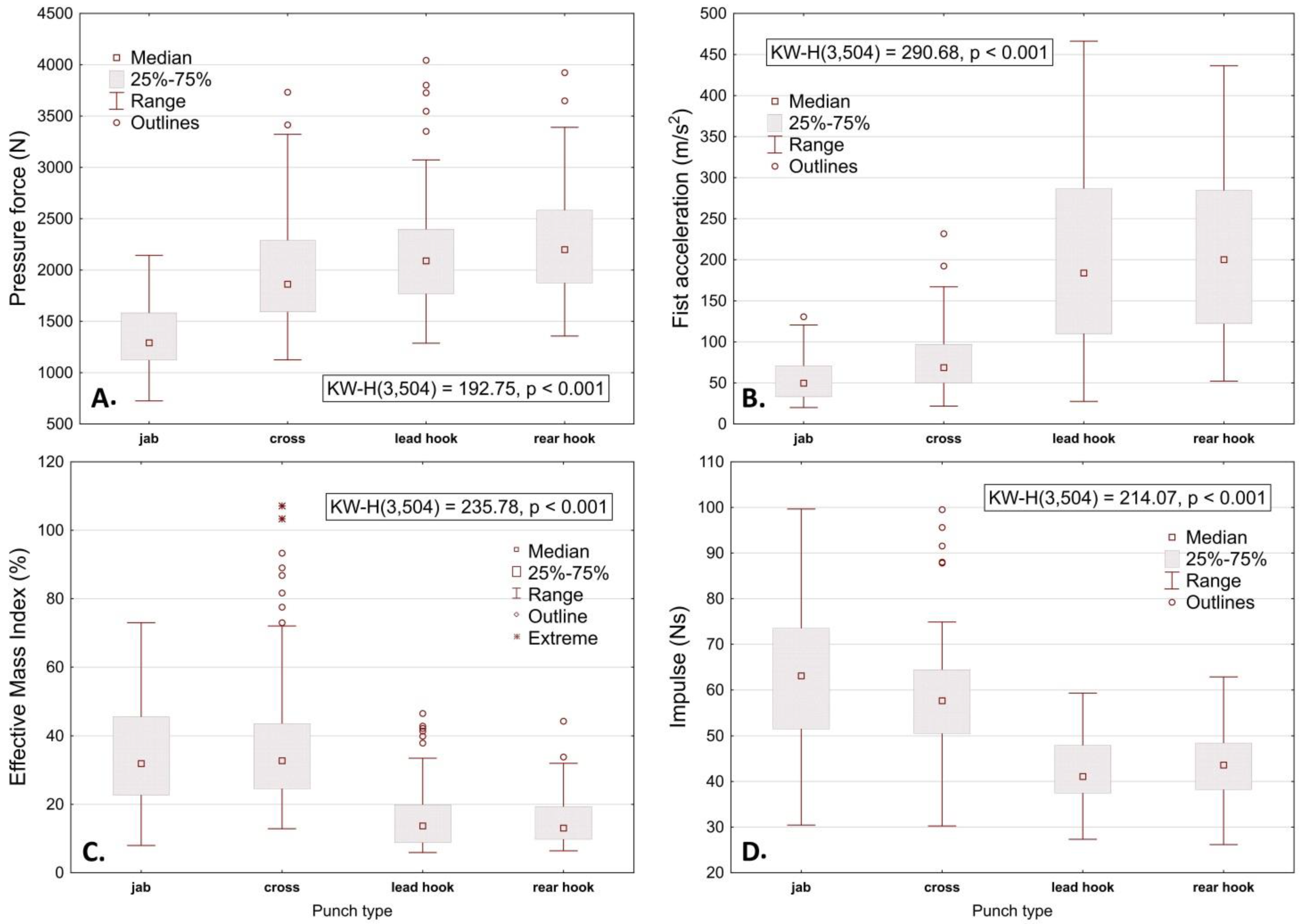
The analysis revealed substantial differences across the variables measured for the four punch types: jab, cross, and lead hook (Figure 4). Fist acceleration was greatest in the rear hook (212.61 ± 98.43 m/s2), followed by the lead hook (154.93 ± 110.42 m/s2). The cross (75.53 ± 24.87 m/s2) and jab (54.04 ± 24.87 m/s2) demonstrated significantly lower values. A Mann–Whitney U test confirmed a moderate but statistically significant difference in acceleration between jab and cross punches (U = 4727.0, p < 0.001, G = −0.37). In contrast, no significant difference in fist acceleration was observed between lead and rear hooks (U = 7756.0, p = 0.299, G = −0.075). The cross and jab punches demonstrated comparatively higher values for effective mass and Effective Mass Index. The Kruskal–Wallis test showed a significant difference between punch types for pressure force (KW-H = 192.75, p < 0.001, η2 = 0.383) and fist acceleration (KW-H = 290.69, p < 0.001, η2 = 0.578). Additionally, significant differences were found for effective mass (KW-H = 235.24, p < 0.001, η2 = 0.468) and Effective Mass Index (KW-H = 235.79, p < 0.001, η2 = 0.469), indicating that straight punches (jab and cross) allow for a more effective transfer of body mass compared to hooks.
