Numerical Investigation of Natural Convention to a Pseudoplastic Fluid in a Long Channel using a Semi-Implicit Scheme
Abstract
1. Introduction
2. Mathematical Modelling
3. Numerical Solution
Numerical Algorithm
4. Numerical Stability
5. Computational Results
6. Parameter Dependence of Solutions
6.1. Dependence on Shear-Thinning Parameter, n
6.2. Dependence on Non-Isothermal Viscosity Parameter,
6.3. Dependence on Grashof number,
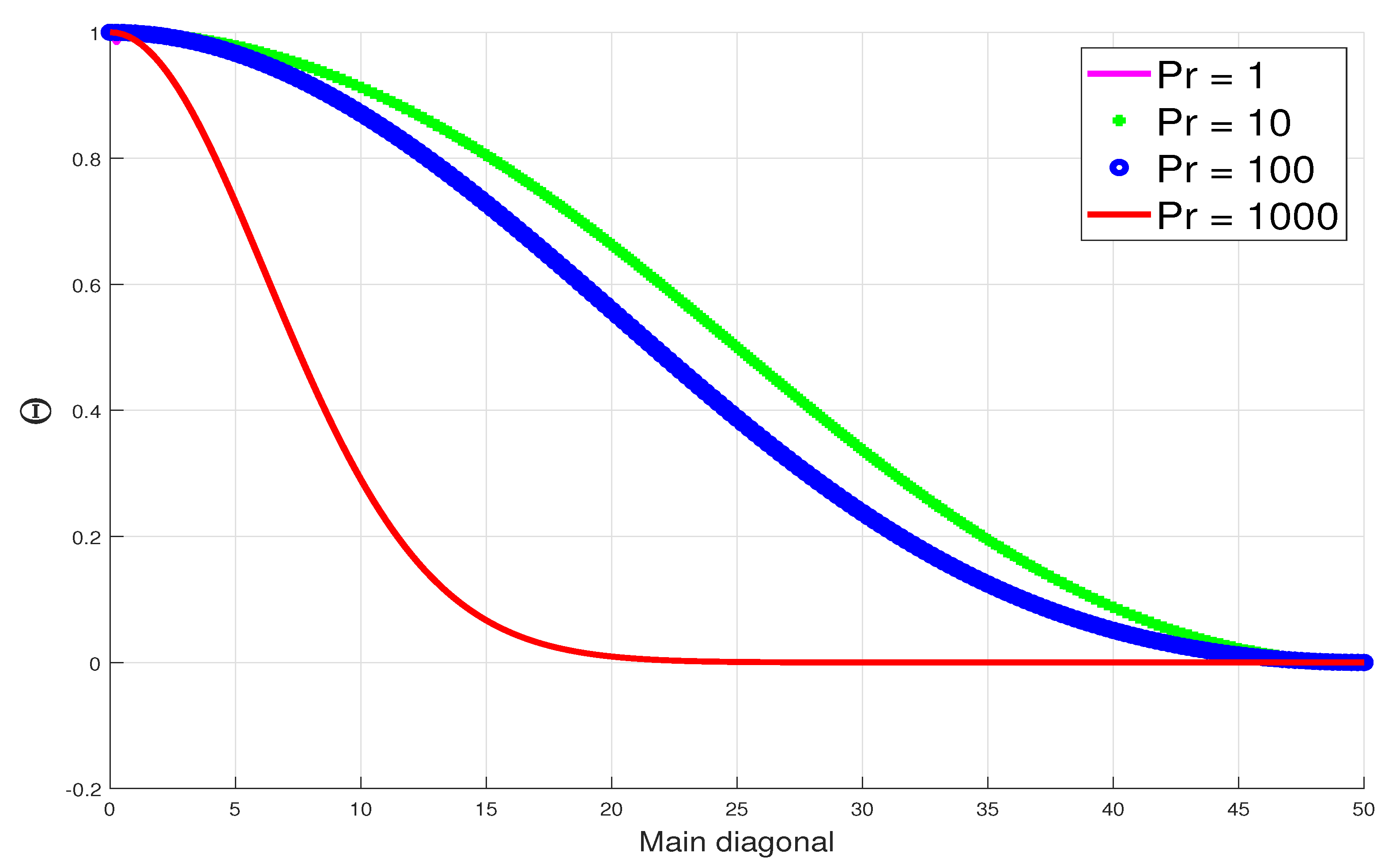
6.4. Dependence on Prandtl Number,
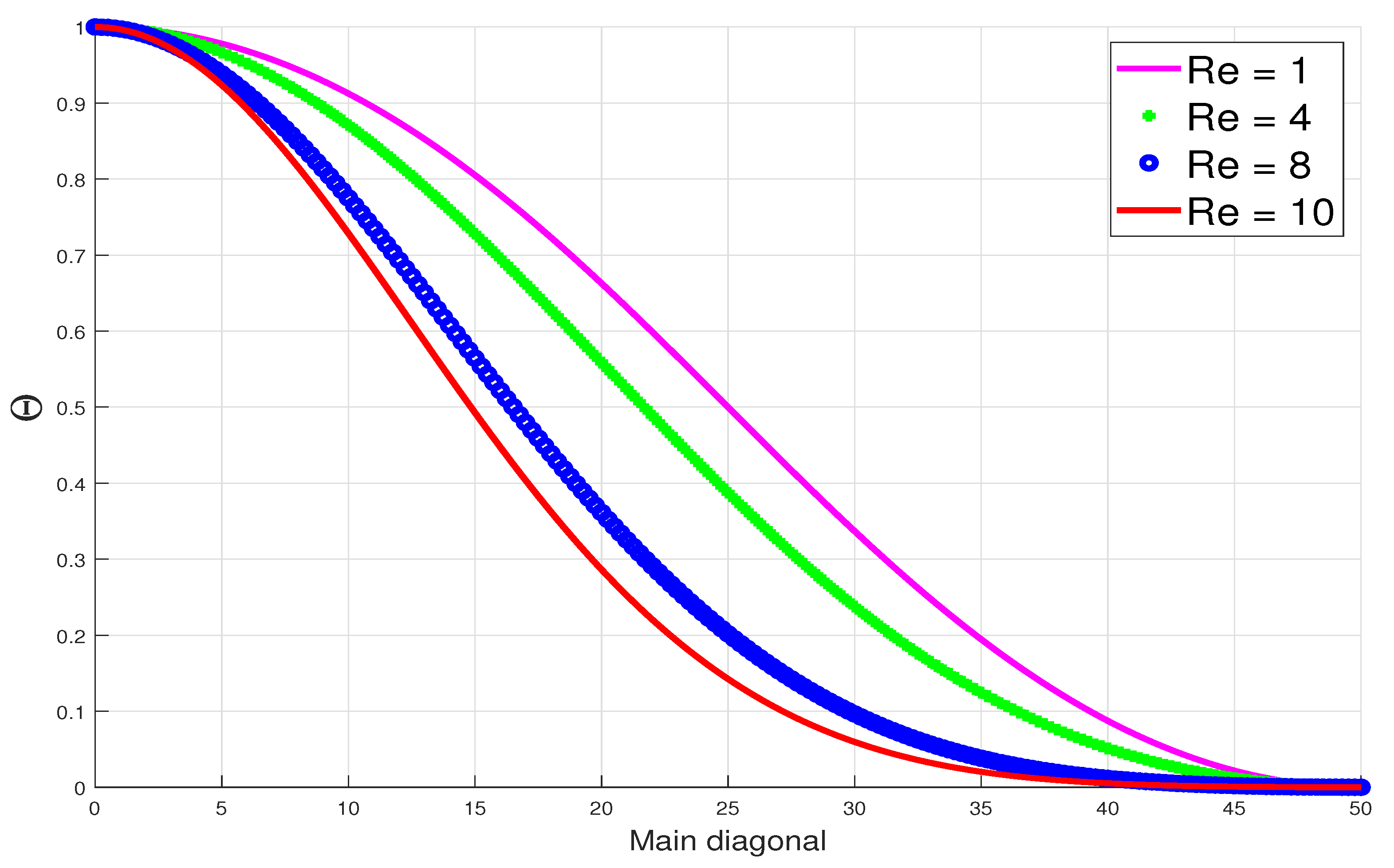
6.5. Dependence on Reynolds number,
7. Conclusions
Funding
Institutional Review Board Statement
Informed Consent Statement
Data Availability Statement
Conflicts of Interest
Nomenclature
| Variables | |
| Viscosity | |
| Density | |
| k | Thermal-conductivity |
| t | Time |
| Temperature field | |
| Velocity field | |
| Rectangular coordinates | |
| Parameters | |
| Thermal-conductivity parameter | |
| non-Newtonian parameter | |
| n | non-Newtonian parameter |
| Abbreviations | |
| Gr | Grashof-number |
| Pr | Prandtl-number |
| Re | Reynolds-number |
References
- Dumitru, V.; Constantin, F.; Nehad, A.S.; Se-Jin, Y. Unsteady natural convection flow due to fractional thermal transport and symmetric heat source/sink. Alex. Eng. J. 2023, 64, 761–770. [Google Scholar]
- Bilal, S.; Khan, N.Z.; Shah, I.A.; Awrejcewicz, J.; Akul, A.; Riaz, M.B. Numerical Study of Natural Convection of Power Law Fluid in a Square Cavity Fitted with a Uniformly Heated T-Fin. Mathematics 2022, 10, 342. [Google Scholar] [CrossRef]
- Nemati, H.; Moradaghay, M.; Shekoohi, S.A.; Moghimi, M.A.; Meyer, J.P. Natural convection heat transfer from horizontal annular finned tubes based on modified Rayleigh Number. Int. Commun. Heat Mass Transf. 2020, 110, 104370. [Google Scholar] [CrossRef]
- El Moutaouakil, L.; Boukendil, M.; Zrikem, Z.; Abdelbaki, A. Natural Convection and Surface Radiation Heat Transfer in a Square Cavity with an Inner Wavy Body. Int. J. Thermophys. 2020, 41, 109. [Google Scholar] [CrossRef]
- Alhashash, A. Natural convection of Nanoliquid from a Cylinder in Square Porous Enclosure using Buongiorno’s Two-phase Model. Sci. Rep. 2020, 10, 143. [Google Scholar] [CrossRef]
