Abstract
Ultra-high-voltage direct current (UHVDC) wall bushings are critical components in DC transmission systems, ensuring insulation integrity and operational reliability. In recent years, surface discharge incidents induced by charge accumulation at the gas–solid interface have become increasingly prominent. A comprehensive understanding of the electric field distribution and charge accumulation behavior of wall bushings under UHVDC is therefore essential for improving their safety and stability. In this work, an electrostatic field model of a ±800 kV UHVDC wall bushing core was developed using COMSOL Multiphysics 6.3. Based on this, a geometrically scaled model of the bushing core was further established to investigate charge distribution characteristics along the gas–solid interface under varying voltage amplitudes, application durations, and practical operating conditions. The results reveal that the maximum surface charge density occurs near the geometric corner of the core, with charge accumulation increasing as the applied voltage amplitude rises. Over time, the accumulation exhibits a saturation trend, approaching a steady state after approximately 480 min. Moreover, under actual operating conditions, the charge accumulation at the gas–solid interface increases by approximately 40%. These findings provide valuable insights for the design optimization of UHVDC wall bushings, thereby contributing to improved insulation performance and enhanced long-term operational reliability of DC transmission systems.
1. Introduction
Ultra-high-voltage direct current (UHVDC) transmission technology is a key approach for achieving large-capacity and long-distance power delivery [1]. As critical insulating components in converter stations, UHVDC wall bushings play an essential role in maintaining system stability and long-term operational reliability [2,3,4,5]. Unlike conventional AC systems, the electric field distribution in wall bushings under DC voltage is primarily governed by the conductivity of the insulating materials [6,7]. The field strength gradually transitions from an initial capacitive distribution to a steady-state resistive distribution [8,9,10]. During this process, charges accumulate at the interface between the bushing core and the surrounding insulating gas, resulting in electric field distortion, partial discharge, and even surface flashover [11,12,13]. Since 2019, three surface discharge incidents involving 400 kV DC bushings have been reported at the Xindong and Chusui DC stations, causing DC lockout and posing serious risks to system safety and stability. At the Yunnan Puer Converter Station, a 400 kV DC wall bushing experienced severe erosion of the outdoor current-carrying strip contacts due to abnormal thermal stress during operation [14], further threatening equipment integrity and overall system reliability [15].
Extensive research has investigated charge accumulation at the gas–solid interface. As early as 1983, Nakanishi [16] employed the dust figure and electrostatic probe methods to examine charge accumulation on solid dielectric surfaces between parallel-plate electrodes under DC voltage. The study concluded that surface charge formation was primarily caused by surface conduction arising from the nonuniform surface conductivity of the insulator. Zhang [17] conducted numerical simulations of charge accumulation on the inner surface of basin-type insulators, demonstrating that variations in charge location and polarity significantly altered the electric field distribution and reduced insulation performance. Li and Peng [18] developed a model describing the transient evolution of bulk and interfacial charge densities in gas–solid insulation systems under DC electric fields. They further proposed a weakly ionized gas conductivity model based on natural ionization, ion drift, and diffusion, which provided a theoretical foundation for subsequent simulations of charge behavior at gas–solid interfaces. Shi [19] independently developed a surface potential measurement system to characterize the potential distribution of a scaled bushing core and simulated the transient evolution of the electric field under DC excitation. The results showed that the surface potential exhibited a nonlinear dependence on the applied voltage and a distinct polarity effect. Chen [20,21] established an electro-thermal coupling model of ±200 kV epoxy-impregnated paper valve-side bushings, identifying the volume conductivity of the core material as the key parameter. The study revealed that reducing core conductivity suppresses positive surface charge accumulation and decreases the tangential electric field on the core surface, but prolongs the transition from capacitive to resistive behavior. Collectively, these studies have deepened the understanding of charge accumulation in insulators and valve-side bushings. However, for wall bushings under HVDC conditions, theoretical frameworks and experimental approaches remain limited [22,23,24], making the investigation of charge accumulation at the gas–solid interface an urgent research priority.
This study investigates ±800 kV ultra-high-voltage direct current (UHVDC) wall bushings. A scaled model of the bushing core was developed and analyzed using electric-field and charge-coupled simulations, focusing on the three primary mechanisms of surface charge accumulation at the gas–solid interface. The study examined the spatial distribution of positive and negative charges at the interface between the insulating core and SF6 gas, and further characterized the evolution of charge accumulation under varying voltage amplitudes, pressurization times, and realistic operating conditions. The resulting charge distribution patterns and the underlying mechanisms were elucidated, offering theoretical insights to guide insulation optimization and structural design improvements for UHVDC wall bushing cores.