Figure 4.
Graphical representation of key biomechanical variables across different punching techniques. (A) Pressure force distribution for jab, cross, lead hook, and rear hook. (B) Fist acceleration comparison among punch types. (C) Effective Mass Index (%) across different punches. (D) Impulse (Ns) comparison for each punch type. Statistical results of Kruskal–Wallis tests are included, indicating significant differences among the punch types.
The analysis of the variables effective mass and Effective Mass Index (percentage of effective mass) for different types of punches revealed significant differences in the efficiency of mass transfer during impact. The highest effective mass values were recorded for the cross punch (31.17 ± 16.20 kg). Similarly, the jab showed a high effective mass value (30.39 ± 15.09 kg). In contrast, hook punches, such as the lead hook and rear hook, exhibited significantly lower effective mass values (14.38 ± 12.05 kg and 12.56 ± 5.52 kg, respectively).
Similar trends were observed in the analysis of Effective Mass Index, which represents the proportion of effective body mass in a punch. The highest Effective Mass Index value was recorded for the cross (36.77 ± 18.83%), followed closely by the jab (35.49 ± 16.48%). In the case of the lead hook and rear hook, Effective Mass Index values were significantly lower (17.10 ± 13.94% and 14.88 ± 6.74%, respectively).
The examination of impulse values for different types of punches demonstrated notable disparities in the total impulse generated during impact. The jab exhibited the highest impulse value, averaging 63.80 ± 15.36 kg/s. The cross followed closely, with an impulse of 57.90 ± 11.82 Ns. Conversely, hook punches, including the lead hook (42.39 ± 7.38 Ns) and rear hook (43.87 ± 7.62 Ns), displayed significantly lower impulse values.
A similar pattern emerged in the analysis of impulse/fist acceleration, which normalizes total impulse relative to fist acceleration. The jab once again led with the highest value (1.44 ± 0.72 kg/s). The cross followed, with a moderately lower impulse/fist acceleration of 0.97 ± 0.55 kg/s. In contrast, hook punches demonstrated significantly reduced efficiency in this regard, with the lead hook (0.30 ± 0.25 kg/s) and rear hook (0.26 ± 0.13 kg/s) recording the lowest values.
The Kruskal–Wallis test revealed a significant difference between jab and cross for impulse (KW-H = 214.06, p < 0.001, η2 = 0.426). Conversely, the comparison between lead hook and rear hook did not show a statistically significant difference (KW-H = 1.70, p = 0.0901, η2 = 0.017). For impulse/fist acceleration, a similar trend was observed. The jab and cross-comparison yielded a significant difference (KW-H = 290.69, p < 0.001, η2 = 0.578). In contrast, the lead hook vs. rear hook comparison again showed no significant difference (KW-H = 0.32, p = 0.748, η2 = 0.003).
Figure 5 illustrates the β coefficient values derived from a multiple regression model. The R2 value of 0.791 indicates that approximately 79.1% of the variation in pressure force is explained by the variables included in the model. This relatively high value suggests a strong model fit. The adjusted R2 of 0.786 confirms that the model remains a good fit, even after adjusting for the number of predictors. Additionally, the F(11,492) = 169.27 value, with a highly significant p-value (p < 0.001), confirms the statistical significance of the regression model.
