Characterizing the Impact of Physical Activity on Patients with Type 1 Diabetes Using Statistical and Machine Learning Models
Abstract
1. Introduction
2. Materials and Methods
2.1. Study Design and Participants
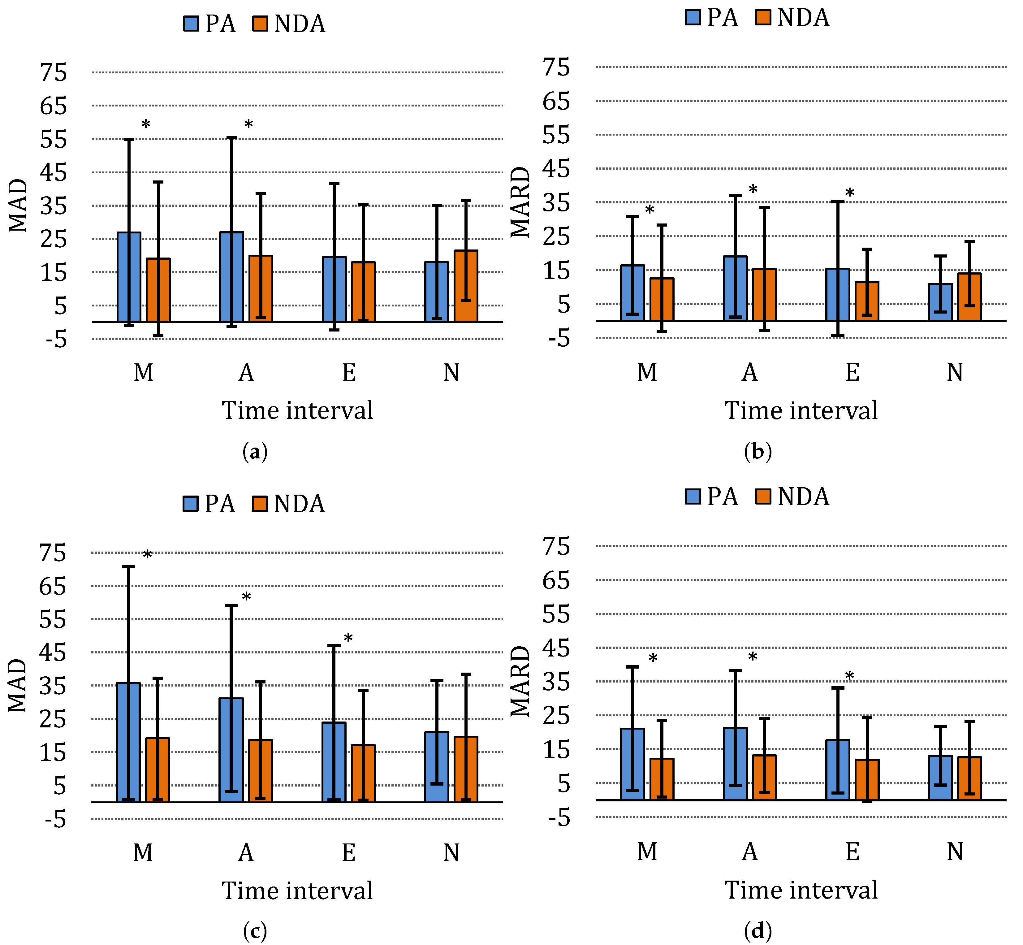
- Morning () from 6:00 to 12:00 h;
- Afternoon () from 12:00 to 18:00 h;
- Evening () from 18:00 to 24:00 h;
- Night () from 0:00 to 6:00 h.
- Hypoglycemia (<70 mg/dL);
- Euglycemia (in the range mg/dL);
- Hyperglycemia (>180 mg/dL).
