Bioactive Compounds from Porphyra umbilicalis: Implications for Human Nutrition
Abstract
1. Introduction
2. Materials and Methods
3. Characteristics of Porphyra umbilicalis
3.1. Economic Relevance
3.2. Morphology
3.3. Cultivation
4. Chemical Composition
4.1. Protein Content and Amino Acid Profile
4.1.1. Bioactive Compounds: Mycosporine-like Amino Acids and Photosynthetic Pigments
4.1.2. Nutritional Value and Digestibility of Algal Proteins
4.2. Carbohydrates
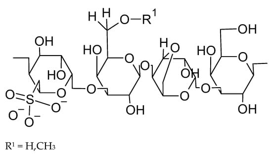
4.2.1. Porphyran: Structure and Biological Functions
4.2.2. Carrageenan Types and Applications
4.3. Dietary Fiber
4.4. Fats
4.4.1. Fatty Acid Profile of Porphyra umbilicalis
4.4.2. Bioavailability and Absorption Limitations
4.5. Vitamins
Vitamin B12
4.6. Mineral Components
4.7. Phenolic Compounds
4.8. Change in Chemical Composition Depending on Environmental Conditions
5. Pharmacological Properties of Porphyra umbilicalis
5.1. Anti-Inflammatory Properties
5.2. Antioxidant Properties
5.3. Anti-Cancer Properties
5.3.1. Chemopreventive Effects in Animal Models
5.3.2. Apoptotic Pathway Modulation by Porphyran
6. Applications in the Food Industry
6.1. Nutritional Enrichment of Meat and Bakery Products
6.2. Clean Label and Functional Food Development
7. Potential Risks Associated with Porphyra umbilicalis
8. Conclusions
Author Contributions
Funding
Conflicts of Interest
References
- Van Esse, G.W. The Quest for Optimal Plant Architecture. Science 2022, 376, 133–134. [Google Scholar] [CrossRef]
- Marcos, C.N.; de Evan, T.; Molina-Alcaide, E.; Novoa-Garrido, M.; Weisbjerg, M.R.; Carro, M.D. Preserving Saccharina Latissima and Porphyra Umbilicalis in Multinutrient Blocks: An In Vitro Evaluation. Agriculture 2023, 13, 263. [Google Scholar] [CrossRef]
- Giacalone, D.; Jaeger, S.R. Consumer Acceptance of Novel Sustainable Food Technologies: A Multi-Country Survey. J Clean Prod 2023, 408, 137119. [Google Scholar] [CrossRef]
- Lopes, S.O.; Abrantes, L.C.S.; Azevedo, F.M.; Morais, N.d.S.d.; Morais, D.d.C.; Gonçalves, V.S.S.; Fontes, E.A.F.; Franceschini, S.d.C.C.; Priore, S.E. Food Insecurity and Micronutrient Deficiency in Adults: A Systematic Review and Meta-Analysis. Nutrients 2023, 15, 1074. [Google Scholar] [CrossRef]
- Bailey, R.L.; West, K.P.; Black, R.E. The Epidemiology of Global Micronutrient Deficiencies. Ann. Nutr. Metab. 2015, 66, 22–33. [Google Scholar] [CrossRef]
- Diaz, C.J.; Douglas, K.J.; Kang, K.; Kolarik, A.L.; Malinovski, R.; Torres-Tiji, Y.; Molino, J.V.; Badary, A.; Mayfield, S.P. Developing Algae as a Sustainable Food Source. Front. Nutr. 2023, 9, 1029841. [Google Scholar] [CrossRef]
- Adarshan, S.; Sree, V.S.S.; Muthuramalingam, P.; Nambiar, K.S.; Sevanan, M.; Satish, L.; Venkidasamy, B.; Jeelani, P.G.; Shin, H. Understanding Macroalgae: A Comprehensive Exploration of Nutraceutical, Pharmaceutical, and Omics Dimensions. Plants 2024, 13, 113. [Google Scholar] [CrossRef]
- Khan, N.; Sudhakar, K.; Mamat, R. Macroalgae Farming for Sustainable Future: Navigating Opportunities and Driving Innovation. Heliyon 2024, 10, e28208. [Google Scholar] [CrossRef]
- Trigueros, E.; Amaro, F.; de Pinho, P.G.; Oliveira, A.P. Comprehensive Analysis of Dehydrated Edible Macroalgae: Volatile Compounds, Chemical Profiles, Biological Activities, and Cytotoxicity. J. Appl. Phycol. 2025, 37, 597–615. [Google Scholar] [CrossRef]
- Ghidoni, A.; Vosmer, T. Boats and Ships of the Arabian Gulf and the Sea of Oman Within an Archaeological, Historical and Ethnographic Context; Springer Nature: Berlin, Germany, 2021; ISBN 9783030515065. [Google Scholar]