Figure 5.
Beta (β) coefficient for variables in the regression model by pressure force (R = 0.889; R2 = 0.790, adjusted R2 = 0.786; F(11,492) = 169.27; p < 0.001).
The analysis of individual variables revealed that effective mass (β = 0.977, p < 0.001), fist acceleration (β = 0.716, p < 0.001), impulse (beta = 0.570, p < 0.001), and body fat mass (β = 0.314, p = 0.045) had a significant positive impact on pressing force. In contrast, the following predictors were not statistically significant: age (β = −0.062, p = 0.063), body height (β = 0.024, p = 0.416), body mass (β = −0.017, p = 0.807), body mass muscle (β = 0.135, p = 0.437), and experience (β = 0.015, p = 0.525). These findings suggest that age, height, total body mass, muscle percentage, and training experience have no significant effect on pressing force.
4. Discussion
The results of this study provide new insights into effective mass in four fundamental boxing techniques: jab, cross, lead hook, and rear hook. The analysis of body mass transfer efficiency in punches revealed significant differences between straight punches and hooks, which could be crucial for optimizing training and increasing punching power. Our findings suggest that the most effective punches in boxing are not necessarily the strongest or the fastest but rather those that optimize force transfer.
High effective mass values for straight punches—particularly the cross (31.17 ± 16.20 kg) and jab (30.39 ± 15.09 kg)—indicate their greater biomechanical efficiency in transferring body mass into the punch. Despite their lower peak force output, these punches demonstrated significantly higher effective mass and Effective Mass Index values compared to hooks, suggesting that straight punches allow for a more effective transfer of body mass. This suggests that boxers can utilize their body mass more effectively when delivering linear punches, which may result from a more direct force transmission through the kinetic chain, which other authors called “stiffening” of the muscles in a moment of contact with a target [14]. Traditional boxing theory has often associated punch effectiveness with acceleration and the fighter’s mass [6]. However, our results show that impulse decreases as acceleration increases, suggesting that overly fast punches may limit force transfer efficiency. The jab exhibited the highest impulse value, averaging 63.80 ± 15.36 Ns, indicating that this punch maintains force application over a more extended duration. The cross followed closely with an impulse of 57.90 ± 11.82 Ns, reinforcing the efficiency of straight punches in sustaining impact over time. This may explain why experienced boxers often ‘hold’ their fist on the target for a fraction of a second instead of delivering punches with unchecked speed [9].
The regression analysis confirmed that effective mass (β = 0.98, p < 0.001) is the strongest predictor of punching force, reinforcing its dominant role in force transmission. This further supports the idea that straight punches allow for a more efficient transfer of body mass into impact, as they maximize force through proper kinetic chain utilization.
Straight punches engage the entire kinetic chain in a more linear and controlled manner compared to hooks. This allows the force generated by leg and hip movement to be efficiently transmitted through the torso and arm to the fist, maximizing the effective mass of the punch. The strong correlation between impulse/fist acceleration and effective mass indicates that not the total impulse but its adjustment to acceleration determines punch effectiveness. This suggests that boxers should focus on optimizing joint stiffness at the moment of impact rather than merely increasing force or speed [14]. The Kruskal–Wallis test revealed a significant difference between the jab and cross for impulse (KW-H = 214.06, p < 0.001, η2 = 0.426), suggesting that while both straight punches effectively transfer force, the jab maintains a higher total impulse. Straight punches are also more directional, reducing energy losses from lateral movements and improving the mechanics of force application [15]. This corresponds with other research findings, where it has been observed that precise control of the moment of impact affects the effectiveness of force transfer [11]. An analysis of kicking mechanics in Kyokushin karate revealed that strikes to a target generate significantly higher acceleration values than kicks in the air, confirming the key role of biomechanical synchronization in optimizing strike force [16]. Similar findings were obtained before [4], emphasizing that straight punches allow for optimal utilization of ground reaction forces and better control of torque. Since optimal force transmission depends on maintaining structural integrity throughout the kinetic chain, training should emphasize controlled deceleration and impact control rather than merely maximizing punching speed. This is a crucial factor, as boxers who effectively utilize pressure force through dynamic leg extension and proper body stabilization can significantly increase their effective punching mass, even with relatively low body weight [17].