2. Mathematical Model
2.1. Charge Density Distribution Equation
Within the solid domain, the electric field satisfies Gauss’s law, expressed as follows:
where ε is the relative permittivity of the material, is the free charge density, C/m3; is the electric potential, V.
According to Ohm’s law, the current density in the core is:
where is the surface conductivity, and is the gas-side current density, A/m2.
According to the current continuity equation:
The relationship between the current and the charge in material can be obtained by combining (1)–(3) and shown as Equation (4):
2.2. Accumulation Equation of Gas–Solid Interface Charge
Charge accumulation on the insulating core of a wall bushing can be classified into three primary components: (1) accumulation resulting from gas generation, recombination, migration, and diffusion in the SF6 atmosphere; (2) volumetric accumulation induced by temperature gradients within the solid insulating material; (3) surface accumulation caused by differences in material properties across the interface. The governing equations for these processes are given as follows:
2.2.1. Weak Ionized Gas Conductance Model
Under DC voltage, positive and negative ions migrate and diffuse in SF6 gas, generating the ion current density as expressed in Equation (5):
where and are the positive and negative ion mobility, m2/(V∙s); and are the positive and negative ion charge density, C/m3; is the diffusion coefficient, m2/s.
By substituting Equation (3) into Equation (5), the constraint equations for positive and negative ions are obtained (6):
where is the ionization rate, (m3·s)−1; is the recombination coefficient, m3/s; is the elementary charge, commonly taken as 1.6 × 10−19 C.
The relationship between the composite coefficient and ion mobility is:
The ion diffusion coefficient is defined by Einstein’s equation as:
where is the Boltzmann constant, commonly taken as 1.38 × 10−23 J/K; T is the temperature, K.
2.2.2. Solid-Side Charge Accumulation Model
Temperature gradients within solid insulating materials induce a nonlinear distribution of core conductivity, resulting in significant charge accumulation within the core. The charge dynamics in solid dielectrics can be described as follows:
2.2.3. Surface Charge Accumulation Model
The process of charge accumulation at the gas–solid interface can be expressed as:
where and are the normal current densities on the solid side and gas side, respectively, is the surface conductivity, and is the tangential electric field strength.
2.3. Boundary Conditions
Under positive voltage, the current originates from the surface of the high-voltage conductor rod and from specific regions of the insulating surface:
The points where current enters the grounded shielding side and the insulated surface are as follows:
2.4. Parameters of the Simulation
The simulation parameters and the corresponding values are shown in Table 1.
Table 1.
Simulation parameters.
3. Simulation Analysis
3.1. Electrostatic Field Simulation of an 800 kV Wall Bushing
This section uses COMSOL Multiphysics to model and simulate an 800 kV DC wall bushing. The 2D plan view of the bushing is shown in Figure 1. The central current-carrying conductor is made of copper and has a total length of 21.25 m. The inner insulation system consists of SF6 gas and an epoxy-impregnated paper core with a total length of 11.61 m. The core includes multiple layers of aluminum-foil shielding to ensure a uniform electric field distribution within the core. According to IEC 62199-2004 [25], the long-term withstand voltage for ±800 kV DC wall bushings is 880 kV. Therefore, the electromagnetic field module in COMSOL was used to simulate the steady-state operating condition of the DC wall bushing, yielding the potential and electric field distributions under stable operation.
Figure 1.
2D model of the ±800 kV DC wall bushing.
Figure 2 shows the overall potential and electric field strength distributions during the steady-state operation of the wall bushing. In Figure 2a, the equipotential lines within the SF6 gas are nearly parallel to the bushing’s axial direction. Near the SF6-sheath interface adjacent to the equalizing ring, the equipotential lines are almost perpendicular to the interface. Figure 2b presents the overall electric field distribution, while Figure 3 and Figure 4 illustrate the electric field at the gas–solid interface and the radial electric field distribution of the core, respectively.
Figure 2.
Potential and electric field distributions of the ±800 kV DC wall bushing: (a) Potential; (b) Electric field.
