Prospects for the Use of Quasi-Mersen Numbers in the Design of Parallel-Serial Processors
Abstract
1. Introduction
2. Results
2.1. RNS Used
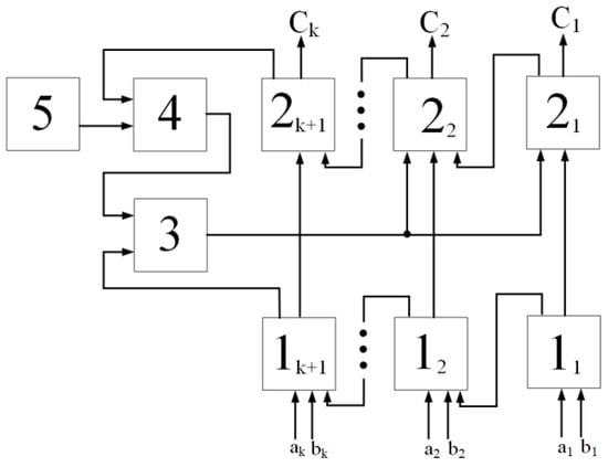
2.2. Basic Scheme of Operation of the Calculators of the Proposed Type
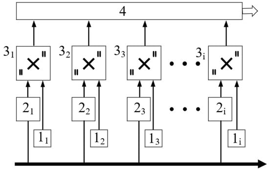
2.3. Scheme of a Trigger Adder Modulo a Quasi-Mersenne Number
2.4. Test Result of the Proposed Trigger Adder Circuit
3. Discussion
4. Conclusions
Supplementary Materials
Author Contributions
Funding
Institutional Review Board Statement
Informed Consent Statement
Data Availability Statement
Conflicts of Interest
References
- Brynjolfsson, E.; Hitt, L.M. Computing productivity: Firm-level evidence. Rev. Econ. Stat. 2003, 85, 793–808. [Google Scholar] [CrossRef]
- Leiserson, C.E.; Thompson, N.C.; Emer, J.S.; Kuszmaul, B.C.; Lampson, B.W.; Sanchez, D.; Schardl, T.B. There’s plenty of room at the Top: What will drive computer performance after Moore’s law? Science 2020, 368, eaam9744. [Google Scholar] [CrossRef] [PubMed]
- Qiu, T.; Chi, J.; Zhou, X.; Ning, Z.; Atiquzzaman, M.; Wu, D.O. Edge computing in industrial internet of things: Architecture, advances and challenges. IEEE Commun. Surv. Tutor. 2020, 22, 2462–2488. [Google Scholar] [CrossRef]
- Schweikl, S.; Obermaier, R. Lessons from three decades of IT productivity research: Towards a better understanding of IT-induced productivity effects. Manag. Rev. Q. 2020, 70, 461–507. [Google Scholar] [CrossRef]
- Umuroglu, Y.; Conficconi, D.; Rasnayake, L.; Preusser, T.B.; Själander, M. Optimizing bit-serial matrix multiplication for reconfigurable computing. ACM Trans. Reconfig. Technol. Syst. (TRETS) 2019, 12, 1–24. [Google Scholar] [CrossRef]
- Moss, D.J.; Boland, D.; Leong, P.H. A two-speed, radix-4, serial–parallel multiplier. IEEE Trans. Very Large Scale Integr. (VLSI) Syst. 2018, 27, 769–777. [Google Scholar] [CrossRef]
- Isupov, K. Using floating-point intervals for non-modular computations in residue number system. IEEE Access 2020, 8, 58603–58619. [Google Scholar] [CrossRef]
- Peng, J.; Sun, S.; Narayana, V.K.; Sorger, V.J.; El-Ghazawi, T. Residue number system arithmetic based on integrated nanophotonics. Opt. Lett. 2018, 43, 2026–2029. [Google Scholar] [CrossRef]
- Mohan, P.A.; Mohan, P.A. Residue Number Systems; Birkhäuser: Cham, Switzerland, 2016; pp. 16–24. [Google Scholar]
- Efstathiou, C.; Kouretas, I.; Kitsos, P. On the modulo 2n+1 addition and subtraction for weighted operands. Microprocess. Microsyst. 2023, 101, 104897. [Google Scholar] [CrossRef]
- Patel, B.K.; Kanungo, J. Efficient Tree Multiplier Design by using Modulo 2 n+ 1 Adder. In Proceedings of the 2021 Emerging Trends in Industry 4.0 (ETI 4.0), Raigarh, India, 19–21 May 2021; pp. 1–6. [Google Scholar] [CrossRef]
- Irkhin, V.P.; Glazkov, E.B.; Lukyanov, M.A.; Dolgachev, A.A.; Kryukov, Y.G. Device for Addition and Subtraction of Numbers Modulo. 2020. Available online: https://patenton.ru/patent/SU1599857A1 (accessed on 12 August 2024).