- Carpena, M.; Pereira, C.S.G.P.; Silva, A.; Barciela, P.; Jorge, A.O.S.; Perez-Vazquez, A.; Pereira, A.G.; Barreira, J.C.M.; Oliveira, M.B.P.P.; Prieto, M.A. Metabolite Profiling of Macroalgae: Biosynthesis and Beneficial Biological Properties of Active Compounds. Mar. Drugs 2024, 22, 478. [Google Scholar] [CrossRef]
- López-Santamarina, A.; Cardelle-Cobas, A.; Mondragón Portocarrero, A.d.C.; Cepeda Sáez, A.; Miranda, J.M. Modulatory Effects of Red Seaweeds (Palmaria palmata, Porphyra umbilicalis and Chondrus crispus) on the Human Gut Microbiota via an in Vitro Model. Food Chem. 2025, 476, 143437. [Google Scholar] [CrossRef]
- Blouin, N.A.; Brodie, J.A.; Grossman, A.C.; Xu, P.; Brawley, S.H. Porphyra: A Marine Crop Shaped by Stress. Trends Plant Sci. 2011, 16, 29–37. [Google Scholar] [CrossRef]
- Santos, S.; Ferreira, T.; Almeida, J.; Pires, M.J.; Colaço, A.; Lemos, S.; Da Costa, R.M.G.; Medeiros, R.; Bastos, M.M.S.M.; Neuparth, M.J.; et al. Dietary Supplementation with the Red Seaweed Porphyra umbilicalis Protects against DNA Damage and Pre-Malignant Dysplastic Skin Lesions in HPV-Transgenic Mice. Mar. Drugs 2019, 17, 615. [Google Scholar] [CrossRef]
- Codd, G.A.; Testai, E.; Funari, E.; Svirčev, Z. Cyanobacteria, Cyanotoxins, and Human Health; Wiley: Hoboken, NJ, USA, 2020; pp. 37–68. [Google Scholar]
- Mohammadi, A.; Mahmoudnia, F. Biological Treatment of Heavy Metals with Algae. In Heavy Metals-Recent Advances; IntechOpen: London, UK, 2023. [Google Scholar] [CrossRef]
- Ismail, M.M.; Alotaibi, B.S.; EL-Sheekh, M.M. Therapeutic Uses of Red Macroalgae. Molecules 2020, 25, 4411. [Google Scholar] [CrossRef]
- Yanshin, N.; Kushnareva, A.; Lemesheva, V.; Birkemeyer, C.; Tarakhovskaya, E. Chemical Composition and Potential Practical Application of 15 Red Algal Species from the White Sea Coast (The Arctic Ocean). Molecules 2021, 26, 2489. [Google Scholar] [CrossRef]
- Qiu, Y.; Jiang, H.; Fu, L.; Ci, F.; Mao, X. Porphyran and Oligo-Porphyran Originating from Red Algae Porphyra: Preparation, Biological Activities, and Potential Applications. Food Chem. 2021, 349, 129209. [Google Scholar] [CrossRef]
- Ferreira, J.; Trigo, M.; Aubourg, S.P.; Prego, R.; Ferreira, L.M.M.; Pacheco, M.; Silva, A.M.; Gaivão, I. Nutritional Profiling of Red Seaweeds Grateloupia turuturu and Porphyra umbilicalis: Literature-Based Insights into Their Potential for Novel Applications and Partial Replacement of Conventional Agricultural Crops. Eur. Food Res. Technol. 2025, 251, 1643–1655. [Google Scholar] [CrossRef]
- Pires, C.; Sapatinha, M.; Mendes, R.; Bandarra, N.M.; Gonçalves, A. Dehydration, Rehydration and Thermal Treatment: Effect on Bioactive Compounds of Red Seaweeds Porphyra umbilicalis and Porphyra Linearis. Mar. Drugs 2024, 22, 166. [Google Scholar] [CrossRef]
- Quigley, C.T.C.; Morrison, H.G.; Mendonça, I.R.; Brawley, S.H. A Common Garden Experiment with Porphyra umbilicalis (Rhodophyta) Evaluates Methods to Study Spatial Differences in the Macroalgal Microbiome. J. Phycol. 2018, 54, 653–664. [Google Scholar] [CrossRef]
- Kaur, R.; Kaushik, D.; Bansal, V.; Sharma, A.; Kumar, M. Unrevealing the Potential of Macroalgae porphyra Sp. (Nori) in Food, Pharmaceutics and Health Sector. J. Food Sci. 2025, 90, e70110. [Google Scholar] [CrossRef]
- Bito, T.; Teng, F.; Watanabe, F. Bioactive Compounds of Edible Purple Laver porphyra Sp. (Nori). J. Agric. Food Chem. 2017, 65, 10685–10692. [Google Scholar] [CrossRef]