- Mao, X.; Xia, H. Natural Convection Heat Transfer of the Horizontal Rod-Bundle in a Semi-closed Rectangular Cavity. Front. Energy Res. 2020, 8, 74. [Google Scholar] [CrossRef]
- Begum, N.; Siddiqa, S.; Ouazzi, A.; Hossain, M.A.; Gorla, R.S.R. Natural Convection and Separation Points of a Non-Newtonian Fluid Along a Rotating Round-Nosed Body. J. Thermophys. Heat Transf. 2018, 32, 946–952. [Google Scholar] [CrossRef]
- Siddiqa, S.; Begum, N.; Hossain, M.A.; Gorla, R.S.R.; Al-Rashed, A.A. Two-phase natural convection dusty nanofluid flow. Int. J. Heat Mass Transf. 2018, 118, 66–74. [Google Scholar] [CrossRef]
- Abu-Libdeh, N.; Redouane, F.; Aissa, A.; Mebarek-Oudina, F.; Almuhtady, A.; Jamshed, W.; Al-Kouz, W. Hydrothermal and Entropy Investigation of Ag/MgO/H2O Hybrid Nanofluid Natural Convection in a Novel Shape of Porous Cavity. Appl. Sci. 2021, 11, 1722. [Google Scholar] [CrossRef]
- Lai, T.; Xu, J.; Liu, X.; He, M. Study of Rotation Effect on Nanofluid Natural Convection and Heat Transfer by the Immersed Boundary-Lattice Boltzmann Method. Energies 2022, 15, 9019. [Google Scholar] [CrossRef]
- Hua, Y.; Peng, J.-Z.; Zhou, Z.-F.; Wu, W.-T.; He, Y.; Massoudi, M. Thermal Performance in Convection Flow of Nanofluids Using a Deep Convolutional Neural Network. Energies 2022, 15, 8195. [Google Scholar] [CrossRef]
- Mahdy, A.; El-Zahar, E.R.; Rashad, A.M.; Saad, W.; Al-Juaydi, H.S. The Magneto-Natural Convection Flow of a Micropolar Hybrid Nanofluid over a Vertical Plate Saturated in a Porous Medium. Fluids 2021, 6, 202. [Google Scholar] [CrossRef]
- Baliti, J.; Elguennouni, Y.; Hssikou, M.; Alaoui, M. Simulation of Natural Convection by Multirelaxation Time Lattice Boltzmann Method in a Triangular Enclosure. Fluids 2022, 7, 74. [Google Scholar] [CrossRef]
- Gibanov, N.S.; Sheremet, M.A. Numerical Investigation of Conjugate Natural Convection in a Cavity with a Local Heater by the Lattice Boltzmann Method. Fluids 2021, 6, 316. [Google Scholar] [CrossRef]
- Huang, J.S. Numerical Study of Thermophoresis on Mass Transfer from Natural Convection Flow over a Vertical Porous Medium with Variable Wall Heat Fluxes. Appl. Sci. 2021, 11, 10418. [Google Scholar] [CrossRef]