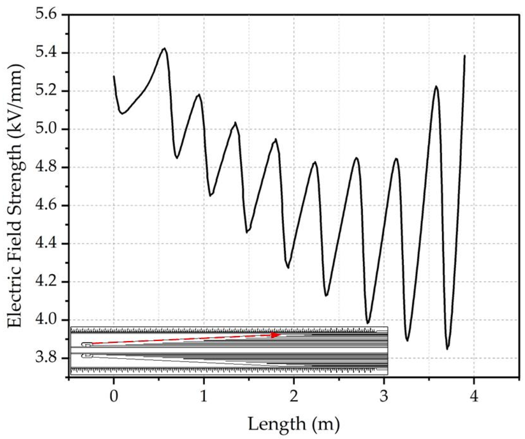
Figure 3.
Electric field distribution at the gas–solid interface. (The arrow direction indicates the trend of charge distribution).
Figure 4.
Radial electric field distribution in the core. (The arrow direction indicates the trend of charge distribution.).
Figure 3 shows the electric field distribution at the interface between SF6 gas and the insulating core, exhibiting an oscillatory decreasing trend along the indicated direction. The inclination angle of the gas–solid interface is machined according to the configuration of the embedded aluminum foils. The proximity of the foil ends to the gas–solid interface edge results in localized enhancement of the electric field in these regions. This interaction gives rise to periodic fluctuations in the electric field strength along the interface, corresponding to the axial locations of the foil terminations. Figure 4 illustrates the core’s radial electric field distribution, which follows a U-shaped trend, with higher field strength near the zero-layer electrode compared to the grounded electrode.
3.2. Scaled Model of the Core of a DC Wall Bushing
During prolonged DC operation, the electric field in a DC bushing transitions from a capacitive to a resistive state. This transition involves charge accumulation at the gas–solid interface of the bushing core. Such accumulation modifies the DC electric field distribution in the bushing core under steady-state conditions, resulting in field distortion and potentially compromising the long-term reliability of the bushing. To examine charge distribution at the gas–solid interface of the bushing core under prolonged DC voltage, a scaled model of the ±800 kV wall-penetrating insulation core was developed, as shown in Figure 5, serving as the primary subject of this study. A simulation model describing charge accumulation at the gas–solid interface was established to analyze the charge distribution under DC voltage. This approach simplifies the simulation process, reduced computational complexity, and provides guidance for core design optimization.
Figure 5.
Scaled model of the ±800 kV DC wall bushing core.
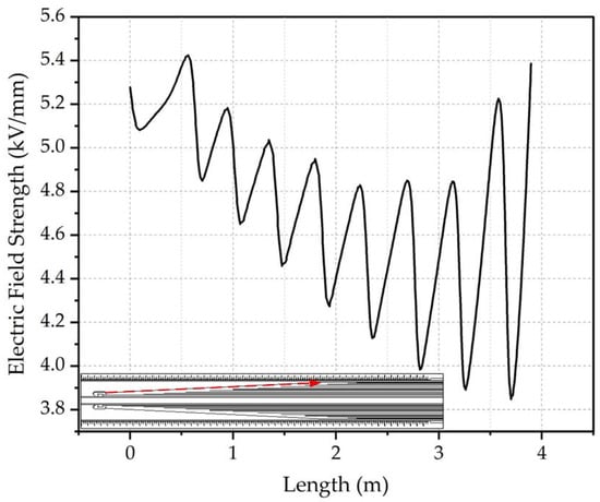
Figure 6 and Figure 7 show the electric field distribution at the gas–solid interface and the radial electric field of the core in the scaled model. These distributions are consistent with the trends observed during long-term operation of the 800 kV wall bushing, indicating that the scaled model accurately represents the behavior of the actual bushing.
Figure 6.
Electric field distribution curves at the gas–solid interface for two models.
Figure 7.
Radial electric field distribution curves of the core for two models.
4. Discussion
To better understand the charge accumulation characteristics under DC stress, the charge density distributions at the gas–solid interface of the bushing core were analyzed. The following figures illustrate how the spatial charge patterns evolve under steady-state conditions.
