Three-Dimensional Temperature Field Simulation and Analysis of a Concrete Bridge Tower Considering the Influence of Sunshine Shadow
Abstract
1. Introduction
2. Heat Transfer Boundary Condition
2.1. Solar Radiation Effect
2.1.1. Calculation of Sun Position Parameters
2.1.2. Calculation of Solar Radiation Intensity
2.1.3. Calculation of Radiation Amount of Arbitrary Surface
2.2. Convective Heat Transfer
2.2.1. Internal Space Heat Transfer of Structure
2.2.2. Daily Temperature Model
2.3. Radiation Heat Transfer
3. Research on Sunshine Shadow Occlusion Algorithm
3.1. Three-Dimensional Light Occlusion Theory
3.2. Sunshine Shadow Recognition Technology Based on Ray Tracing
3.2.1. Sunshine Shadow Recognition Method
- (a)
- Because the number of meshes in the structural solid model was generally relatively large and the calculation workload was relatively large, the Python programming language was used to write a script tool for Abaqus software Version 6.10. to extract the surface mesh information (node coordinates, surface element nodes, and normal vectors) of the calculation model during the research of the sun shadow algorithm, to avoid a large number of invalid calculations in the calculation process of sunlight and shadow recognition.
- (b)
- The relative position relationship between the sun and the structure at this time was determined according to the calculation theory of the position parameters of the sun described in Section 2.1.1 after the extraction of mesh information from the surface of the model.
- (c)
- We determined the incident angle of the sunlight projected onto the grid surface of the node to be detected, which was located through the cross multiplication operation, and judged the size of the incident angle. When the incident angle was greater than 90°, we directly determined that the node to be detected was in the self-occlusion state; otherwise, the subsequent judgment continued.
- (d)
- The face mesh of the 3D model was projected into a 2D plane mesh along the direction of the sunlight rays with the ground as the projection surface, The nodes to be detected were also projected in the same way.
- (e)
- The inclusion detection of the projection point and the projection mesh were carried out through a triangular barycentric coordinate method. The node to be detected was determined to be in a non-occluded state when the projection point was outside the projection mesh area; otherwise, the subsequent projection depth detection was carried out.
- (f)
- We calculated the projection depth of each node in the surface mesh used for projection and the node to be judged. The point to be detected was in a non-occluded state when the projection depth of the point to be judged was greater than the projection depth of each node in the surface mesh; otherwise, the point to be detected was in a mutual occlusion state.
3.2.2. Node Occlusion Detection
3.3. Calculation Process of Sunshine Temperature Field
3.4. Sunlight Shadow Display Method
4. Algorithm Verification
4.1. Example of Calculation Introduction
4.2. Data Analysis
4.2.1. Shadow Occlusion Verification
4.2.2. Comparative Analysis of Temperature Field Calculation Results
5. Temperature Field Analysis of Concrete Bridge Tower
5.1. Engineering Background
5.2. Temperature Field Analysis
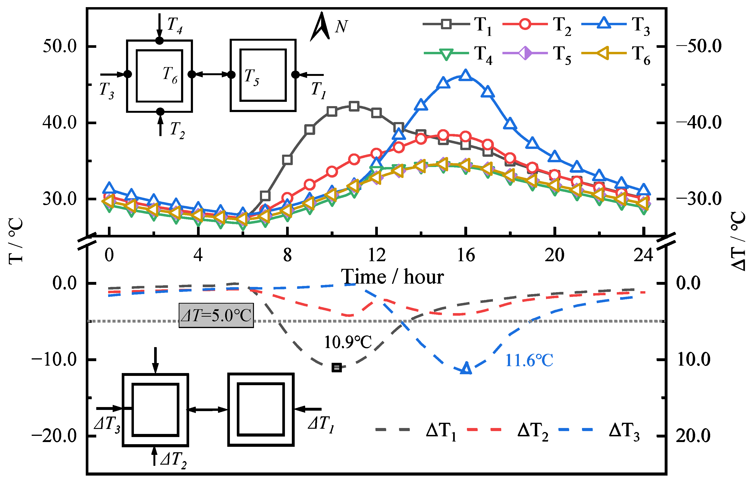
5.2.1. Surface Temperature Difference Analysis
5.2.2. Local Temperature Difference Analysis of Tower Wall
6. Conclusions
- (1)
- In this paper, a set of accurate and efficient three-dimensional temperature field simulation methods was formed by the secondary development of Abaqus software Version 6.10. The comparison results between the simulated data and the experimental data of the temperature field show that the maximum deviation between the simulated temperature value and the measured value was only 3.3 °C. The calculation accuracy of the proposed algorithm can better meet the needs of engineering applications.
