Abstract
The cultivation of Haematococcus pluvialis is pivotal in the biotechnological production of astaxanthin, a powerful antioxidant with extensive applications in the nutraceutical, pharmaceutical, and aquaculture industries. Astaxanthin accumulation is known to be enhanced under stress conditions. Recent advancements have highlighted the efficacy of mixotrophic cultivation in enhancing both biomass production and carotenoid accumulation. The aim of this work is to evaluate the effect of mixotrophic conditions induced by BWW on biomass growth and carotenoid accumulation. To this aim, experiments carried out with different light intensities and cultivation time were specifically designed. This study displays the effective production of carotenoids by H. pluvialis using brewery wastewater (BWW) as an organic source able to sustain mixotrophic conditions. Various ratios of BWW were combined with the BG11 medium. When H. pluvialis was cultivated solely in BWW or in the control medium BG11, both the biomass and astaxanthin contents were reduced compared to the higher values obtained in their blended mixtures. In particular, the BWW-BG11 1:1 system exhibited the highest values of biomass (5.46 g L−1) and astaxanthin content (2.32%) compared to both undiluted BWW (3.34 g L−1 and 1.95%) and the control BG11 (3.65 g L−1 and 0.65%), respectively. BWW significantly boosted the growth rate and metabolic activity of H. pluvialis. This dual approach not only accelerates biomass accumulation but also enhances the synthesis of carotenoids, particularly astaxanthin. The integration of mixotrophic strategies into H. pluvialis cultivation systems presents a promising avenue for optimizing the commercial production of astaxanthin, ensuring higher yields and cost-effectiveness.
1. Introduction
Microalgae have immense potential for a wide range of biotechnological applications, thanks to their high growth rate, biomass productivity, and capability to thrive in diverse environments [1]. These photosynthetic organisms are particularly valuable for producing proteins, essential fatty acids, and vitamins, making them ideal for use in nutraceuticals, food supplements, and animal feed [2]. In the pharmaceutical industry, microalgae are being studied for the production of high-value compounds, such as antioxidants, pigments, and bioactive molecules with potential therapeutic applications [3]. Additionally, microalgae’s high lipid content makes them suitable for biofuel production, including biodiesel and bioethanol [4,5]. Beyond product generation, microalgae play a crucial role in environmental biotechnology. They can be utilized in wastewater (WW) treatment to remove contaminants like heavy metals and excess nutrients while simultaneously producing valuable biomass [6,7]. Moreover, microalgae contribute to carbon capture and sequestration, aiding in climate change mitigation [8,9].
Among the many microalgae species, Haematococcus pluvialis is one of the most extensively studied [10]. This strain is of significant commercial interest due to its unparalleled ability to produce astaxanthin, a keto-carotenoid determining the reddish or pinkish color of some crustaceans, fishes, and birds. Astaxanthin is also present in marine bacteria, fungi, red yeasts (such as Phaffia rhodozyma), certain higher plants like the Adonis species, krill, and various microalgae, including Chlorococcum species, Chlorella zofingiensis, and Dunaliella salina. Among the latter ones, Haematococcus pluvialis represents the richest natural source of astaxanthin commercially available [11]. These microalgae undergo four life cycles: vegetative cell growth, encystment, maturation, and germination. However, they typically consist of only two stages—vegetative (green) and maturation (red) [12]. Astaxanthin is produced during the maturation stage, while chlorophyll is produced during the vegetative stage.
Astaxanthin is highly valued across various industries, including nutraceuticals, cosmetics, aquaculture, and food, due to its potent anti-inflammatory, anti-aging, and immune-boosting properties [13,14]. The commercial exploitation of H. pluvialis primarily hinges on its astaxanthin production, which can reach concentrations far higher than those found in other natural sources. Astaxanthin has been documented to be 54-times more powerful than β-carotene, 65-times for vitamin C, and 100-times for α-tocopherol [15]. Under suitable stress conditions, such as high photon flux intensity, Haematococcus can accumulate up to 3–5% of astaxanthin on a dry weight (DW) basis [16]. High light intensity is particularly critical in enhancing astaxanthin production, as it triggers a protective response that leads to the synthesis and accumulation of astaxanthin, acting as an antioxidant to protect the cells from damage [17]. To maximize astaxanthin production, various cultivation strategies have been developed, involving phototrophic, heterotrophic, and mixotrophic systems. Phototrophic cultivation, which relies solely on light and CO2, is commonly used but is often limited by slow growth rates and lower biomass yields [18]. Heterotrophic cultivation, where organic carbon sources are used, can increase biomass but might compromise the astaxanthin content [19]. Mixotrophy, which combines both phototrophic and heterotrophic methods, offers a promising approach to simultaneously enhance biomass and astaxanthin production [20]. A successful two-stage culture model has been developed for H. pluvialis. The first stage, known as the green stage, is characterized by high cell yield and is crucial for subsequent astaxanthin biosynthesis. The second stage, referred to as the red stage, allows for the rapid accumulation of astaxanthin [21]. This two-stage culture strategy has been proved to be particularly efficient under mixotrophy [22].
Brewery wastewater (BWW), an abundant and nutrient-rich byproduct of beer production, can be effectively utilized as a growth medium for microalgae cultivation [23,24]. BWW consists mainly of three parts: the first, water coolant, makes up 70% of the total water; the second, which includes brewing and rinsing water, accounts for 5–6% and is considered high-concentration organic WW; and the third, from the packaging shop, includes bottle washing, rinsing, and sterilization water, accounting for 20% [25]. This WW contains high levels of organic compounds, including sugars, proteins, and essential nutrients, like nitrogen (N) and phosphorus (P), which are vital for microalgae growth [26]. By using BWW, microalgae can assimilate these nutrients, reducing the need for synthetic fertilizers and lowering cultivation costs. The feasibility of using BWW as an organic substrate for the mixotrophic cultivation of H. pluvialis presents a sustainable and cost-effective solution. BWW can potentially serve as a carbon source, reducing cultivation costs and enhancing microalgal growth and astaxanthin accumulation. This approach not only aids in WW management but also complies with the bases of a circular economy, converting waste into valued bioproducts [27].
Given these premises, this work seeks to evaluate the combined effect of mixotrophic conditions induced by BWW on biomass growth and carotenoid accumulation, including astaxanthin with light intensity and cultivation duration. To this aim, light stress was applied to the mixotrophic culture of Haematococcus, induced by BWW alone and blended with a control medium in two different ratios. The effect of light stress on Haematococcus cells has been evaluated in terms of biomass content and productivity, astaxanthin accumulation, and the reddening stage during cultivation. The effect of N starvation coupled with high light intensity on biomass and astaxanthin was investigated as well.
2. Materials and Methods
2.1. Inoculum Preparation and Culture Medium
Haematococcus pluvialis strain SAG 34-1b used in this work was obtained from the Culture Collection of Algae at University of Göttingen (SAG, Göttingen, Germany). The microalgae were cultured and maintained in standard BG11 medium [28] with the composition reported in Table 1.
