Deodorising Garlic Body Odour by Ingesting Natural Food Additives Containing Phenolic Compounds and Polyphenol Oxidase
Abstract
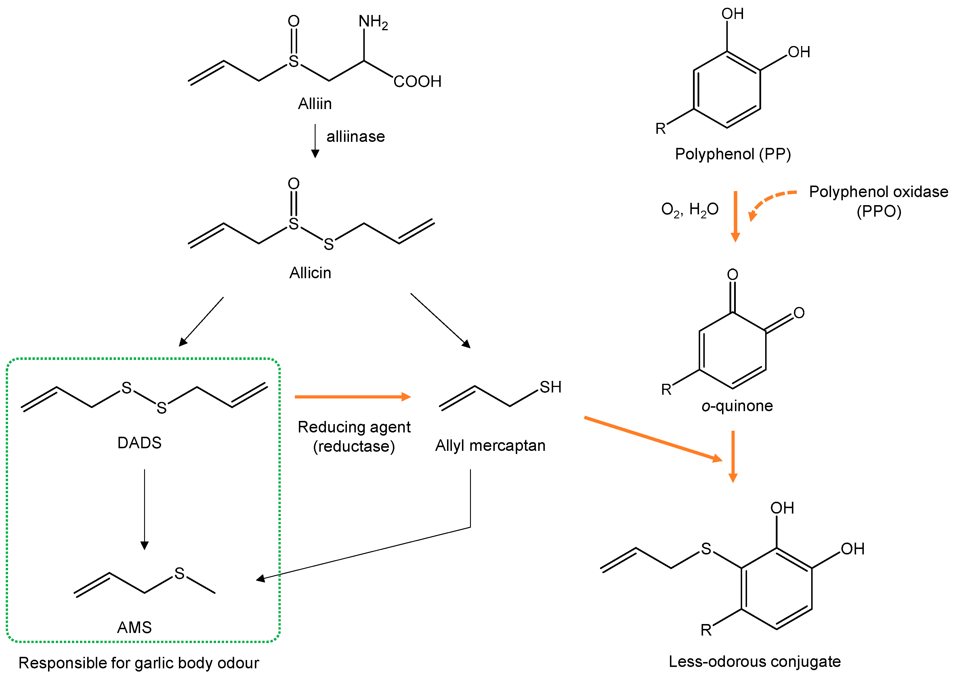
1. Introduction
2. Materials and Methods
2.1. Materials and Reagents
2.2. Subject Testing
2.3. Measuring Dermal DADS and AMS Emissions
2.4. Statistical Analysis
3. Results
4. Discussion
5. Conclusions
Author Contributions
Funding
Institutional Review Board Statement
Informed Consent Statement
Data Availability Statement
Conflicts of Interest
References
- Goncagul, G.; Ayaz, E. Antimicrobial effect of garlic (Allium sativum) and traditional medicine. J. Anim. Vet. Adv. 2010, 9, 1–4. [Google Scholar] [CrossRef]
- Milner, J.A. Garlic: Its anticarcinogenic and antitumorigenic properties. Nutr. Rev. 1996, 54, S82–S86. [Google Scholar] [CrossRef] [PubMed]
- Block, G.; Patterson, B.; Subar, A. Fruit, vegetables, and cancer prevention: A review of the epidemiological evidence. Nutr. Cancer 1992, 18, 1–29. [Google Scholar] [CrossRef]
- Challier, B.; Perarnau, J.M.; Viel, J.F. Garlic, onion and cereal fiber as protective factors for breast cancer: A French case-control study. Eur. J. Epidemiol. 1998, 14, 737–747. [Google Scholar] [CrossRef]
- Amagase, H.; Petesch, B.L.; Matsuura, H.; Kasuga, S.; Itakura, Y. Intake of garlic and its bioactive components. J. Nutr. 2001, 131, 955S–962S. [Google Scholar] [CrossRef]
- Fleischauer, A.T.; Arab, L. Garlic and cancer: A critical review of the epidemiologic literature. J. Nutr. 2001, 131, 1032S–1040S. [Google Scholar] [CrossRef]
- Ansary, J.; Forbes-Hernández, T.Y.; Gil, E.; Cianciosi, D.; Zhang, J.; Elexpuru-Zabaleta, M.; Simal-Gandara, J.; Giampieri, F.; Battino, M. Potential Health Benefit of Garlic Based on Human Intervention Studies: A Brief Overview. Antioxidants 2020, 9, 619. [Google Scholar] [CrossRef]
- Zhang, Y.; Liu, X.; Ruan, J.; Zhuang, X.; Zhang, X.; Li, Z. Phytochemicals of garlic: Promising candidates for cancer therapy. Biomed. Pharmacother. 2020, 123, 109730. [Google Scholar] [CrossRef]
- De Greef, D.; Barton, E.M.; Sandberg, E.N.; Croley, C.R.; Pumarol, J.; Wong, T.L.; Das, N.; Bishayee, A. Anticancer potential of garlic and its bioactive constituents: A systematic and comprehensive review. Semin. Cancer Biol. 2021, 73, 219–264. [Google Scholar] [CrossRef]