Figure 8 shows charge accumulation at the gas–solid interface of the scaled model upon reaching saturation. On the core’s inclined surface, positive and negative charges are alternately distributed, following the same pattern as the electric field at the core interface. As the voltage application time increases, the surface charge density on the core rises accordingly. After 480 min of voltage application, the charge accumulation stabilizes. Figure 9 illustrates the influence of the three dominant currents on charge accumulation at the core’s gas–solid interface during long-term operation. Among these, the currents on the solid and gas sides of the interface have a minor effect on charge accumulation, whereas the primary factor influencing charge accumulation is the core’s surface current.
Figure 8.
Charge density variation curve on the inclined surface at the gas–solid interface, where positive and negative charges exhibit alternating distribution.
Figure 9.
Variation curves of the three dominant currents at the gas–solid interface, including gas-side current, solid-side current, and surface current.
Figure 10 presents the charge distribution on the vertical surface of the core’s gas–solid interface in the scaled model. Similarly, after 480 min of voltage application, charge accumulation stabilizes. At the core’s corner, the accumulated charge reaches a maximum negative charge density of −1.28 × 10−5 C/m2. Just below the corner, the accumulated charge reaches a maximum of 1.5 × 10−5 C/m2, with a corresponding maximum electric field strength of 0.8 kV/mm at this location on the core’s gas–solid interface. This indicates that the vicinity of the core corner represents a weak insulation region, where charge accumulation increases the electric field and induces field distortion, thereby compromising the core’s insulation performance. On the core interface, the accumulated charge at the gas–solid interface gradually decreases from its maximum value toward the flange, with a small amount of negative charge remaining near the flange.
Figure 10.
Charge density on the vertical surface at the gas–solid interface, showing the maximum charge density at the core corner.
4.1. Different Voltage Levels
Figure 11 shows the stabilized charge accumulation on the central conductor of the scaled model core under applied voltages of 10 kV, 20 kV, 30 kV, and 40 kV. The applied voltages do not alter the charge distribution trend at the interface, but they affect the magnitude of accumulated charge. As the voltage level rises, the accumulated charge increases monotonically. Figure 12 illustrates the relationship between the maximum charge density and the applied voltage.
Figure 11.
Charge density curves at the gas–solid interface under different voltage levels.
Figure 12.
Relationship between maximum charge density and applied voltage level.
4.2. Different Voltage Application Times
As shown in Figure 13, the charge accumulation on the gas–solid interface increases with exposure time. However, prolonging the exposure does not change the overall charge distribution on the interface. At 480 min, the charge accumulation at the gas–solid interface reaches saturation. As the voltage application continues, the rate of charge accumulation at the interface gradually slows. However, at 600 min, the maximum charge density decreases slightly by about 2%, from 1.5 × 10−5 C/m2 to 1.47 × 10−5 C/m2, and continues to decrease thereafter. This indicates that as charge accumulation increases at the gas–solid interface, the induced electric field generated by the accumulated charge gradually strengthens and begins to counteract the externally applied DC field. As the induced field continues to intensify, the superposition of the two fields partially cancels the externally applied field, thereby weakening the driving force for further charge migration and deposition. Nevertheless, the inhibitory effect is minor and insufficient to eliminate insulation defects caused by high charge accumulation at this location.
Figure 13.
Charge density curve at the gas–solid interface under prolonged voltage application.
4.3. Actual Operating Conditions
Under actual operating conditions, DC wall bushings not only withstand DC voltage but also experience thermal effects from the DC current flowing through the central conductor. The heat primarily consists of two components: Joule heat generated by the central conductor and dielectric loss in the insulating material. However, compared with the Joule heat from the central conductor, the dielectric loss in the insulating material is negligible. Therefore, the heat generated during bushing operation is essentially the Joule heat produced by the current-carrying conductor [26,27,28,29], calculated using Equation (18):
where is the current flowing through the central conductor, A; is the resistivity of the current-carrying conductor, Ω/m; l is the length of the current-carrying conductor, m; r1 and r2 are the outer and inner diameters of the current-carrying conductor, m.