2.2. Dataset Description and Preprocessing
2.3. Statistical Tests and Metrics to Measure Differences in Glucose Concentrations
2.4. Feature Selection Methods
2.5. Supervised Machine Learning Models and Performance Metrics
2.6. Post Hoc Interpretability Methods
3. Results
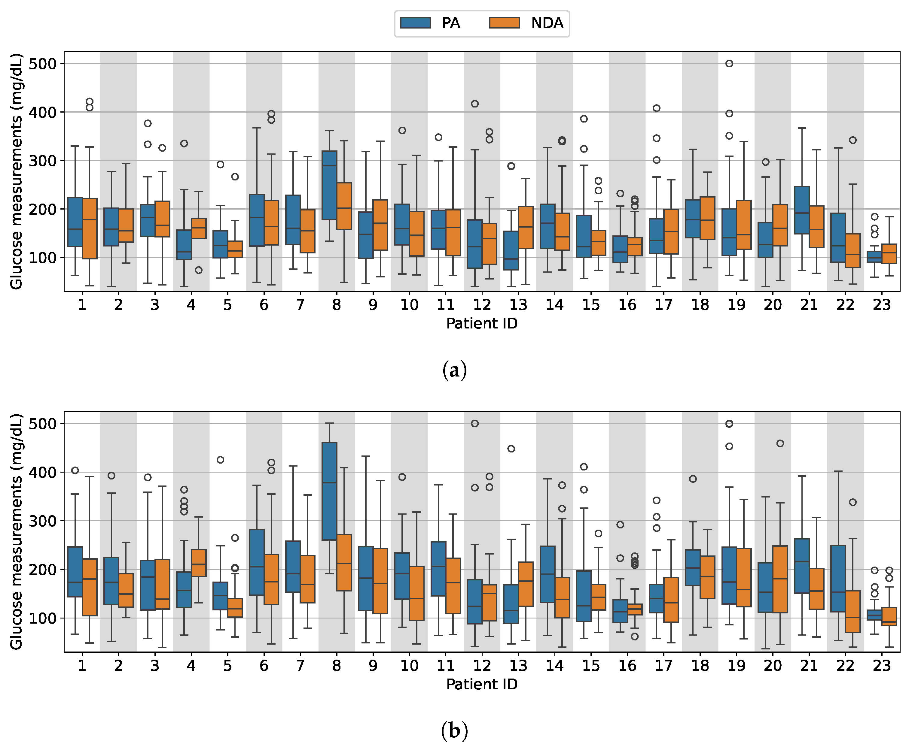
3.1. Analysis of the Impact of Physical Activity on CGM Devices’ Performance
3.1.1. Analysis of the Impact of Physical Activity on CGM Devices’ Performance in Different Glucose Ranges
3.1.2. Analysis of the Impact of Physical Activity on CGM Devices’ Performance at Different Time Intervals Throughout the Day
3.2. Prediction of Physical Activity Through Machine Learning Models
- : M_Sum, M_Var, M_Adverse, M_Hypo, and M_Median;
- : A_Var, A_Entropy, A_Hyper, A_Hypo and A_Median;
- : E_Entropy, E_Median, E_Hyper, E_Var and E_Hypo;
- : N_Hypo, N_Hyper, N_Var, N_Median and N_Entropy;
- : F_Adverse, N_Median, N_SumValues, N_Var, E_Median, A_Var, E_Hyper, N_Hypo, M_Entropy, M_Hypo, E_Hypo.
4. Discussion
5. Conclusions
Author Contributions
Funding
Institutional Review Board Statement
Informed Consent Statement
Data Availability Statement
Conflicts of Interest
Abbreviations
| CEG | Clarke error grid |
| CGM | Continuous glucose monitoring |
| DT | Decision tree |
| KNN | K-nearest neighbors |
| LR | Logistic regression |
| PA | Physical activity |
| MAD | Mean absolute deviation |
| MARD | Mean absolute relative deviation |
| NDA | Normal daily activity |
| ML | Machine learning |
| MLP | Multilayer perceptron |
| RF | Random forest |
| SHAP | Shapley additive explanations |
| SVM | Support vector machine |
| T1D | Type 1 diabetes |
| XGB | Extreme gradient boosting |
Appendix A



References
- DiMeglio, L.A.; Evans-Molina, C.; Oram, R.A. Type 1 diabetes. Lancet 2018, 391, 2449–2462. [Google Scholar] [CrossRef] [PubMed]
- Janež, A.; Guja, C.; Mitrakou, A.; Lalic, N.; Tankova, T.; Czupryniak, L.; Tabák, A.G.; Prazny, M.; Martinka, E.; Smircic-Duvnjak, L. Insulin therapy in adults with type 1 diabetes mellitus: A narrative review. Diabetes Ther. 2020, 11, 387–409. [Google Scholar] [CrossRef] [PubMed]
- Nimri, R.; Dassau, E.; Segall, T.; Muller, I.; Bratina, N.; Kordonouri, O.; Bello, R.; Biester, T.; Dovc, K.; Tenenbaum, A.; et al. Adjusting insulin doses in patients with type 1 diabetes who use insulin pump and continuous glucose monitoring: Variations among countries and physicians. Diabetes Obes. Metab. 2018, 20, 2458–2466. [Google Scholar] [CrossRef] [PubMed]
- Dunn, T.C.; Xu, Y.; Hayter, G.; Ajjan, R.A. Real-world flash glucose monitoring patterns and associations between self-monitoring frequency and glycaemic measures: A European analysis of over 60 million glucose tests. Diabetes Res. Clin. Pract. 2018, 137, 37–46. [Google Scholar] [CrossRef]
- Lee, I.; Probst, D.; Klonoff, D.; Sode, K. Continuous glucose monitoring systems—Current status and future perspectives of the flagship technologies in biosensor research. Biosens. Bioelectron. 2021, 181, 113054. [Google Scholar] [CrossRef]
- Alfian, G.; Syafrudin, M.; Anshari, M.; Benes, F.; Atmaji, F.T.D.; Fahrurrozi, I.; Hidayatullah, A.F.; Rhee, J. Blood glucose prediction model for type 1 diabetes based on artificial neural network with time-domain features. Biocybern. Biomed. Eng. 2020, 40, 1586–1599. [Google Scholar] [CrossRef]