Table 1.
Composition of BG11 medium.
For cultivation, 50 mL Erlenmeyer flasks were filled with 30 mL of BG11 and inoculated with about 3 mL of H. pluvialis culture. Haematococcus cells in the inoculum were represented by mobile green cells in their vegetative phase, which are more prone to initiate rapid growth before inducing the phase of carotenoid accumulation. The flasks were sealed with film to allow for air exchange and placed under continuous illumination with fluorescent lamps (28 W, NVC YZ28-T5) supplying a light intensity of 100 μmol m2 s−1, as measured by a luxmeter (LI-250A Light Meter, LI-COR Biosciences, Lincoln, NE, USA), at room temperature.
2.2. Experimental Setup and Cultivation Conditions
The experiments were conducted using Haematococcus pluvialis cells collected one week after the preparation of the inoculum. Microalgae cells in their logarithmic growth phase were transferred into 250 mL bubble column tube photobioreactors (PBRs), having an outer diameter of 2.9 cm, inner diameter of 2.7 cm, and a height of 56 cm. Each PBR contained 200 mL of fresh medium. A mixture of CO2 and compressed air (1.5% CO2 and 98.5% air by volume) was continuously bubbled into the PBRs via a perforated rubber stopper at volumetric flow rate of 30 mL/min, using a cylinder and air pump (Resun, ACO 003, Singapore). The PBRs were kept at room temperature under continuous illumination from fluorescent lamps, providing two different light intensities: 35 μmol m−2 s−1 and 140 μmol m−2 s−1. Three sets of experiments were conducted to evaluate growth rate, biomass productivity, and the intracellular concentration of carotenoids and astaxanthin. The details of the experimental setup are provided in Table 2. Each PBR was initially inoculated with a concentration of 0.1 g/L.
Table 2.
Experimental setup.
To avoid contamination, all laboratory equipment and glassware were cleaned with water and detergent, thoroughly rinsed with distilled water, sterilized in an autoclave at 121 °C for 20 min (Hirayama, HVE-50, Ramsey, MN, USA), and then placed in a laminar flow hood (Airtech SW-CJ-2 FD, Jangsu, China) under UV light for 60 min. Additionally, sterile disposable pipettes and loops were used during the process.
The growth of microalgae was monitored daily over six consecutive days by measuring biomass (g L−1) and chlorophyll content. At the end of the cultivation period, final dry weight, carotenoids, and astaxanthin content in the culture were measured.
2.3. BWW Collection and Characterization
The BWW was obtained from the ‘N2 Factory of Tsingtao Brewery Company’, a brewery located in Qingdao, Shandong Province, China. Specifically, the effluent was gathered from the steeping step of beer production process. Chemical and physical characteristics of BWW were analyzed, and then it was stored at 4 °C for later use. Before microalgae cultivation, the WW was filtered using ultrafiltration membrane disks of acetate (0.45 μm diameter, Xinyou Ltd., Shanghai, China) in combination with filtering disks of fiber glass (15 cm diameter, Whatman-Xinhua Filter paper Co., Ltd., Hangzhou, China), to remove suspended solids. The filtered effluent was then sterilized for 20 min at 121 °C. Following sterilization, analysis of pH, chemical oxygen demand (COD), total phosphorous (TP), total (TN) and ammoniacal (TNH4+) nitrogen was performed, as shown in Table 3. Samples were centrifuged for 10 min at 1500 g, and the obtained supernatants were filtered with a 0.45 mm membrane filter of nylon. The determination of TN, TP, and TNH4+ was performed through alkaline digestion with potassium persulfate followed by UV spectrophotometric analysis GB 11894-89, 1990 [29], the ammonium molybdate spectrophotometric method GB 11893-89, 1990 [30], and the reaction with phenol-hypochlorite for determining ammonia [31], respectively. The COD was measured according to the protocol Standard Examination Method for Drinking Water—Aggregate Organic Parameters GB/T 5750.7, 2006 [32].
Table 3.
BWW physical–chemical composition.
2.4. Cell Growth and Dry Weight Determination
The growth of Haematococcus pluvialis was evaluated using a gravimetric technique. A 10 mL (V) sample was collected every two days from the PBR. The sample was filtered using a pre-weighed (W1) acetate ultrafiltration membrane with a 0.45 μm pore size. The membrane, with the retained biomass, was then dried at 105 °C overnight until it reached a stable weight. The following day, the membrane disk was re-weighed (W2) using an analytical balance (Mettler Toledo XS105DR, Mettler-Toledo International Inc., Columbus, OH, USA).
The biomass collected by the filter was calculated as the difference in weight of the membrane before and after filtration. Then, the concentration was obtained by dividing the biomass by the filtered volume. The dry weight cell concentration (g L−1) was, thus, calculated according to the following equation:
The specific growth rate μ was evaluated by linearly fitting Equation (2) during the exponential growth phase:
where X and Xe (g L−1) represent the biomass concentrations at the generic time t and the time te when the exponential phase started.
The batch volumetric productivity biomass Πx (mg L−1 day−1) was evaluated as:
where the symbols Xf and X0 (mg L−1) refer to the final biomass concentration (at time tf) and the initial one (at t0), respectively.
2.5. Analysis of Pigments
The carotenoid determination was performed during the H. pluvialis aplanospore phase. Thus, 1 mL of algal culture was withdrawn from the flasks and then centrifuged at 8000 rpm for 5 min. The supernatant was then discharged, while the obtained algal pellet was immersed in 5 mL of methanol. Before methanol extraction, H. pluvialis cysts were pre-treated by grinding them. The resulting mixture was kept at 60 °C for 1 h in a water bath. Subsequently, the mixture was centrifuged again at 8000 rpm for 5 min. Then, specific volumes of the supernatant were withdrawn and sent to spectrophotometric analysis with a Varian 50 Bio UV–Visible spectrophotometer (Varion Inc., Palo Alto, CA, USA). The optical densities at 666, 653, and 460 nm were analyzed to evaluate the chlorophylls (Chl-a and Chl-b) and total carotenoids (TC) concentration in the suspension according to the equations proposed by Wellburn et al. for a spectrophotometer resolution in the range 1–4 nm [33]:
The carotenoid to chlorophyll ratio was obtained as .
2.6. Astaxanthin Extraction and Determination
The astaxanthin content was measured following a modified protocol from Wang et al. (2018). To start, around 25 mg of dry biomass was ground and transferred into a 40 mL tube containing 5 mL of DMSO. The tube was then incubated in a thermostatic water bath set at 50 °C for 30 min. After the incubation, the mixture was centrifuged for 5 min at 3000 rpm. The supernatant was then collected into a 25 mL flask. The remaining pellet of algal cells was washed with 5 mL of acetone, then vortexed for 30 s, and finally centrifuged again. The pigment-containing supernatant was then merged with the initial extract. This extraction process was repeated until the cell debris became colorless. The final extract was diluted to the desired volume with acetone and mixed thoroughly. Astaxanthin content was then quantified by spectrophotometry at a wavelength of 474 nm. The astaxanthin content A (%dw), as a percentage of biomass dry weight, was evaluated based on the total mass of carotenoids as follows:
where it is assumed that astaxanthin is ~80% of total carotenoids, while mx is the total biomass (i.e., ~0.025 g) subjected to the procedure, Vac (mL) is the volume of acetone used, Dil (/) is the dilution, and 250 is the extinction coefficient of astaxanthin in acetone.
