Accumulation Characteristics of Heavy Metals in American Ginseng (Panax quinquefolium L.) and Changes in Their Contents after Soaking the Plants
Abstract
1. Introduction
2. Materials and Methods
2.1. Research Area
2.2. Sample Collection
2.3. Preparation of Samples
2.4. Soaking Experiment
2.5. Assessment of Heavy Metals
2.6. Bioconcentration Factor
2.7. Data Analysis
3. Results
3.1. Heavy Metal Content in Soil from American-Ginseng Sampling Area
3.2. Heavy Metal Content in American Ginseng
3.3. Bioconcentration Factor (BCF) of Heavy Metals in American Ginseng
3.4. Correlation Analysis of Heavy Metals between American Ginseng and Planting Soil
3.5. Heavy Metal Content in Various Parts and Growth Stages of American Ginseng
3.6. Correlation of Heavy Metal Accumulation in Various Parts of American Ginseng
3.7. The Accumulation Characteristics of Heavy Metals in Various Parts of American Ginseng
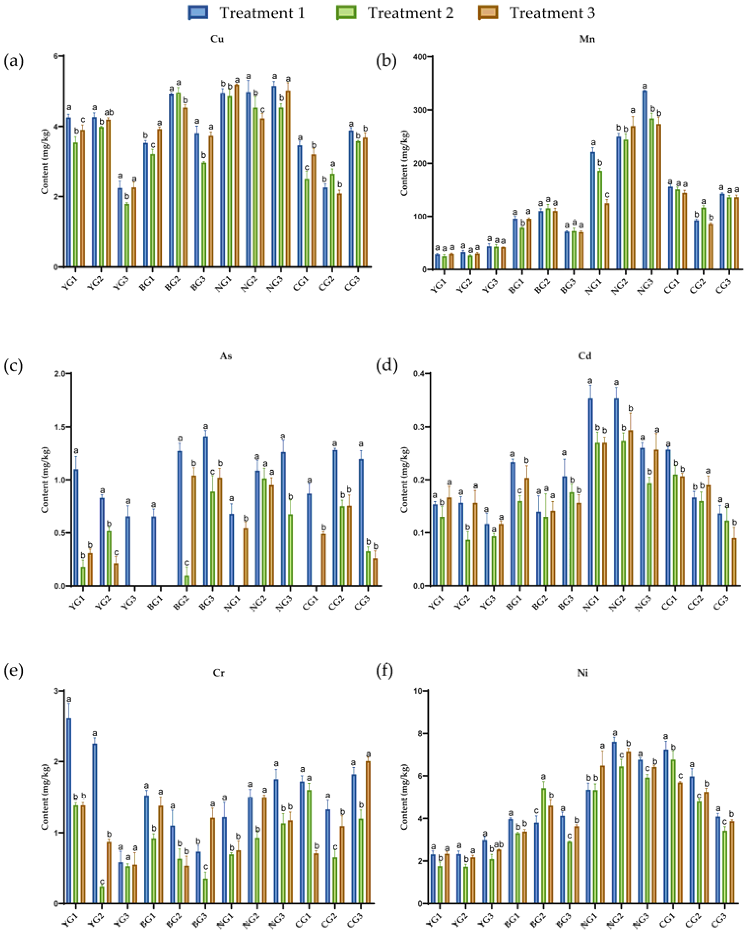
3.8. Effects of Soaking of American Ginseng on the Content of Heavy Metals
4. Discussion
5. Conclusions
Supplementary Materials
Author Contributions
Funding
Institutional Review Board Statement
Informed Consent Statement
Data Availability Statement
Conflicts of Interest
References
- Aelion, C.M.; Harley, T.D.; Suzanne, M.; Andrew, B.L. Soil metal concentrations and toxicity: Associations with distances to industrial facilities and implications for human health. Sci. Total Environ. 2009, 407, 2216–2223. [Google Scholar] [CrossRef]
- Yishu, P.; Rong, C.; Ruidong, Y. Analysis of heavy metals in Pseudostellaria heterophylla in Baiyi Country of Wudang District. J. Geochem. Explor. 2017, 176, 57–63. [Google Scholar]
- Kifayatullah, K.; Yonglong, L.; Hizbullah, K.; Muhammad, I.; Sardar, K.; Muhammad, W.; Luo, W.; Tieyu, W. Heavy metals in agricultural soils and crops and their health risks in Swat District, northern Pakistan. Food Chem. Toxicol. 2013, 58, 449–458. [Google Scholar]
- Bin, C.; Dejiang, F.; Weiran, L.; Liang, W.; Xilin, Z.; Ming, L.; Zhigang, G. Enrichment of heavy metals in the inner shelf mud of the East China Sea and its indication to human activity. Cont. Shelf Res. 2014, 90, 163–169. [Google Scholar]
- Anxiang, L.; Jihua, W.; Xiangyang, Q.; Kaiyi, W.; Ping, H.; Shuzhen, Z. Multivariate and geostatistical analyses of the spatial distribution and origin of heavy metals in the agricultural soils in Shunyi, Beijing, China. Sci. Total Environ. 2012, 425, 66–74. [Google Scholar]
- Fei, Z.; Shengli, W.; Zhongren, N.; Jianmin, M.; Qian, Z.; Yazhou, C.; Yepu, L. Accumulation, spatio-temporal distribution, and risk assessment of heavy metals in the soil-corn system around a polymetallic mining area from the Loess Plateau, northwest China. Geoderma 2017, 305, 188–196. [Google Scholar]