Therefore, according to Equation (18), the Joule heat generated by the ±800 kV ultra-high-voltage wall bushing under a 5454 A DC current can be calculated. Simulations indicate that the maximum core temperature under normal operating conditions reaches 90.6 °C [2]. To simulate the bushing’s temperature distribution during actual operation in a scaled model, a thermal power of 1 W was applied to the current-carrying conductor. Since both the volume and surface conductivities of the core material depend on temperature, they were fitted using the Ockhlin-Nius equation [19,30]:
Figure 14 shows the charge distribution at the core’s gas–solid interface after charge accumulation stabilizes under actual operating conditions. The temperature gradient causes discontinuities in the core’s bulk conductivity, leading to bulk charge accumulation and increased bulk current density. Consequently, at this temperature, the charge density at the tubular core’s gas–solid interface exceeds the room-temperature peak, while the maximum charge density decreases to 1.39 × 10−5 C/m2. On the core’s inclined surface, the charge distribution still alternates between positive and negative charges at the same frequency as at room temperature, indicating that the overall distribution trend remains largely unchanged. However, the peak values of positive charges increased by approximately 35%, while those of negative charges rose by about 45%, indicating a significant aggravation of interfacial charge accumulation. On the vertical surface, unlike at room temperature, the maximum charge density occurs at the core interface corner, followed by a gradual decrease in positive charge accumulation and a localized accumulation of negative charge near the flange.
Figure 14.
Comparison of gas–solid interface charge density curves at room temperature and under actual operating conditions.
5. Conclusions
This paper presents a scaled model of the ±800 kV ultra-high-voltage direct-current wall bushing core, based on its radial electric field and the electric field distribution at the gas–solid interface. An electrothermal coupled mathematical model of the scaled core is constructed to analyze the electric field and charge distribution characteristics at the gas–solid interface under various conditions. The main conclusions are summarized as follows:
- On the inclined surface of the gas–solid interface in the scaled-down core model, accumulated charges alternate between positive and negative. The maximum charge density, 1.5 × 10−5 C/m2, occurs near the core corner, where the electric field strength is also highest. Consequently, the vicinity of the core corner represents a weak insulation region on the gas–solid interface, where insulation failures, including partial discharges caused by electric field distortion, are likely to occur. This region requires enhanced insulation optimization. Near the flange, the interface predominantly accumulates negative charges.
- Charge accumulation increases with rising voltage levels. Under a 20 kV positive voltage, charge accumulation stabilizes after 480 min. However, as the voltage application continues, the overall charge distribution remains unchanged, while the maximum charge density begins to decrease after 480 min. The charge density in this region remains the highest.
- Simulating the scaled model at actual operating conditions, specifically at 90 °C, induces temperature gradients within the core. These gradients create discontinuities in the core’s bulk conductivity, resulting in bulk charge accumulation. Charges on the core’s inclined surface continue to alternate between positive and negative, maintaining a distribution trend consistent with room temperature. However, the peak charge density on the inclined surface increases, whereas the maximum charge density on the vertical surface decreases to 1.39 × 10−5 C/m2, occurring at the core corner. Under actual operating conditions, charge accumulation at the core’s gas–solid interface becomes more pronounced, with the peak charge density increasing by approximately 40% relative to room temperature.
Author Contributions
Conceptualization, W.L. and J.Z.; software, J.Z., and X.O.; validation, W.L. and M.H.; investigation, M.H.; resources, X.W.; data curation, F.W.; writing—original draft preparation, X.O.; writing—review and editing, S.C.; visualization, X.X. and X.O.; supervision, J.Z., F.W. and S.C.; project administration, W.L.; formal analysis, X.X.; Methodology, X.W. All authors have read and agreed to the published version of the manuscript.
Funding
This research was funded by the Science and Technology Project of China Southern Power Grid EHV Power Transmission Company (Grant No. 0120002025030301SJ00025) and the National Natural Science Foundation of China (No. 52237007 and 52377143).
Institutional Review Board Statement
Not applicable.
Informed Consent Statement
Not applicable.
Data Availability Statement
The data presented in this study are available in the article.
Acknowledgments
The authors would like to express their sincere gratitude to Zijia Wang for his valuable assistance in developing and optimizing the COMSOL simulation models used in this study. His technical guidance and close communication with the research team greatly improved the accuracy and convergence of the models. Wang also provided support in validating the consistency between simulation and experimental results, and offered helpful suggestions during the revision stage and the planning of subsequent research work.
Conflicts of Interest
Authors Wenhao Lu, Jinyin Zhang, Xiaoxing Wei and Mingchun Hou were employed by the Electric Power Research Institute of EHV Power Transmission Company China Southern Power Grid. The remaining authors declare that the research was conducted in the absence of any commercial or financial relationships that could be construed as a potential conflict of interest.