Additionally, fist acceleration (β = 0.72, p < 0.001) and impulse (β = 0.57, p < 0.001) were identified as key determinants of punching force. While acceleration plays an important role, our results confirm that impulse, defined as the product of force and time, allows for better mass transfer during impact. The comparison of Effective Mass Index values further supports this conclusion. The highest Effective Mass Index value was recorded for the cross (36.77 ± 18.83%), followed closely by the jab (35.49 ± 16.48%), suggesting that straight punches allow for a more effective utilization of body mass compared to hook punches. The correlation between impulse-to-fist acceleration ratio and effective mass further supports the idea that controlled force application is more crucial than maximum speed alone.
It is also worth noting that high effective mass in straight punches may be linked to the ability to stabilize posture at the moment of impact. Fighters who maintain proper body stiffness and minimize unnecessary movements can transfer force to the fist more effectively [18]. Consequently, training should focus not only on developing muscle strength but also on technical aspects of posture control and footwork, which enable efficient use of body mass in the punch [19]. This is consistent with studies on other combat sports, where biomechanical analysis has shown that the utilization of ground reaction forces and postural stability are key factors for strike effectiveness, regardless of an athlete’s body mass [20].
In contrast, the effective mass values for hooks were significantly lower: 14.38 ± 12.05 kg for the lead hook and 12.56 ± 5.52 kg for the rear hook. Despite generating greater ground reaction forces and higher fist acceleration, hooks were not as effective in transferring body mass as straight punches. The lead hook demonstrated an impulse of 42.39 ± 7.38 Ns, while the rear hook reached 43.87 ± 7.62 Ns, which were significantly lower than the values observed for straight punches. This suggests that hook punches apply force over a shorter time frame, potentially limiting their efficiency in mass transfer. This supports the idea that hooks, despite generating greater ground reaction forces and higher fist acceleration, are not as effective in transferring body mass as straight punches, as this was shown in boxing [21] and kickboxing [22]. Hooks require a wide range of hip and torso rotation, increasing movement dynamics but potentially leading to greater energy losses [23].
Additionally, the biomechanical characteristics of hooks mean that the moment of contact with the target may occur at a slightly different point in the punch trajectory compared to straight punches. While the jab and cross follow a more direct punching path, hooks reach their peak fist velocity when the arm is at the furthest point of its curved trajectory [6]. If the punch is not properly synchronized with the biomechanical peak of energy transfer, the effective mass of the impact may be lower than in straight punches, which utilize a more compact and directional mass transfer. Training strategies should therefore prioritize improving body stabilization at the moment of impact and refining the coordination of hip, torso, and arm rotation to maximize force transmission efficiency.
The analysis of body mass’s influence on effective mass revealed that there is no linear relationship between these variables. While higher body mass generally facilitates greater punching force [1], its impact on effective mass is limited. Although there is a study suggesting that straight punches have more impact, indicating the contribution of body mass to overall strike force [24], that study did not identify the degree of utilizing body mass in proportion to strike force. The data indicate that muscle mass alone does not necessarily increase impulse, as more muscular fighters may have shorter fist contact duration with the target, possibly due to reduced mobility or excessive stiffness in the arm and wrist. This raises an important question for trainers: does excessive hypertrophy in boxers truly contribute to generating effective punches? The findings suggest that after reaching a certain body mass threshold, further increases in muscle mass do not necessarily improve punching efficiency, but other research indicates that transfer of energy from lower limbs may play a crucial role in punch effectiveness, rather than sole body mass [23].
Interestingly, our analysis also found a moderate but statistically significant impact of body fat percentage (β = 0.31, p = 0.045) on punching force. This suggests that some level of fat mass may contribute to increased force application, possibly by enhancing overall body stability and weight distribution during impact. However, muscle mass (β = 0.14, p = 0.437) and body weight (β = −0.02, p = 0.807) were not significant predictors of punching force, which challenges the assumption that greater muscularity directly translates to more effective strikes. These findings indicate that while muscle hypertrophy may increase absolute strength, it does not necessarily optimize mass transfer efficiency, reinforcing the idea that technique and kinetic chain coordination play a more significant role in punching power than pure muscle mass.
