Effects of La-Co Co-Substitution on the Structural and Magnetic Properties of SrM Hexaferrites Prepared by Solid-State Reaction
Abstract
1. Introduction
2. Materials and Methods
3. Results and Discussion
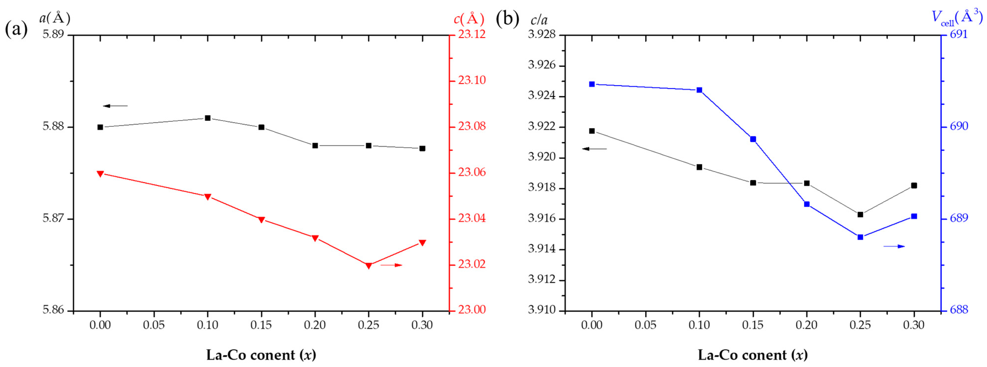
3.1. Crystalline Structure and Microstructure Analysis
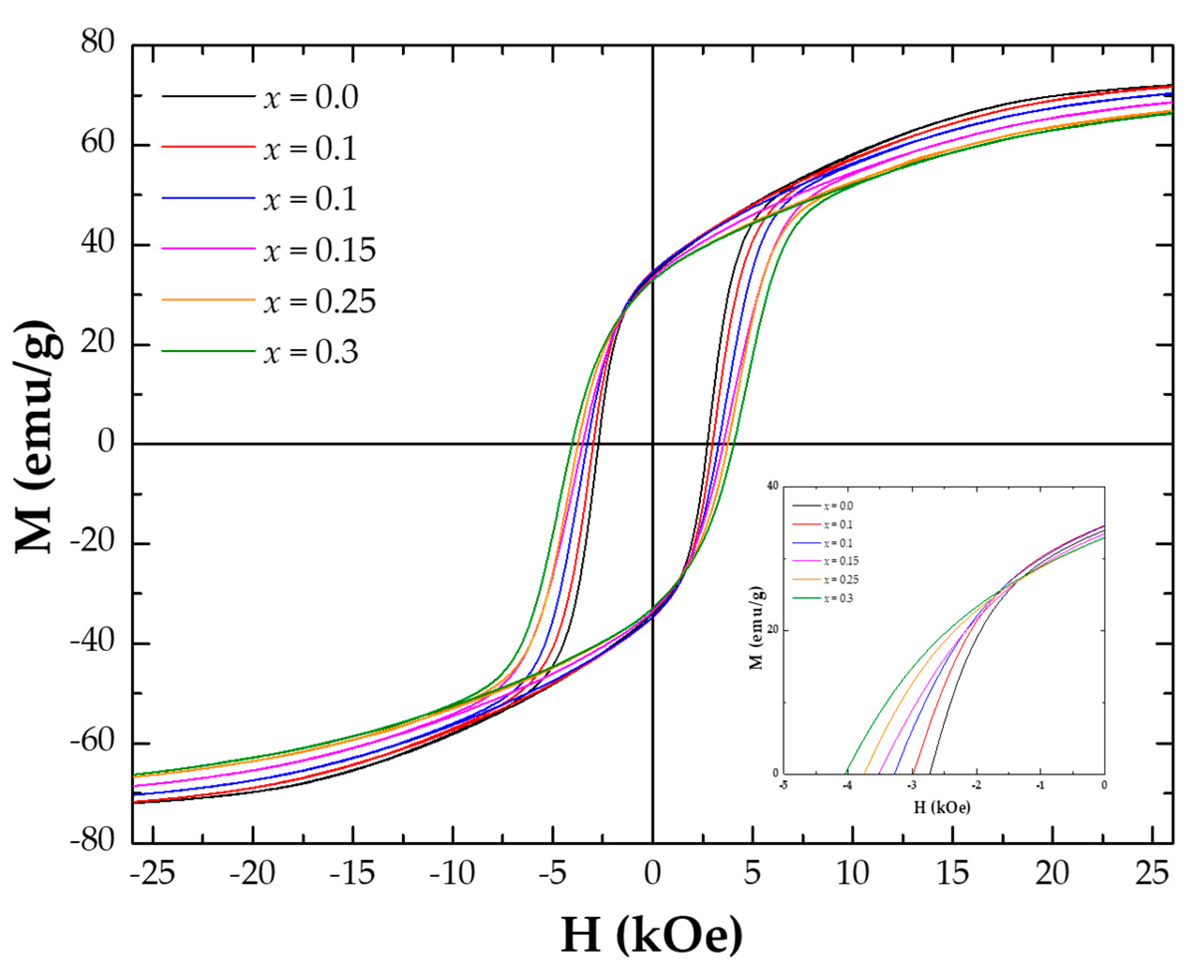
3.2. Magnetic Property Analysis
4. Conclusions
Author Contributions
Funding
Institutional Review Board Statement
Informed Consent Statement
Data Availability Statement
Acknowledgments
Conflicts of Interest
References
- Pullar, R.C. Hexagonal ferrites: A review of the synthesis, properties and applications of hexaferrite ceramics. Prog. Mater. Sci. 2012, 57, 1191–1334. [Google Scholar] [CrossRef]
- Brawn, R. The crystal structure of a new group of ferromagnetic compounds. Philips Res. Rep. 1957, 12, 491–548. [Google Scholar]
- Gorter, E. Chemistry and magnetic properties of some ferrimagnetic oxides like those occurring in nature. Adv. Phys. 1957, 6, 336–361. [Google Scholar] [CrossRef]
- Cochardt, A. Effects of sulfates on the properties of strontium ferrite magnets. J. Appl. Phys. 1967, 38, 1904–1908. [Google Scholar] [CrossRef]
- Shirk, B.; Buessem, W. Temperature dependence of Ms and K1 of BaFe12O19 and SrFe12O19 single crystals. J. Appl. Phys. 1969, 40, 1294–1296. [Google Scholar] [CrossRef]
- Ormerod, J. Permanent magnet materials. In Proceedings of the IEE Colloquium on New Permanent Magnet Materials and Their Applications, London, UK, 9 January 1989. [Google Scholar]
- Cullity, B.D.; Graham, C.D. Introduction to Magnetic Materials; John Wiley & Sons: Hoboken, NJ, USA, 2011. [Google Scholar]
- Kools, F.; Morel, A.; Grossinger, R.; Le Breton, J.M.; Tenaud, P. LaCo-substituted ferrite magnets, a new class of high-grade ceramic magnets; intrinsic and microstructural aspects. J. Magn. Magn. Mater. 2002, 242, 1270–1276. [Google Scholar] [CrossRef]
- Sahu, P.; Tripathy, S.N.; Pattanayak, R.; Muduli, R.; Mohapatra, N.; Panigrahi, S. Effect of grain size on electric transport and magnetic behavior of strontium hexaferrite (SrFe12O19). Appl. Phys. A 2017, 123, 3. [Google Scholar] [CrossRef]
- O’Handley, R.C. Modern Magnetic Materials: Principles and Applications; John Wiley & Sons: Hoboken, NJ, USA, 1999. [Google Scholar]