- Ahmadifar, H.; Torabi, Z. Adder-Only Reverse Converters for 5-Moduli Set {2 q, 2 q− 1, 2 q+ 1±1, 2 q+ 2− 1}. IETE J. Res. 2024, 70, 7346–7353. [Google Scholar] [CrossRef]
- Suleimenov, I.E.; Vitulyova, Y.S.; Kabdushev, S.B.; Bakirov, A.S. Improving the efficiency of using multivalued logic tools: Application of algebraic rings. Sci. Rep. 2023, 13, 22021. [Google Scholar] [CrossRef] [PubMed]
- Vitulyova, Y.S.; Bakirov, A.S.; Suleimenov, I.E. Galois Fields for Digital Image and Signal Processing: Evidence for the Importance of Field Specificity. In Proceedings of the 2022 5th International Conference on Pattern Recognition and Artificial Intelligence (PRAI), Chengdu, China, 19–21 August 2022; pp. 637–642. [Google Scholar]
- Pan, C.; Wang, C.Y.; Liang, S.J.; Wang, Y.; Cao, T.; Wang, P.; Miao, F. Reconfigurable logic and neuromorphic circuits based on electrically tunable two-dimensional homojunctions. Nat. Electron. 2020, 3, 383–390. [Google Scholar] [CrossRef]
- Wei, S. Reconfigurable computing: A promising microchip architecture for artificial intelligence. J. Semicond. 2020, 41, 020301. [Google Scholar] [CrossRef]
- Luo, S.; Song, M.; Li, X.; Zhang, Y.; Hong, J.; Yang, X.; You, L. Reconfigurable skyrmion logic gates. Nano Lett. 2018, 18, 1180–1184. [Google Scholar] [CrossRef]
- Suleimenov, I.; Kadyrzhan, A.; Matrassulova, D.; Vitulyova, Y. Peculiarities of Applying Partial Convolutions to the Computation of Reduced Numerical Convolutions. Appl. Sci. 2024, 14, 6388. [Google Scholar] [CrossRef]
- Bhattacharjee, K.; Das, S. A search for good pseudo-random number generators: Survey and empirical studies. Comput. Sci. Rev. 2022, 45, 100471. [Google Scholar] [CrossRef]
- Matsumoto, M.; Nishimura, T. Mersenne Twister: A 623-dimensionally equidistributed uniform pseudorandom number generator. ACM Trans. Model. Comput. Simulat. 1998, 8, 3–30. [Google Scholar] [CrossRef]
- Smirnov, A.A.; Bondar, V.V.; Rozhenko, O.D.; Mirzoyan, M.V.; Darjania, A.D. Mersenne Numbers in the Bases of Systems of Residual Classes when Transmitting Data in Serial Communication Channels. J. Math. Sci. 2022, 260, 241–248. [Google Scholar] [CrossRef]
- Ali, S.; Cenk, M. Faster residue multiplication modulo 521-bit Mersenne prime and an application to ECC. IEEE Trans. Circuits Syst. I Regul. Pap. 2018, 65, 2477–2490. [Google Scholar] [CrossRef]