Interestingly, training experience (β = 0.01, p = 0.525) showed no significant effect on punching force, which contrasts with previous studies suggesting that longer training tenure leads to better mass transfer in punches [13,23]. One potential explanation for this discrepancy may be the relatively narrow range of training experience among the participants in our study (mean: 6.0 ± 2.1 years). All athletes were actively training, which may have led to a relatively homogeneous level of technical proficiency. In contrast, the studies reporting a significant effect of training tenure might have included a more heterogeneous sample, encompassing both novice and elite-level boxers. This greater variability could have made the impact of training experience more detectable. This finding suggests that simply spending years in training is insufficient for optimizing effective mass transfer. Instead, a structured and biomechanically informed training approach is required to refine weight transfer techniques. The lack of a clear correlation between training tenure and effective mass suggests that the length of training alone is not a sufficient factor in determining effective mass transfer.
These findings offer valuable insights for boxing trainers and athletes. Training should emphasize refining cross and jab mechanics, as these punches enable more effective mass utilization. Also improving control over hip and lower limb movement through plyometric exercises and explosive strength training can enhance effective mass transfer [25]. The lack of correlation between training tenure and effective mass suggests that standard training programs may not be sufficient for all athletes. Individualized training approaches should be implemented, considering biomechanical factors and fighting styles.
From a practical standpoint, training programs should prioritize exercises that enhance kinetic chain integration, explosive strength, and postural stability. Boxers should focus on refining their mechanics in straight punches to maximize effective mass transfer while improving rotational stability and synchronization in hooks. Given the observed negative correlation between impulse and fist acceleration, training should also emphasize controlled deceleration and impact retention strategies to optimize force transmission. These adjustments could contribute to increased punching power and overall fight performance.
In this study, certain limitations must be considered, as they may influence the interpretation of the results. The assessment of the athletes’ technical level was based solely on their training tenure, which constitutes a methodological simplification. The time spent in training does not always directly correlate with actual technical skills, as different athletes may develop at varying rates depending on the quality of coaching, individual predispositions, or training intensity. Introducing an additional classification into multiple skill levels, taking into account aspects, such as sporting achievements, movement precision, or biomechanical analysis of technique, could provide more precise insights into the ability to generate effective mass and its relationship with technical experience.
Another limitation was the sample selection, which consisted of thirty male participants without an even representation of boxers from different weight categories and no female participants. Since punching biomechanics may vary depending on body mass and anatomical proportions, the lack of representation across different weight classes may limit the generalizability of the findings. Athletes with greater body mass may achieve different effective mass values and distribute forces differently during punches compared to lighter fighters. Similarly, due to differences in muscle structure and movement dynamics, female athletes might exhibit distinct relationships in terms of effective mass transfer, necessitating further studies on gender-specific variations. Although different weight classes were not evenly represented in this study, the focus was on identifying general biomechanical principles rather than weight-specific trends. Future studies could expand on this by including a more diverse sample across weight divisions to investigate how body mass influences effective mass transfer. However, the existing literature suggests that technical factors play a dominant role in strike efficiency, regardless of weight category. Given that this study included only male participants, the findings should be interpreted within the context of male boxing biomechanics. Differences in muscle composition, force application, and movement strategies between male and female athletes may influence effective mass transfer.
Additionally, the punches analyzed in this study were performed under laboratory conditions using a force plate, which does not fully reflect the dynamics of actual combat. In controlled experimental settings, athletes could fully concentrate on the task without the need to react to an opponent or adjust the force of their punches to real-time fight conditions. In actual competition, key variables such as distance, body position, footwork, and tactical decisions made in split seconds play a crucial role. Moreover, interaction with an opponent may influence the duration of fist contact with the target, which, according to the findings, is a significant factor in effective mass transfer. While laboratory conditions allow for precise measurement and control of biomechanical variables, they do not fully replicate the complexities of live competition, where factors such as opponent interaction, fatigue, and real-time decision-making influence strike execution. However, controlled experiments remain a necessary step in isolating key biomechanical factors before testing them in applied fight scenarios. Future research could incorporate in-fight data collection methods, such as wearable sensors, to bridge the gap between laboratory findings and competitive performance.