- Chavan, V.C.; Shirsath, S.E.; Mane, M.L.; Kadam, R.; More, S.S. Transformation of hexagonal to mixed spinel crystal structure and magnetic properties of Co2+ substituted BaFe12O19. J. Magn. Magn. Mater. 2016, 398, 32–37. [Google Scholar] [CrossRef]
- Vinnik, D.; Zhivulin, V.; Starikov, A.Y.; Gudkova, S.; Trofimov, E.; Trukhanov, A.; Trukhanov, S.; Turchenko, V.; Matveev, V.; Lahderanta, E. Influence of titanium substitution on structure, magnetic and electric properties of barium hexaferrites BaFe12−x TixO19. J. Magn. Magn. Mater. 2020, 498, 166117. [Google Scholar] [CrossRef]
- Dai, Y.; Lan, Z.; Wu, C.; Yang, C.; Yu, Z.; Guo, R.; Wang, W.; Chen, C.; Liu, X.; Jiang, X. Tailoring magnetic properties of Al-substituted M-type strontium hexaferrites. Appl. Phys. A 2018, 124, 842. [Google Scholar] [CrossRef]
- Baykal, A.; Sözeri, H.; Güngüneş, H.; Auwal, I.; Shirsath, S.E.; Sertkol, M.; Amir, M. Synthesis and Structural and Magnetic Characterization of BaZnxFe12−x O19 Hexaferrite: Hyperfine Interactions. J. Supercond. Nov. Magn. 2017, 30, 1585–1592. [Google Scholar] [CrossRef]
- Seifert, D.; Töpfer, J.; Langenhorst, F.; Le Breton, J.-M.; Chiron, H.; Lechevallier, L. Synthesis and magnetic properties of La-substituted M-type Sr hexaferrites. J. Magn. Magn. Mater. 2009, 321, 4045–4051. [Google Scholar] [CrossRef]
- Grossinger, R.; Kupferling, M.; Blanco, J.T.; Wiesinger, G.; Muller, M.; Hilscher, G.; Pieper, M.; Wang, J.; Harris, I. Rare earth substitutions in M-type ferrites. IEEE Trans. Magn. 2003, 39, 2911–2913. [Google Scholar] [CrossRef]
- Waki, T.; Okazaki, S.; Tabata, Y.; Kato, M.; Hirota, K.; Nakamura, H. Effect of oxygen potential on Co solubility limit in La–Co co-substituted magnetoplumbite-type strontium ferrite. Mater. Res. Bull. 2018, 104, 87–91. [Google Scholar] [CrossRef]
- Yuping, L.; Yunfei, W.; Daxin, B. Enhanced coercivity of La–Co substituted Sr–Ca hexaferrite fabricated by improved ceramics process. J. Mater. Sci. Mater. Electron. 2016, 27, 4433–4436. [Google Scholar] [CrossRef]
- Peng, L.; Li, L.; Wang, R.; Hu, Y.; Tu, X.; Zhong, X. Effect of La–CO substitution on the crystal structure and magnetic properties of low temperature sintered Sr1−xLaxFe12−xCoxO19 (x = 0–0.5) ferrites. J. Magn. Magn. Mater. 2015, 393, 399–403. [Google Scholar] [CrossRef]
- Kikuchi, T.; Nakamura, T.; Yamasaki, T.; Nakanishi, M.; Fujii, T.; Takada, J.; Ikeda, Y. Magnetic properties of La–Co substituted M-type strontium hexaferrites prepared by polymerizable complex method. J. Magn. Magn. Mater. 2010, 322, 2381–2385. [Google Scholar] [CrossRef]