- Quintino, A.; Cianfrini, M.; Petracci, I.; Spena, V.A.; Corcione, M. Dimensionless Correlations for Natural Convection Heat Transfer from a Pair of Vertical Staggered Plates Suspended in Free Air. Appl. Sci. 2021, 11, 6511. [Google Scholar] [CrossRef]
- Ishigaki, M.; Hirose, Y.; Abe, S.; Nagai, T.; Watanabe, T. Estimation of Flow Field in Natural Convection with Density Stratification by Local Ensemble Transform Kalman Filter. Fluids 2022, 7, 237. [Google Scholar] [CrossRef]
- Zhang, Y.; Yang, X.; Zhang, L.; Li, Y.; Zhang, T.; Sun, S. Energy landscape analysis for two-phase multi-component NVT flash systems by using ETD type high-index saddle dynamics. J. Comput. Phys. 2023, 477, 111916. [Google Scholar] [CrossRef]
- Zhang, T.; Zhang, Y.; Katterbauer, K.; Al Shehri, A.; Sun, S.; Hoteit, I. Phase equilibrium in the hydrogen energy chain. Fuel 2022, 328, 125324. [Google Scholar] [CrossRef]
- Bondareva, N.S.; Sheremet, M.A. Natural Convection Melting Influence on the Thermal Resistance of a Brick Partially Filled with Phase Change Material. Fluids 2021, 6, 258. [Google Scholar] [CrossRef]
- Chinyoka, T. Two-dimensional flow of chemically reactive viscoelastic fluids with or without the influence of thermal convection. Commun. Nonlinear Sci. Numer. Simul. 2011, 16, 1387–1395. [Google Scholar] [CrossRef]
- Chinyoka, T. Viscoelastic effects in double-pipe single-pass counterflow heat exchangers. Int. J. Numer. Methods Fluids 2009, 59, 677–690. [Google Scholar] [CrossRef]
- Chinyoka, T. Modeling of cross-flow heat exchangers with viscoelastic fluids. Nonlinear Analysis: Real World Appl. 2009, 10, 353–3359. [Google Scholar] [CrossRef]
- Mavi, A.; Chinyoka, T.; Gill, A. Modelling and Analysis of Viscoelastic and Nanofluid Effects on the Heat Transfer Characteristics in a Double-Pipe Counter-Flow Heat Exchanger. Appl. Sci. 2022, 12, 5475. [Google Scholar] [CrossRef]
- Mavi, A.; Chinyoka, T. Volume-of-Fluid Based Finite-Volume Computational Simulations of Three-Phase Nanoparticle-Liquid-Gas Boiling Problems in Vertical Rectangular Channels. Energies 2022, 15, 5746. [Google Scholar] [CrossRef]
- Khan, I.; Chinyoka, T.; Gill, A. Computational Analysis of Shear Banding in Simple Shear Flow of Viscoelastic Fluid-Based Nanofluids Subject to Exothermic Reactions. Energies 2022, 15, 1719. [Google Scholar] [CrossRef]