Future research should explore the interplay between neuromuscular control and effective mass, incorporating different weight classes and experience levels to enhance the applicability of these findings. Additionally, investigating the potential drawbacks of excessive muscle hypertrophy in relation to impact duration and force application could provide deeper insights into how muscle structure influences striking efficiency. Examining the effectiveness of different training methodologies in improving weight transfer and structural integrity at impact would further refine training approaches in combat sports.
5. Conclusions
The results confirm that effective mass is a crucial factor influencing punch efficiency, independent of absolute body mass or body fat mass. Straight punches, particularly the cross and jab, demonstrated significantly higher effective mass values compared to hooks, suggesting that linear force application facilitates better body mass transfer. However, it should be noted that this study was based on a sample of 30 boxers, which may limit the generalizability of the findings. The use of non-parametric tests, such as Kruskal–Wallis, was intended to adjust the analysis for small sample sizes and ensure reliable results.
These findings reinforce the idea that the most effective punches in boxing are not necessarily the strongest or the fastest but those that optimize contact time and force transfer. However, punch biomechanics may vary depending on body mass and weight category. Since this study did not include a balanced representation of different weight divisions, future analyses should consider a broader sample to assess how body mass influences effective mass transfer.
The findings also indicate that traditional markers of strength, such as body composition and training experience, do not directly correlate with effective mass. Instead, technical proficiency, movement coordination, and the ability to engage the entire kinetic chain appear to be more significant determinants of punching effectiveness. It should be emphasized, however, that this study included only male participants, meaning the results may not fully represent the biomechanics of female athletes’ punches. Future research could explore gender-specific differences in effective mass transfer.
This highlights the importance of joint stiffness and controlled force application at the moment of impact, rather than solely relying on acceleration or power. Therefore, optimizing punching biomechanics should be a key aspect of boxing training.
The findings could have direct applications in boxing training programs. Coaches and athletes can optimize striking efficiency by focusing on exercises that enhance the transfer of effective mass, such as plyometric drills, resistance training with movement specificity, and controlled impact exercises to refine force application. Training methodologies emphasizing proper kinetic chain utilization and postural control can improve effective mass transfer, leading to more powerful and efficient punches.
Beyond boxing, these results hold implications for other combat sports that involve striking, such as kickboxing and mixed martial arts (MMA). In these disciplines, the principles of effective mass can be adapted to improve the efficiency of not only punches but also kicks and knee strikes. Athletes in these sports can benefit from biomechanical optimization by refining weight transfer mechanics and maximizing impulse-to-acceleration synchronization, thereby enhancing striking power while reducing energy loss.
It is important to note that the lack of correlation between training tenure and effective mass may be influenced by the relatively homogeneous sample in terms of experience and age, as all participants had considerable boxing experience (mean: 6.0 ± 2.1 years) and were in a relatively narrow age range (mean: 29.2 ± 1.4 years), potentially limiting the ability to detect meaningful associations.
It is also important to acknowledge that this study was conducted under laboratory conditions, which do not fully reflect the dynamics of actual combat. In real competition, variables such as opponent interaction, distance, and body positioning play a crucial role in effective mass transfer. Future research should incorporate data collection in real fight scenarios to provide a more comprehensive understanding of the mechanisms behind effective punching.
Author Contributions
Conceptualization, J.K., D.M. and J.W.; methodology, D.M. and J.W.; software, D.M.; validation, J.K., D.M. and J.W.; formal analysis, J.W.; investigation, J.K.; resources, J.K. and J.W.; data curation, J.K.; writing—original draft preparation, J.K.; writing—review and editing, J.K., D.M., A.T. and J.W.; visualization, J.K. and J.W.; supervision, J.W.; project administration, J.W.; funding acquisition, J.W. All authors have read and agreed to the published version of the manuscript.
Funding
This research received no external funding.
Institutional Review Board Statement
The study was conducted in accordance with the Declaration of Helsinki, and approved by the Human Subjects Research Committee at Jan Długosz University (KE-O/4/2022, Date: 21.03.2022).
Informed Consent Statement
Informed consent was obtained from all subjects involved in the study.
Data Availability Statement
The dataset supporting the findings of this study is publicly available on Zenodo at https://doi.org/10.5281/zenodo.14966351. This dataset includes raw sensor data, processed summary statistics, and analysis scripts related to the biomechanics of punching and effective mass analysis.