- (2)
- The real-time shadow occlusion state was successfully displayed through the improvement of the three-dimensional sunshine temperature field simulation algorithm in this paper and the cloud image customization function in Abaqus software Version 6.10., and the real-time sunshine shadow width identified by the algorithm was compared with the theoretical value calculated by the theoretical formula. The maximum difference between the two was only 19.1 mm, which proves that the sunshine shadow recognition algorithm proposed in this paper has extremely high recognition accuracy.
- (3)
- The results of the surface temperature difference analysis of the concrete bridge tower show that the temperature difference between the external surfaces of the structure can reach 11.6 °C under the influence of sunshine and shadow, which is far more than the recommended temperature difference value (±5 °C) given in the “Design of Highway Cable-Stayed Bridge” (JTG/T 3365–01–2020). Therefore, the principle of “bridge-by-bridge analysis” is recommended in this paper.
- (4)
- For concrete bridge towers, the temperature change was relatively obvious only at a range of 0.3 m from the external surface of the tower wall, and the temperature change was small in the remaining range.
- (5)
- The temperature distribution of the concrete bridge tower in the direction of thickness conforms to the exponential function T(x) = T0e−αx + C. Additionally, the data fitting results indicate that using the temperature data at a distance of 0.8 m from the external surface as the calculation parameter in the function can achieve the ideal result, and the minimum correlation coefficient of the fitting result was 0.968.
Author Contributions
Funding
Institutional Review Board Statement
Informed Consent Statement
Data Availability Statement
Conflicts of Interest
References
- Tang, H. Study on Key Problems of Cable-Stayed Bridge PC Pylon. Doctor’s Thesis, Southeast University, Nanjing, China, 2006. [Google Scholar]
- Feng, Z.; Shen, J.; Wang, X. Finite element analysis of thermal stress for cable-stayed bridge tower with cracks. Appl. Mech. Mater. 2012, 178–181, 2085–2090. [Google Scholar] [CrossRef]
- Zhang, Q.; Ma, Y.; Wang, B. Analysis of temperature field and thermal stress characteristics for a novel composite bridge tower catering for plateau environment. Bridge Constr. 2020, 50, 30–36. [Google Scholar]
- Martucci, D.; Civera, M.; Surace, C. Bridge monitoring: Application of the extreme function theory for damage detection on the I-40 case study. Eng. Struct. 2023, 279, 115573. [Google Scholar] [CrossRef]
- Civera, M.; Sibille, L.; Fragonara, L.Z.; Ceravolo, R. A DBSCAN-based automated operational modal analysis algorithm for bridge monitoring. Measurement 2023, 208, 112451. [Google Scholar] [CrossRef]
- JTG D60–2015; General Specifications for Design of Highway Bridges and Culverts. China Communication Press: Beijing, China, 2015. (In Chinese)
- JTG/T 3365–01–2020; Specifications for Design of Highway Cable-Stayed Bridge. China Communication Press: Beijing, China, 2015. (In Chinese)
- Chapman, H.E.; Kennaird, A.R.; Huizing, J.B.S.; Stanford, P.R.; Wood, J.H. Changes in New Zealand highway bridge design. N. Z. Eng. 1974, 29, 159–168. [Google Scholar]
- Ren, X.; He, Q.; Tong, Y.; Huang, P. Temperature and stress fields analysis of concrete bridge tower. J. Zhengzhou Univ. 2011, 32, 62–65. [Google Scholar]
- Ren, X.; Huang, P. Analysis of cracking surface stress field of type I crack of concrete bridge tower under action of temperature field. Word Bridges 2011, 6, 50–53. [Google Scholar]
- Yang, D.; Yi, T.; Li, H.; Zhang, Y. Monitoring and analysis of thermal effect on tower displacement in cable-stayed bridge. Measurement 2018, 115, 249–257. [Google Scholar] [CrossRef]
