Sign in to use this feature.

Years

Between: -

Subjects

remove_circle_outline
remove_circle_outline
remove_circle_outline
remove_circle_outline
remove_circle_outline

Journals

Article Types

Countries / Regions

Search Results (14)

Search Parameters:
Keywords = free-floating space manipulator

Order results
Result details
Results per page
Select all
Export citation of selected articles as:
20 pages, 25073 KB  
Article
Development of 6DOF Hardware-in-the-Loop Ground Testbed for Autonomous Robotic Space Debris Removal
by Ahmad Al Ali, Bahador Beigomi and Zheng H. Zhu
Aerospace 2024, 11(11), 877; https://doi.org/10.3390/aerospace11110877 - 25 Oct 2024
Cited by 4 | Viewed by 2147
Abstract
This paper presents the development of a hardware-in-the-loop ground testbed featuring active gravity compensation via software-in-the-loop integration, specially designed to support research in autonomous robotic removal of space debris. The testbed is designed to replicate six degrees of freedom (6DOF) motion maneuvering to [...] Read more.
This paper presents the development of a hardware-in-the-loop ground testbed featuring active gravity compensation via software-in-the-loop integration, specially designed to support research in autonomous robotic removal of space debris. The testbed is designed to replicate six degrees of freedom (6DOF) motion maneuvering to accurately simulate the dynamic behaviors of free-floating robotic manipulators and free-tumbling space debris under microgravity conditions. The testbed incorporates two industrial 6DOF robotic manipulators, a three-finger robotic gripper, and a suite of sensors, including cameras, force/torque sensors, and tactile tensors. Such a setup provides a robust platform for testing and validating technologies related to autonomous tracking, capture, and post-capture stabilization within the context of active space debris removal missions. Preliminary experimental results have demonstrated advancements in motion control, computer vision, and sensor fusion. This facility is positioned to become an essential resource for the development and validation of robotic manipulators in space, offering substantial improvements to the effectiveness and reliability of autonomous capture operations in space missions. Full article
(This article belongs to the Special Issue Space Mechanisms and Robots)
Show Figures

Figure 1

31 pages, 20022 KB  
Article
Adaptive Fuzzy Integral Sliding Mode Cooperative Control Based on Time-Delay Estimation for Free-Floating Close-Chain Manipulators
by Zhongcan Li, Yufei Zhou, Mingchao Zhu and Qingwen Wu
Sensors 2024, 24(12), 3718; https://doi.org/10.3390/s24123718 - 7 Jun 2024
Cited by 4 | Viewed by 1323
Abstract
Space manipulators are expected to perform more challenging missions in on-orbit service (OOS) systems, but there are some unique characteristics that are not found on ground-based robots, such as dynamic coupling between space bases and manipulators, limited fuel supply, and working with unfixed [...] Read more.
Space manipulators are expected to perform more challenging missions in on-orbit service (OOS) systems, but there are some unique characteristics that are not found on ground-based robots, such as dynamic coupling between space bases and manipulators, limited fuel supply, and working with unfixed bases. This paper focuses on trajectory-tracking control and internal force control for free-floating close-chain manipulators. First, the kinematics and dynamics of free-floating close-chain manipulators are given using the momentum conservation and spatial operator algebra (SOA) methodologies, respectively. Furthermore, an adaptive fuzzy integral sliding mode controller (AFISMC) based on time delay estimation (TDE) was designed for trajectory-tracking control, and a proportional-integral (PI) control strategy was adopted for internal force control. The global asymptotic stability of the proposed controller was proven by using the Lyapunov methodology. Three cases were conducted to verify the efficiency of the controller by using numerical simulations on two six-link manipulators with a free-floating base. The controller presents the desired tracking capability. Full article
(This article belongs to the Section Sensors and Robotics)
Show Figures