- Liu, X.; Hernández-Gómez, P.; Huang, K.; Zhou, S.; Wang, Y.; Cai, X.; Sun, H.; Ma, B. Research on La3+–Co2+-substituted strontium ferrite magnets for high intrinsic coercive force. J. Magn. Magn. Mater. 2006, 305, 524–528. [Google Scholar] [CrossRef]
- Iida, K.; Minachi, Y.; Masuzawa, K.; Kawakami, M.; Nishio, H.; Taguchi, H. High-performance ferrite magnets: M-type Sr-ferrite containing lanthanum and cobalt. J. Magn. Soc. Jpn. 1999, 23, 1093–1096. [Google Scholar] [CrossRef]
- Loan, T.T.; Nga, T.T.V.; Duong, N.P.; Soontaranon, S.; Hien, T.D. Influence of Structure and Oxidation State on Magnetic Properties of Sr1−xLaxFe12−xCoxO19 Nanoparticles Prepared by Sol–Gel Combustion Method. J. Electron. Mater. 2017, 46, 3396–3405. [Google Scholar] [CrossRef]
- Moon, K.-S.; Yu, P.-y.; Kang, Y.-M. Microstructure and magnetic properties of La-Ca-Co substituted M-type Sr-hexaferrites with controlled Si diffusion. Appl. Sci. 2020, 10, 7570. [Google Scholar] [CrossRef]
- Li, X.; Yang, W.; Bao, D.; Meng, X.; Lou, B. Influence of Ca substitution on the microstructure and magnetic properties of SrLaCo ferrite. J. Magn. Magn. Mater. 2013, 329, 1–5. [Google Scholar] [CrossRef]
- Solovyova, E.; Pashkova, E.; Ivanitski, V.; Belous, A. Mössbauer and X-ray diffraction study of Co2+–Si4+ substituted M-type barium hexaferrite BaFe12−2xCoxSixO19±γ. J. Magn. Magn. Mater. 2013, 330, 72–75. [Google Scholar] [CrossRef]
- Yao, Y.; Hrekau, I.; Tishkevich, D.; Zubar, T.; Turchenko, V.; Lu, S.; Silibin, M.; Migas, D.; Sayyed, M.; Trukhanov, S. Correlation of the chemical composition, phase content, structural characteristics and magnetic properties of the Bi-substituted M-type hexaferrites. Ceram. Int. 2023, 49, 37009–37016. [Google Scholar] [CrossRef]
- Shimoda, A.; Takao, K.; Uji, K.; Waki, T.; Tabata, Y.; Nakamura, H. Flux growth of magnetoplumbite-type strontium ferrite single crystals with La–Co co-substitution. J. Solid State Chem. 2016, 239, 153–158. [Google Scholar] [CrossRef]
- Mangai, K.A.; Selvi, K.T.; Priya, M.; Sureshkumar, P.; Rathnakumari, M. Impedance and modulus spectroscopy studies of cobalt substituted strontium hexaferrite ceramics. J. Mater. Sci. Mater. Electron. 2017, 28, 13445–13454. [Google Scholar] [CrossRef]