- Nenashev, V.A.; Sergeev, A.M.; Kapranova, E.A. Research and analysis of autocorrelation functions of code sequences formed on the basis of monocyclic quasi-orthogonal matrices. Inf. Control Syst. 2018, 4, 9–14. [Google Scholar] [CrossRef]
- Shin, S.H.; Yoo, W.S.; Choi, H. Development of modified RSA algorithm using fixed mersenne prime numbers for medical ultrasound imaging instrumentation. Comput. Assist. Surg. 2019, 24 (Suppl. S2), 73–78. [Google Scholar] [CrossRef] [PubMed]
- Bakirov, A.; Matrassulova, D.; Vitulyova, Y.; Shaltykova, D.; Suleimenov, I. The specifics of the Galois field GF (257) and its use for digital signal processing. Sci. Rep. 2024, 14, 15376. [Google Scholar] [CrossRef] [PubMed]
- Yin, W.; Wen, Q.; Li, W.; Zhang, H.; Jin, Z. An anti-quantum transaction authentication approach in blockchain. IEEE Access 2018, 6, 5393–5401. [Google Scholar] [CrossRef]
- Turner, C.S. A fast binary logarithm algorithm [DSP tips & tricks]. IEEE Signal Process. Mag. 2010, 27, 124–140. [Google Scholar] [CrossRef]
- Sinha, S.K.; Kumari, S.; Kataria, A.; Thangarasu, N.; Sahoo, G.S. Blockchain empowerment: Investigating integration with software-defined networks and its impact on IoT privacy. Multidiscip. Rev. 2023, 6, e2023ss073. [Google Scholar] [CrossRef]
- Chen, X.; Zhang, Z.; Ren, J.S.; Tian, L.; Qiao, Y.; Dong, C. A new journey from SDRTV to HDRTV. In Proceedings of the IEEE/CVF International Conference on Computer Vision, Virtual, 11–17 October 2021; pp. 4500–4509. [Google Scholar]
- Arnold, J.; Frater, M.; Pickering, M. Digital Television: Technology and Standards; John Wiley & Sons: Hoboken, NJ, USA, 2007. [Google Scholar]
- Hiasat, A.A. High-speed and reduced-area modular adder structures for RNS. IEEE Trans. Comput. 2002, 51, 84–89. [Google Scholar] [CrossRef]
- Tay, T.F.; Chang, C.H. A new unified modular adder/subtractor for arbitrary moduli. In Proceedings of the 2015 IEEE International Symposium on Circuits and Systems (ISCAS), Lisbon, Portugal, 24–27 May 2015; pp. 53–56. [Google Scholar] [CrossRef]
- Maitland, D.S.; Chumbley, S.L.; Bradley, H.E. Modular Binary Half-Adder. U.S. Patent No. 4,054,788, 18 October 1977. Available online: https://patents.google.com/patent/US4054788A/en (accessed on 12 August 2024).
- Lin, W.C. Modular Operation Circuit Adopting Iterative Calculations. U.S. Patent No. 11,662,978, 30 May 2023. Available online: https://patents.google.com/patent/US11662978B2/en (accessed on 12 August 2024).