3. Results and Discussion
3.1. Effect of Light Intensity on H. pluvialis Growth and Biomass Production
The growth of H. pluvialis was monitored for 6 days using undiluted BWW and two blended media, BWW-BG11 1:1 and BWW-BG11 1:3, as detailed in Table 2. A regular BG11 medium served as the control. To assess the impact of light on biomass production, two light intensities were adopted for 6 days in the first two experiments, 35 μmol m−2 s−1 in Exp. 1 and 140 μmol m−2 s−1 in Exp. 2. In Exp 3, lasting 10 days, cultures were exposed to 35 μmol m−2 s−1 for the first 5 days, followed by 140 μmol m−2 s−1 for the next 5 days. Under 35 μmol m−2 s−1, all mixotrophic systems achieved greater biomass than the control (0.57 g L−1), with the highest (4.61 g L−1) in BWW-BG11 1:1 (Figure 1a).
Figure 1.
Final biomass concentration (g L−1) and productivity (g L−1 day−1) of H. pluvialis grown under mixotrophy in 4 media (BWW, BWW-BG11 1:1, BWW-BG11 1:3, BG11) using three different light regimes: (a) 35 μmol m−2 s−1, (b) 140 μmol m−2 s−1, (c) 35 μmol m−2 s−1 and 140 μmol m−2 s−1. Mean differences were compared using 1-way ANOVA with Dunnet correction (n = 6, * p < 0.05 (Unmarked); ** p < 0.01; *** p < 0.001, **** p < 0.0001).
At 140 μmol m−2 s−1, the BG11 control yielded the most biomass (3.21 g L−1), while the top-performing mixotrophic medium was BWW-BG11 1:1 (3.13 g L−1) (Figure 1b). This result aligns with previous studies on H. pluvialis cultivated in synthetic BWW mixed with a 50% BBM control medium [34]. When the light intensity increased from 35 to 140 μmol m−2 s−1 after five days, BWW-BG11 1:3 produced the highest biomass (5.46 g L−1),, while BBW alone had the lowest (3.50 g L−1) (Figure 1c).
Overall, H. pluvialis biomass in the BWW-BG11 mixtures exceeded that of the control, likely due to the elevated organic carbon content in BWW, which is rich in organic compounds like BOD and COD as well as essential nutrients for microalgae growth such as ammonium N (N-NH4+), N, and P (Table 3).
Although 100% (v v−1) BWW resulted in the lowest growth among the concentrations tested under mixotrophy across all three light conditions, the growth improved significantly when BWW was blended at 50% and 75% with the control medium. The limited availability of crucial substrates and nutrients, such as N and P in BWW (Table 3), may have restricted the growth of cells and the synthesis of nucleic acids, proteins, and photosynthetic pigments [23]. Our findings indicate that supplementing BG11 components with BWW enhances the nutrient supply, supporting H. pluvialis growth. The synergistic effect of organic carbon sources and light generally boosts biomass production [35]. It has been proved that low light intensity favors H. pluvialis growth up to the achievement of the optimal cell density, after which high irradiance acts as a stressor to trigger secondary carotenoids accumulation.
In our study, biomass accumulation in H. pluvialis ranged from 3.18 to 4.61 g L−1 when grown mixotrophycally at 35 μmol m−2 s−1, nearly doubling the biomass observed at 140 μmol m−2 s−1, which ranged from 1.94 to 3.13 g L−1. Similar results were reported by [22], who observed the highest cell densities, 3.8 × 105 cells mL−1 and 2.9 × 105 cells mL−1, in WC and NPK media under 20/4 h and 24/0 h light/dark cycles, respectively, in the mixotrophic cultivation of H. pluvialis. Wong et al. found that continuous light exposure (24/0 h with no dark period) was optimal for cell growth, lipid synthesis, and astaxanthin production in H. pluvialis [36]. The decision to conduct these experiments under continuous light was influenced by evidence that alternating dark and light periods can inhibit growth and reduce cell performance compared to continuous light exposure [37]. Additionally, alternating light and dark cycles may also decrease the growth efficiency [38].
3.2. Effect of Light Intensity on Carotenoids and Astaxanthin Production by H. pluvialis
Figure 2 illustrates the impact of different light regimes on the total carotenoids and astaxanthin content in H. pluvialis cultivated mixotrophycally in BWW. At a light intensity of 35 μmol m−2 s−1, the BWW-BG11 1:1 medium yielded the highest astaxanthin and total carotenoids content (2.32 %dw and 28.9 mg g−1dw, respectively), outperforming the control BG11 (2.15 %dw and 26.8 mg g−1dw) (Figure 2a). When exposed to higher light intensity (Figure 2b), the BWW medium achieved superior results (2.47 %dw and 30.8 mg g−1dw) compared to the control (1.50 %dw and 17.8 mg g−1dw) in both total carotenoids and astaxanthin content. Figure 2c shows that under a light shift, the BWW-BG11 1:1 medium produced the highest astaxanthin content (2.12 %dw), followed closely by BWW (1.98 %dw), both slightly surpassing the control (1.90 %dw). Also, in terms of total carotenoids content, BWW-BG11 1:1 outperformed BG11, with values of 26.4 mg g−1dw and 23.6 mg g−1dw, respectively.
Figure 2.
Total carotenoids (mg g−1dw) and astaxanthin content (%dw) of H. pluvialis grown under mixotrophy in 4 PBRs systems (BWW, BWW-BG11 1:1, BWW-BG11 1:3, BG11) using three different light regimes: (a) 35 μmol m−2 s−1, (b) 140 μmol m−2 s−1, (c) 35 μmol m−2 s−1 and 140 μmol m−2 s−1. Mean differences were compared using 1-way ANOVA with Dunnet correction (n = 6, * p < 0.05 (Unmarked); ** p < 0.01; **** p < 0.0001).