Conflicts of Interest
The authors declare no conflicts of interest. The funders had no role in the design of the study; in the collection, analyses, or interpretation of data; in the writing of the manuscript; or in the decision to publish the results.
Abbreviations
The following abbreviations are used in this manuscript:
| GRF | Ground Reaction Force |
| afist | Acceleration of the Fist |
| Me | Effective Mass |
| %Me | Effective Mass Index |
| AUC | Area Under the Curve |
| AUC/afist | Area Under the Curve divided by Fist Acceleration |
References
- Podrigalo, L.; Ke, S.; Cynarski, W.J.; Perevoznyk, V.; Paievskyi, V.; Volodchenko, O.; Kanunova, L. Comparative Analysis of Physical Development and Body Composition of Kickboxing Athletes with Different Training Experience. Slobozhanskyi Her. Sci. Sport 2023, 27, 145–152. [Google Scholar] [CrossRef]
- Youn, B.Y.; Ko, S.G.; Kim, J.Y. Genetic Basis of Elite Combat Sports Athletes: A Systematic Review. Biol. Sport 2021, 38, 667–675. [Google Scholar] [PubMed]
- VencesBrito, A.M.; Rodrigues Ferreira, M.A.; Cortes, N.; Fernandes, O.; Pezarat-Correia, P. Kinematic and Electromyographic Analyses of a Karate Punch. J. Electromyogr. Kinesiol. 2011, 21, 1023–1029. [Google Scholar] [CrossRef] [PubMed]
- Lenetsky, S.; Nates, R.J.; Brughelli, M.; Harris, N.K. Is Effective Mass in Combat Sports Punching Above Its Weight? Hum. Mov. Sci. 2015, 40, 89–97. [Google Scholar] [CrossRef]
- Mosler, D.; Kacprzak, J.; Wąsik, J. The Influence of Effective Mass on the Striking Force of Lead Jab and Rear Cross Punches of Boxers. Appl. Sci. 2024, 14, 7785. [Google Scholar] [CrossRef]
- Dinu, D.; Louis, J. Biomechanical Analysis of the Cross, Hook, and Uppercut in Junior vs. Elite Boxers: Implications for Training and Talent Identification. Front. Sports Act. Living 2020, 2, 598861. [Google Scholar] [CrossRef]
- Neto, O.P.; Magini, M.; Saba, M.M.F. The Role of Effective Mass and Hand Speed in the Performance of Kung Fu Athletes Compared with Nonpractitioners. J. Appl. Biomech. 2007, 23, 139–148. [Google Scholar]
- Lenetsky, S.; Brughelli, M.; Nates, R.J.; Cross, M.R.; Lormier, A.V. Variability and Reliability of Punching Impact Kinetics in Untrained Participants and Experienced Boxers. J. Strength Cond. Res. 2018, 32, 1838–1842. [Google Scholar]
- Lenetsky, S.; Brughelli, M.; Nates, R.J.; Neville, J.G.; Cross, M.R.; Lormier, A.V. Defining the Phases of Boxing Punches: A Mixed-Method Approach. J. Strength Cond. Res. 2020, 34, 1040–1051. [Google Scholar]
- Lindsay, R.S.; Lenetsky, S.M. The Contribution of Expert Coaches’ Experiential Knowledge in Understanding Punching Performance in Boxers. J. Emerg. Sport Stud. 2022, 3. Available online: https://publishing.bceln.ca/index.php/jess/article/view/285 (accessed on 4 March 2025).