- Cai, J. Seaweeds and Microalgae: An Overview for Unlocking Their Potential in Global Aquaculture Development; Food and Agriculture Organization: Rome, Italy, 2021; Volume 1229, ISBN 9789251347102. [Google Scholar]
- Brawley, S.H.; Blouin, N.A.; Ficko-Blean, E.; Wheeler, G.L.; Lohr, M.; Goodson, H.V.; Jenkins, J.W.; Blaby-Haas, C.E.; Helliwell, K.E.; Chan, C.X.; et al. Insights into the Red Algae and Eukaryotic Evolution from the Genome of Porphyra umbilicalis (Bangiophyceae, Rhodophyta). Proc. Natl. Acad. Sci. USA 2017, 114, E6361–E6370. [Google Scholar] [CrossRef]
- Aydlett, M. Examining the Microbiome of Porphyra umbilicalis in the North Atlantic. Bachelor’s Thesis, University of Maine, Orono, ME, USA, 2019. [Google Scholar]
- Gantt, E.; Berg, G.M.; Bhattacharya, D.; Blouin, N.A.; Brodie, J.A.; Chan, C.X.; Collén, J.; Cunningham, F.X.; Gross, J.; Grossman, A.R.; et al. Porphyra: Complex Life Histories in a Harsh Environment: P. Umbilicalis, an Intertidal Red Alga for Genomic Analysis; Springer Nature: Berlin, Germany, 2010; pp. 129–148. [Google Scholar] [CrossRef]
- Green, L.A.; Neefus, C.D. Effects of Temperature, Light Level, and Photoperiod on the Physiology of Porphyra umbilicalis Kützing from the Northwest Atlantic, a Candidate for Aquaculture. J. Appl. Phycol. 2016, 28, 1815–1826. [Google Scholar] [CrossRef]
- Islam, M.T. Determination of Nutritional Composition of Potential Red Seaweed (Porphyra umbilicalis). Master’s Thesis, Chattogram Veterinary and Animal Sciences University, Chattogram, Bangladesh, 2023. [Google Scholar]
- Wells, M.L.; Potin, P.; Craigie, J.S.; Raven, J.A.; Merchant, S.S.; Helliwell, K.E.; Smith, A.G.; Camire, M.E.; Brawley, S.H. Algae as Nutritional and Functional Food Sources: Revisiting Our Understanding. J. Appl. Phycol. 2017, 29, 949–982. [Google Scholar] [CrossRef]
- Suresh Kumar, K.; Kumari, S.; Singh, K.; Kushwaha, P. Influence of Seasonal Variation on Chemical Composition and Nutritional Profiles of Macro-and Microalgae; Wiley: Hoboken, NJ, USA, 2021; ISBN 9781119542650. [Google Scholar]
- Wu, G. Amino Acids Amino Acids; CRC Press: Boca Raton, FL, USA, 2003; Volume 96, ISBN 9781439861905. [Google Scholar]
- Cherry, P.; O’hara, C.; Magee, P.J.; Mcsorley, E.M.; Allsopp, P.J. Risks and Benefits of Consuming Edible Seaweeds. Nutr. Rev. 2019, 77, 307–329. [Google Scholar] [CrossRef]
- Machado, M.; Machado, S.; Pimentel, F.B.; Freitas, V.; Alves, R.C.; Oliveira, M.B.P.P. Amino Acid Profile and Protein Quality Assessment of Macroalgae Produced in an Integrated Multi-Trophic Aquaculture System. Foods 2020, 9, 1382. [Google Scholar] [CrossRef] [PubMed]
- Fernández-Segovia, I.; Lerma-García, M.J.; Fuentes, A.; Barat, J.M. Characterization of Spanish Powdered Seaweeds: Composition, Antioxidant Capacity and Technological Properties. Food Res. Int. 2018, 111, 212–219. [Google Scholar] [CrossRef]
- Astorga-España, M.S.; Rodríguez-Galdón, B.; Rodríguez-Rodríguez, E.M.; Díaz-Romero, C. Amino Acid Content in Seaweeds from the Magellan Straits (Chile). J. Food Compos. Anal. 2016, 53, 77–84. [Google Scholar] [CrossRef]
- Cardozo, K.H.M.; Guaratini, T.; Barros, M.P.; Falcão, V.R.; Tonon, A.P.; Lopes, N.P.; Campos, S.; Torres, M.A.; Souza, A.O.; Colepicolo, P.; et al. Metabolites from Algae with Economical Impact. Comp. Biochem. Physiol.-C Toxicol. Pharmacol. 2007, 146, 60–78. [Google Scholar] [CrossRef]
