Study on the Morphology and Mechanical Properties of Cynodon dactylon in the Riparian Zone Slopes of a Large Reservoir
Abstract
1. Introduction
2. Materials and Methods
2.1. Study Area Profile
2.2. Selection and Sampling of Sample Plots
2.3. Parameter Determination of Plant Root Geometry
2.4. Plant Root Stretching Experiment
2.5. Data Statistics and Analysis
3. Results
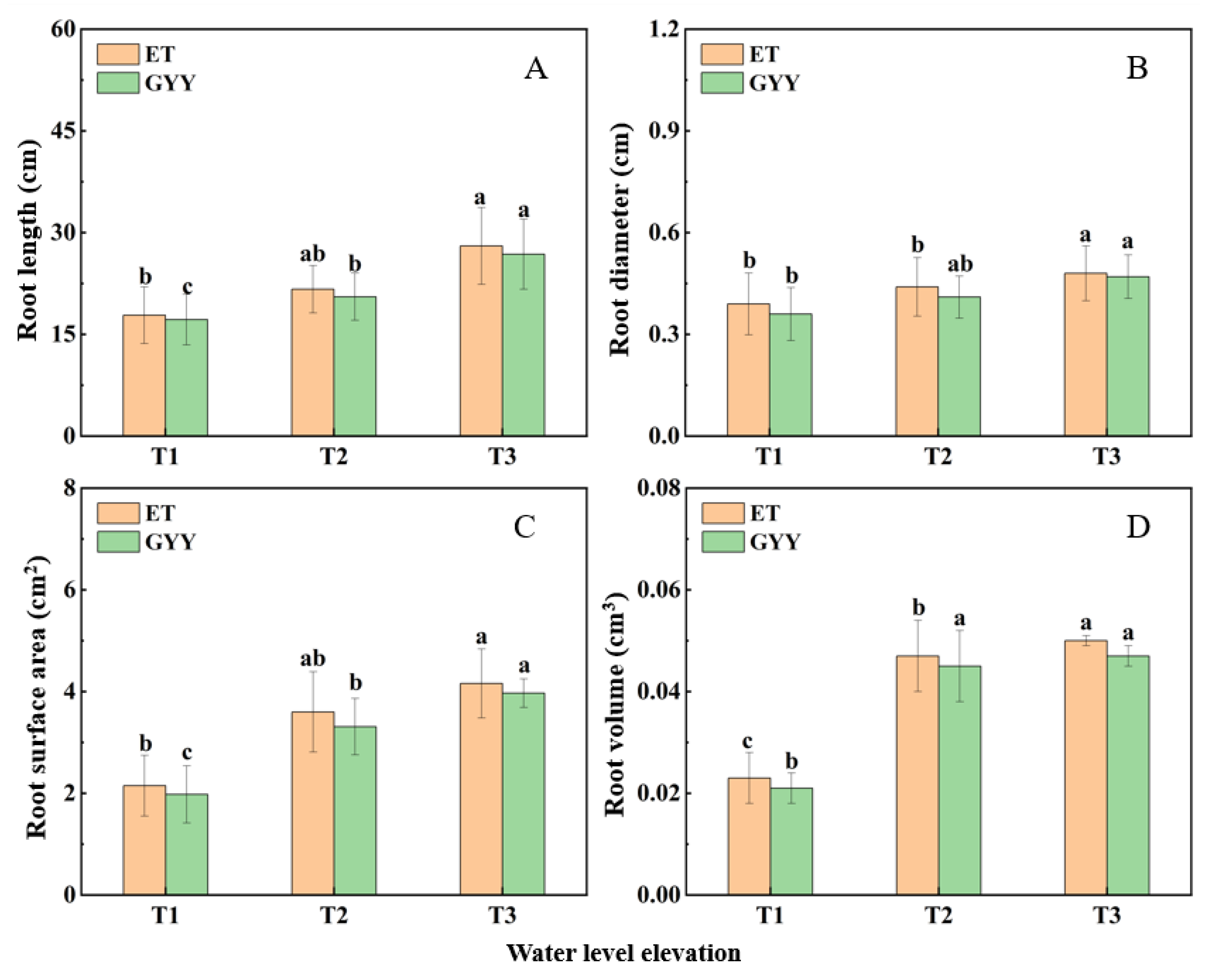
3.1. Relationship between Root Morphological Indexes and Elevation of Cynodon dactylon Roots
3.2. Relationship between Tensile Force and Tensile Strength of Cynodon dactylon Plant Root and Elevation
3.3. Relationship between Ultimate Elongation and Young’s Modulus of Cynodon dactylon Plant Root and Elevation
4. Discussion
4.1. Effect of Elevation on Root Morphology
4.2. Effect of Elevation on Mechanical Properties of Plant Root
4.3. Application to the Southwest Reservoir Riparian Zone
5. Conclusions
Author Contributions
Funding
Institutional Review Board Statement
Informed Consent Statement
Data Availability Statement
Conflicts of Interest
References
- Henner, D. REN21. Renewables 2017 Global Status Report. 2017. Available online: https://www.renewable-ei.org/activities/events/img/20171027/ChristineLins_20171027_EN.PDF (accessed on 27 March 2024).