- Cheng, S. Heavy metal pollution in China: Origin, pattern and control. Environ. Sci. Pollut. Res. Int. 2003, 10, 192–198. [Google Scholar] [CrossRef] [PubMed]
- Alina Kabata-Pendias, A.B.M. Soils. In Trace Elements from Soil to Human; Springer: Berlin/Heidelberg, Germany, 2007; pp. 9–38. [Google Scholar]
- Okoroafor, P.U.; Ogunkunle, C.O.; Heilmeier, H.; Wiche, O. Phytoaccumulation potential of nine plant species for selected nutrients, rare earth elements (REEs), germanium (Ge), and potentially toxic elements (PTEs) in soil. Int. J. Phytoremediation 2022, 24, 1310–1320. [Google Scholar] [CrossRef]
- Krämer, U.; Golldack, D.; Kiriazidou, G.; Dietz, K.J. Induction of plants pathogenesis-related proteins by heavy metals. In Proceedings of the 5th Conf Biogeochem of Trace Elements, Vienna, Austria, 11–15 July 1999; pp. 1158–1159. [Google Scholar]
- Alina Kabata-Pendias, A.B.M. Plants. In Trace Elements from Soil to Human; Springer: Berlin/Heidelberg, Germany, 2007; pp. 57–65. [Google Scholar]
- Tong, H.; Tong, Y.; Xue, J.; Liu, D.; Wu, X. Multi-residual Pesticide Monitoring in Commercial Chinese Herbal Medicines by Gas Chromatography–Triple Quadrupole Tandem Mass Spectrometry. Food Anal. Methods 2014, 7, 135–145. [Google Scholar] [CrossRef]
- Kitts, D.D.; Wijewickreme, A.N.; Hu, C. Antioxidant properties of a North American ginseng extract. Mol. Cell. Biochem. 2000, 203, 1–10. [Google Scholar] [CrossRef]
- Lars, P.C. Chapter 1 Ginsenosides: Chemistry, Biosynthesis, Analysis, and Potential Health Effects. Adv. Food Nutr. Res. 2008, 55, 1–99. [Google Scholar]
- Lijun, W.; Yang, Y.; Wei, S.; Xiushi, Y.; Guixing, R. Structural features and immunostimulating effects of three acidic polysaccharides isolated from Panax quinquefolius. Int. J. Biol. Macromol. 2015, 80, 77–86. [Google Scholar]
- Subhrojit, S.; Shali, C.; Biao, F.; Yuexiu, W.; Edmund, L.; Subrata, C. Preventive effects of North American ginseng (Panax quinquefolium) on diabetic nephropathy. Phytomedicine 2012, 19, 494–505. [Google Scholar]
- Yan, W.; Chaoyi, Q.; Xiangru, L.; Jocelyn, M.; Qingping, F. North American ginseng inhibits myocardial NOX2-ERK1/2 signaling and tumor necrosis factor-α expression in endotoxemia. Pharmacol. Res. 2016, 111, 217–225. [Google Scholar]
- Edzard, E. Toxic heavy metals and undeclared drugs in Asian herbal medicines. Trends Pharmacol. Sci. 2002, 23, 136–139. [Google Scholar]
- Ernst, E.; Thompson Coon, J. Heavy metals in traditional Chinese medicines: A systematic review. Clin. Pharmacol. Ther. 2001, 70, 497–504. [Google Scholar] [CrossRef]
- Lin, C.G.; Schaider, L.A.; Brabander, D.J.; Woolf, A.D. Pediatric lead exposure from imported Indian spices and cultural powders. Pediatrics 2010, 125, e828–e835. [Google Scholar] [CrossRef]