Figure 1

28 pages, 2568 KB  
Article
Dynamic Modeling and Improved Nonlinear Model Predictive Control of a Free-Floating Dual-Arm Space Robot
by Zhenhao Guo, Hehua Ju, Chenxin Lu and Kaimeng Wang
Appl. Sci. 2024, 14(8), 3333; https://doi.org/10.3390/app14083333 - 15 Apr 2024
Cited by 5 | Viewed by 2191
Abstract
With the increasing demand for space missions, space robots have become the focus of research and attention. As a typical representative, the free-floating dual-arm space robot has the characteristics of multiple degrees of freedom, a floating base, and dynamic coupling between the manipulator [...] Read more.
With the increasing demand for space missions, space robots have become the focus of research and attention. As a typical representative, the free-floating dual-arm space robot has the characteristics of multiple degrees of freedom, a floating base, and dynamic coupling between the manipulator and the base, so its modeling and control are very challenging. To address these challenges, a novel dynamic modeling and control method is proposed for a free-floating dual-arm space robot. First, an explicit dynamic model of a free-floating dual-arm space robot is established based on the explicit canonical multi-rigid-body dynamic modeling theory and combined with the concept of a dynamic equivalent manipulator. The establishment process of this model is not only simple and canonical to avoid the definition and calculation of many intermediate variables, but the symbolic result expression of the model also has the characteristics of iteration, which is convenient for computer automatic modeling. Next, aiming at addressing the problem of trajectory tracking and the base attitude stability of a free-floating dual-arm space robot with parameter perturbation and external disturbance, an improved nonlinear model predictive control method introducing the idea of sliding mode variable structure is proposed. Theoretical analysis shows that the proposed controller has better robustness than the traditional nonlinear model predictive controller. Then, an in-orbit service task is designed to verify the effectiveness of the proposed dynamic modeling and control strategy of the free-floating dual-arm space robot. Finally, the dynamic modeling and control methods proposed are discussed and summarized. The proposed methods can not only realize the tracking of the desired trajectory of the arms of the free-floating space robot, but can also realize the stable control of the base of the free-floating space robot. This paper provides new insights into the difficult problems regarding the dynamics and control of free-floating dual-arm space robots. Full article
Show Figures

Figure 1

20 pages, 1604 KB  
Article
Space Manipulator Collision Avoidance Using a Deep Reinforcement Learning Control
by James Blaise and Michael C. F. Bazzocchi
Aerospace 2023, 10(9), 778; https://doi.org/10.3390/aerospace10090778 - 31 Aug 2023
Cited by 10 | Viewed by 3813
Abstract
Recent efforts in on-orbit servicing, manufacturing, and debris removal have accentuated some of the challenges related to close-proximity space manipulation. Orbital debris threatens future space endeavors driving active removal missions. Additionally, refueling missions have become increasingly viable to prolong satellite life and mitigate [...] Read more.
Recent efforts in on-orbit servicing, manufacturing, and debris removal have accentuated some of the challenges related to close-proximity space manipulation. Orbital debris threatens future space endeavors driving active removal missions. Additionally, refueling missions have become increasingly viable to prolong satellite life and mitigate future debris generation. The ability to capture cooperative and non-cooperative spacecraft is an essential step for refueling or removal missions. In close-proximity capture, collision avoidance remains a challenge during trajectory planning for space manipulators. In this research, a deep reinforcement learning control approach is applied to a three-degrees-of-freedom manipulator to capture space objects and avoid collisions. This approach is investigated in both free-flying and free-floating scenarios, where the target object is either cooperative or non-cooperative. A deep reinforcement learning controller is trained for each scenario to effectively reach a target capture location on a simulated spacecraft model while avoiding collisions. Collisions between the base spacecraft and the target spacecraft are avoided in the planned manipulator trajectories. The trained model is tested for each scenario and the results for the manipulator and base motion are detailed and discussed. Full article
(This article belongs to the Special Issue Space Robotics and Mechatronics)
Show Figures