- Wąsik, J.; Mosler, D.; Góra, T.; Scurek, R. Conception of Effective Mass and Effect of Force—Measurement of Taekwon-Do Master. Phys. Act. Rev. 2023, 11, 11–16. [Google Scholar] [CrossRef]
- Appel, M.; Zentgraf, K.; Krüger, K.; Alack, K. Effects of Genetic Variation on Endurance Performance, Muscle Strength, and Injury Susceptibility in Sports: A Systematic Review. Front. Physiol. 2021, 12, 694411. [Google Scholar] [CrossRef] [PubMed]
- Loturco, I.; Nakamura, F.Y.; Artioli, G.G.; Kobal, R.; Kitamura, K.; Cal Abad, C.C.; Cruz, I.F.; Romano, F.; Pereira, L.A.; Franchini, E. Strength and Power Qualities Are Highly Associated with Punching Impact in Elite Amateur Boxers. J. Strength Cond. Res. 2016, 30, 109–116. [Google Scholar] [CrossRef] [PubMed]
- Pinto, M.; Crisóstomo, J.; Silva, G.; Monteiro, L. The Influence of Anthropometric Characteristics on Punch Impact. Sports 2025, 13, 12. [Google Scholar] [CrossRef]
- Cheraghi, M.; Agha Alinejad, H.; Arshi, A.R.; Shirzad, E. Kinematics of Straight Right Punch in Boxing. Ann. Appl. Sport Sci. 2014, 2, 39–50. [Google Scholar] [CrossRef]
- Mosler, D.; Góra, T.; Kaczmarski, J.; Błaszczyszyn, M.; Chociaj, M.; Borysiuk, Z. Target Kinematic Effect in Kyokushin Karate Front Kicks: An Analysis of Velocity, Acceleration, and Muscle Activation Patterns. Phys. Act. Rev. 2025, 13, 156–166. [Google Scholar] [CrossRef]
- Turner, A.; Baker, E.; Miller, S. Increasing the Impact Force of the Rear Hand Punch. Strength Cond. J. 2011, 33, 2–9. [Google Scholar] [CrossRef]
- Fuchs, P.X.; Lindinger, S.J.; Schwameder, H. Kinematic Analysis of Proximal-to-Distal and Simultaneous Motion Sequencing of Straight Punches. Sports Biomech. 2018, 17, 512–530. [Google Scholar] [CrossRef]
- Yi, W.; Chen, C.; Zhou, Z.; Cui, W.; Wang, D. Acute Effects of Ballistic versus Heavy-Resistance Exercises on Countermovement Jump and Rear-Hand Straight Punch Performance in Amateur Boxers. BMC Sports Sci. Med. Rehabil. 2022, 14, 161. [Google Scholar] [CrossRef]
- Kang, J.; Park, J.; Johnson, J.A. Comparison of Isokinetic Muscle Function and Anaerobic Exercise Capacity in the Knee According to Kukki Taekwondo Training Type. Phys. Act. Rev. 2021, 9, 40–55. [Google Scholar] [CrossRef]
- Lee, B.; McGill, S.M. Striking Dynamics and Kinetic Properties of Boxing and MMA Gloves. Rev. Artes Marciales Asiáticas 2014, 9, 106. [Google Scholar] [CrossRef]
- Babić, M.; Pobrić, I.; Čular, D. Physiological Response and Biomarkers in Kickboxing—Systematic Review. Phys. Act. Rev. 2023, 11, 120–137. [Google Scholar] [CrossRef]
- Dinu, D.; Millot, B.; Slawinski, J.; Louis, J. An Examination of the Biomechanics of the Cross, Hook and Uppercut Between Two Elite Boxing Groups. Sports Biomech. 2020, 22, 921–939. [Google Scholar]
- Beránek, V.; Votápek, P.; Stastny, P. Force and Velocity of Impact During Upper Limb Strikes in Combat Sports: A Systematic Review and Meta-Analysis. Sports Biomech. 2023, 22, 921–939. [Google Scholar] [CrossRef] [PubMed]
- Dunn, E.C.; Humberstone, C.E.; Franchini, E.; Fiona Iredale, K.; Blazevich, A.J. Relationships Between Punch Impact Force and Upper-and Lower-Body Muscular Strength and Power in Highly Trained Amateur Boxers. J. Strength Cond. Res. 2020, 36, 1019–1025. [Google Scholar] [CrossRef]
Disclaimer/Publisher’s Note: The statements, opinions and data contained in all publications are solely those of the individual author(s) and contributor(s) and not of MDPI and/or the editor(s). MDPI and/or the editor(s) disclaim responsibility for any injury to people or property resulting from any ideas, methods, instructions or products referred to in the content. |
© 2025 by the authors. Licensee MDPI, Basel, Switzerland. This article is an open access article distributed under the terms and conditions of the Creative Commons Attribution (CC BY) license (https://creativecommons.org/licenses/by/4.0/).