- Shannon, R.D. Revised effective ionic radii and systematic studies of interatomic distances in halides and chalcogenides. Acta Crystallogr. Sect. A Cryst. Phys. Diffr. Theor. Gen. Crystallogr. 1976, 32, 751–767. [Google Scholar] [CrossRef]
- Smit, J.; Wijn, H. Ferrites; Philips Technical Library: Eindhoven, The Netherlands, 1959; Volume 278. [Google Scholar]
- Momma, K.; Izumi, F. VESTA 3 for three-dimensional visualization of crystal, volumetric and morphology data. J. Appl. Crystallogr. 2011, 44, 1272–1276. [Google Scholar] [CrossRef]
- Wiesinger, G.; Müller, M.; Grössinger, R.; Pieper, M.; Morel, A.; Kools, F.; Tenaud, P.; Le Breton, J.; Kreisel, J. Substituted ferrites studied by nuclear methods. Phys. Status Solidi (a) 2002, 189, 499–508. [Google Scholar] [CrossRef]
- Morel, A.; Le Breton, J.; Kreisel, J.; Wiesinger, G.; Kools, F.; Tenaud, P. Sublattice occupation in Sr1−xLaxFe12−xCoxO19 hexagonal ferrite analyzed by Mössbauer spectrometry and Raman spectroscopy. J. Magn. Magn. Mater. 2002, 242, 1405–1407. [Google Scholar] [CrossRef]
- Lechevallier, L.; Le Breton, J.; Teillet, J.; Morel, A.; Kools, F.; Tenaud, P. Mössbauer investigation of Sr1−xLaxFe12−yCoyO19 ferrites. Physica B Condens. Matter 2003, 327, 135–139. [Google Scholar] [CrossRef]
- Tran, N.; Choi, Y.; Phan, T.; Yang, D.; Lee, B. Electronic structure and magnetic and electromagnetic wave absorption properties of BaFe12−xCoxO19 M-type hexaferrites. Curr. Appl. Phys. 2019, 19, 1343–1348. [Google Scholar] [CrossRef]
- Altaf, F.; Atiq, S.; Riaz, S.; Naseem, S. Synthesis of Co-doped Sr-hexaferrites by Sol-gel Auto-combustion and its Electrical Characterization. Mater. Today Proc. 2015, 2, 5548–5551. [Google Scholar] [CrossRef]
- Grossinger, R. A Critical-Examination of the Law of Approach to Saturation. 1. Fit Procedure. Phys. Status Solidi A 1981, 66, 665–674. [Google Scholar] [CrossRef]
- Grössinger, R. Correlation between the inhomogeneity and the magnetic anisotropy in polycrystalline ferromagnetic materials. J. Magn. Magn. Mater. 1982, 28, 137–142. [Google Scholar] [CrossRef]









| x | a (Å) | c (Å) | c/a | Vcell (Å3) |
|---|---|---|---|---|
| 0.0 | 5.8798 (2) | 23.0624 (5) | 3.922 | 690.470 (2) |
| 0.1 | 5.8800 (3) | 23.0510 (8) | 3.919 | 690.405 (6) |
| 0.15 | 5.8788 (2) | 23.0450 (4) | 3.918 | 689.871 (1) |
| 0.2 | 5.8778 (3) | 23.0321 (7) | 3.918 | 689.162 (5) |