- Zhang, H.; Li, J.; Liu, C.; Jiang, T.; Wei, J. Thermal effect of the cable-stayed bridge tower. Wuhan Univ. J. Nat. Sci. 2003, 8, 1121–1125. [Google Scholar]
- Zhou, H.; Yi, Y.; Ye, Z.; Li, M. Analysis of temperature field and thermal effect in long-span composite girder cable-stayed bridge. Bridge Constr. 2020, 50, 50–55. [Google Scholar]
- Imbsen, R.A.; Vandershaf, D.E.; Schamber, R.A.; Nutt, R.V. Thermal Effects in Concrete Bridge Super Structures; AASHTO: Washington, DC, USA, 1985. [Google Scholar]
- Zhang, C.; Liu, Y.; Liu, J.; Yuan, Z. Validation of Long-term Temperature Simulations in a Steel-concrete Composite Girder. Structures 2020, 27, 1962–1976. [Google Scholar] [CrossRef]
- Peter, S.; Michaei, A.; Steve, M. Fundamentals of Computer Graphics; CRC Press: Boca Raton, FL, USA, 2009. [Google Scholar]
- Gu, B.; Xie, F.; Lei, L.; Gao, W. Computational method for 3D sunshine temperature field of long-span bridge structures. J. Southeast Univ. 2019, 49, 664–671. [Google Scholar]
- Wang, Z.; Liu, Y.; Tang, Z.; Zhang, G.; Liu, J. Three-dimensional temperature field simulation method of truss arch rib based on sunshine shadow recognition. China J. Highw. Transp. 2022, 35, 91–105. [Google Scholar]
- Zhang, X.; Ren, Z.; Mei, F. Heat Transfer Theory; China Architecture& Building Press: Beijing, China, 2007. [Google Scholar]
- Peng, Y. Studies on Theory of Solar Radiation Thermal Effects on Concrete Bridges with Application. Doctor’s Thesis, Southwest Jiaotong University, Chengdu, China, 2007. (In Chinese). [Google Scholar]
- Duffie, J.A.; Beckman, W.A. Solar Engineering of Thermal Processes, 4th ed.; John Wiley & Sons, Inc.: Hoboken, NJ, USA, 2013. [Google Scholar]
- Ohvril, H.; Okulov, O.; Teral, H.; Teral, K. The atmospheric integral transparency coefficient and the Forbes effect. Sol. Energy 1999, 66, 305–317. [Google Scholar] [CrossRef]
- Hottel, H.C. A simple model for estimating the transmittance of direct solar radiation through clear atmospheres. Sol. Energy 1976, 18, 129–134. [Google Scholar] [CrossRef]
- Zhao, R.; Wang, Y. Studies on temperature field boundary conditions for concrete box-girder bridges under solar radiation. China J. Highw. Transp. 2016, 29, 52–61. [Google Scholar]
- Chen, B.; Sun, Y.; Wang, G.; Duan, L. Assessment on Time-Varying Thermal Loading of Engineering Structures Based on a New Solar Radiation Model. Math. Probl. Eng. 2014, 2014, 639867. [Google Scholar] [CrossRef]
- Severny, A. Solar Physics; University Press of the Pacific: Stockton, CA, USA, 2004. [Google Scholar]
- Kim, S.H.; Cho, K.I.; Won, J.H.; Kim, J.H. A study on thermal behavior of curved steel box girder bridges considering solar radiation. Arch. Civ. Mech. Eng. 2009, 9, 59–76. [Google Scholar] [CrossRef]
- Elbadry, M.M.; Ghali, A. Nonlinear temperature distribution and its effects on bridges. Struct. Eng. Int. 1983, 3, 169–191. [Google Scholar]
- Kelbek, K. Effects of Solar Radiation on Bridge Structures; China Railway Publishing House: Beijing, China, 1981. [Google Scholar]
- GB 50009-2012; Load Code for the Design of Building Structures. China Architecture & Building Press: Beijing, China, 2012. (In Chinese)
- Larsson, O.; Thelandersson, S. Estimating extreme values of thermal gradients in concrete structures. Mater. Struct. 2011, 44, 1491–1500. [Google Scholar] [CrossRef]
- Huang, X.; Zhu, J.; Li, Y. Temperature analysis of steel box girder considering actual wind field. Eng. Struct. 2021, 246, 113020. [Google Scholar] [CrossRef]
- Li, Y.; Huang, X.; Zhu, J.; Zhang, M. Thermal Effect and Anti-Crack Performance Optimization of Bridge Pylon under Extreme Weather Conditions. J. Southwest Jiaotong Univ. Available online: https://kns.cnki.net/kcms/detail/51.1277.u.20220426.1632.002.html (accessed on 4 April 2023).