H. pluvialis is characterized by a complex life cycle and slow growth rates, making large-scale cultivation challenging. However, using organic carbon sources in its cultivation can enhance growth rates and promote the inductive stage, which leads to astaxanthin accumulation [39]. In mixotrophic cultures, organic carbon sources are known to stimulate cell division, hematocyst formation, and carotenoid accumulation [40]. BWW composition involves volatile fatty acids, sugars, soluble starch, celluloses, and alcohols, capable of sustaining mixotrophic metabolism. Additionally, since astaxanthin is widely used in the food and feed industries, the growth medium for H. pluvialis must be free for toxic chemicals [41]. This is crucial when selecting appropriate WW streams for cultivating microalgae for astaxanthin production. It is hypothesized that WW from the food industry, which typically avoids toxic chemicals, would be ideal for this purpose. The literature provides evidence on the feasibility of using various types of WWs, including agro-industry waste, to extract astaxanthin from H. pluvialis [42,43]. Based on these considerations, BWW was selected for this study as a source of organic carbon to facilitate the transition of H. pluvialis from the vegetative stage to the inductive one.
The color transition of H. pluvialis from the green to red stage under a dual light shift from 35 to 140 μmol m−2 s−1 is depicted in Figure 3. Figure 3a shows the initial conditions on day 0, where Haematococcus was inoculated in three mixotrophic systems: BWW (PBRs 1a and 1b), BWW-BG11 1:1 (PBRs 2a and 2b), BWW-BG11 1:3 (PBRs 3a and 3b), and in the control BG11 (PBRs 4a and 4b). By the fifth day, when the light intensity was increased from 35 to 140 μmol m−2 s−1, the PBRs 1a and 1b (BWW) clearly exhibited a reddening stage, while the other three systems displayed varying shades of green, with the BWW-BG11 1:3 system showing a strong green color (Figure 3b).
Figure 3.
Astaxanthin accumulation in the 4 PBRs systems (BWW 1a and 1b, BWW-BG11 1:1 2a and 2b, BWW-BG11 1:3 3a and 3b, BG11 4a and 4b) at day 0 (a), day 5 (b) and day 10 (c) with a light intensity of 35 μmol m−2 s−1during the first 5 days and 140 μmol m−2 s−1 during the remaining 5 days.
By the 10th day, after Haematococcus had been exposed to the higher light intensity for five days, the PBRs 1a and 1b (BWW) confirmed their red stage, while PBRs 2, 3, and 4 had turned dark, with little green remaining (Figure 3c). The color changes observed in our study are consistent with those reported by [17], where their system 0 N corresponds to BWW in our study, and the other three systems with increasing N concentration (0.5–3 N) can be compared to our BWW-BG11 mixtures and the control. The images in Figure 3 suggest that H. pluvialis accumulated more biomass (in terms of chlorophyll a and b) in the control and in the BWW-BG11 mixtures, while the early reddening stage in the BWW system indicates an initial focus on astaxanthin accumulation rather than chlorophylls. This observation is supported by the chlorophylls, carotenoids, and carotenoid/chlorophyll ratio data presented in Table 4, which cover all PBRs under the three light regimes.
Table 4.
Chlorophyll and carotenoid accumulation under mixotrophy.
By the 10th day of Exp. 3, TChl accumulation in BWW was very low (0.50 mg L−1) compared to the other three systems, BWW-BG11 1:1, BWW-BG11 1:3, and BG11, which exhibited much higher total chlorophylls levels (3.14 mg L−1, 3.39 mg L−1, and 1.36 mg L−1, respectively). The lowest chlorophyll a and b levels, as well as total chlorophyll content across all three light regimes, were observed when Haematococcus was exposed to 140 μmol m−2 s−1 from the start (Exp. 2). Under these conditions, Haematococcus cultivated in BWW had the highest total carotenoid accumulation (0.79 mg L−1) and astaxanthin content (2.47%) (Table 4 and Figure 2b).
Increased light intensity enhances the photosynthetic machinery, leading to higher reactive oxygen species (ROS) production. To mitigate the oxidative stress caused by ROS, Haematococcus redirects its metabolic pathways towards the synthesis of astaxanthin, which effectively neutralizes the ROS and stabilizes cellular components. However, while high light intensity can significantly boost astaxanthin production, it must be carefully balanced to prevent excessive photo-damage or growth inhibition. Optimal light conditions typically involve a balance between high light exposure and other factors like temperature, nutrient availability, and light duration to maximize both biomass and astaxanthin yield [44].
The morphology of H. pluvialis before and after cultivation was examined using a digital microscope and is shown in Figure 4. Day 0 represents the initial culture conditions with low light (35 μmol m−2 s−1) across all four PBR systems, while day 10 depicts the cells after five days of exposure to high light (140 μmol m−2 s−1). Initially, the cells were light green, indicating chlorophyll presence. As cultivation progressed, young H. pluvialis cells lacked thick cell walls, which became more robust during the green stage (images not shown). The increased thickness of the layered cell wall is a protective strategy during astaxanthin accumulation [45]. As the cells began to accumulate astaxanthin, their color transitioned to reddish green, signaling that the culture is ready to enter to the maturation stage, culminating in full astaxanthin accumulation by day 10, as shown in Figure 4.
Figure 4.
Micrographs of H. pluvialis in the 4 PBRs systems at day 0 and day 10 with a light intensity of 35 µmol m−2 s−1 during the first 5 days and 140 µmol m−2 s−1 during the remaining 5 days. Please note that the scale bar is not reported and is not—homogenous to allow the focus on the colour of cells.
3.3. Effect of Nitrogen Starvation on Carotenoids and Astaxanthin Production by H. pluvialis
While light intensity and organic carbon from BWW are critical factors influencing carotenoid synthesis, N availability is another key determinant [46]. In this section, we explore how N starvation under low light conditions influences astaxanthin production, aiming to identify optimal conditions for pigment accumulation under minimal light stress. In various studies, light intensities used for H. pluvialis cultivation in flasks or columns typically range between 30 and 60 μmol m−2 s−1 [16]. N is the primary nutrient influencing both H. pluvialis growth and astaxanthin accumulation [47]. N starvation is a consolidated strategy to enhance the astaxanthin content within the cells [17]. In this study, when Haematococcus was cultivated in BWW under all the three light regimes, the content of chlorophyll a and b and total chlorophyll was lower compared to the other systems blended with the control medium and the control itself (Table 4). Furthermore, when comparing the mixotrophic systems (excluding growth under 140 μmol m−2 s−1), the total carotenoid content in BWW was higher than in other systems. These findings suggest that N starvation, a condition likely present in BWW (as shown in Table 3), may trigger a metabolic shift within the cells, promoting astaxantin formation at the expense of chlorophyll production.
The literature supports the idea that low light intensity coupled with N starvation can enhance astaxanthin accumulation in Haematococcus. Under these stress conditions, microalgae shift their metabolic processes towards producing secondary metabolites like astaxanthin, which serves as a protective mechanism against environmental stress [48].