| 0.25 | 5.8780 (4) | 23.0202 (7) | 3.916 | 688.803 (9) |
| 0.3 | 5.8777 (2) | 23.0313 (5) | 3.918 | 689.032 (2) |
| x | M@26kOe (emu/g) | Hci (kOe) | Ms (emu/g) | Ha (kOe) | A (Oe) | Field Region for Fitting (kOe) | R2 |
|---|---|---|---|---|---|---|---|
| 0.0 | 72.27 | 2.68 ± 0.14 | 75.90 ± 0.04 | 20.1 ± 1.3 | 242 | 12–26 | 0.99265 |
| 0.1 | 72.04 | 2.99 ± 0.09 | 75.46 ± 0.04 | 21.5 ± 1.2 | 245 | 14–26 | 0.99267 |
| 0.15 | 70.68 | 3.32 ± 0.09 | 73.58 ± 0.03 | 21.5 ± 1.1 | 255 | 14–26 | 0.99275 |
| 0.2 | 68.92 | 3.45 ± 0.18 | 73.42 ± 0.04 | 21.6 ± 1.0 | 245 | 15–26 | 0.99277 |
| 0.25 | 67.18 | 3.71 ± 0.10 | 72.50 ± 0.05 | 23.9 ± 1.1 | 252 | 16–26 | 0.99332 |
| 0.3 | 66.80 | 3.99 ± 0.10 | 72.07 ± 0.05 | 24.7 ± 1.1 | 255 | 17–26 | 0.99329 |
Disclaimer/Publisher’s Note: The statements, opinions and data contained in all publications are solely those of the individual author(s) and contributor(s) and not of MDPI and/or the editor(s). MDPI and/or the editor(s) disclaim responsibility for any injury to people or property resulting from any ideas, methods, instructions or products referred to in the content. |
© 2024 by the authors. Licensee MDPI, Basel, Switzerland. This article is an open access article distributed under the terms and conditions of the Creative Commons Attribution (CC BY) license (https://creativecommons.org/licenses/by/4.0/).
Share and Cite
Lee, K.; Kang, Y.-M.; Yoo, S.-I. Effects of La-Co Co-Substitution on the Structural and Magnetic Properties of SrM Hexaferrites Prepared by Solid-State Reaction. Appl. Sci. 2024, 14, 848. https://doi.org/10.3390/app14020848
Lee K, Kang Y-M, Yoo S-I. Effects of La-Co Co-Substitution on the Structural and Magnetic Properties of SrM Hexaferrites Prepared by Solid-State Reaction. Applied Sciences. 2024; 14(2):848. https://doi.org/10.3390/app14020848
Chicago/Turabian StyleLee, Kanghyuk, Young-Min Kang, and Sang-Im Yoo. 2024. "Effects of La-Co Co-Substitution on the Structural and Magnetic Properties of SrM Hexaferrites Prepared by Solid-State Reaction" Applied Sciences 14, no. 2: 848. https://doi.org/10.3390/app14020848
APA StyleLee, K., Kang, Y.-M., & Yoo, S.-I. (2024). Effects of La-Co Co-Substitution on the Structural and Magnetic Properties of SrM Hexaferrites Prepared by Solid-State Reaction. Applied Sciences, 14(2), 848. https://doi.org/10.3390/app14020848