- Kim, J.C.; Lee, H.; Choi, J.Y.; Kim, S.K.; Jung, H.S. Topographical Change in Coastal Areas Arising from Soil Erosion in the Riparian Zone. J. Coast. Res. 2020, 102, 101–106. [Google Scholar] [CrossRef]
- Geng, R.; Zhang, G.H.; Ma, Q.H.; Wang, H. Effects of Landscape Positions on Soil Resistance to Rill Erosion in a Small Catchment on the Loess Plateau. Biosyst. Eng. 2017, 160, 95–108. [Google Scholar] [CrossRef]
- Wang, Y.; Xu, W.; Wang, Z.; Zhu, Y. the Impact of Vegetation Roots on Shallow Stability of Expansive Soil Slope Under Rainfall Conditions. Appl. Sci. 2023, 13, 11619. [Google Scholar] [CrossRef]
- Capobianco, V.; Robinson, K.; Kalsnes, B.; Ekeheien, C.; Hydal, Y. Hydro-Mechanical Effects of Several Riparian Vegetation Combinations on the Streambank Stability—A Benchmark Case in Southeastern Norway. Sustainability 2021, 13, 4046. [Google Scholar] [CrossRef]
- Wen, L.-L.; Wang, J.-Y.; Deng, Y.-S.; Duan, X.-Q. Fragmentation Process of Soil Aggregates Under Concentrated Water Flow in Red Soil Hilly Region with Different Land Use Patterns. J. Mt. Sci. 2023, 20, 3233–3249. [Google Scholar] [CrossRef]
- Yildiz, A.; Graf, F.; Rickli, C.; Springman, S.M. Determination of the Shearing Behaviour of Root-Permeated Soils with a Large-Scale Direct Shear Apparatus. Catena 2018, 166, 98–113. [Google Scholar] [CrossRef]
- Yang, Q.; Zhang, C.; Yao, S.; Jiang, J. Root Distribution and Root Cohesion of Two Herbaceous Plants in the Loess Plateau of China. Sustainability 2022, 14, 8053. [Google Scholar] [CrossRef]
- Wang, B.; Liu, J.; Wang, C.; Zhang, X. Effects of Drawing Damage on Root Growth and Soil Reinforcement of Hippophae Rhamnoides in a Coal Mining Subsidence Area. Int. J. Phytoremediat. 2021, 24, 409–419. [Google Scholar] [CrossRef] [PubMed]
- Wang, J.F.; Yang, Y.F.; Wang, B.; Liu, G.B.; Li, J.M. Soil Detachment Caused By Flowing Water Erosion in Six Typical Herbaceous Plant Root Systems on the Loess Plateau, China. Biosyst. Eng. 2022, 217, 56–67. [Google Scholar] [CrossRef]
- Ronghua, Z.; Xiubin, H.; Yuhai, B.; Qiang, T.; Jinzhang, G.; Dandan, Y.; Mingfeng, W.; Yu, L.; Ronghua, Z.; Xiubin, H. Estimation of Soil Reinforcement By the Roots of Four Postdam Prevailing Grass Species in the Riparian Zone of Three Gorges Reservoir, China. J. Mt. Sci. 2016, 13, 508–521. [Google Scholar] [CrossRef]
- Jiang, W.; Pan, H.; Yang, N.; Xiao, H. Dam Inundation Duration As a Dominant Constraint on Riparian Vegetation Recovery. Sci. Total Environ. 2023, 904, 166427. [Google Scholar] [CrossRef] [PubMed]
- Baets, S.D.; Poesen, J.; Reubens, B.; Wemans, K.; Baerdemaeker, J.D.; Muys, B. Root Tensile Strength and Root Distribution of Typical Mediterranean Plant Species and Their Contribution to Soil Shear Strength. Plant Soil 2008, 305, 207–226. [Google Scholar] [CrossRef]
- Gb, T.; Gondek, K.; Szewczyk, W. Effects of Plant Growth Regulators on the Mechanical Traits of Perennial Ryegrass (Lolium perenne L.)–ScienceDirect. Sci. Hortic. 2021, 288, 110351. [Google Scholar] [CrossRef]