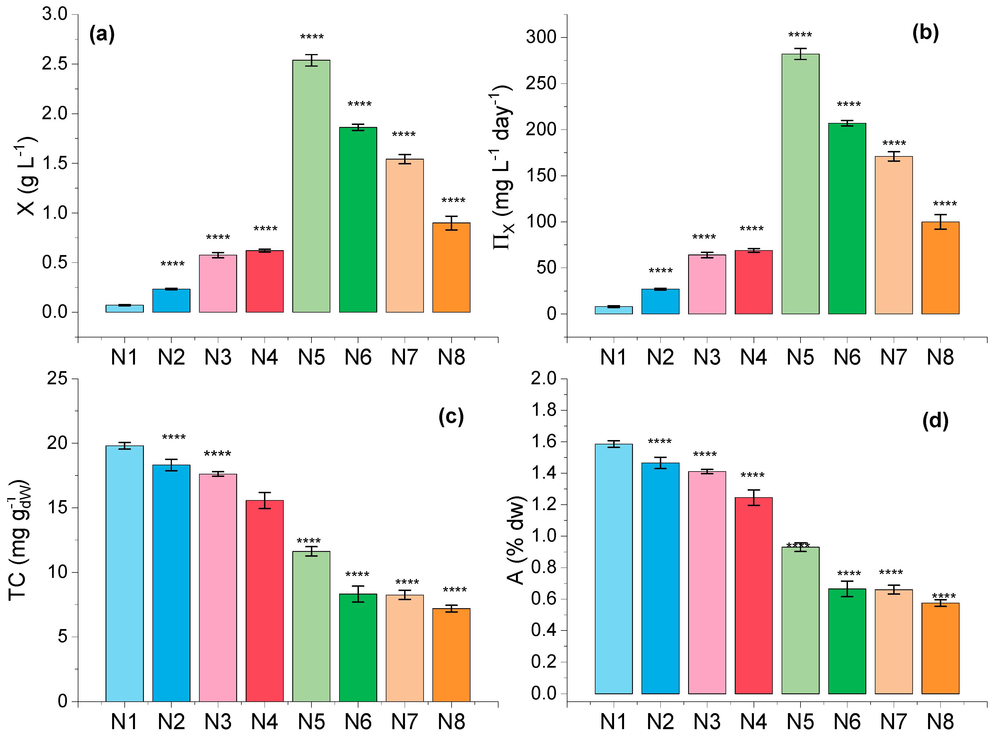
To corroborate these observations, H. pluvialis was cultivated under the lowest light regime (35 μmol m−2 s−1) for an extended period (9 days) while applying the N starvation strategy. To this aim, eight different concentrations of N (ranging from 0 to 17.56 mM) were selected, with corresponding amounts of sodium nitrate added to the BWW medium. Figure 5 illustrates the growth kinetics of Haematococcus under N starvation.
Figure 5.
Growth kinetics of H. pluvialis during 9 days under mixotrophy at different N concentration (mM) in BWW medium and a low light regime of 35 μmol m−2 s−1.
Haematococcus exhibited an average lag phase of around 3 days, after which fast accumulation of biomass occurred in systems with N concentrations between 1.76 and 8.82 mM. Systems with lower N contents (0.35–0.88 mM) and with the highest concentration (17.56 mM) experienced a longer lag phase, with biomass accumulation starting around the sixth day. The system with the lowest N concentration (0.18 mM) and the raw BWW (0 mM) showed a lag phase persisting for 9 days. Biomass accumulation ranged from 0.07 g L−1 with 0 mM of N to 0.9 g L−1 with 17.56 mM of N, with a maximum value of 2.54 g L−1 observed at 1.76 mM of N. The specific growth rates μ obtained under the different N concentrations were calculated using Equation (2) and are shown in Figure 6.
Figure 6.
Experimental specific growth rate of H. pluvialis under mixotrophy as a function of N concentration in BWW medium and fitting with the model by Haldane for growth with substrate inhibition.
Since the specific growth rate showed an optimum N value and then decreased for higher N concentrations, the data could be theoretically interpreted through the Haldane kinetic model for substrate inhibition [49] reported in Equation (9).
It can be observed that the model matched the experimental data well when the parameters were tuned to the values reported in Table 5.
Table 5.
Parameters of the Haldane kinetics and main statistical analysis of fitting performance.
Such a model can be viably used to eventually model the growth of H. pluvialis in different devices operating in continuous or fed-batch mode. The impact of N starvation on biomass productivity (mg L−1 day−1), total carotenoids (mg g−1dw), and astaxanthin content (%dw) in H. pluvialis grown in BWW is illustrated in Figure 7.
Figure 7.
Effect of N starvation on (a) biomass content (g L−1), (b) productivity (mg L−1 day−1), (c) total carotenoids (mg g−1dw) and (d) astaxanthin content (%DW) of H. pluvialis grown for 9 days in BWW using a light intensity of 35 μmol m−2 s−1. N1 = 0 mM, N2 = 0.18 mM, N3 = 0.35, N4 = 0.88 mM, N5 = 1.76 mM, N6 = 3.52 mM, N7 = 8.82 mM, N8 = 17.56 mM. Mean differences were compared using 1-way ANOVA with Dunnet correction (n = 6, * p < 0.05 (Unmarked); **** p < 0.0001).
The fast transition to the inductive stage under N starvation is evident from Figure 7d, where the highest astaxanthin content of 1.59 %dw was observed in the raw BWW (N1), where no external N was added. This condition not only yielded the highest astaxanthin content but also resulted in the lowest biomass content (0.07 g L−1) and biomass productivity (8 mg L−1 day−1). A clear proportional relationship can be seen between the increasing N concentrations added to the BWW and the gradual decrease in astaxanthin content. The same trend can be obviously detected for TC. This trend aligns with the literature findings [17], wherein a proportional decline in astaxanthin production was reported when N concentrations were increased from 0- to 3-fold in terms of nitrate under low light (30 μmol m−2 s−1) for 10 days.
In our study, there was also a slight but consistent increase in biomass content and productivity as the N concentration increased, particularly within the N range 0 to 1.76 mM.
Beyond this range, further additions of nitrate led to a slight decline in both biomass content and productivity. This behavior is consistent with the literature [47], wherein the highest astaxanthin content was reported (2.3 % dW) with the addition of 0.18 mM nitrate to the BG11 control medium during H. pluvialis cultivation in the attached systems.
Previous research has demonstrated that N deficiency suppresses chlorophyll biosynthesis in H. pluvialis, accelerates chlorophyll b degradation, enhances plastoquinol terminal oxidase (PTOX) activity, and increases cyclic electron transport [50]. The reduction in chlorophyll levels diminishes the photosynthetic capacity of the cells [51]. Under these stress conditions, H. pluvialis tends to accumulate substantial amounts of carbon, primarily in the form of lipids and carotenoids [52]. In our study, lower N concentrations were strongly correlated with increased astaxanthin levels, while total carotenoids were higher in BWW with both high N concentrations (3.52–17.56 mM) and in the raw BWW (0 mM N). Future work should expand this analysis to higher light intensities to fully understand the combined effects of light and N on astaxanthin synthesis.