References
- Liu, S.; Song, S.; Lu, L. Failure Analysis and Design Improvement of ±800 kV HUVDC Wall Bushings. High Volt. Eng. 2019, 45, 2928–2935. [Google Scholar]
- Wang, Q.; Jin, S.; Yuan, S. Simulation of interface charge accumulation progress and DC electric field distribution characteristics of the UHV epoxy impregnated paper-SF6 gas composite insulation wall bushing. High Volt. Eng. 2022, 48, 4102–4112. [Google Scholar]
- Wang, J.; Li, B.T.; Li, Q.M. Impact of Linear Metal Particle on Surface Charge Accumulation of Post Insulator Within DC GIL. Trans. China Electrotech. Soc. 2016, 31, 213–222. [Google Scholar]
- Zhang, B.Y.; Li, Y.X.; Min, D.M. Insight into charge-induced flashover at the gas–solid interface in DC gas-insulated systems. J. Od Phys. D Appl. Phys. 2023, 57, 103001. [Google Scholar] [CrossRef]
- Kindersberger, J.; Wiegart, N.; Boggs, S.A. Ion production rates in SF6 and the relevance thereof to gas-insulated switchgear. In Proceedings of the IEEE Conference on Electrical Insulation and Dielectric Phenomena (CEIDP), Amherst, NY, USA, 20–24 October 1985; pp. 123–129. [Google Scholar]
- Tang, J.; Pan, C.; Wang, D. Development of Studies about Surface Charge Accumulation on Insulating Material under HVDC. Trans. China Electrotech. Soc. 2017, 32, 10–21. [Google Scholar]
- Wang, Q.; Xie, G.; Tian, H. Impact of Temperature on the Transient DC Field Distribution of ±1100 kV UHVDC Wall Bushing. IEEE Trans. Power Deliv. 2021, 36, 1449–1457. [Google Scholar] [CrossRef]
- Qi, B.; Gao, C.; Li, C. Effect of surface charge accumulation on flashover voltage of GIS insulator in SF6 under DC and AC voltages. In Proceedings of the 2015 IEEE Conference on Electrical Insulation and Dielectric Phenomena (CEIDP), Ann Arbor, MI, USA, 18–21 October 2015; pp. 848–851. [Google Scholar]
- Winter, A.; Kindersberger, J. Transient field distribution in gas-solid insulation systems under DC voltages. IEEE Trans. Dielectr. Electr. Insul. 2014, 21, 116–128. [Google Scholar] [CrossRef]
- Wiegart, N.; Niemeyer, L.; Pinnekamp, F.; Boeck, W.; Kindersberger, J.; Morrow, R.; Zaengl, W.; Zwicky, M.; Gallimberti, I.; Boggs, S.A. Inhomogeneous field breakdown in GIS-the prediction of breakdown probabilities and voltages. II. Ion density and statistical time lag. IEEE Trans. Power Deliv. 1988, 3, 931–938. [Google Scholar] [CrossRef]
- Wang, D.; Tang, J.; Liu, K. Charge Accumulation on Post Insulator Surface Under HVDC in GIS. High Volt. Eng. 2015, 41, 3073–3081. [Google Scholar]
- Luo, Y.; Tang, T.; Pan, C. Dynamics of surface charge and electric field distributions on basin-type insulator in GIS/GIL due to voltage polarity reversal. High Volt. 2020, 5, 151–159. [Google Scholar] [CrossRef]
- Zhang, S.Q.; Li, J.Z.; Tang, H. Long-time Flashover Discharge Characteristics of Gas-solid Interface of UHVDC Bushing and its Influencing Factors. In Proceedings of the CSEE, Shanghai, China, 27–29 February 2024; Volume 44, pp. 5776–5787. [Google Scholar]
- Zhang, J.; Wei, X.; Xia, G. Operating Characteristic Analysis of DC Wall Bushings in CSG. Insul. Surge Arresters 2019, 290, 230–236. [Google Scholar]
- Zhang, S.; Peng, Z.; Liu, P. Inner insulation structure optimization of UHV rip oil-SF6 bushing using electro-thermal simulation and advanced equal margin design method. IEEE Trans. Dielectr. Electr. Insul. 2014, 21, 1768–1777. [Google Scholar] [CrossRef]
- Nakanishi, K.; Yoshioka, A.; Arahata, Y. Surface charging on epoxy spacer at DC stress in compressed SF6 gas. IEEE Trans. Power Appar. Syst. 1983, 102, 3919–3927. [Google Scholar] [CrossRef]