Figure 1

17 pages, 3386 KB  
Article
A Tangent Release Manipulation Controlled by a Dual-Arm Space Robot
by Xiaoyi Wang and Jayantha Katupitiya
Actuators 2023, 12(8), 325; https://doi.org/10.3390/act12080325 - 14 Aug 2023
Cited by 4 | Viewed by 2461
Abstract
As people further develop space with advanced technology, space robots have played a significant role in on-orbit servicing missions. Space robots can carry out more risky and complicated missions with less cost than astronauts. Dual-arm space robots can perform complex on-orbit space missions [...] Read more.
As people further develop space with advanced technology, space robots have played a significant role in on-orbit servicing missions. Space robots can carry out more risky and complicated missions with less cost than astronauts. Dual-arm space robots can perform complex on-orbit space missions more effectively than single-arm space robots. Since the coupled dynamics between the free-floating base and the arms exist in space robots, accurate coordinate control of the base and the arms is essential. Spacecraft release missions have been proposed to berth/deberth a spacecraft to a space station. Based on the existing release missions, a tangent release strategy is introduced in this paper, which can release a space object in the tangent direction of the final link of a space manipulator. This strategy can control a dual-arm space robot to deploy cargo/spacecraft in variable directions in 3D space without thrusters and the associated fuel consumption. For instance, this tangent release operation can transport cargo or modules of large-scale spacecraft needing on-orbit assembly. Considering model uncertainties, robust controllers again model uncertainties that are used to control the dual-arm space robot with high accuracy. Hence, a robust sliding mode controller (SMC) is utilized to accurately control the space robot to carry out the proposed tangent release strategy. For comparison, we select a conventional computed torque control (CTC) implemented by a PD-type controller. In the simulations, the SMC performs better in tracking accuracy and robustness against the model uncertainties than the PD controller. Numerical simulations indicate the feasibility and effectiveness of the tangent release manipulation of a space object by a dual-arm space robot. Full article
(This article belongs to the Special Issue Advanced Spacecraft Structural Dynamics and Actuation Control)
Show Figures

Figure 1

21 pages, 5190 KB  
Article
State Observer Based Robust Backstepping Fault-Tolerant Control of the Free-Floating Flexible-Joint Space Manipulator
by Limin Xie and Xiaoyan Yu
Appl. Sci. 2023, 13(4), 2634; https://doi.org/10.3390/app13042634 - 17 Feb 2023
Cited by 10 | Viewed by 2343
Abstract
Actuator failure and joint flexibility will dramatically impact space robot system control. In this paper, free-floating flexible-joint space-manipulator dynamic-modeling is studied and a state-observer-based robust backstepping fault-tolerant control is proposed for the system joint actuator failure. Based on the flexible-joint simplified model, the [...] Read more.
Actuator failure and joint flexibility will dramatically impact space robot system control. In this paper, free-floating flexible-joint space-manipulator dynamic-modeling is studied and a state-observer-based robust backstepping fault-tolerant control is proposed for the system joint actuator failure. Based on the flexible-joint simplified model, the system’s rigid-flexible coupled-dynamic equations are established according to momentum conservation, angular momentum conservation, and the Lagrange equation. Then the system is decoupled based on the singular perturbation method. For the slow subsystem, a robust backstepping fault-tolerant controller base on a state observer is designed to eliminate the angle error, compensate for the uncertain parameter and the external disturbance, and achieve the joint-trajectory asymptotic-tracking. The use of a speed filter makes it inappropriate to measure and provide feedback about the system’s velocity signals, so the controller is simpler and more precise. For the fast subsystem, a velocity differential-feedback control is adopted to suppress the system vibration caused by the flexible joint, to ensure the stability of the system. Finally, the feasibility and effectiveness of the model and control method are proved by some simulations. The simulation results indicate that the proposed fault-tolerant control method can make the free-floating flexible-joint space manipulator system track the desired trajectory accurately and steadily, regardless of whether the actuator fails or not. Full article
Show Figures