Finally, a deeper analysis of the upscaling potential of this technique will be carried out in the next steps of this research activity. The main challenges when upscaling the proposed technique would be to maintain a high biomass productivity while ensuring the efficient induction of astaxanthin synthesis, since the latter one is typically produced when cells are stressed and the growth rate is lower. So, a trade-off set of operating conditions should be identified that is capable of ensuring good biomass productivity and a simultaneous good intracellular content of astaxanthin. A deep understanding of astaxanthin metabolism in H. pluvialis along with proper mathematical models and software might represent a valid tool to identify the optimal operating conditions that maximize astaxanthin productivity, which is the product of biomass productivity times the astaxanthin intracellular content. During cultivation at a large scale, a further challenge would be posed by possible bacterial contamination due to the presence of organic matter in BWW. To cope with this problem, the use of closed photobioreactors and a highly concentrated inoculum would minimize this problem. Finally, some challenges could be posed by the still-high costs of astaxanthin extraction and purification from microalgal biomass. In this view, novel extraction techniques relying on supercritical fluids or liquid dimethyl ether (l-DME) or centrifugal partition might represent a viable alternative to the classical solvents.
4. Conclusions
This work focused on investigating the effect of mixotrophic conditions induced by utilizing BWW, as a sustainable substrate, on the biomass growth, carotenoids, and accumulation of astaxanthin by H. pluvialis. Mixing BWW with the BG11 medium in various ratios, along with the application of light stress conditions, considerably improved both biomass production and astaxanthin accumulation. The combination of BWW and BG11 in a 1:1 ratio was the most effective, yielding the highest biomass (5.46 g L−1) and astaxanthin content (2.32 %dw), underscoring the synergistic benefits of organic carbon from BWW and essential nutrients from BG11. This study also demonstrated the key role of light intensity in enhancing carotenoid synthesis. Cultivation under an initial low-light phase followed by high light exposure further improved the production of astaxanthin, confirming that stress-induced conditions are beneficial for secondary metabolite accumulation. The use of BWW in algal cultivation can greatly increase the techno-economic feasibility of astaxanthin production using microalgae in a framework of the circular bio-economy, turning waste into valuable bioproducts. Future studies should focus on the scalability of this method and explore its applicability in large-scale commercial systems.
Author Contributions
Conceptualization, G.A.L. and W.Z.; methodology, G.A.L. and L.C.; software, A.C.; validation, G.A.L., A.C. and E.D.; formal analysis, G.A.L.; investigation, G.A.L.; resources, T.L.; data curation, A.C.; writing—original draft preparation, G.A.L.; writing—review and editing, G.A.L., E.D., A.C. and T.L.; supervision, W.Z and L.C.; funding acquisition, T.L. All authors have read and agreed to the published version of the manuscript.
Funding
This research was funded by the Qingdao Municipality Program Research Bursary [Y43304110E], National Natural Science Foundation of China [41276144], and Science and Technology Development Planning of Shandong Province [2013GHY11520].
Institutional Review Board Statement
Not applicable. The study didn’t require ethical approval.
Data Availability Statement
Data will be available upon request.
Conflicts of Interest
The authors declare no conflicts of interest.
References
- Gurreri, L.; Rindina, M.C.; Luciano, A.; Lima, S.; Scargiali, F.; Fino, D.; Mancini, G. Environmental Sustainability of Microalgae-Based Production Systems: Roadmap and Challenges towards the Industrial Implementation. Sustain. Chem. Pharm. 2023, 35, 101191. [Google Scholar] [CrossRef]
- Samoraj, M.; Çalics, D.; Trzaska, K.; Mironiuk, M.; Chojnacka, K. Advancements in Algal Biorefineries for Sustainable Agriculture: Biofuels, High-Value Products, and Environmental Solutions. Biocatal. Agric. Biotechnol. 2024, 58, 103224. [Google Scholar] [CrossRef]
- Pereira, L.; Cotas, J.; Valado, A. Antioxidants from Microalgae and Their Potential Impact on Human Well-Being. Explor. Drug Sci. 2024, 2, 292–321. [Google Scholar] [CrossRef]
- Mutanda, T.; Naidoo, D.; Bwapwa, J.K.; Anandraj, A. Biotechnological Applications of Microalgal Oleaginous Compounds: Current Trends on Microalgal Bioprocessing of Products. Front. Energy Res. 2020, 8, 598803. [Google Scholar] [CrossRef]
- Concas, A.; Pisu, M.; Cao, G. Microalgal Cell Disruption through Fenton Reaction: Experiments, Modeling and Remarks on Its Effect on the Extracted Lipids Composition. Chem. Eng. Trans. 2015, 43, 367–372. [Google Scholar] [CrossRef]
- Osman, M.E.H.; Abo-Shady, A.M.; Gheda, S.F.; Desoki, S.M.; Elshobary, M.E. Unlocking the Potential of Microalgae Cultivated on Wastewater Combined with Salinity Stress to Improve Biodiesel Production. Environ. Sci. Pollut. Res. 2023, 30, 114610–114624. [Google Scholar] [CrossRef]
- Lutzu, G.A.; Marin, M.A.; Concas, A.; Dunford, N.T. Growing Picochlorum Oklahomensis in Hydraulic Fracturing Wastewater Supplemented with Animal Wastewater. Water Air Soil Pollut. 2020, 231, 457. [Google Scholar] [CrossRef]
- Onyeaka, H.; Miri, T.; Obileke, K.C.; Hart, A.; Anumudu, C.; Al-Sharify, Z.T. Minimizing Carbon Footprint via Microalgae as a Biological Capture. Carbon Capture Sci. Technol. 2021, 1, 100007. [Google Scholar] [CrossRef]