- Zhang, G.; Wang, B.; Wang, Q. Simulation of Accumulated Surface Charge Effect on DC Cone-type Spacers. High Volt. Eng. 2010, 36, 335–339. [Google Scholar]
- Li, N.; Peng, Z. Electric Field Modeling and Solving for Gas/Solid Insulation System. J. Xi’an Jiaotong Univ. 2019, 36, 335–339. [Google Scholar]
- Shi, S. Surface Charge Accumulation Characteristics of Converter Transformer Valve-Side Bushing and Influence on DC Transient Electric Field. IEEE Trans. Dielectr. Electr. Insul. 2025, 32, 2304–2313. [Google Scholar] [CrossRef]
- Chen, M.; Liu, X.; Sun, Y. Influence of material volume conductivity on electric field and surface charge of RIP valve-side bushing core under DC electro-thermal coupling stress. IEEE Trans. Dielectr. Electr. Insul. 2020, 27, 164–171. [Google Scholar] [CrossRef]
- Chen, M.; Liu, X.D.; Liang, C.J. Study on Surface Charge Accumulation Characteristics of Resin Impregnated Paper Wall Bushing Core Under Positive DC Voltage. Energies 2019, 12, 4420. [Google Scholar] [CrossRef]
- Ruan, H.O.; Hu, S.X.; Song, J.X.; Liu, X. Impact of defect structures on interfacial and insulation properties in epoxy-impregnated aramid paper. IEEE Trans. Dielectr. Electr. Insul. 2024, 31, 1815–1822. [Google Scholar] [CrossRef]
- Kong, X.; Hou, C.; Li, F.; Du, H.S.; Tanaka, Y.; Du, B. Conductivity and breakdown properties of epoxy resin for HVDC bushing by multifunctional modifier. IEEE Trans. Dielectr. Electr. Insul. 2024, 31, 2531–2538. [Google Scholar] [CrossRef]
- Straumann, U.; Schuller, M.; Franck, C.M. Theoretical investigation of HVDC disc spacer charging in SF6 gas insulated systems. IEEE Trans. Dielectr. Electr. Insul. 2012, 19, 2196–2205. [Google Scholar] [CrossRef]
- IEC 62199-2004; Bushing for DC Application[S]. International Electrotechnical Commission: Geneva, Switzerland, 2004.
- Zhang, Y.X.; Zhang, L.; Tang, Z. Effect of external ambient temperature and internal gas pressure on surface charge accumulation of HVDC GIL. Insul. Mater. 2024, 57, 80–87. [Google Scholar]
- Du, B.X.; Dong, J.N.; Li, J. Gas convection affecting surface charge and electric field distribution around tri-post insulators in ±800 kV GIL. IEEE Trans. Dielectr. Electr. Insul. 2021, 28, 1372–1379. [Google Scholar] [CrossRef]
- Ma, G.M.; Zhou, H.Y.; Lu, S.J. Effect of material volume conductivity on surface charges accumulation on spacers under DC electro-thermal coupling stress. IEEE Trans. Dielectr. Electr. Insul. 2018, 25, 1211–1220. [Google Scholar] [CrossRef]
- Li, X.L.; Wang, M.D.; Zhang, G.K. Surface charge characteristics of DC-GIL insulator under multiphysics coupled field: Effects of ambient temperature, load current, and gas pressure. IEEE Trans. Dielectr. Electr. Insul. 2022, 29, 1530–1539. [Google Scholar] [CrossRef]
- Vulević, B.; Osmokrović, P. Evaluation of uncertainty in the measurement of environmental electromagnetic fields. Nucl. Technol. Radiat. Prot. 2014, 29, 279–284. [Google Scholar] [CrossRef]
Disclaimer/Publisher’s Note: The statements, opinions and data contained in all publications are solely those of the individual author(s) and contributor(s) and not of MDPI and/or the editor(s). MDPI and/or the editor(s) disclaim responsibility for any injury to people or property resulting from any ideas, methods, instructions or products referred to in the content. |
© 2025 by the authors. Licensee MDPI, Basel, Switzerland. This article is an open access article distributed under the terms and conditions of the Creative Commons Attribution (CC BY) license (https://creativecommons.org/licenses/by/4.0/).