- Khan, I.; Chinyoka, T.; Gill, A. Computational Analysis of the Dynamics of Generalized-Viscoelastic-Fluid-Based Nanofluids Subject to Exothermic-Reaction in Shear-Flow. J. Nanofluids 2022, 11, 487–499. [Google Scholar] [CrossRef]
- Khan, I.; Chinyoka, T.; Gill, A. Dynamics of Non-Isothermal Pressure-Driven Flow of Generalized Viscoelastic-Fluid-Based Nanofluids in a Channel. Math. Probl. Eng. 2022, 2022, 9080009. [Google Scholar] [CrossRef]
- Cross, M.M. Rheoogy of non-Newtonian fluids: A new flow equation for pseudoplastic systems. J. Colloid Sci. 1965, 20, 417–437. [Google Scholar] [CrossRef]
- Xie, J.; Jin, Y. Parameter determination for the Cross rheology equation and its application to modeling non-Newtonian flows using the WC-MPS method. Eng. Appl. Comput. Fluid Mech. 2016, 10, 111–129. [Google Scholar] [CrossRef]



























Disclaimer/Publisher’s Note: The statements, opinions and data contained in all publications are solely those of the individual author(s) and contributor(s) and not of MDPI and/or the editor(s). MDPI and/or the editor(s) disclaim responsibility for any injury to people or property resulting from any ideas, methods, instructions or products referred to in the content. |
© 2023 by the author. Licensee MDPI, Basel, Switzerland. This article is an open access article distributed under the terms and conditions of the Creative Commons Attribution (CC BY) license (https://creativecommons.org/licenses/by/4.0/).
Share and Cite
Chinyoka, T. Numerical Investigation of Natural Convention to a Pseudoplastic Fluid in a Long Channel using a Semi-Implicit Scheme. Appl. Sci. 2023, 13, 3224. https://doi.org/10.3390/app13053224
Chinyoka T. Numerical Investigation of Natural Convention to a Pseudoplastic Fluid in a Long Channel using a Semi-Implicit Scheme. Applied Sciences. 2023; 13(5):3224. https://doi.org/10.3390/app13053224
Chicago/Turabian StyleChinyoka, Tiri. 2023. "Numerical Investigation of Natural Convention to a Pseudoplastic Fluid in a Long Channel using a Semi-Implicit Scheme" Applied Sciences 13, no. 5: 3224. https://doi.org/10.3390/app13053224
APA StyleChinyoka, T. (2023). Numerical Investigation of Natural Convention to a Pseudoplastic Fluid in a Long Channel using a Semi-Implicit Scheme. Applied Sciences, 13(5), 3224. https://doi.org/10.3390/app13053224