- Cao, J.; Wang, J.; Wang, S.; Xu, X. Porphyra Species: A Mini-Review of Its Pharmacological and Nutritional Properties. J. Med. Food 2016, 19, 111–119. [Google Scholar] [CrossRef] [PubMed]
- Rotsaert, F.A.J.; Pikus, J.D.; Fox, B.G.; Markley, J.L.; Sanders-Loehr, J. N-Isotope Effects on the Raman Spectra of Fe2S2 Ferredoxin and Rieske Ferredoxin: Evidence for Structural Rigidity of Metal Sites. J. Biol. Inorg. Chem. 2003, 8, 318–326. [Google Scholar] [CrossRef] [PubMed]
- Andrew, P.W.; Rogers, L.J.; Boulter, D.; Haslett, B.G. Ferredoxin from a Red Alga, Porphyra umbilicalis. Eur. J. Biochem. 1976, 69, 243–248. [Google Scholar] [CrossRef]
- Klupšaitė, D.; Juodeikienė, G. Legume: Composition, Protein Extraction and Functional Properties. A Review. Chem. Technol. 2015, 66, 5–12. [Google Scholar] [CrossRef]
- Erbersdobler, H.F.; Barth, C.A.; Jahreis, G. Legumes in Human Nutrition Nutrient Content and Protein Quality of Pulses. Ernahr. Umsch. 2017, 64, 134–139. [Google Scholar] [CrossRef]
- Venkatraman, K.L.; Mehta, A. Health Benefits and Pharmacological Effects of Porphyra Species. Plant Foods Hum. Nutr. 2019, 74, 10–17. [Google Scholar] [CrossRef]
- Kazir, M.; Abuhassira, Y.; Robin, A.; Nahor, O.; Luo, J.; Israel, A.; Golberg, A.; Livney, Y.D. Extraction of Proteins from Two Marine Macroalgae, Ulva Sp. and Gracilaria Sp., for Food Application, and Evaluating Digestibility, Amino Acid Composition and Antioxidant Properties of the Protein Concentrates. Food Hydrocoll. 2019, 87, 194–203. [Google Scholar] [CrossRef]
- Demarco, M.; Oliveira de Moraes, J.; Matos, Â.P.; Derner, R.B.; de Farias Neves, F.; Tribuzi, G. Digestibility, Bioaccessibility and Bioactivity of Compounds from Algae. Trends Food Sci. Technol. 2022, 121, 114–128. [Google Scholar] [CrossRef]
- Wahlström, N.; Harrysson, H.; Undeland, I.; Edlund, U. A Strategy for the Sequential Recovery of Biomacromolecules from Red Macroalgae Porphyra umbilicalis Kützing. Ind. Eng. Chem. Res. 2018, 57, 42–53. [Google Scholar] [CrossRef]
- Huo, Y.F.; Li, Y.T.; Xia, W.; Wang, C.; Xie, Y.Y.; Wang, Y.B.; Zhou, T.; Fu, L.L. Degraded Polysaccharides from Porphyra haitanensis: Purification, Physico-Chemical Properties, Antioxidant and Immunomodulatory Activities. Glycoconj. J. 2021, 38, 573–583. [Google Scholar] [CrossRef]
- Hotchkiss, S.; Brooks, M.; Campbell, R.; Philp, K.; Trius, A. The Use of Carrageenan in Food. In Carrageenans; Pereira, L., Ed.; Nova Science Publishers: Hauppauge, NY, USA, 2016; pp. 47–75. [Google Scholar]
- Arman, M.; Qader, S.A.U. Structural Analysis of Kappa-Carrageenan Isolated from Hypnea musciformis (Red algae) and Evaluation as an Elicitor of Plant Defense Mechanism. Carbohydr. Polym. 2012, 88, 1264–1271. [Google Scholar] [CrossRef]
- Matos, J.; Cardoso, C.; Serralheiro, M.L.; Bandarra, N.M.; Afonso, C. Seaweed Bioactives Potential as Nutraceuticals and Functional Ingredients: A Review. J. Food Compos. Anal. 2024, 133, 106453. [Google Scholar] [CrossRef]
- Cofrades, S.; López-Lopez, I.; Bravo, L.; Ruiz-Capillas, C.; Bastida, S.; Larrea, M.T.; Jiménez-Colmenero, F. Nutritional and Antioxidant Properties of Different Brown and Red Spanish Edible Seaweeds. Food Sci. Technol. Int. 2010, 16, 361–370. [Google Scholar] [CrossRef] [PubMed]
- Schmitz, G.; Ecker, J. The Opposing Effects of N-3 and n-6 Fatty Acids. Prog. Lipid Res. 2008, 47, 147–155. [Google Scholar] [CrossRef]
- Bishehkolaei, M.; Pathak, Y. Influence of Omega N-6/n-3 Ratio on Cardiovascular Disease and Nutritional Interventions. Hum. Nutr. Metab. 2024, 37, 200275. [Google Scholar] [CrossRef]