- Concas, A.; Pisu, M.; Cao, G. Mathematical Modelling of Chlorella Vulgaris Growth in Semi-Batch Photobioreactors Fed with Pure CO2. Chem. Eng. Trans. 2013, 32, 1021–1026. [Google Scholar]
- Casula, M.; Caboni, P.; Fais, G.; Dessì, D.; Scano, P.; Lai, N.; Cincotti, A.; Cao, G.; Concas, A. In-Situ Resource Utilization to Produce Haematococcus Pluvialis Biomass in Simulated Martian Environment. Algal Res. 2024, 79, 103489. [Google Scholar] [CrossRef]
- An, Y.; Kim, T.; Byeon, H.; Rayamajhi, V.; Lee, J.; Jung, S.; Shin, H. Improved Production of Astaxanthin from Haematococcus Pluvialis Using a Hybrid Open--Closed Cultivation System. Appl. Sci. 2024, 14, 1104. [Google Scholar] [CrossRef]
- Li, L.; Wu, Y.; Acheampong, A.; Huang, Q. Red Light Promotes Autotrophic Growth of Haematococcus Pluvialis with Improved Carbonic Anhydrase Activity and CO2 Utilization. Aquaculture 2023, 571, 739462. [Google Scholar] [CrossRef]
- Bjørklund, G.; Gasmi, A.; Lenchyk, L.; Shanaida, M.; Zafar, S.; Mujawdiya, P.K.; Lysiuk, R.; Antonyak, H.; Noor, S.; Akram, M.; et al. The Role of Astaxanthin as a Nutraceutical in Health and Age-Related Conditions. Molecules 2022, 27, 7167. [Google Scholar] [CrossRef] [PubMed]
- Citi, V.; Torre, S.; Flori, L.; Usai, L.; Aktay, N.; Dunford, N.T.; Lutzu, G.A.; Nieri, P. Nutraceutical Features of the Phycobiliprotein C-Phycocyanin: Evidence from Arthrospira Platensis (Spirulina). Nutrients 2024, 16, 1752. [Google Scholar] [CrossRef]
- Pertiwi, H.; Nur Mahendra, M.Y.; Kamaludeen, J. Astaxanthin as a Potential Antioxidant to Improve Health and Production Performance of Broiler Chicken. Vet. Med. Int. 2022, 2022, 4919442. [Google Scholar] [CrossRef]
- Oslan, S.N.H.; Shoparwe, N.F.; Yusoff, A.H.; Rahim, A.A.; Chang, C.S.; Tan, J.S.; Oslan, S.N.; Arumugam, K.; Ariff, A.B.; Sulaiman, A.Z.; et al. A Review on Haematococcus Pluvialis Bioprocess Optimization of Green and Red Stage Culture Conditions for the Production of Natural Astaxanthin. Biomolecules 2021, 11, 256. [Google Scholar] [CrossRef]
- Li, F.; Cai, M.; Wu, Y.; Lian, Q.; Qian, Z.; Luo, J.; Zhang, Y.; Zhang, N.; Li, C.; Huang, X. Effects of Nitrogen and Light Intensity on the Astaxanthin Accumulation in Motile Cells of Haematococcus Pluvialis. Front. Mar. Sci. 2022, 9, 909237. [Google Scholar] [CrossRef]
- Yang, S.; Zhao, W.; Mou, H.; Sun, H. Improving Astaxanthin Production of Haematococcus Pluvialis by an Efficient Fed-Batch Strategy in a Photobioreactor. Algal Res. 2021, 60, 102539. [Google Scholar] [CrossRef]
- Waissman-Levy, N.; Leu, S.; Khozin-Goldberg, I.; Boussiba, S. Manipulation of Trophic Capacities in Haematococcus Pluvialis Enables Low-Light Mediated Growth on Glucose and Astaxanthin Formation in the Dark. Algal Res. 2019, 40, 101497. [Google Scholar] [CrossRef]
- Khazi, M.I.; Liaqat, F.; Gu, W.; Mohamed, B.; Zhu, D.; Li, J. Astaxanthin Production from the Microalga Haematococcus Lacustris with a Dual Substrate Mixotrophy Strategy. Biotechnol. J. 2023, 18, 2300095. [Google Scholar] [CrossRef]
- Grujić, V.J.; Todorović, B.; Ambrožič-Dolinšek, J.; Kranvogl, R.; Ciringer, T. Diversity and Content of Carotenoids and Other Pigments in the Transition from the Green to the Red Stage of Haematococcus Pluvialis Microalgae Identified by HPLC-DAD and LC-QTOF-MS. Plants 2022, 11, 1026. [Google Scholar] [CrossRef] [PubMed]
- Sipaúba-Tavares, L.H.; Tedesque, M.G.; Fenerick, D.C.; Millan, R.N.; Scardoeli-Truzzi, B. Effect of Light/Dark Cycles on the Growth of Haematococcus Pluvialis in Mixotrophic Cultivation with Alternative Culture Media. Biotechnol. Res. Innov. 2022, 6, e2022202. [Google Scholar] [CrossRef]
- Lutzu, G.A.; Zhang, W.; Liu, T. Feasibility of Using Brewery Wastewater for Biodiesel Production and Nutrient Removal by Scenedesmus Dimorphus. Environ. Technol. 2016, 37, 1568–1581. [Google Scholar] [CrossRef] [PubMed]
- Miotti, T.; Sansone, F.; Lolli, V.; Concas, A.; Lutzu, G.A. Mixotrophic and Heterotrophic Metabolism in Brewery Wastewater by Chlorella Vulgaris: Effect on Growth, FAME Profile and Biodiesel Properties. Chem. Eng. Trans. 2024, 109, 97–102. [Google Scholar]
- Wang, P. Culture Medium and Culture Method for Culturing Haematococcus Pluvialis by Using Brewery Wastewater. CN103966103A, 6 August 2014. [Google Scholar]
- Amenorfenyo, D.K.; Huang, X.; Zhang, Y.; Zeng, Q.; Zhang, N.; Ren, J.; Huang, Q. Microalgae Brewery Wastewater Treatment: Potentials, Benefits and the Challenges. Int. J. Environ. Res. Public Health 2019, 16, 1910. [Google Scholar] [CrossRef]
- Cavallini, A.; Torre, S.; Usai, L.; Casula, M.; Fais, G.; Nieri, P.; Concas, A.; Lutzu, G.A. Effect of Cheese Whey on Phycobiliproteins Production and FAME Profile by Arthrospira Platensis (Spirulina): Promoting the Concept of a Circular Bio-Economy. Sustain. Chem. Pharm. 2024, 40, 101625. [Google Scholar] [CrossRef]
- Stanier, R.Y.; Kunisawa, R.; Mandel, M.; Cohen-Bazire, G. Purification and Properties of Unicellular Blue-Green Algae (Order Chroococcales). Bacteriol. Rev. 1971, 35, 171–205. [Google Scholar] [CrossRef]
- Zhang, Y.; Chang, F.; Zhang, X.; Li, D.; Liu, Q.; Liu, F.; Zhang, H. Release of Endogenous Nutrients Drives the Transformation of Nitrogen and Phosphorous in the Shallow Plateau of Lake Jian in Southwestern China. Water 2022, 14, 2624. [Google Scholar] [CrossRef]
- He, Z.; Chen, J.; Lu, J.; Jiang, S.Y.; Su, L.; Lee, C.H.; Ruan, H.D. Batch and Column Adsorption of Phosphorus by Modified Montmorillonite. Appl. Sci. 2022, 12, 5703. [Google Scholar] [CrossRef]
- Weatherburn, M.W. Phenol-Hypochlorite Reaction for Determination of Ammonia. Anal. Chem. 1967, 39, 971–974. [Google Scholar] [CrossRef]