- Gu, J.; Wang, Z.; Kuen, J.; Ma, L.; Shahroudy, A.; Shuai, B.; Chen, T. Recent advances in convolutional neural networks. Pattern Recognit. 2018, 77, 354–377. [Google Scholar] [CrossRef]
- Afridi, M.J.; Ross, A.; Shapiro, E.M. On automated source selection for transfer learning in convolutional neural networks. Pattern Recognit. 2018, 73, 65–75. [Google Scholar] [CrossRef]
- Li, Z.; Liu, F.; Yang, W.; Peng, S.; Zhou, J. A survey of convolutional neural networks: Analysis, applications, and prospects. IEEE Trans. Neural Netw. Learn. Syst. 2021, 33, 6999–7019. [Google Scholar] [CrossRef]
- Sun, L.; Zhang, Y.; Chang, X.; Wang, Y.; Xu, J. Cloud-aware generative network: Removing cloud from optical remote sensing images. IEEE Geosci. Remote Sens. Lett. 2019, 17, 691–695. [Google Scholar] [CrossRef]
- Li, X.; Wang, L.; Cheng, Q.; Wu, P.; Gan, W.; Fang, L. Cloud removal in remote sensing images using nonnegative matrix factorization and error correction. ISPRS J. Photogramm. Remote Sens. 2019, 148, 103–113. [Google Scholar] [CrossRef]
- Kadyrzhan, K.; Kaldybekov, D.; Baipakbaeva, S.; Vitulyova, Y.; Matrassulova, D.; Suleimenov, I. Electronic Fourier–Galois Spectrum Analyzer for the Field GF (31). Appl. Sci. 2024, 14, 7770. [Google Scholar] [CrossRef]
- Suleimenov, I.E.; Mun, G.A.; Kabdushev, S.B.; Alikulov, A.; Shaltykova, D.B.; Moldakhan, I. The design of viscometer with smartphone controlling. Indones. J. Electr. Eng. Comput. Sci. 2022, 27, 366–374. [Google Scholar] [CrossRef]
- Torres, F.; Basaran, A.C.; Schuller, I.K. Thermal management in neuromorphic materials, devices, and networks. Adv. Mater. 2023, 35, 2205098. [Google Scholar] [CrossRef] [PubMed]
- Sangwan, V.K.; Hersam, M.C. Neuromorphic nanoelectronic materials. Nat. Nanotechnol. 2020, 15, 517–528. [Google Scholar] [CrossRef]
- Oh, S.; Hwang, H.; Yoo, I.K. Ferroelectric materials for neuromorphic computing. APL Mater. 2019, 7, 091109. [Google Scholar] [CrossRef]
- Zhu, H.H.; Zou, J.; Zhang, H.; Shi, Y.Z.; Luo, S.B.; Wang, N.; Liu, A.Q. Space-efficient optical computing with an integrated chip diffractive neural network. Nat. Commun. 2022, 13, 1044. [Google Scholar] [CrossRef]
- Kazanskiy, N.L.; Butt, M.A.; Khonina, S.N. Optical computing: Status and perspectives. Nanomaterials 2022, 12, 2171. [Google Scholar] [CrossRef]
- Krauhausen, I.; Koutsouras, D.A.; Melianas, A.; Keene, S.T.; Lieberth, K.; Ledanseur, H.; Sheelamanthula, R.; Giovannitti, A.; Torricelli, F.; Mcculloch, I.; et al. Organic Neuromorphic Electronics for Sensorimotor Integration and Learning in Robotics. Sci. Adv. 2021, 7, eabl5068. [Google Scholar] [CrossRef]
- Krauhausen, I.; Coen, C.; Spolaor, S.; Gkoupidenis, P.; Van De Burgt, Y. Brain-Inspired Organic Electronics: Merging Neuromorphic Computing and Bioelectronics Using Conductive Polymers. Adv. Funct. Mater. 2024, 34, 2307729. [Google Scholar] [CrossRef]
- Giovannitti, A.; Sbircea, D.-T.; Inal, S.; Nielsen, C.B.; Bandiello, E.; Hanifi, D.A.; Sessolo, M.; Malliaras, G.G.; McCulloch, I.; Rivnay, J. Controlling the Mode of Operation of Organic Transistors through Side-Chain Engineering. Proc. Natl. Acad. Sci. USA 2016, 113, 12017–12022. [Google Scholar] [CrossRef] [PubMed]
- Wu, X.; Wang, S.; Huang, W.; Dong, Y.; Wang, Z.; Huang, W. Wearable In-Sensor Reservoir Computing Using Optoelectronic Polymers with through-Space Charge-Transport Characteristics for Multi-Task Learning. Nat. Commun. 2023, 14, 468. [Google Scholar] [CrossRef] [PubMed]