- Al-Khalaifah, H.S.; Al-Nasser, A.Y. Evaluating the Potential of Marine Algae as Sustainable Ingredients in Poultry Feed. Agriculture 2024, 14, 1889. [Google Scholar] [CrossRef]
- Usturoi, M.G.; Rațu, R.N.; Crivei, I.C.; Veleșcu, I.D.; Usturoi, A.; Stoica, F.; Radu Rusu, R.M. Unlocking the Power of Eggs: Nutritional Insights, Bioactive Compounds, and the Advantages of Omega-3 and Omega-6 Enriched Varieties. Agriculture 2025, 15, 242. [Google Scholar] [CrossRef]
- Zhang, X.; Ning, X.; He, X.; Sun, X.; Yu, X.; Cheng, Y.; Yu, R.Q.; Wu, Y. Fatty Acid Composition Analyses of Commercially Important Fish Species from the Pearl River Estuary, China. PLoS ONE 2020, 15, e0228276. [Google Scholar] [CrossRef] [PubMed]
- Matin, M.; Koszarska, M.; Atanasov, A.G.; Król-Szmajda, K.; Jóźwik, A.; Stelmasiak, A.; Hejna, M. Bioactive Potential of Algae and Algae-Derived Compounds: Focus on Anti-Inflammatory, Antimicrobial, and Antioxidant Effects. Molecules 2024, 29, 4695. [Google Scholar] [CrossRef] [PubMed]
- Bernaertsa, T.M.M.; Verstrekena, H.; Dejongheb, C.; Gheysenb, L.; Foubert, I.; Grauweta, T.; Loey, A.M.V. Cell Disruption of Nannochloropsis Sp. Improves in Vitro Bioaccessibility of Carotenoids and Ω3-LC-PUFA. J. Funct. Foods 2020, 65, 103770. [Google Scholar] [CrossRef]
- MacArtain, P.; Gill, C.I.R.; Brooks, M.; Campbell, R.; Rowland, I.R. Nutritional Value of Edible Seaweeds. Nutr. Rev. 2007, 65, 535–543. [Google Scholar] [CrossRef] [PubMed]
- Fernandes, S.; Oliveira, L.; Pereira, A.; Costa, M.d.C.; Raposo, A.; Saraiva, A.; Magalhães, B. Exploring Vitamin B12 Supplementation in the Vegan Population: A Scoping Review of the Evidence. Nutrients 2024, 16, 1442. [Google Scholar] [CrossRef]
- Huang, Q.N.; Watanabe, F.; Koseki, K.; He, R.E.; Lee, H.L.; Chiu, T.H.T. Effect of Roasted Purple laver (Nori) on Vitamin B12 Nutritional Status of Vegetarians: A Dose-Response Trial. Eur. J. Nutr. 2024, 63, 3269–3279. [Google Scholar] [CrossRef]
- Croft, M.T.; Lawrence, A.D.; Raux-Deery, E.; Warren, M.J.; Smith, A.G. Algae Acquire Vitamin B12 through a Symbiotic Relationship with Bacteria. Nature 2005, 438, 90–93. [Google Scholar] [CrossRef] [PubMed]
- Martínez–Hernández, G.B.; Castillejo, N.; Carrión–Monteagudo, M.d.M.; Artés, F.; Artés-Hernández, F. Nutritional and Bioactive Compounds of Commercialized Algae Powders Used as Food Supplements. Food Sci. Technol. Int. 2018, 24, 172–182. [Google Scholar] [CrossRef] [PubMed]
- Turck, D.; Castenmiller, J.; de Henauw, S.; Hirsch-Ernst, K.I.; Kearney, J.; Knutsen, H.K.; Maciuk, A.; Mangelsdorf, I.; McArdle, H.J.; Pelaez, C.; et al. Dietary Reference Values for Sodium. EFSA J. 2019, 17, e05778. [Google Scholar] [CrossRef]
- Food Search | USDA FoodData Central. Available online: https://fdc.nal.usda.gov/food-search?type=Foundation (accessed on 20 June 2025).
- Vaudin, A.; Wambogo, E.; Moshfegh, A.J.; Sahyoun, N.R. Sodium and Potassium Intake, the Sodium to Potassium Ratio, and Associated Characteristics in Older Adults, NHANES 2011-2016. J. Acad. Nutr. Diet. 2022, 122, 64–77. [Google Scholar] [CrossRef]
- García-Casal, M.N.; Pereira, A.C.; Leets, I.; Ramírez, J.; Quiroga, M.F. High Iron Content and Bioavailability in Humans from Four Species of Marine Algae. J. Nutr. 2007, 137, 2691–2695. [Google Scholar] [CrossRef]
- CEVA Porphyra (and Pyropia) Spp.—Nutritional Data Sheet. 2021. Available online: https://www.ceva-algues.com/en/document/nutritional-data-sheets-on-algae/ (accessed on 14 July 2025).