- Wong, J.C.; Foster, N.C.; Maahs, D.M.; Raghinaru, D.; Bergenstal, R.M.; Ahmann, A.J.; Peters, A.L.; Bode, B.W.; Aleppo, G.; Hirsch, I.B.; et al. Real-time continuous glucose monitoring among participants in the T1D Exchange clinic registry. Diabetes Care 2014, 37, 2702–2709. [Google Scholar] [CrossRef] [PubMed]
- Yu, X.; Yang, T.; Lu, J.; Shen, Y.; Lu, W.; Zhu, W.; Bao, Y.; Li, H.; Zhou, J. Deep transfer learning: A novel glucose prediction framework for new subjects with type 2 diabetes. Complex Intell. Syst. 2022, 8, 1875–1887. [Google Scholar] [CrossRef]
- Colberg, S.R.; Sigal, R.J.; Yardley, J.E.; Riddell, M.C.; Dunstan, D.W.; Dempsey, P.C.; Horton, E.S.; Castorino, K.; Tate, D.F. Physical activity/exercise and diabetes: A position statement of the American Diabetes Association. Diabetes Care 2016, 39, 2065–2079. [Google Scholar] [CrossRef]
- Codella, R.; Terruzzi, I.; Luzi, L. Why should people with type 1 diabetes exercise regularly? Acta Diabetol. 2017, 54, 615–630. [Google Scholar] [CrossRef]
- Zaharieva, D.P.; Messer, L.H.; Paldus, B.; O’Neal, D.N.; Maahs, D.M.; Riddell, M.C. Glucose control during physical activity and exercise using closed loop technology in adults and adolescents with type 1 diabetes. Can. J. Diabetes 2020, 44, 740–749. [Google Scholar] [CrossRef] [PubMed]
- Tonoli, C.; Heyman, E.; Roelands, B.; Buyse, L.; Cheung, S.S.; Berthoin, S.; Meeusen, R. Effects of different types of acute and chronic (training) exercise on glycaemic control in type 1 diabetes mellitus. Sports Med. 2012, 42, 1059–1080. [Google Scholar] [CrossRef] [PubMed]
- Bally, L.; Zueger, T.; Pasi, N.; Carlos, C.; Paganini, D.; Stettler, C. Accuracy of continuous glucose monitoring during differing exercise conditions. Diabetes Res. Clin. Pract. 2016, 112, 1–5. [Google Scholar] [CrossRef]
- Biagi, L.; Bertachi, A.; Quirós, C.; Giménez, M.; Conget, I.; Bondia, J.; Vehí, J. Accuracy of continuous glucose monitoring before, during, and after aerobic and anaerobic exercise in patients with type 1 diabetes mellitus. Biosensors 2018, 8, 22. [Google Scholar] [CrossRef]
- Larose, S.; Taleb, N.; Roy-Fleming, A.; Suppere, C.; Messier, V.; Rabasa-Lhoret, R. Comparison of Continuous Glucose Monitoring with Capillary Glucose Levels and Dynamics of Accuracy Changes during Moderate-Intensity Aerobic Exercise in Patients with Type 1 Diabetes. Can. J. Diabetes 2018, 42, S51–S52. [Google Scholar] [CrossRef]
- Zaharieva, D.P.; Turksoy, K.; McGaugh, S.M.; Pooni, R.; Vienneau, T.; Ly, T.; Riddell, M.C. Lag time remains with newer real-time continuous glucose monitoring technology during aerobic exercise in adults living with type 1 diabetes. Diabetes Technol. Ther. 2019, 21, 313–321. [Google Scholar] [CrossRef]
- Cuerda del Pino, A.; Martín-San Agustín, R.; José Laguna Sanz, A.; Díez, J.L.; Palanca, A.; Rossetti, P.; Gumbau-Gimenez, M.; Ampudia-Blasco, F.J.; Bondia, J. Accuracy of Two Continuous Glucose Monitoring Devices During Aerobic and High-Intensity Interval Training in Individuals with Type 1 Diabetes. Diabetes Technol. Ther. 2024, 26, 411–419. [Google Scholar] [CrossRef] [PubMed]