- Zhang, Y.; Van Doremaele, E.R.W.; Ye, G.; Stevens, T.; Song, J.; Chiechi, R.C.; Van De Burgt, Y. Adaptive Biosensing and Neuromorphic Classification Based on an Ambipolar Organic Mixed Ionic–Electronic Conductor. Adv. Mater. 2022, 34, 2200393. [Google Scholar] [CrossRef] [PubMed]
- Zhang, B.; Chen, W.; Zeng, J.; Fan, F.; Gu, J.; Chen, X.; Yan, L.; Xie, G.; Liu, S.; Yan, Q.; et al. 90% Yield Production of Polymer Nano-Memristor for in-Memory Computing. Nat. Commun. 2021, 12, 1984. [Google Scholar] [CrossRef]
- Suleimenov, I.; Gabrielyan, O.; Kopishev, E.; Kadyrzhan, A.; Bakirov, A.; Vitulyova, Y. Advanced Applications of Polymer Hydrogels in Electronics and Signal Processing. Gels 2024, 10, 715. [Google Scholar] [CrossRef]
- Suleimenov, I.; Bakirov, A.; Moldakhan, I. Formalization of ternary logic for application to digital signal processing. In Energy Management of Municipal Transportation Facilities and Transport; Springer International Publishing: Cham, Switzerland, 2019; pp. 26–35. [Google Scholar] [CrossRef]
- Shaikhutdinov, R.; Mun, G.; Kopishev, E.; Bakirov, A.; Kabdushev, S.; Baipakbaeva, S.; Suleimenov, I. Effect of the Formation of Hydrophilic and Hydrophobic–Hydrophilic Associates on the Behavior of Copolymers of N-Vinylpyrrolidone with Methyl Acrylate in Aqueous Solutions. Polymers 2024, 16, 584. [Google Scholar] [CrossRef]
- Suleimenov, I.E.; Gabrielyan, O.A.; Bakirov, A.S. Initial study of general theory of complex systems: Physical basis and philosophical understanding. Bull. Electr. Eng. Inform. 2025, 14, 774–789. [Google Scholar] [CrossRef]






| k | 1 | 2 | 4 | 8 |
|---|---|---|---|---|
| P = 2k + 1 | 3 | 5 | 17 | 257 |
Disclaimer/Publisher’s Note: The statements, opinions and data contained in all publications are solely those of the individual author(s) and contributor(s) and not of MDPI and/or the editor(s). MDPI and/or the editor(s) disclaim responsibility for any injury to people or property resulting from any ideas, methods, instructions or products referred to in the content. |
© 2025 by the authors. Licensee MDPI, Basel, Switzerland. This article is an open access article distributed under the terms and conditions of the Creative Commons Attribution (CC BY) license (https://creativecommons.org/licenses/by/4.0/).
Share and Cite
Kadyrzhan, A.; Kadyrzhan, K.; Bakirov, A.; Suleimenov, I. Prospects for the Use of Quasi-Mersen Numbers in the Design of Parallel-Serial Processors. Appl. Sci. 2025, 15, 741. https://doi.org/10.3390/app15020741
Kadyrzhan A, Kadyrzhan K, Bakirov A, Suleimenov I. Prospects for the Use of Quasi-Mersen Numbers in the Design of Parallel-Serial Processors. Applied Sciences. 2025; 15(2):741. https://doi.org/10.3390/app15020741
Chicago/Turabian StyleKadyrzhan, Aruzhan, Kaisarali Kadyrzhan, Akhat Bakirov, and Ibragim Suleimenov. 2025. "Prospects for the Use of Quasi-Mersen Numbers in the Design of Parallel-Serial Processors" Applied Sciences 15, no. 2: 741. https://doi.org/10.3390/app15020741
APA StyleKadyrzhan, A., Kadyrzhan, K., Bakirov, A., & Suleimenov, I. (2025). Prospects for the Use of Quasi-Mersen Numbers in the Design of Parallel-Serial Processors. Applied Sciences, 15(2), 741. https://doi.org/10.3390/app15020741