- Kazłowska, K.; Hsu, T.; Hou, C.C.; Yang, W.C.; Tsai, G.J. Anti-Inflammatory Properties of Phenolic Compounds and Crude Extract from Porphyra Dentata. J. Ethnopharmacol. 2010, 128, 123–130. [Google Scholar] [CrossRef]
- Song, J.H.; Kang, H.B.; Park, S.H.; Jeong, J.H.; Park, J.; You, Y.; Lee, Y.H.; Lee, J.; Kim, E.; Choi, K.C.; et al. Extracts of Porphyra Tenera (Nori Seaweed) Activate the Immune Response in Mouse RAW264.7 Macrophages via NF-ΚB Signaling. J. Med. Food 2017, 20, 1152–1159. [Google Scholar] [CrossRef]
- Sampath-Wiley, P.; Neefus, C.D.; Jahnke, L.S. Seasonal Effects of Sun Exposure and Emersion on Intertidal Seaweed Physiology: Fluctuations in Antioxidant Contents, Photosynthetic Pigments and Photosynthetic Efficiency in the Red Alga Porphyra umbilicalis Kützing (Rhodophyta, Bangiales). J. Exp. Mar. Biol. Ecol. 2008, 361, 83–91. [Google Scholar] [CrossRef]
- Korbee, N.; Huovinen, P.; Figueroa, F.L.; Aguilera, J.; Karsten, U. Availability of Ammonium Influences Photosynthesis and the Accumulation of Mycosporine-like Amino Acids in Two Porphyra Species (Bangiales, Rhodophyta). Mar. Biol. 2005, 146, 645–654. [Google Scholar] [CrossRef]
- Abdala Díaz, R.T.; Casas Arrojo, V.; Arrojo Agudo, M.A.; Cárdenas, C.; Dobretsov, S.; Figueroa, F.L. Immunomodulatory and Antioxidant Activities of Sulfated Polysaccharides from Laminaria Ochroleuca, Porphyra umbilicalis, and Gelidium corneum. Mar. Biotechnol. 2019, 21, 577–587. [Google Scholar] [CrossRef]
- Isaka, S.; Cho, K.; Nakazono, S.; Abu, R.; Ueno, M.; Kim, D.; Oda, T. Antioxidant and Anti-Inflammatory Activities of Porphyran Isolated from Discolored Nori (Porphyra yezoensis). Int. J. Biol. Macromol. 2015, 74, 68–75. [Google Scholar] [CrossRef]
- Mi-Jin Kwon, T.-J.N. Porphyran Induces Apoptosis Related Signal Pathway in AGS Gastric Cancer Cell Lines. Life Sci. 2006, 79, 1956–1962. [Google Scholar] [CrossRef]
- Ferreira, J.; Hartmann, A.; Martins-Gomes, C.; Nunes, F.M.; Souto, E.B.; Santos, D.L.; Abreu, H.; Pereira, R.; Pacheco, M.; Gaivão, I.; et al. Red Seaweeds Strengthening the Nexus between Nutrition and Health: Phytochemical Characterization and Bioactive Properties of Grateloupia turuturu and Porphyra umbilicalis Extracts. J. Appl. Phycol. 2021, 33, 3365–3381. [Google Scholar] [CrossRef]
- Sakai, S.; Komura, Y.; Nishimura, Y.; Sugawara, T.; Hirata, T. Inhibition of Mast Cell Degranulation by Phycoerythrin and Its Pigment Moiety Phycoerythrobilin, Prepared from Porphyra yezoensis. Food Sci. Technol. Res. 2011, 17, 171–177. [Google Scholar] [CrossRef]
- Vega, J.; Bonomi-Barufi, J.; Gómez-Pinchetti, J.L.; Figueroa, F.L. Cyanobacteria and Red Macroalgae as Potential Sources of Antioxidants and UV Radiation-Absorbing Compounds for Cosmeceutical Applications. Mar. Drugs 2020, 18, 659. [Google Scholar] [CrossRef] [PubMed]
- Tarasuntisuk, S.; Palaga, T.; Kageyama, H.; Waditee-Sirisattha, R. Mycosporine-2-Glycine Exerts Anti-Inflammatory and Antioxidant Effects in Lipopolysaccharide (LPS)-Stimulated RAW 264.7 Macrophages. Arch. Biochem. Biophys. 2019, 662, 33–39. [Google Scholar] [CrossRef]
- Jiang, Z.; Hama, Y.; Yamaguchi, K.; Oda, T. Inhibitory Effect of Sulphated Polysaccharide Porphyran on Nitric Oxide Production in Lipopolysaccharide-Stimulated RAW264.7 Macrophages. J. Biochem. 2012, 151, 65–74. [Google Scholar] [CrossRef] [PubMed]
- López-López, I.; Bastida, S.; Ruiz-Capillas, C.; Bravo, L.; Larrea, M.T.; Sánchez-Muniz, F.; Cofrades, S.; Jiménez-Colmenero, F. Composition and Antioxidant Capacity of Low-Salt Meat Emulsion Model Systems Containing Edible Seaweeds. Meat Sci. 2009, 83, 492–498. [Google Scholar] [CrossRef] [PubMed]
- Blouin, N.; Calder, B.L.; Perkins, B.; Brawley, S.H. Sensory and Fatty Acid Analyses of Two Atlantic Species of Porphyra (Rhodophyta). J. Appl. Phycol. 2006, 18, 79–85. [Google Scholar] [CrossRef]