- Ghassemi, M.; Naumann, T.; Schulam, P.; Beam, A.L.; Chen, I.Y.; Ranganath, R. A review of challenges and opportunities in machine learning for health. AMIA Summits Transl. Sci. Proc. 2020, 2020, 191. [Google Scholar]
- Shehab, M.; Abualigah, L.; Shambour, Q.; Abu-Hashem, M.A.; Shambour, M.K.Y.; Alsalibi, A.I.; Gandomi, A.H. Machine learning in medical applications: A review of state-of-the-art methods. Comput. Biol. Med. 2022, 145, 105458. [Google Scholar] [CrossRef]
- Chushig-Muzo, D.; Calero-Díaz, H.; Lara-Abelenda, F.J.; Gómez-Martínez, V.; Granja, C.; Soguero-Ruiz, C. Interpretable data-driven approach based on feature selection methods and GAN-based models for cardiovascular risk prediction in diabetic patients. IEEE Access 2024, 12, 84292–84305. [Google Scholar] [CrossRef]
- Munoz-Organero, M. Deep physiological model for blood glucose prediction in T1DM patients. Sensors 2020, 20, 3896. [Google Scholar] [CrossRef] [PubMed]
- Kodama, S.; Fujihara, K.; Shiozaki, H.; Horikawa, C.; Yamada, M.H.; Sato, T.; Yaguchi, Y.; Yamamoto, M.; Kitazawa, M.; Iwanaga, M.; et al. Ability of current machine learning algorithms to predict and detect hypoglycemia in patients with diabetes mellitus: Meta-analysis. JMIR Diabetes 2021, 6, e22458. [Google Scholar] [CrossRef]
- Woldaregay, A.Z.; Årsand, E.; Walderhaug, S.; Albers, D.; Mamykina, L.; Botsis, T.; Hartvigsen, G. Data-driven modeling and prediction of blood glucose dynamics: Machine learning applications in type 1 diabetes. Artif. Intell. Med. 2019, 98, 109–134. [Google Scholar] [CrossRef] [PubMed]
- Woldaregay, A.Z.; Årsand, E.; Botsis, T.; Albers, D.; Mamykina, L.; Hartvigsen, G. Data-driven blood glucose pattern classification and anomalies detection: Machine-learning applications in type 1 diabetes. J. Med. Internet Res. 2019, 21, e11030. [Google Scholar] [CrossRef]
- Chushig-Muzo, D.; Soguero-Ruiz, C.; De Miguel-Bohoyo, P.; Mora-Jiménez, I. Learning and visualizing chronic latent representations using electronic health records. BioData Min. 2022, 15, 18. [Google Scholar] [CrossRef]
- Contreras, I.; Vehi, J. Artificial intelligence for diabetes management and decision support: Literature review. J. Med. Internet Res. 2018, 20, e10775. [Google Scholar] [CrossRef]
- Bertachi, A.; Viñals, C.; Biagi, L.; Contreras, I.; Vehí, J.; Conget, I.; Giménez, M. Prediction of nocturnal hypoglycemia in adults with type 1 diabetes under multiple daily injections using continuous glucose monitoring and physical activity monitor. Sensors 2020, 20, 1705. [Google Scholar] [CrossRef] [PubMed]
- van Doorn, W.P.; Foreman, Y.D.; Schaper, N.C.; Savelberg, H.H.; Koster, A.; van der Kallen, C.J.; Wesselius, A.; Schram, M.T.; Henry, R.M.; Dagnelie, P.C.; et al. Machine learning-based glucose prediction with use of continuous glucose and physical activity monitoring data: The Maastricht Study. PLoS ONE 2021, 16, e0253125. [Google Scholar] [CrossRef]
- Cescon, M.; Choudhary, D.; Pinsker, J.E.; Dadlani, V.; Church, M.M.; Kudva, Y.C.; Doyle, F.J., III; Dassau, E. Activity detection and classification from wristband accelerometer data collected on people with type 1 diabetes in free-living conditions. Comput. Biol. Med. 2021, 135, 104633. [Google Scholar] [CrossRef]