- Smucker, A.J.M. Soil Environmental Modifications of Root Dynamics and Measurement. Annu. Rev. Phytopathol. 1993, 31, 191–218. [Google Scholar] [CrossRef]
- Rose, M.B.; Velazco, S.J.E.; Regan, H.M.; Franklin, J. Rarity, geography, and plant exposure to global change in the California Floristic Province. Glob. Ecol. Biogeogr. 2023, 32, 218–232. [Google Scholar] [CrossRef]
- Huang, B.; Xin, J.; Dai, H.; Liu, A.; Zhou, W.; Yi, Y.; Liao, K. Root Morphological Responses of Three Hot Pepper Cultivars to Cd Exposure and Their Correlations with Cd Accumulation. Environ. Sci. Pollut. Res. 2015, 22, 1151–1159. [Google Scholar] [CrossRef] [PubMed]
- Loreti, E.; van Veen, H.; Perata, P. Plant Responses to Flooding Stress. Curr. Opin. Plant Biol. 2016, 33, 64–71. [Google Scholar] [CrossRef] [PubMed]
- Zhang, Q.; Huber, H.; Boerakker, J.W.; Bosch, D.; de Kroon, H.; Visser, E.J. Environmental Factors Constraining Adventitious Root Formation During Flooding of Solanum dulcamara. Funct. Plant Biol. 2017, 44, 858–866. [Google Scholar] [CrossRef] [PubMed]
- Lin, C.; Ogorek, L.L.P.; Pedersen, O.; Sauter, M. Oxygen in the Air and Oxygen Dissolved in the Floodwater Both Sustain Growth of Aquatic Adventitious Roots in Rice. J. Exp. Bot. 2021, 72, 1879–1890. [Google Scholar] [CrossRef] [PubMed]
- Boldrin, D.; Leung, A.K.; Bengough, A.G. Root Biomechanical Properties during Establishment of Woody Perennials. Ecol. Eng. 2017, 109, 196–206. [Google Scholar] [CrossRef]
- Mattia, C.; Bischetti, G.B.; Gentile, F. Biotechnical Characteristics of Root Systems of Typical Mediterranean Species. Plant Soil 2005, 278, 23–32. [Google Scholar] [CrossRef]
- Vergani, C.; Chiaradia, E.; Bischetti, G. Variability in the Tensile Resistance of Roots in Alpine Forest Tree Species. Ecol. Eng. 2012, 46, 43–56. [Google Scholar] [CrossRef]
- Bischetti, G.B.; Chiaradia, E.A.; Epis, T.; Morlotti, E. Root Cohesion of Forest Species in the Italian Alps. Plant Soil 2009, 324, 71–89. [Google Scholar] [CrossRef]
- Genet, M.; Stokes, A.; Salin, F.; Mickovski, S.B.; Fourcaud, T.; Dumail, J.-F.; Van Beek, R. the Influence of Cellulose Content on Tensile Strength in Tree Roots. Plant Soil 2005, 278, 1–9. [Google Scholar] [CrossRef]
- Horbelt, N.; Dunlop, J.W.C.; Bertinetti, L.; Fratzl, P.; Eder, M. Effects of Moisture and Cellulose Fibril Angle on the Tensile Properties of Native Single Norway Spruce Wood Fibres. Wood Sci. Technol. 2021, 55, 1305–1318. [Google Scholar] [CrossRef]
- Leung, A.; Kamchoom, V.; Likitlersuang, S.; Boldrin, D. Losses of Biomechanical Properties and Soil Reinforcement Upon the Decomposition of the Roots of Cynodon Dactylon. In Proceedings of the EGU General Assembly 2023, Vienna, Austria, 24–28 April 2023. [Google Scholar]
- Baral, S.; Wang, J.X.; Alam, S.; Patterson, W.B. Experimental and Analytical Studies on the Root Reinforcement Effect of a Grass Species, Spartina Alterniflora. In Proceedings of the Eighth International Conference on Case Histories in Geotechnical Engineering, Philadelphia, PA, USA, 24–27 March 2019; pp. 86–96. [Google Scholar]