- Marchand, C.; Lallier-Vergès, E.; Baltzer, F.; Albéric, P.; Cossa, D.; Baillif, P. Heavy metals distribution in mangrove sediments along the mobile coastline of French Guiana. Mar. Chem. 2006, 98, 1–17. [Google Scholar] [CrossRef]
- Savvides, C.; Papadopoulos, A.; Haralambous, K.J.; Loizidou, M. Sea sediments contaminated with heavy metals: Metal speciation and removal. Water Sci. Technol. 1995, 32, 65–73. [Google Scholar] [CrossRef]
- Sin, S.N.; Chua, H.; Lo, W.; Ng, L.M. Assessment of heavy metal cations in sediments of Shing Mun River, Hong Kong. Environ. Int. 2001, 26, 297–301. [Google Scholar] [CrossRef]
- Nan, G.; Yinfeng, X.; Debao, L.; Yu, B.; Yufeng, Z.; Hui, W.; Lingxiao, R.; Cundong, X.; Ertian, H.; Guojin, S.; et al. The bacterial community structure in epiphytic biofilm on submerged macrophyte Potamogetom crispus L. and its contribution to heavy metal accumulation in an urban industrial area in Hangzhou. J. Hazard. Mater. 2022, 430, 128455. [Google Scholar]
- Chinese Environmental Protection Agency; CTS Agency. Soil Environmental Quality Standard for Soils; China Environmental Science Press: Beijing, China, 1995; Volume GB 15618-1995. [Google Scholar]
- Commission, C.P. State Pharmacopoeia Commission issued a draft standard of heavy metals, pesticide residues, aflatoxins etc. in CHM. Chem. Anal. Meterage 2013, 22, 10. [Google Scholar]
- Yin, J.; Zhuang, J.; Zhang, X.; Xu, C.; Lv, S. Ginseng of different ages is affected by the accumulation of heavy metals in ginseng soil. PLoS ONE 2022, 17, e0269238. [Google Scholar] [CrossRef] [PubMed]
- Ali, B.; Christophe, S.; Gabriel, B.; Wafae, A.; Ahmed, O.; Jean Louis, M. Heavy metal contamination from mining sites in South Morocco: 2. Assessment of metal accumulation and toxicity in plants. Chemosphere 2006, 63, 811–817. [Google Scholar]
- Bonanno, G. Trace element accumulation and distribution in the organs of Phragmites australis (common reed) and biomonitoring applications. Ecotoxicol. Environ. Saf. 2011, 74, 1057–1064. [Google Scholar] [CrossRef]
- Hongyan, C.; Xuyin, Y.; Tianyuan, L.; Sun, H.; Junfeng, J.; Cheng, W. Characteristics of heavy metal transfer and their influencing factors in different soil–crop systems of the industrialization region, China. Ecotoxicol. Environ. Saf. 2016, 126, 193–201. [Google Scholar]
- Xiaolin, J.; Tingting, F.; Bifeng, H.; Zhou, S.; Lianqing, Z.; Youwei, Z. Identification of the potential risk areas for soil heavy metal pollution based on the source-sink theory. J. Hazard. Mater. 2020, 393, 122424. [Google Scholar]
- Christensen, T.H.; Haung, P.M. Solid Phase Cadmium and the Reactions of Aqueous Cadmium with Soil Surfaces. In Cadmium in Soils and Plants; McLaughlin, M.J., Singh, B.R., Eds.; Springer: Dordrecht, The Netherlands, 1999; pp. 65–96. [Google Scholar]