- Dénes-Fazakas, L.; Siket, M.; Szilágyi, L.; Kovács, L.; Eigner, G. Detection of Physical Activity Using Machine Learning Methods Based on Continuous Blood Glucose Monitoring and Heart Rate Signals. Sensors 2022, 22, 8568. [Google Scholar] [CrossRef]
- Cho, S.; Aiello, E.M.; Ozaslan, B.; Riddell, M.C.; Calhoun, P.; Gal, R.L.; Doyle, F.J., III. Design of a real-time physical activity detection and classification framework for individuals with type 1 diabetes. J. Diabetes Sci. Technol. 2023, 18, 1146–1156. [Google Scholar] [CrossRef] [PubMed]
- Fokkert, M.; van Dijk, P.R.; Edens, M.A.; Hernández, A.D.; Slingerland, R.; Gans, R.; Álvarez, E.D.; Bilo, H. Performance of the Eversense versus the Free Style Libre Flash glucose monitor during exercise and normal daily activities in subjects with type 1 diabetes mellitus. BMJ Open Diabetes Res. Care 2020, 8, e001193. [Google Scholar] [CrossRef]
- Fokkert, M.; Van Dijk, P.; Edens, M.; Abbes, S.; De Jong, D.; Slingerland, R.; Bilo, H. Performance of the FreeStyle Libre Flash glucose monitoring system in patients with type 1 and 2 diabetes mellitus. BMJ Open Diabetes Res. Care 2017, 5, e000320. [Google Scholar] [CrossRef] [PubMed]
- Clarke, W.L.; Anderson, S.; Farhy, L.; Breton, M.; Gonder-Frederick, L.; Cox, D.; Kovatchev, B. Evaluating the clinical accuracy of two continuous glucose sensors using Continuous glucose–error grid analysis. Diabetes Care 2005, 28, 2412–2417. [Google Scholar] [CrossRef]
- Remeseiro, B.; Bolon-Canedo, V. A review of feature selection methods in medical applications. Comput. Biol. Med. 2019, 112, 103375. [Google Scholar] [CrossRef]
- Bolón-Canedo, V.; Sánchez-Maroño, N.; Alonso-Betanzos, A. A review of feature selection methods on synthetic data. Knowl. Inf. Syst. 2013, 34, 483–519. [Google Scholar] [CrossRef]
- Bommert, A.; Sun, X.; Bischl, B.; Rahnenführer, J.; Lang, M. Benchmark for filter methods for feature selection in high-dimensional classification data. Comput. Stat. Data Anal. 2020, 143, 106839. [Google Scholar] [CrossRef]
- Cai, J.; Luo, J.; Wang, S.; Yang, S. Feature selection in machine learning: A new perspective. Neurocomputing 2018, 300, 70–79. [Google Scholar] [CrossRef]
- He, Z.; Li, L.; Huang, Z.; Situ, H. Quantum-enhanced feature selection with forward selection and backward elimination. Quantum Inf. Process. 2018, 17, 154. [Google Scholar] [CrossRef]
- Kohavi, R.; John, G.H. Wrappers for feature subset selection. Artif. Intell. 1997, 97, 273–324. [Google Scholar] [CrossRef]
- Battineni, G.; Sagaro, G.G.; Chinatalapudi, N.; Amenta, F. Applications of machine learning predictive models in the chronic disease diagnosis. J. Pers. Med. 2020, 10, 21. [Google Scholar] [CrossRef] [PubMed]
- James, G.; Witten, D.; Hastie, T.; Tibshirani, R. An Introduction to Statistical Learning; Springer: Berlin/Heidelberg, Germany, 2013; Volume 112. [Google Scholar]
- Kramer, O. Dimensionality Reduction with Unsupervised Nearest Neighbors; Springer: Berlin/Heidelberg, Germany, 2013. [Google Scholar]
- Cortes, C.; Vapnik, V. Support-vector networks. Mach. Learn. 1995, 20, 273–297. [Google Scholar] [CrossRef]