- Lee, J.; Zhao, N.; Fu, Z.; Choi, J.; Lee, H.J.; Chung, M. Effects of garlic intake on cancer: A systematic review of randomized clinical trials and cohort studies. Nutr. Res. Pract. 2021, 6, 773–788. [Google Scholar] [CrossRef]
- Haggard, H.W.; Greenberg, L.A. Breath odors from alliaceous substance: Cause and remedy. J. Am. Med. Assoc. 1935, 104, 2160–2163. [Google Scholar] [CrossRef]
- Minami, T.; Boku, T.; Inada, K.; Morita, M.; Okazaki, Y. Odor components of human breath after the ingestion of grated raw garlic. J. Food Sci. 1989, 54, 763–765. [Google Scholar] [CrossRef]
- Taucher, J.; Hansel, A.; Jordan, A.; Lindinger, W. Analysis of compounds in human breath after ingestion of garlic using proton-transfer-reaction mass spectrometry. J. Agric. Food Chem. 1996, 44, 3778–3782. [Google Scholar] [CrossRef]
- Borlinghaus, J.; Foerster Née Reiter, J.; Kappler, U.; Antelmann, H.; Noll, U.; Gruhlke, M.C.H.; Slusarenko, A.J. Allicin, the Odor of Freshly Crushed Garlic: A Review of Recent Progress in Understanding Allicin’s Effects on Cells. Molecules 2021, 26, 1505. [Google Scholar] [CrossRef]
- Yu, S.; Huang, X.; Wang, L.; Wang, Y.; Jiao, X.; Chang, X.; Tian, X.; Ren, Y.; Zhang, X. Characterization of the volatile flavor profiles of black garlic using nanomaterial-based colorimetric sensor array, HS-SPME-GC/MS coupled with chemometrics strategies. Food Chem. 2024, 458, 140213. [Google Scholar] [CrossRef]
- Mirondo, R.; Barringer, S. Deodorization of garlic breath by foods, and the role of polyphenol oxidase and phenolic compounds. J. Food Sci. 2016, 81, C2425–C2430. [Google Scholar] [CrossRef]
- Sato, S.; Sekine, Y.; Kakumu, Y.; Hiramoto, T. Measurement of diallyl disulfide and allyl methyl sulfide emanating from human skin surface and influence of ingestion of grilled garlic. Sci. Rep. 2020, 10, 465. [Google Scholar] [CrossRef]
- Nadeem, M.S.; Kazmi, I.; Ullah, I.; Muhammad, K.; Anwar, F. Allicin, an Antioxidant and Neuroprotective Agent, Ameliorates Cognitive Impairment. Antioxidants 2021, 11, 87. [Google Scholar] [CrossRef]
- Iciek, M.; Kwiecien, I.; Wlodek, L. Biological properties of garlic and garlic-derived organosulfur compounds. Environ. Mol. Mut. 2009, 50, 247–265. [Google Scholar] [CrossRef]
- Japan Association on Odor Environment. Available online: https://orea.or.jp/gijutsu/kyuukakusokuteihou/odor-threshold-values/ (accessed on 23 September 2024).