- Ali, M.Q.; Azhar, M.A.; Munaim, M.S.A.; Ruslan, N.F.; Ahmad, N.; Noman, A.E. Recent Advances in Edible Seaweeds: Ingredients of Functional Food Products, Potential Applications, and Food Safety Challenges. Food Bioproc. Tech. 2025, 18, 4947–4974. [Google Scholar] [CrossRef]
- Cofrades, S.; Benedí, J.; Garcimartin, A.; Sánchez-Muniz, F.J.; Jimenez-Colmenero, F. A Comprehensive Approach to Formulation of Seaweed-Enriched Meat Products: From Technological Development to Assessment of Healthy Properties. Food Res. Int. 2017, 99, 1084–1094. [Google Scholar] [CrossRef]
- Kılınç, B.; Cirik, S.; Turan, G. Organic Agriculture Towards Sustainability; IntechOpen: London, UK, 2014. [Google Scholar] [CrossRef]
- Besada, V.; Andrade, J.M.; Schultze, F.; González, J.J. Heavy Metals in Edible Seaweeds Commercialised for Human Consumption. J. Mar. Syst. 2009, 75, 305–313. [Google Scholar] [CrossRef]
- Wei, C.; Li, W.; Zhang, C.; Van Hulle, M.; Cornelis, R.; Zhang, X. Safety Evaluation of Organoarsenical Species in Edible Porphyra from the China Sea. J. Agric. Food Chem. 2003, 51, 5176–5182. [Google Scholar] [CrossRef] [PubMed]
- Coelho, J.P. Arsenic Speciation in Algae: Case Studies in Europe, 1st ed.; Elsevier: Amsterdam, The Netherlands, 2019; Volume 85, ISBN 9780444642646. [Google Scholar]
- Petursdottir, A.H.; Sloth, J.J.; Feldmann, J. Introduction of Regulations for Arsenic in Feed and Food with Emphasis on Inorganic Arsenic, and Implications for Analytical Chemistry. Anal. Bioanal. Chem. 2015, 407, 8385–8396. [Google Scholar] [CrossRef]
- Kretchik, J.T. Arsenic in Drinking Water. Chem. Health Saf. 2002, 9, 36. [Google Scholar] [CrossRef]
- Stévant, P.; Marfaing, H.; Duinker, A.; Fleurence, J.; Rustad, T.; Sandbakken, I.; Chapman, A. Biomass Soaking Treatments to Reduce Potentially Undesirable Compounds in the Edible Seaweeds Sugar Kelp (Saccharina latissima) and Winged Kelp (Alaria esculenta) and Health Risk Estimation for Human Consumption. J. Appl. Phycol. 2018, 30, 2047–2060. [Google Scholar] [CrossRef]


| Nutritional Composition | Amount [g/100 g dw 1] |
|---|---|
| Caloric content (kcal/100 g dw) | 261 |
| Moisture | 4.45 |
| Carbohydrates | 43–54 |
| Dietary fiber | 29–41 |
| Protein | 29–39 |
| Fats | <0.5 |
| Ash | 10–12 |
| Amino Acids | Amount [mg/g dw] |
|---|---|
| Aspartic acid | 23.7–26.6 |
| Glutamic acid | 21.1–25.9 |
| Alanine | 21.8–23.4 |
| Arginine | 14.3–17.9 |
| Glycine | 13.7–16.7 |
| Serine | 10.4–13.3 |
| Tyrosine | 5.5–8.8 |
| Proline | 8.6–8.6 |
| Hydroxyproline | 0–0.05 |
| Phenylalanine | 8.6–9.1 |
| Histidine | 1.7–6.5 |
| Isoleucine | 8.2–8.3 |
| Leucine | 16.1–17.2 |
| Lysine | 11.6–16.1 |
| Methionine | 2.4–4.6 |
| Threonine | 11.9–12.1 |
| Tryptophan | 0.8–1.4 |
| Valine | 12.8–13.5 |
| % EAA (essential amino acids) | 38.5–38.7 |
| Source of Protein | Protein Content [g/100 g dw] | References |
|---|---|---|
| Red Macroalgae | [12,32] | |
| Porphyra umbilicalis | 29–39 | |
| Porphyra tenera | 28–47 | |
| Porphyra columbina | 24.61 | |
| Gracilaria edulis | 14.26 | |
| Palmaria palmata | 15.61 | |
| Chondrus crispus | 19.47 | |
| Legumes | [43] | |
| Glycine max (soybeans) | 38 | |
| Lupinus angustifolius (lupines, blue) | 32 | |
| Vicia faba (faba beans) | 27 | |
| Pisum sativum (peas) | 23 |
| Fatty Acids (g/100 g of Total Fatty Acids) | Common Name | Porphyra umbilicalis | Himanthalia elongata (Sea Spaghetti) | Undaria pinnatifida (Wakame) |
|---|---|---|---|---|
| C12:0 | Lauric acid | 0.46 | 0.08 | 0.71 |
| C14:0 | Myristic acid | - | 6.00 | 4.00 |
| C15:0 | Pentadecanoic acid | - | 0.28 | - |
| C16:0 | Palmitic acid | 33.80 | 30.14 | 27.72 |
| C17:00 | Heptadecanoic acid | 0.03 | 0.50 | - |
| C18:0 | Stearic acid | 0.92 | 0.78 | 1.75 |
| C20:0 | Arachidic acid | 0.45 | 1.15 | 4.85 |
| C18:1 n–9 | Oleic acid | 3.27 | 15.93 | 11.84 |
| C20:1 n–9 | Eicosenoic acid | 2.73 | - | - |
| C18:2 n–6 | Linoleic acid | 2.63 | 7.54 | 8.80 |
| C20:2 n–6 | Eicosadienoic acid | 1.11 | 0.10 | - |
| C18:3 n–3 | Alpha-linolenic acid | - | 9.94 | 7.91 |