- Williams, G. Support vector machines. In Data Mining with Rattle and R; Springer: Berlin/Heidelberg, Germany, 2011; pp. 293–304. [Google Scholar]
- Tama, B.A.; Rhee, K.H. Tree-based classifier ensembles for early detection method of diabetes: An exploratory study. Artif. Intell. Rev. 2019, 51, 355–370. [Google Scholar] [CrossRef]
- Hollmann, N.; Müller, S.; Eggensperger, K.; Hutter, F. Tabpfn: A transformer that solves small tabular classification problems in a second. arXiv 2022, arXiv:2207.01848. [Google Scholar]
- Chen, T.; Guestrin, C. Xgboost: A scalable tree boosting system. In Proceedings of the 22nd ACM SIGKDD International Conference on Knowledge Discovery and Data Mining, San Francisco, CA, USA, 13–17 August 2016; pp. 785–794. [Google Scholar]
- Shalev-Shwartz, S.; Ben-David, S. Understanding Machine Learning: From Theory to Algorithms; Cambridge University Press: Cambridge, UK, 2014. [Google Scholar]
- Ding, W.; Abdel-Basset, M.; Hawash, H.; Ali, A.M. Explainability of Artificial Intelligence Methods, Applications and Challenges: A Comprehensive Survey. Inf. Sci. 2022, 615, 238–292. [Google Scholar] [CrossRef]
- Miller, T. Explanation in artificial intelligence: Insights from the social sciences. Artif. Intell. 2019, 267, 1–38. [Google Scholar] [CrossRef]
- Chou, Y.L.; Moreira, C.; Bruza, P.; Ouyang, C.; Jorge, J. Counterfactuals and causability in explainable artificial intelligence: Theory, algorithms, and applications. Inf. Fusion 2022, 81, 59–83. [Google Scholar] [CrossRef]
- Moreira, C.; Chou, Y.L.; Velmurugan, M.; Ouyang, C.; Sindhgatta, R.; Bruza, P. LINDA-BN: An interpretable probabilistic approach for demystifying black-box predictive models. Decis. Support Syst. 2021, 150, 113561. [Google Scholar] [CrossRef]
- Lundberg, S.M.; Lee, S.I. A unified approach to interpreting model predictions. In Proceedings of the 31st International Conference on Neural Information Processing Systems, Long Beach, CA, USA, 4–9 December 2017; pp. 4768–4777. [Google Scholar]







| Feature | Identifier | Description |
|---|---|---|
| Sum | Sum | Sum of the observed glucose concentration values. |
| Median | Median | Value lying at the midpoint of the frequency distribution of observed glucose concentration values. |
| Variance | Var | Measure of dispersion of the observed glucose concentration values. |
| Entropy | Entropy | Measure of amount of uncertainty within the observed glucose values. |
| Hyperglycemic events | Hyper | Total number of observed glucose concentration values within the hyperglycemic range. |
| Hypoglycemic events | Hypo | Total number of observed glucose concentrations values within the hypoglycemic range. |
| Adverse events | Adverse | Sum of hypoglycemic and hyperglycemic events. |
| Model | Hyperparameter | Values/Options |
|---|---|---|
| DT | maximum depth | |
| split criterion | Gini, entropy | |
| minimum samples per split | ||
| KNN | number of neighbours | |
| LR | penalty | L2 |
| C | ||
| MLP | hidden layer sizes | |
| activation function | Tanh, RELU | |
| optimizer | SGD, Adam | |
| alpha | ||
| learning rate | constant, adaptive | |
| RF | # estimators | |
| maximum depth | ||
| SVM | kernel | RBF |
| C | ||
| TabPFN | number of ensemble | |