- Negishi, O.; Negishi, Y.; Ozawa, T. Effects of food materials on removal of Allium- specific sulfur compounds. J. Agric. Food Chem. 2002, 50, 3856–3861. [Google Scholar] [CrossRef]
- Negishi, O.; Negishi, Y. Enzymatic deodorization with raw fruits, vegetables and mushrooms. Food Sci. Technol. Res. 1999, 5, 176–180. [Google Scholar] [CrossRef]
- Mitra, A.; Choi, S.; Boshier, P.R.; Razumovskaya-Hough, A.; Belluomo, I.; Spanel, P.; Hanna, G.B. The Human Skin Volatolome: A Systematic Review of Untargeted Mass Spectrometry Analysis. Metabolites 2022, 12, 824. [Google Scholar] [CrossRef] [PubMed]
- Mochalski, P.; King, J.; Unterkofler, K.; Hinterhuber, H.; Amann, A. Emission rates of selected volatile organic compounds from skin of healthy volunteers. J. Chromatogr. B 2014, 959, 62–72. [Google Scholar] [CrossRef] [PubMed]
- Sekine, Y.; Oikawa, D.; Todaka, M. Human skin gas profile of individuals with the people allergic to me phenomenon. Sci. Rep. 2023, 13, 9471. [Google Scholar] [CrossRef]
- Tsushima, S.; Wargocki, P.; Tanabe, S. Sensory evaluation and chemical analysis of exhaled and dermally emitted bioeffluents. Indoor Air 2018, 28, 146–163. [Google Scholar] [CrossRef]
- Hiramoto, T. Deodorant material born from food ingredients DEOATAK®. Takasago Times 2011, 168, 13–20. (In Japanese) [Google Scholar]
- Singleton, V.L.; Rossi, J.A. Colorimetry of total phenolics with phosphomolybdic-phosphotungstic acid reagents. Am. J. Enol. Vitic. 1965, 16, 144–158. [Google Scholar] [CrossRef]
- Pérez, M.; Dominguez-López, I.; Lamuela-Raventós, R.M. The chemistry behind the folin-ciocalteu method for the estimation of (poly)phenol content in food: Total phenolic intake in a mediterranean dietary pattern. J. Agric. Food Chem. 2023, 46, 17543–17553. [Google Scholar] [CrossRef]
- Willems, M.E.T.; Todaka, M.; Banic, M.; Cook, M.D.; Sekine, Y. Intake of New Zealand Blackcurrant Powder affects skin-borne volatile organic compounds in middle-aged and older adults. J. Diet. Suppl. 2022, 19, 603–620. [Google Scholar] [CrossRef]
- Sekine, Y.; Uchiyama, S.; Todaka, M.; Sakai, Y.; Sakiyama, R.; Ochi, H.; Muramatsu, M.; Asai, S.; Umezawa, K. Influence of Ingestion of Lactulose on γ-Lactones Emanating from Human Skin Surface. Appl. Sci. 2023, 13, 3930. [Google Scholar] [CrossRef]
- Yasuda, H.; Arakawa, T. Deodorizing Mechanism of (–)-Epigallocatechin Gallate against Methyl Mercaptan. Biosci. Biotech. Biochem. 1995, 59, 1232–1236. [Google Scholar] [CrossRef]
- Komano, Y.; Kirisako, T.; Morishita, K.; Nozawa, H.; Miura, Y.; Kamiya, U.; Tsuda, T.; Kokubo, T. The effect of L-ornithine intake on ammonia secretion from the skin. Jpn. Pherm. Therap. 2013, 41, 797–801. [Google Scholar]
- Hadjihambi, A.; Arias, N.; Sheikh, M.; Jalan, R. Hepatic encephalopathy: A critical current review. Hepatol. Int. 2018, 12 (Suppl. S1), 135–147. [Google Scholar] [CrossRef] [PubMed]






Disclaimer/Publisher’s Note: The statements, opinions and data contained in all publications are solely those of the individual author(s) and contributor(s) and not of MDPI and/or the editor(s). MDPI and/or the editor(s) disclaim responsibility for any injury to people or property resulting from any ideas, methods, instructions or products referred to in the content. |
© 2024 by the authors. Licensee MDPI, Basel, Switzerland. This article is an open access article distributed under the terms and conditions of the Creative Commons Attribution (CC BY) license (https://creativecommons.org/licenses/by/4.0/).
Share and Cite
Hiramoto, T.; Kakumu, Y.; Sato, S.; Sekine, Y. Deodorising Garlic Body Odour by Ingesting Natural Food Additives Containing Phenolic Compounds and Polyphenol Oxidase. Appl. Sci. 2024, 14, 9631. https://doi.org/10.3390/app14219631
Hiramoto T, Kakumu Y, Sato S, Sekine Y. Deodorising Garlic Body Odour by Ingesting Natural Food Additives Containing Phenolic Compounds and Polyphenol Oxidase. Applied Sciences. 2024; 14(21):9631. https://doi.org/10.3390/app14219631
Chicago/Turabian StyleHiramoto, Tadahiro, Yuya Kakumu, Shodai Sato, and Yoshika Sekine. 2024. "Deodorising Garlic Body Odour by Ingesting Natural Food Additives Containing Phenolic Compounds and Polyphenol Oxidase" Applied Sciences 14, no. 21: 9631. https://doi.org/10.3390/app14219631
APA StyleHiramoto, T., Kakumu, Y., Sato, S., & Sekine, Y. (2024). Deodorising Garlic Body Odour by Ingesting Natural Food Additives Containing Phenolic Compounds and Polyphenol Oxidase. Applied Sciences, 14(21), 9631. https://doi.org/10.3390/app14219631