- Zhang, L.; Yang, L.; Yang, Z.; Zhao, Y.; Liu, H. Temperature field analysis of long-span concrete box girders. J. Civ. Archit. Environ. Eng. 2011, 33, 36–42. [Google Scholar]
- Zhu, J.; Meng, Q. Effective and fine analysis for temperature effect of bridges in natural environments. J. Bridge Eng. 2017, 22, 04017017. [Google Scholar] [CrossRef]
- Abaqus. Abaqus Scripting User’s Manual; Version 6.10; Abaqus Inc.: Palo Alto, CA, USA, 2010. [Google Scholar]
- Pang, Z. The Research of Temperature Field and Effect of PC Curved Box Girder Bridge of City. Master’s Thesis, Nanjing Tech University, Nanjing, China, 2015. [Google Scholar]
- Gu, B.; Xie, F.; Qian, H.; Lei, L. 3D-temperature field and its effect of inverted Y-shaped concrete pylon in lower Yangtze region. J. Cent. South Univ. 2020, 50, 248–260. [Google Scholar]
- Zhang, N.; Liu, Y.; Liu, J.; Ji, D.; Fang, J.; Stiemer, S.F. Temperature effects of H-shaped concrete pylon in arctic-alpine plateau region. J. Traffic Transp. Eng. 2017, 17, 66–77. [Google Scholar]
- Zhang, Y. Studies on Temperature Effects and Its Influence on Stability for High Pier with Thin-Walled Hollow Sections. Doctor’s Thesis, China Academy of Railway Sciences, Beijing, China, 2011. (In Chinese). [Google Scholar]
- Dai, G.; Tang, Y.; Liu, Y.; Su, H. Numerical simulation and test analysis of three-dimensional solar temperature field of hollow tall-piers with rounded rectangular cross section. J. Railway Eng. Soc. 2016, 33, 57–62. [Google Scholar]





























| Parameter | Density (kg/m3) | Thermal Conductivity (W/(m·°C)) | Specific Heat Capacity (J/(kg·°C)) | Radiation Absorption Rate |
|---|---|---|---|---|
| Value | 2400 | 2.5 | 900 | 0.5 |
| Date | Maximum Temperature/°C * | Minimum Temperature/°C * | Maximum Temperature Difference/°C |
|---|---|---|---|
| 10 August 2013 | 39 | 29 | 10 |
| 11 August 2013 | 39 | 30 | 9 |
| 12 August 2013 | 39 | 29 | 10 |
| 13 August 2013 | 39 | 28 | 11 |
| 14 August 2013 | 38 | 27 | 11 |
| Order Number | Material | Parameter | Value |
|---|---|---|---|
| 1 | Concrete (C50) | Density (kg/m3) | 2650 |
| 2 | Elastic modulus (Pa) | 3.45 × 1010 | |
| 3 | Poisson ratio | 0.25 | |
| 4 | Thermal expansion coefficient | 1.0 × 10−5 | |
| 5 | Thermal conductivity (W/(m·°C)) | 2.0 | |
| 6 | Specific heat capacity (J/(kg·°C)) | 970 |
| Date | Weather Conditions | Maximum Temperature/°C | Minimum Temperature/°C |
|---|---|---|---|
| 16 August 2022 | Fine | 34 | 27 |
| 17 August 2022 | Fine | 36 | 28 |
| 18 August 2022 | Fine | 37 | 27 |
| 19 August 2022 | Fine | 37 | 28 |
Disclaimer/Publisher’s Note: The statements, opinions and data contained in all publications are solely those of the individual author(s) and contributor(s) and not of MDPI and/or the editor(s). MDPI and/or the editor(s) disclaim responsibility for any injury to people or property resulting from any ideas, methods, instructions or products referred to in the content. |
© 2023 by the authors. Licensee MDPI, Basel, Switzerland. This article is an open access article distributed under the terms and conditions of the Creative Commons Attribution (CC BY) license (https://creativecommons.org/licenses/by/4.0/).
Share and Cite
Zou, S.; Xiao, J.; Xian, J.; Zhang, Y.; Zhang, J. Three-Dimensional Temperature Field Simulation and Analysis of a Concrete Bridge Tower Considering the Influence of Sunshine Shadow. Appl. Sci. 2023, 13, 4769. https://doi.org/10.3390/app13084769
Zou S, Xiao J, Xian J, Zhang Y, Zhang J. Three-Dimensional Temperature Field Simulation and Analysis of a Concrete Bridge Tower Considering the Influence of Sunshine Shadow. Applied Sciences. 2023; 13(8):4769. https://doi.org/10.3390/app13084769
Chicago/Turabian StyleZou, Shuai, Jun Xiao, Jianping Xian, Yongshui Zhang, and Jingfeng Zhang. 2023. "Three-Dimensional Temperature Field Simulation and Analysis of a Concrete Bridge Tower Considering the Influence of Sunshine Shadow" Applied Sciences 13, no. 8: 4769. https://doi.org/10.3390/app13084769
APA StyleZou, S., Xiao, J., Xian, J., Zhang, Y., & Zhang, J. (2023). Three-Dimensional Temperature Field Simulation and Analysis of a Concrete Bridge Tower Considering the Influence of Sunshine Shadow. Applied Sciences, 13(8), 4769. https://doi.org/10.3390/app13084769