- Ou, X.; Wang, L.; Guo, L.; Cui, X.; Liu, D.; Yang, Y. Soil-Plant Metal Relations in Panax notoginseng: An Ecosystem Health Risk Assessment. Int. J. Environ. Res. Public Health 2016, 13, 1089. [Google Scholar] [CrossRef]
- Wu, Q.; Xia, P.H.; Liu, Y.; Zou, J.; Jia, J.Y. Study on the residue of heavy metals and organochorine pesticides in the planting base soil and the medicinal materials of Pseudostellaria heterophylla in Guizhou. J. Anhui Agric. Sci. 2008, 36, 12478–12479, (In Chinese with English Abstract). [Google Scholar]
- Zeng, Y.P.; Song, J.P.; Liu, X.H.; Zhu, Y.F.; Li, G.C. Effect of soil inorganic elements on genuineness of Radix Pseudostellariae heterophylla. J. Nanjing TCM Univ. 2008, 26, 176–179, (In Chinese with English Abstract). [Google Scholar]
- Chen, X.; Tao, H.; Wu, Y.; Xu, X. Effects of Cadmium on metabolism of photosynthetic pigment and photosynthetic system in Lactuca sativa L. revealed by physiological and proteomics analysis. Sci. Hortic. 2022, 305, 111371. [Google Scholar] [CrossRef]
- Prasad, M.N.V. Cadmium toxicity and tolerance in vascular plants. Environ. Exp. Bot. 1995, 35, 525–545. [Google Scholar] [CrossRef]
- Li, N.; Wang, J.; Song, W.-Y. Arsenic Uptake and Translocation in Plants. Plant Cell Physiol. 2015, 57, 4–13. [Google Scholar] [CrossRef] [PubMed]
- Du, Y.; Hu, X.F.; Wu, X.H.; Shu, Y.; Jiang, Y.; Yan, X.J. Affects of mining activities on Cd pollution to the paddy soils and rice grain in Hunan province, Central South China. Environ. Monit. Assess. 2013, 185, 9843–9856. [Google Scholar] [CrossRef]
- Huang, D.; Gui, H. Distribution features and internal relations of heavy metals in soil–maize system of mining area, Anhui Province, Eastern China. Hum. Ecol. Risk Assess. 2019, 25, 863–881. [Google Scholar] [CrossRef]
- Liu, H.; Tang, J.; Chen, T.; Zhu, P.; Sun, D.; Wang, W. Assessment of heavy metals contamination and human health risk assessment of the commonly consumed medicinal herbs in China. Environ. Sci. Pollut. Res. 2022, 30, 7345–7357. [Google Scholar] [CrossRef] [PubMed]
- Mingtao, X.; Yan, L.; Jiayu, Y.; Kaige, L.; Yi, L.; Feng, L.; Daofu, Z.; Xiaoqian, F.; Yu, C. Heavy metal contamination risk assessment and correlation analysis of heavy metal contents in soil and crops. Environ. Pollut. 2021, 278, 116911. [Google Scholar]
- Wang, M.; Ma, W.; Chaney, R.L.; Green, C.E.; Chen, W. Effects of Mn2+ on Cd accumulation and ionome in rice and spinach. J. Environ. Qual. 2022, 51, 890–898. [Google Scholar] [CrossRef]
- Rashid, M.H.; Fardous, Z.; Chowdhury, M.A.; Alam, M.K.; Bari, M.L.; Moniruzzaman, M.; Gan, S.H. Determination of heavy metals in the soils of tea plantations and in fresh and processed tea leaves: An evaluation of six digestion methods. Chem. Cent. J. 2016, 10, 7. [Google Scholar] [CrossRef]