| C20:3 n–6 | Dihomo-γ-linolenic acid | 1.83 | 0.45 | 1.02 |
| C18:4 n–3 | Stearidonic acid | 13.95 | 16.90 | 21.15 |
| C20:4 n–3 | Eicosatetraenoic acid | 0.45 | 0.39 | 1.50 |
| C20:5 n–3 | Eicosapentaenoic acid | 36.31 | 7.45 | 5.97 |
| ΣSFA | Total saturated fatty acids | 35.65 | 38.95 | 39.00 |
| ΣMUFA | Total monounsaturated fatty acids | 9.52 | 17.93 | 14.66 |
| ΣPUFA | Total polyunsaturated fatty acids | 56.41 | 42.92 | 46.34 |
| Σn–6 | 5.57 | 8.12 | 9.82 | |
| Σn–3 | 50.71 | 34.68 | 36.52 | |
| Ratio Σn–6/Σn–3 | 0.11 | 0.23 | 0.27 |
| Vitamins | Amount [mg/100 g dw] |
|---|---|
| Ascorbic acid (C) | 161.06 |
| Tocopherol (E) | 1.43 |
| Thiamine (B1) | 0.96 |
| Riboflavin (B2) | 3.42 |
| Niacin (B3) | 9.51 |
| Pyridoxine (B6) | 1.49 |
| Folate (B9) | 12.53 |
| Pharmacological Effects | Bioactive Compounds | Species | Model Used | Method/Mechanism | Health Effects | References |
|---|---|---|---|---|---|---|
| Anti-inflammatory | Porphyran | P. yezoensis | RAW264.7 (mouse macrophages) | -Exhibited by inhibiting both NO and iNOS production (Gries test) | Inhibited NO production and expression of iNOS in LPS-stimulated RAW 264.7 cells through the blocking of NF-kB activation. | [75] |
| Phycobiliproteins | RBL-2H3 cells (rat basophilic leukemia cells) | -Measuring the activity of the enzyme β-hexosaminidase | Inhibition of mast cell degranulation | [78] | ||
| Antioxidant | Porphyran | Porphyra spp. | Porphyran isolated from normal and discolored nori algae | -In vitro chemical tests (chemical reactions, chemiluminescence, ESR) | Hydroxyl-radical-scavenging activity | [75] |
| Phenol compounds | P. umbilicalis | P. umbilicalis collected from the Iberian Peninsula | -Free radical scavenging activity, ABTS and DPPH | Antioxidant activity that | [79] | |
| Anti-cancer | Porphyran | Porphyra spp. | The human gastric carcinoma cell line AGS IEC-6 rat small intestine epithelial cells FHs 74 Int human small intestinal cells | -Cell proliferation test (MTS assay) | Induction of apoptosis-related signal pathway in AGS gastric cancer cell lines | [76] |
| ND * | P. umbilicalis | K14HPV16 transgenic mice | -Comet assay (alkaline) -Histological examination of skin and liver -Biochemical analysis of blood serum -Micronucleus test (MN test) on erythrocytes | Reduced the incidence of dysplastic cutaneous lesions induced by HPV16 | [14] | |
| UV-absorbing | MAAa | P. umbilicalis | Polymethylmethacrylate (PMMA) plate | -In vitro spectrophotometric method | Protection against solar radiation | [79] |
Disclaimer/Publisher’s Note: The statements, opinions and data contained in all publications are solely those of the individual author(s) and contributor(s) and not of MDPI and/or the editor(s). MDPI and/or the editor(s) disclaim responsibility for any injury to people or property resulting from any ideas, methods, instructions or products referred to in the content. |
© 2025 by the authors. Licensee MDPI, Basel, Switzerland. This article is an open access article distributed under the terms and conditions of the Creative Commons Attribution (CC BY) license (https://creativecommons.org/licenses/by/4.0/).
Share and Cite
Katra, A.; Grembecka, M. Bioactive Compounds from Porphyra umbilicalis: Implications for Human Nutrition. Appl. Sci. 2025, 15, 11144. https://doi.org/10.3390/app152011144
Katra A, Grembecka M. Bioactive Compounds from Porphyra umbilicalis: Implications for Human Nutrition. Applied Sciences. 2025; 15(20):11144. https://doi.org/10.3390/app152011144
Chicago/Turabian StyleKatra, Anna, and Małgorzata Grembecka. 2025. "Bioactive Compounds from Porphyra umbilicalis: Implications for Human Nutrition" Applied Sciences 15, no. 20: 11144. https://doi.org/10.3390/app152011144
APA StyleKatra, A., & Grembecka, M. (2025). Bioactive Compounds from Porphyra umbilicalis: Implications for Human Nutrition. Applied Sciences, 15(20), 11144. https://doi.org/10.3390/app152011144