| batch size | ||
| XGB | # estimators | |
| maximum depth | ||
| learning rate | ||
| subsample |
| ML Model | Glucose Monitoring Device | Accuracy | Sensitivity | Specificity | F1-Score |
|---|---|---|---|---|---|
| DT | FSLCstrip | 0.74 ± 0.11 | 0.73 ± 0.20 | 0.76 ± 0.26 | 0.73 ± 0.12 |
| DT | Eversense | 0.73 ± 0.16 | 0.70 ± 0.25 | 0.76 ± 0.16 | 0.70 ± 0.20 |
| DT | FSL | 0.65 ± 0.17 | 0.58 ± 0.17 | 0.73 ± 0.31 | 0.63 ± 0.16 |
| KNN | FSLCstrip | 0.87 ± 0.05 | 0.87 ± 0.12 | 0.88 ± 0.16 | 0.87 ± 0.05 |
| KNN | Eversense | 0.90 ± 0.08 | 0.93 ± 0.13 | 0.88 ± 0.16 | 0.91 ± 0.08 |
| KNN | FSL | 0.85 ± 0.07 | 0.87 ± 0.06 | 0.82 ± 0.16 | 0.85 ± 0.06 |
| LR | FSLCstrip | 0.83 ± 0.06 | 0.81 ± 0.11 | 0.85 ± 0.22 | 0.83 ± 0.04 |
| LR | Eversense | 0.91 ± 0.06 | 0.90 ± 0.07 | 0.91 ± 0.17 | 0.91 ± 0.05 |
| LR | FSL | 0.82 ± 0.16 | 0.82 ± 0.27 | 0.82 ± 0.22 | 0.80 ± 0.21 |
| MLP | FSLCstrip | 0.83 ± 0.11 | 0.81 ± 0.11 | 0.85 ± 0.22 | 0.83 ± 0.09 |
| MLP | Eversense | 0.86 ± 0.10 | 0.85 ± 0.15 | 0.88 ± 0.16 | 0.86 ± 0.10 |
| MLP | FSL | 0.80 ± 0.12 | 0.76 ± 0.19 | 0.85 ± 0.22 | 0.79 ± 0.13 |
| RF | FSLCstrip | 0.83 ± 0.12 | 0.76 ± 0.21 | 0.91 ± 0.06 | 0.80 ± 0.15 |
| RF | Eversense | 0.86 ± 0.09 | 0.82 ± 0.20 | 0.91 ± 0.11 | 0.84 ± 0.13 |
| RF | FSL | 0.78 ± 0.14 | 0.70 ± 0.25 | 0.85 ± 0.22 | 0.74 ± 0.19 |
| SVM | FSLCstrip | 0.83 ± 0.06 | 0.79 ± 0.19 | 0.88 ± 0.16 | 0.82 ± 0.08 |
| SVM | Eversense | 0.88 ± 0.08 | 0.85 ± 0.15 | 0.91 ± 0.17 | 0.87 ± 0.09 |
| SVM | FSL | 0.82 ± 0.12 | 0.79 ± 0.19 | 0.85 ± 0.22 | 0.81 ± 0.13 |
| TabPFN | FSLCstrip | 0.82 ± 0.06 | 0.81 ± 0.14 | 0.82 ± 0.20 | 0.82 ± 0.05 |
| TabPFN | Eversense | 0.91 ± 0.10 | 0.91 ± 0.17 | 0.91 ± 0.17 | 0.91 ± 0.11 |
| TabPFN | FSL | 0.77 ± 0.11 | 0.73 ± 0.24 | 0.82 ± 0.20 | 0.74 ± 0.16 |
| XGB | FSLCstrip | 0.79 ± 0.07 | 0.76 ± 0.19 | 0.82 ± 0.20 | 0.77 ± 0.08 |
| XGB | Eversense | 0.92 ± 0.04 | 0.90 ± 0.07 | 0.93 ± 0.07 | 0.92 ± 0.04 |
| XGB | FSL | 0.77 ± 0.05 | 0.70 ± 0.20 | 0.84 ± 0.13 | 0.74 ± 0.09 |
| ML Method | Interval | Accuracy | Sensitivity | Specificity | F1-Score |
|---|---|---|---|---|---|
| DT | 0.87 ± 0.07 | 0.90 ± 0.07 | 0.84 ± 0.09 | 0.88 ± 0.07 | |
| 0.79 ± 0.13 | 0.73 ± 0.24 | 0.84 ± 0.15 | 0.75 ± 0.18 | ||
| 0.52 ± 0.07 | 0.59 ± 0.14 | 0.45 ± 0.15 | 0.55 ± 0.09 | ||
| 0.59 ± 0.02 | 0.58 ± 0.13 | 0.59 ± 0.14 | 0.57 ± 0.05 | ||
| 0.62 ± 0.07 | 0.45 ± 0.19 | 0.79 ± 0.11 | 0.51 ± 0.16 | ||
| KNN | 0.80 ± 0.08 | 0.85 ± 0.15 | 0.76 ± 0.10 | 0.80 ± 0.09 | |
| 0.75 ± 0.15 | 0.70 ± 0.19 | 0.79 ± 0.26 | 0.73 ± 0.14 | ||
| 0.63 ± 0.12 | 0.63 ± 0.11 | 0.63 ± 0.18 | 0.63 ± 0.11 | ||
| 0.67 ± 0.13 | 0.82 ± 0.13 | 0.52 ± 0.14 | 0.71 ± 0.11 | ||
| 0.65 ± 0.13 | 0.57 ± 0.22 | 0.73 ± 0.13 | 0.60 ± 0.18 | ||
| LR | 0.88 ± 0.05 | 0.88 ± 0.10 | 0.88 ± 0.10 | 0.87 ± 0.05 | |
| 0.73 ± 0.11 | 0.61 ± 0.24 | 0.85 ± 0.15 | 0.67 ± 0.17 | ||
| 0.58 ± 0.05 | 0.60 ± 0.14 | 0.56 ± 0.19 | 0.59 ± 0.05 | ||
| 0.65 ± 0.08 | 0.72 ± 0.10 | 0.58 ± 0.22 | 0.67 ± 0.05 | ||
| 0.65 ± 0.07 | 0.60 ± 0.24 | 0.70 ± 0.15 | 0.60 ± 0.15 | ||
| MLP | 0.85 ± 0.10 | 0.85 ± 0.22 | 0.85 ± 0.09 | 0.83 ± 0.14 | |
| 0.63 ± 0.03 | 0.48 ± 0.17 | 0.79 ± 0.17 | 0.55 ± 0.09 | ||
| 0.57 ± 0.06 | 0.69 ± 0.08 | 0.44 ± 0.18 | 0.62 ± 0.03 | ||