- Arun, K.S.; Carlos, C.; Herminia, L.-T.; Avudainayagam, S. Chromium toxicity in plants. Environ. Int. 2005, 31, 739–753. [Google Scholar]
- Nawab, J.; Khan, S.; Shah, M.T.; Qamar, Z.; Din, I.; Mahmood, Q.; Gul, N.; Huang, Q. Contamination of soil, medicinal, and fodder plants with lead and cadmium present in mine-affected areas, Northern Pakistan. Environ. Monit. Assess. 2015, 187, 605. [Google Scholar] [CrossRef] [PubMed]
- Seregin, I.V.; Ivanov, V.B. Physiological Aspects of Cadmium and Lead Toxic Effects on Higher Plants. Russ. J. Plant Physiol. 2001, 48, 523–544. [Google Scholar] [CrossRef]
- Gupta, D.K.; Nicoloso, F.T.; Schetinger, M.R.C.; Rossato, L.V.; Pereira, L.B.; Castro, G.Y.; Srivastava, S.; Tripathi, R.D. Antioxidant defense mechanism in hydroponically grown Zea mays seedlings under moderate lead stress. J. Hazard. Mater. 2009, 172, 479–484. [Google Scholar] [CrossRef] [PubMed]
- Pourrut, B.; Shahid, M.; Dumat, C.; Winterton, P.; Pinelli, E. Lead Uptake, Toxicity, and Detoxification in Plants. In Reviews of Environmental Contamination and Toxicology; Whitacre, D.M., Ed.; Springer: New York, NY, USA, 2011; Volume 213, pp. 113–136. [Google Scholar]
- Meyers, D.E.; Auchterlonie, G.J.; Webb, R.I.; Wood, B. Uptake and localisation of lead in the root system of Brassica juncea. Environ. Pollut. 2008, 153, 323–332. [Google Scholar] [CrossRef] [PubMed]
- Olivia Naa Ayorkor, T.; Christian, U.; Susanne, H.-K.; Inga, M.; Newton Kwaku, A.; Ibok Nsa, O.; Charles, A.; Daniel, O.-O.; Nadja, F. Effects of harvest techniques and drying methods on the stability of glucosinolates in Moringa oleifera leaves during post-harvest. Sci. Hortic. 2019, 246, 998–1004. [Google Scholar]
- Zhu, S.; Shirakawa, A.; Shi, Y.; Yu, X.; Tamura, T.; Shibahara, N.; Yoshimatsu, K.; Komatsu, K. Impact of different post-harvest processing methods on the chemical compositions of peony root. Chin. J. Nat. Med. 2018, 72, 757–767. [Google Scholar] [CrossRef]
- Zhiyang, L.; Yan, L. Effects of different treatments before processing on the yield and quality of American ginseng. Jilin Agric. 2011, 12, 65. (In Chinese) [Google Scholar]
- Kulbacka, J.; Choromańska, A.; Rossowska, J.; Weżgowiec, J.; Saczko, J.; Rols, M.P. Cell Membrane Transport Mechanisms: Ion Channels and Electrical Properties of Cell Membranes. Adv. Anat. Embryol. Cell Biol. 2017, 227, 39–58. [Google Scholar]
- Cai, G.; Ahmed, M.A. The role of root hairs in water uptake: Recent advances and future perspectives. J. Exp. Bot. 2022, 73, 3330–3338. [Google Scholar] [CrossRef]



| Cu | Mn | As | Pb | Cd | Cr | Ni | |
|---|---|---|---|---|---|---|---|