- Jiang, M.; Jing, C.; Lei, C.; Han, X.; Wu, Y.; Ling, S.; Zhang, Y.; Li, Q.; Yu, H.; Liu, S.; et al. A Bio-Based Nanofibre Hydrogel Filter for Sustainable Water Purification. Nat. Sustain. 2024, 7, 168–178. [Google Scholar] [CrossRef]
- Wellburn, A.R. The Spectral Determination of Chlorophylls a and b, as Well as Total Carotenoids, Using Various Solvents with Spectrophotometers of Different Resolution. J. Plant Physiol. 1994, 144, 307–313. [Google Scholar] [CrossRef]
- Yap, S.M.; Lan, J.C.W.; Kee, P.E.; Ng, H.S.; Yim, H.S. Enhancement of Protein Production Using Synthetic Brewery Wastewater by Haematococcus Pluvialis. J. Biotechnol. 2022, 350, 1–10. [Google Scholar] [CrossRef] [PubMed]
- O’Rourke, R.; Gaffney, M.; Murphy, R. The Effects of Parachlorella Kessleri Cultivation on Brewery Wastewater. Water Sci. Technol. 2016, 73, 1401–1408. [Google Scholar] [CrossRef]
- Wong, Y. Effects of light intensity, illumination cycles on microalgae haematococcus pluvialis for production of astaxanthin. J. Mar. Biol. Aquac. 2016, 2, 1–6. [Google Scholar] [CrossRef][Green Version]
- Sforza, E.; Simionato, D.; Giacometti, G.M.; Bertucco, A.; Morosinotto, T. Adjusted Light and Dark Cycles Can Optimize Photosynthetic Efficiency in Algae Growing in Photobioreactors. PLoS ONE 2012, 7, e38975. [Google Scholar] [CrossRef]
- Subramanian, G.; Yadav, G.; Sen, R. Rationally Leveraging Mixotrophic Growth of Microalgae in Different Photobioreactor Configurations for Reducing the Carbon Footprint of an Algal Biorefinery: A Techno-Economic Perspective. RSC Adv. 2016, 6, 72897–72904. [Google Scholar] [CrossRef]
- Byeon, H.; An, Y.; Kim, T.; Rayamajhi, V.; Lee, J.; Shin, H.; Jung, S. Effects of Four Organic Carbon Sources on the Growth and Astaxanthin Accumulation of Haematococcus Lacustris. Life 2023, 14, 29. [Google Scholar] [CrossRef]
- Yu, X.; Ye, X.; Hu, C.; Xu, N.; Sun, X. Sodium Acetate Can Promote the Growth and Astaxanthin Accumulation in the Unicellular Green Alga Haematococcus Pluvialis as Revealed by a Proteomics Approach. J. Oceanol. Limnol. 2022, 40, 2052–2067. [Google Scholar] [CrossRef]
- van der Spiegel, M.; Noordam, M.Y.; van der Fels-Klerx, H.J. Safety of Novel Protein Sources (Insects, Microalgae, Seaweed, Duckweed, and Rapeseed) and Legislative Aspects for Their Application in Food and Feed Production. Compr. Rev. Food Sci. Food Saf. 2013, 12, 662–678. [Google Scholar] [CrossRef]
- Coutinho Rodrigues, O.H.; Itokazu, A.G.; Rörig, L.; Maraschin, M.; Corrêa, R.G.; Pimentel-Almeida, W.; Moresco, R. Evaluation of Astaxanthin Biosynthesis by Haematococcus Pluvialis Grown in Culture Medium Added of Cassava Wastewater. Int. Biodeterior. Biodegrad. 2021, 163, 105269. [Google Scholar] [CrossRef]
- de Carvalho, J.C.; Goyzueta-Mamani, L.D.; Molina-Aulestia, D.T.; Magalhães Júnior, A.I.; Iwamoto, H.; Ambati, R.R.; Ravishankar, G.A.; Soccol, C.R. Microbial Astaxanthin Production from Agro-Industrial Wastes—Raw Materials, Processes, and Quality. Fermentation 2022, 8, 484. [Google Scholar] [CrossRef]
- Ahirwar, A.; Meignen, G.; Jahir Khan, M.; Sirotiya, V.; Harish; Scarsini, M.; Roux, S.; Marchand, J.; Schoefs, B.; Vinayak, V. Light Modulates Transcriptomic Dynamics Upregulating Astaxanthin Accumulation in Haematococcus: A Review. Bioresour. Technol. 2021, 340, 125707. [Google Scholar] [CrossRef]
- Wang, S.; Meng, Y.; Liu, J.; Cao, X.; Xue, S. Accurate Quantification of Astaxanthin from Haematococcus Pluvialis Using DMSO Extraction and Lipase-Catalyzed Hydrolysis Pretreatment. Algal Res. 2018, 35, 427–431. [Google Scholar] [CrossRef]
- Razzak, S.A.; Bahar, K.; Islam, K.M.O.; Haniffa, A.K.; Faruque, M.O.; Hossain, S.M.Z.; Hossain, M.M. Microalgae Cultivation in Photobioreactors: Sustainable Solutions for a Greener Future. Green Chem. Eng. 2023, 5, 418–439. [Google Scholar] [CrossRef]
- Zhang, W.; Wang, J.; Wang, J.; Liu, T. Attached Cultivation of Haematococcus Pluvialis for Astaxanthin Production. Bioresour. Technol. 2014, 158, 329–335. [Google Scholar] [CrossRef] [PubMed]
- Samhat, K.; Kazbar, A.; Takache, H.; Ismail, A.; Pruvost, J. Influence of Light Absorption Rate on the Astaxanthin Production by the Microalga Haematococcus Pluvialis during Nitrogen Starvation. Bioresour. Bioprocess. 2023, 10, 78. [Google Scholar] [CrossRef]
- Lee, E.; Jalalizadeh, M.; Zhang, Q. Growth Kinetic Models for Microalgae Cultivation: A Review. Algal Res. 2015, 12, 497–512. [Google Scholar] [CrossRef]
- Fang, L.; Zhang, J.; Fei, Z.; Wan, M. Chlorophyll as Key Indicator to Evaluate Astaxanthin Accumulation Ability of Haematococcus Pluvialis. Bioresour. Bioprocess. 2019, 6, 52. [Google Scholar] [CrossRef]
- Tamary, E.; Nevo, R.; Naveh, L.; Levin-Zaidman, S.; Kiss, V.; Savidor, A.; Levin, Y.; Eyal, Y.; Reich, Z.; Adam, Z. Chlorophyll Catabolism Precedes Changes in Chloroplast Structure and Proteome during Leaf Senescence. Plant Direct 2019, 3, e00127. [Google Scholar] [CrossRef]
- Sun, H.; Wang, Y.; He, Y.; Liu, B.; Mou, H.; Chen, F.; Yang, S. Microalgae-Derived Pigments for the Food Industry. Mar. Drugs 2023, 21, 82. [Google Scholar] [CrossRef] [PubMed]
Disclaimer/Publisher’s Note: The statements, opinions and data contained in all publications are solely those of the individual author(s) and contributor(s) and not of MDPI and/or the editor(s). MDPI and/or the editor(s) disclaim responsibility for any injury to people or property resulting from any ideas, methods, instructions or products referred to in the content. |
© 2024 by the authors. Licensee MDPI, Basel, Switzerland. This article is an open access article distributed under the terms and conditions of the Creative Commons Attribution (CC BY) license (https://creativecommons.org/licenses/by/4.0/).