- Zhao, C.; Wu, J.; Cheng, Z.; Shi, S. Research on Mechanical Properties and Chemical Compositions of Bottom Stems of Medicago Sativa in Harvesting Period. In Proceedings of the International Conference on Information Science and Technology, Nanjing, China, 26–28 March 2011; pp. 1350–1355. [Google Scholar]
- Tenten, N.; Zeng, B.; Kazda, M. Soil Stabilizing Capability of Three Plant Species Growing on the Three Gorges Reservoir Riverside. J. Earth Sci. 2010, 21, 888–896. [Google Scholar] [CrossRef]








| Location | Geographic Coordinates | Elevation Gradient | Elevation Gradient Interval | Number of Samples |
|---|---|---|---|---|
| Ertan | 26°48′39″ N, 101°43′36″ E | L | 1150.579~1155.963 m | 131 |
| M | 1155.963~1159.279 m | 144 | ||
| H | 1159.279~1163.424 m | 134 | ||
| Guanyinyan | 26°26′01″ N, 101°28′13″ E | L | 1090.180~1092.934 m | 137 |
| M | 1092.934~1095.143 m | 143 | ||
| H | 1095.143~1097.380 m | 129 |
| Location | Elevation Gradient | Average Tension/N | Average Tensile Strength/Mpa | Average Elongation/% | Average Young’s Modulus/Mpa |
|---|---|---|---|---|---|
| Ertan | L | 6.01 ± 1.40 c | 54.12 ± 15.43 b | 24.95 ± 2.59 a | 213.72 ± 41.89 c |
| M | 8.59 ± 1.99 b | 58.14 ± 14.03 ab | 21.03 ± 2.56 b | 274.44 ± 45.62 b | |
| H | 12.26 ± 2.40 a | 61.69 ± 17.16 a | 18.39 ± 2.11 c | 330.76 ± 61.58 a | |
| Guanyinyan | L | 5.02 ± 0.86 c | 52.92 ± 12.13 b | 28.19 ± 2.05 a | 186.25 ± 32.10 c |
| M | 6.95 ± 1.21 b | 56.83 ± 12.81 ab | 24.24 ± 2.66 b | 232.56 ± 33.61 b | |
| H | 9.63 ± 0.83 a | 60.65 ± 8.24 a | 21.27 ± 1.05 c | 284.78 ± 32.83 a |
Disclaimer/Publisher’s Note: The statements, opinions and data contained in all publications are solely those of the individual author(s) and contributor(s) and not of MDPI and/or the editor(s). MDPI and/or the editor(s) disclaim responsibility for any injury to people or property resulting from any ideas, methods, instructions or products referred to in the content. |
© 2024 by the authors. Licensee MDPI, Basel, Switzerland. This article is an open access article distributed under the terms and conditions of the Creative Commons Attribution (CC BY) license (https://creativecommons.org/licenses/by/4.0/).
Share and Cite
Zhang, P.; Wang, P.; Jin, S. Study on the Morphology and Mechanical Properties of Cynodon dactylon in the Riparian Zone Slopes of a Large Reservoir. Appl. Sci. 2024, 14, 2888. https://doi.org/10.3390/app14072888
Zhang P, Wang P, Jin S. Study on the Morphology and Mechanical Properties of Cynodon dactylon in the Riparian Zone Slopes of a Large Reservoir. Applied Sciences. 2024; 14(7):2888. https://doi.org/10.3390/app14072888
Chicago/Turabian StyleZhang, Pengyu, Pengcheng Wang, and Siyuan Jin. 2024. "Study on the Morphology and Mechanical Properties of Cynodon dactylon in the Riparian Zone Slopes of a Large Reservoir" Applied Sciences 14, no. 7: 2888. https://doi.org/10.3390/app14072888
APA StyleZhang, P., Wang, P., & Jin, S. (2024). Study on the Morphology and Mechanical Properties of Cynodon dactylon in the Riparian Zone Slopes of a Large Reservoir. Applied Sciences, 14(7), 2888. https://doi.org/10.3390/app14072888