| YS1 | 18.55 ± 0.15 | 1085.06 ± 16.6 | 8.45 ± 0.33 | 26.53 ± 0.25 | 0.43 ± 0.05 | 74.41 ± 1.46 | 22.23 ± 0.23 |
| YS2 | 18.60 ± 0.95 | 975.44 ± 1.57 | 9.84 ± 0.12 | 25.95 ± 1.84 | 0.40 ± 0.06 | 71.42 ± 7.26 | 20.68 ± 1.10 |
| YS3 | 16.31 ± 0.53 | 889.40 ± 24.23 | 8.87 ± 0.99 | 24.11 ± 0.70 | 0.38 ± 0.05 | 83.64 ± 2.96 | 21.60 ± 0.98 |
| BS1 | 18.53 ± 0.24 | 930.80 ± 10.02 | 9.47 ± 0.84 | 22.15 ± 0.47 | 0.35 ± 0.05 | 51.92 ± 3.21 | 11.07 ± 0.30 |
| BS2 | 16.97 ± 0.67 | 906.31 ± 1.63 | 7.94 ± 0.28 | 21.36 ± 1.33 | 0.34 ± 0.07 | 53.37 ± 2.62 | 10.92 ± 0.33 |
| BS3 | 17.46 ± 0.89 | 857.68 ± 24.86 | 7.70 ± 0.39 | 21.38 ± 0.23 | 0.30 ± 0.05 | 46.92 ± 2.07 | 11.05 ± 0.62 |
| NS1 | 18.14 ± 0.27 | 815.75 ± 22.59 | 5.64 ± 0.82 | 21.79 ± 0.14 | 0.24 ± 0.05 | 54.91 ± 0.76 | 9.64 ± 0.18 |
| NS2 | 17.03 ± 0.08 | 983.38 ± 15.34 | 8.29 ± 0.32 | 23.83 ± 0.32 | 0.41 ± 0.01 | 43.35 ± 0.99 | 10.78 ± 0.06 |
| NS3 | 16.24 ± 0.15 | 867.49 ± 23.65 | 7.84 ± 1.03 | 22.48 ± 0.19 | 0.45 ± 0.02 | 63.04 ± 2.19 | 10.85 ± 0.33 |
| CS1 | 10.29 ± 0.25 | 925.00 ± 11.34 | 7.63 ± 0.38 | 22.30 ± 0.41 | 0.33 ± 0.03 | 58.24 ± 0.87 | 12.36 ± 0.71 |
| CS2 | 10.08 ± 0.00 | 905.78 ± 0.98 | 6.86 ± 0.72 | 21.23 ± 0.73 | 0.34 ± 0.04 | 46.02 ± 0.12 | 11.35 ± 0.03 |
| CS3 | 10.04 ± 0.06 | 1261.77 ± 39.14 | 6.19 ± 0.30 | 24.09 ± 0.80 | 0.26 ± 0.02 | 54.84 ± 2.30 | 13.51 ± 0.15 |
| ACS | 19.96 ± 0.66 | 852.56 ± 46.22 | 8.10 ± 0.43 | 21.79 ± 0.82 | 0.32 ± 0.07 | 40.05 ± 0.79 | 10.31 ± 0.12 |
| BCS | 12.96 ± 0.18 | 1178.30 ± 4.48 | 9.19 ± 0.17 | 22.28 ± 0.34 | 0.37 ± 0.04 | 36.98 ± 1.43 | 12.28 ± 0.14 |
| TCS | 14.76 ± 0.31 | 1015.69 ± 7.74 | 10.17 ± 0.48 | 21.94 ± 0.09 | 0.38 ± 0.01 | 77.81 ± 0.76 | 12.72 ± 0.07 |
| Min | 10.04 | 815.75 | 5.64 | 21.23 | 0.24 | 36.98 | 9.64 |
| Max | 19.96 | 1261.77 | 10.17 | 26.53 | 0.45 | 83.64 | 22.23 |
| Average | 15.73 | 963.36 | 8.14 | 22.88 | 0.35 | 57.13 | 13.42 |
| SQV | 50 | NF | 40 | 250 | 0.30 | 150 | 40 |
| Cu | Mn | As | Pb | Cd | Cr | Ni | |
|---|---|---|---|---|---|---|---|
| YG1 | 4.26 ± 0.10 | 25.77 ± 2.10 | 1.10 ± 0.17 | ND | 0.14 ± 0.02 | 2.37 ± 0.31 | 2.12 ± 0.07 |
| YG2 | 3.85 ± 0.20 | 33.06 ± 3.14 | 0.83 ± 0.04 | ND | 0.06 ± 0.01 | 2.26 ± 0.11 | 2.32 ± 0.15 |
| YG3 | 2.24 ± 0.20 | 20.34 ± 1.50 | 1.23 ± 0.10 | ND | 0.12 ± 0.02 | 0.58 ± 0.16 | 2.98 ± 0.17 |
| BG1 | 3.19 ± 0.32 | 78.81 ± 1.72 | ND | ND | 0.23 ± 0.01 | 1.52 ± 0.24 | 3.77 ± 0.17 |
| BG2 | 5.48 ± 0.50 | 66.80 ± 2.46 | 1.08 ± 0.15 | ND | 0.14 ± 0.03 | 1.10 ± 0.22 | 3.80 ± 0.31 |
| BG3 | 3.81 ± 0.20 | 71.18 ± 1.78 | 1.34 ± 0.22 | ND | 0.21 ± 0.03 | 0.73 ± 0.09 | 4.12 ± 0.18 |
| NG1 | 4.94 ± 0.13 | 283.53 ± 2.86 | ND | ND | 0.40 ± 0.03 | 1.22 ± 0.21 | 5.03 ± 0.38 |
| NG2 | 4.98 ± 0.34 | 250.01 ± 8.53 | 1.09 ± 0.10 | ND | 0.35 ± 0.02 | 1.33 ± 0.19 | 9.43 ± 0.49 |