| 0.65 ± 0.07 | 0.72 ± 0.10 | 0.58 ± 0.15 | 0.67 ± 0.06 | ||
| 0.62 ± 0.03 | 0.50 ± 0.20 | 0.73 ± 0.16 | 0.54 ± 0.14 | ||
| RF | 0.90 ± 0.05 | 0.84 ± 0.10 | 0.97 ± 0.05 | 0.90 ± 0.06 | |
| 0.74 ± 0.08 | 0.64 ± 0.18 | 0.85 ± 0.15 | 0.70 ± 0.14 | ||
| 0.54 ± 0.03 | 0.66 ± 0.11 | 0.42 ± 0.10 | 0.59 ± 0.05 | ||
| 0.64 ± 0.09 | 0.60 ± 0.10 | 0.67 ± 0.20 | 0.62 ± 0.07 | ||
| 0.63 ± 0.10 | 0.57 ± 0.19 | 0.70 ± 0.11 | 0.59 ± 0.14 | ||
| SVM | 0.82 ± 0.06 | 0.79 ± 0.15 | 0.85 ± 0.09 | 0.80 ± 0.08 | |
| 0.75 ± 0.10 | 0.64 ± 0.24 | 0.85 ± 0.15 | 0.69 ± 0.17 | ||
| 0.60 ± 0.03 | 0.60 ± 0.14 | 0.59 ± 0.19 | 0.59 ± 0.04 | ||
| 0.65 ± 0.08 | 0.79 ± 0.06 | 0.51 ± 0.20 | 0.69 ± 0.04 | ||
| 0.69 ± 0.05 | 0.60 ± 0.11 | 0.79 ± 0.11 | 0.66 ± 0.08 | ||
| TabPFN | 0.91 ± 0.08 | 0.91 ± 0.11 | 0.91 ± 0.11 | 0.91 ± 0.08 | |
| 0.73 ± 0.11 | 0.58 ± 0.19 | 0.88 ± 0.16 | 0.67 ± 0.16 | ||
| 0.57 ± 0.04 | 0.60 ± 0.16 | 0.53 ± 0.17 | 0.57 ± 0.09 | ||
| 0.62 ± 0.04 | 0.69 ± 0.12 | 0.54 ± 0.15 | 0.64 ± 0.04 | ||
| 0.61 ± 0.05 | 0.69 ± 0.18 | 0.54 ± 0.16 | 0.63 ± 0.10 | ||
| XGB | 0.92 ± 0.04 | 0.90 ± 0.07 | 0.93 ± 0.07 | 0.92 ± 0.04 | |
| 0.77 ± 0.07 | 0.72 ± 0.10 | 0.82 ± 0.13 | 0.76 ± 0.08 | ||
| 0.66 ± 0.12 | 0.74 ± 0.22 | 0.57 ± 0.16 | 0.67 ± 0.15 | ||
| 0.66 ± 0.06 | 0.58 ± 0.15 | 0.75 ± 0.14 | 0.62 ± 0.10 | ||
| 0.63 ± 0.03 | 0.57 ± 0.11 | 0.70 ± 0.17 | 0.60 ± 0.03 |
Disclaimer/Publisher’s Note: The statements, opinions and data contained in all publications are solely those of the individual author(s) and contributor(s) and not of MDPI and/or the editor(s). MDPI and/or the editor(s) disclaim responsibility for any injury to people or property resulting from any ideas, methods, instructions or products referred to in the content. |
© 2024 by the authors. Licensee MDPI, Basel, Switzerland. This article is an open access article distributed under the terms and conditions of the Creative Commons Attribution (CC BY) license (https://creativecommons.org/licenses/by/4.0/).
Share and Cite
Chushig-Muzo, D.; Calero-Díaz, H.; Fabelo, H.; Årsand, E.; van Dijk, P.R.; Soguero-Ruiz, C. Characterizing the Impact of Physical Activity on Patients with Type 1 Diabetes Using Statistical and Machine Learning Models. Appl. Sci. 2024, 14, 9870. https://doi.org/10.3390/app14219870
Chushig-Muzo D, Calero-Díaz H, Fabelo H, Årsand E, van Dijk PR, Soguero-Ruiz C. Characterizing the Impact of Physical Activity on Patients with Type 1 Diabetes Using Statistical and Machine Learning Models. Applied Sciences. 2024; 14(21):9870. https://doi.org/10.3390/app14219870
Chicago/Turabian StyleChushig-Muzo, David, Hugo Calero-Díaz, Himar Fabelo, Eirik Årsand, Peter Ruben van Dijk, and Cristina Soguero-Ruiz. 2024. "Characterizing the Impact of Physical Activity on Patients with Type 1 Diabetes Using Statistical and Machine Learning Models" Applied Sciences 14, no. 21: 9870. https://doi.org/10.3390/app14219870
APA StyleChushig-Muzo, D., Calero-Díaz, H., Fabelo, H., Årsand, E., van Dijk, P. R., & Soguero-Ruiz, C. (2024). Characterizing the Impact of Physical Activity on Patients with Type 1 Diabetes Using Statistical and Machine Learning Models. Applied Sciences, 14(21), 9870. https://doi.org/10.3390/app14219870