| NG3 | 5.15 ± 0.13 | 336.44 ± 0.82 | 1.17 ± 0.25 | ND | 0.26 ± 0.01 | 3.17 ± 0.26 | 6.42 ± 0.49 |
| CG1 | 3.46 ± 0.11 | 148.97 ± 8.29 | 0.73 ± 0.20 | ND | 0.25 ± 0.03 | 3.66 ± 0.32 | 7.24 ± 0.40 |
| CG2 | 2.26 ± 0.11 | 92.60 ± 2.86 | 1.21 ± 0.05 | ND | 0.16 ± 0.03 | 4.07 ± 0.33 | 5.97 ± 0.36 |
| CG3 | 3.42 ± 0.16 | 41.88 ± 2.00 | 1.19 ± 0.18 | ND | 0.14 ± 0.02 | 2.70 ± 0.28 | 2.09 ± 0.15 |
| Average | 4.00 | 120.78 | 0.87 | 0.00 | 0.19 | 1.99 | 4.61 |
| LSV | 20.00 | NF | 2.00 | 5.00 | 0.30 | NF | NF |
| YG1 | YG2 | YG3 | BG1 | BG2 | BG3 | NG1 | NG2 | NG3 | CG1 | CG2 | CG3 | Min | Max | Average | |
|---|---|---|---|---|---|---|---|---|---|---|---|---|---|---|---|
| Cu | 0.23 | 0.21 | 0.14 | 0.17 | 0.34 | 0.24 | 0.27 | 0.29 | 0.32 | 0.37 | 0.22 | 0.34 | 0.14 | 0.37 | 0.26 |
| Mn | 0.02 | 0.03 | 0.02 | 0.08 | 0.07 | 0.08 | 0.35 | 0.25 | 0.39 | 0.16 | 0.10 | 0.03 | 0.02 | 0.39 | 0.13 |
| As | 0.13 | 0.00 | 0.14 | 0.00 | 0.12 | 0.17 | 0.00 | 0.00 | 0.15 | 0.10 | 0.16 | 0.19 | 0.00 | 0.19 | 0.10 |
| Cd | 0.15 | 0.15 | 0.31 | 0.57 | 0.41 | 0.69 | 1.69 | 0.78 | 0.58 | 0.76 | 0.43 | 0.35 | 0.15 | 1.69 | 0.57 |
| Cr | 0.03 | 0.02 | 0.01 | 0.02 | 0.02 | 0.02 | 0.02 | 0.03 | 0.05 | 0.07 | 0.09 | 0.05 | 0.01 | 0.09 | 0.04 |
| Ni | 0.10 | 0.11 | 0.14 | 0.34 | 0.35 | 0.37 | 0.52 | 0.87 | 0.59 | 0.59 | 0.53 | 0.15 | 0.10 | 0.87 | 0.39 |
| AG_As | AG_Cd | AG_Cr | AG_Cu | AG_Mn | AG_Ni | Soil_As | Soil_Cd | Soil_Cr | Soil_Cu | Soil_Mn | Soil_Ni | Soil_Pb | |
|---|---|---|---|---|---|---|---|---|---|---|---|---|---|
| AG_As | 1.000 | ||||||||||||
| AG_Cd | −0.420 | 1.000 | |||||||||||
| AG_Cr | 0.228 | −0.058 | 1.000 | ||||||||||
| AG_Cu | −0.204 | 0.416 | −0.196 | 1.000 | |||||||||
| AG_Mn | −0.303 | 0.859 ** | 0.182 | 0.530 | 1.000 | ||||||||
| AG_Ni | −0.262 | 0.732 ** | 0.320 | 0.265 | 0.735 ** | 1.000 | |||||||
| Soil_As | −0.233 | −0.429 | −0.330 | −0.134 | −0.371 | −0.180 | 1.000 | ||||||
| Soil_Cd | 0.021 | −0.258 | 0.078 | 0.099 | 0.080 | 0.156 | 0.695 * | 0.999 | |||||
| Soil_Cr | 0.202 | −0.488 | −0.138 | −0.241 | −0.334 | −0.544 | 0.422 | 0.420 | 1.000 | ||||
| Soil_Cu | −0.403 | 0.101 | −0.774 ** | 0.423 | 0.067 | −0.210 | 0.509 | 0.319 | 0.252 | 1.000 | |||
| Soil_Mn | 0.155 | −0.540 | 0.226 | −0.153 | −0.419 | −0.383 | −0.066 | −0.026 | 0.085 | −0.342 | 1.000 | ||
| Soil_Ni | 0.164 | −0.707 ** | −0.135 | −0.370 | −0.604 * | −0.601 * | 0.521 | 0.449 | 0.874 ** | 0.223 | 0.324 | 1.000 | |
| Soil_Pb | −0.097 | −0.536 | −0.062 | −0.106 | −0.351 | −0.420 | 0.446 | 0.490 | 0.664 * | 0.256 | 0.585 * | 0.848 ** | 1.000 |
| Metal | Years | Taproots | Lateral Roots | Reed Head | Total |
|---|---|---|---|---|---|
| Cu | Annual | 0.15 | 0.00 | 0.00 | 0.15 |
| Biennial | 0.44 | 0.60 | 0.00 | 1.04 | |
| Triennial | 0.22 | 0.30 | 0.40 | 0.92 | |
| Mn | Annual | 0.05 | 0.16 | 0.06 | 0.27 |
| Biennial | 0.08 | 0.14 | 0.26 | 0.48 | |
| Triennial | 0.07 | 0.00 | 0.30 | 0.37 | |
| As | Annual | 0.37 | 9.84 | 0.00 | 10.21 |
| Biennial | 0.25 | 0.46 | 2.79 | 3.50 | |
| Triennial | 0.17 | 0.21 | 0.59 | 0.97 | |
| Pb | Annual | 0.13 | 5.29 | 1.90 | 7.32 |
| Biennial | 0.04 | 0.17 | 1.06 | 1.27 | |
| Triennial | 0.04 | 0.08 | 0.07 | 0.19 | |
| Cd | Annual | 0.00 | 0.00 | 0.00 | 0.00 |
| Biennial | 0.49 | 1.15 | 0.37 | 2.01 | |
| Triennial | 0.44 | 0.76 | 0.38 | 1.58 | |
| Cr | Annual | 0.04 | 0.00 | 0.00 | 0.04 |
| Biennial | 0.02 | 0.02 | 0.00 | 0.04 | |
| Triennial | 0.00 | 0.00 | 0.00 | 0.00 | |
| Ni | Annual | 0.68 | 0.00 | 0.00 | 0.68 |
| Biennial | 0.37 | 0.46 | 0.00 | 0.83 | |
| Triennial | 0.46 | 0.68 | 0.58 | 1.72 |
Disclaimer/Publisher’s Note: The statements, opinions and data contained in all publications are solely those of the individual author(s) and contributor(s) and not of MDPI and/or the editor(s). MDPI and/or the editor(s) disclaim responsibility for any injury to people or property resulting from any ideas, methods, instructions or products referred to in the content. |
© 2023 by the authors. Licensee MDPI, Basel, Switzerland. This article is an open access article distributed under the terms and conditions of the Creative Commons Attribution (CC BY) license (https://creativecommons.org/licenses/by/4.0/).
Share and Cite
Geng, W.; Li, W.; Yu, C.; Zhao, L.; Zhang, S.; He, Y.; Chen, L.; Li, K.; Zhao, X.; Guo, X. Accumulation Characteristics of Heavy Metals in American Ginseng (Panax quinquefolium L.) and Changes in Their Contents after Soaking the Plants. Appl. Sci. 2023, 13, 5676. https://doi.org/10.3390/app13095676
Geng W, Li W, Yu C, Zhao L, Zhang S, He Y, Chen L, Li K, Zhao X, Guo X. Accumulation Characteristics of Heavy Metals in American Ginseng (Panax quinquefolium L.) and Changes in Their Contents after Soaking the Plants. Applied Sciences. 2023; 13(9):5676. https://doi.org/10.3390/app13095676
Chicago/Turabian StyleGeng, Wenlong, Weihuan Li, Chunyan Yu, Lizi Zhao, Shuhao Zhang, Yuhui He, Lele Chen, Kuishen Li, Xiaozhi Zhao, and Xiaotong Guo. 2023. "Accumulation Characteristics of Heavy Metals in American Ginseng (Panax quinquefolium L.) and Changes in Their Contents after Soaking the Plants" Applied Sciences 13, no. 9: 5676. https://doi.org/10.3390/app13095676
APA StyleGeng, W., Li, W., Yu, C., Zhao, L., Zhang, S., He, Y., Chen, L., Li, K., Zhao, X., & Guo, X. (2023). Accumulation Characteristics of Heavy Metals in American Ginseng (Panax quinquefolium L.) and Changes in Their Contents after Soaking the Plants. Applied Sciences, 13(9), 5676. https://doi.org/10.3390/app13095676