Figure 1

17 pages, 2019 KB  
Article
Impedance Control Using Selected Compliant Prismatic Joint in a Free-Floating Space Manipulator
by Piotr Palma, Karol Seweryn and Tomasz Rybus
Aerospace 2022, 9(8), 406; https://doi.org/10.3390/aerospace9080406 - 28 Jul 2022
Cited by 15 | Viewed by 2809
Abstract
The success of space missions like capture-and-deorbit or capture-and-service relies on the ability of the capturing satellite to establish a stable mechanical connection by its gripping tool with the object being intercepted. Most of the potential objects of capture missions are not equipped [...] Read more.
The success of space missions like capture-and-deorbit or capture-and-service relies on the ability of the capturing satellite to establish a stable mechanical connection by its gripping tool with the object being intercepted. Most of the potential objects of capture missions are not equipped with dedicated docking ports; hence, the satellite robot intercepting them will have to provide the mechanical compliance necessary for the safe establishment of contact between the two structures. Articulated robotic arms with controlled mechanical impedance are one set of promising solutions for this challenge. In this study, the authors discuss how the mechanical impedance realized only along a single axis can be useful for facilitating the contact between the manipulator arm’s end effector of a free-floating robot and an uncooperative object in microgravity. By distinguishing a dominant direction in the final approach and contact establishment maneuver, the need for impedance control of six degrees of freedom may be relaxed, and a single prismatic joint with controlled impedance can be used at the end effector. Such architecture is simulated and compared with the full model-based six-degree-of-freedom Cartesian impedance control of a free-floating manipulator. Authors then discuss the limitations and possibilities of such architecture in a potential practical setting. Full article
(This article belongs to the Special Issue Space Debris Removal: Challenges and Opportunities)
Show Figures

Figure 1

24 pages, 5603 KB  
Article
Impedance Control of Space Robot On-Orbit Insertion and Extraction Based on Prescribed Performance Method
by Dongbo Liu, Haiping Ai and Li Chen
Appl. Sci. 2022, 12(10), 5147; https://doi.org/10.3390/app12105147 - 19 May 2022
Cited by 5 | Viewed by 2373
Abstract
Aiming at the force position control problem of the on-orbit insertion and extraction operation of the free-floating space robot, the system dynamics model is established. According to the interaction between the end of manipulator and the environment, the second-order impedance model is established. [...] Read more.
Aiming at the force position control problem of the on-orbit insertion and extraction operation of the free-floating space robot, the system dynamics model is established. According to the interaction between the end of manipulator and the environment, the second-order impedance model is established. In order to improves the calculation efficiency, the above models are reconstructed to avoid the use of acceleration signal by introducing filtering operation. This is also conducive to the application of robot actual control. Then, an estimator requiring only the system inertia matrix is designed to compensate the modeling uncertainty, external bounded disturbance and impact effect in the process of inserting and extracting. Its structure is simple and reliable. Only one control parameter needs to be adjusted, which greatly reduces the amount of calculation. Considering that the on-orbit operation of insertion and extraction is a kind of precision operation, its control system needs to have a high-quality control performance. By introducing the prescribed performance method, the tracking error is constrained within the given range and to ensure the transient performance and steady-state performance of the control system is ensured. Finally, three simulation conditions are designed, and the results are presented to verify that the proposed algorithm has a faster convergence speed compared with traditional sliding mode controller. It can achieve vertically inserting and accurate force tracking of the manipulator end. Full article
(This article belongs to the Special Issue Robots Dynamics: Application and Control)
Show Figures

Figure 1

19 pages, 3611 KB  
Article
Constrained Motion Planning of 7-DOF Space Manipulator via Deep Reinforcement Learning Combined with Artificial Potential Field
by Yinkang Li, Danyi Li, Wenshan Zhu, Jun Sun, Xiaolong Zhang and Shuang Li
Aerospace 2022, 9(3), 163; https://doi.org/10.3390/aerospace9030163 - 17 Mar 2022
Cited by 34 | Viewed by 8175
Abstract
During the on-orbit operation task of the space manipulator, some specific scenarios require strict constraints on both the position and orientation of the end-effector, such as refueling and auxiliary docking. To this end, a novel motion planning approach for a space manipulator is [...] Read more.
During the on-orbit operation task of the space manipulator, some specific scenarios require strict constraints on both the position and orientation of the end-effector, such as refueling and auxiliary docking. To this end, a novel motion planning approach for a space manipulator is proposed in this paper. Firstly, a kinematic model of the 7-DOF free-floating space manipulator is established by introducing the generalized Jacobian matrix. On this basis, a planning approach is proposed to realize the motion planning of the 7-DOF free-floating space manipulator. Considering that the on-orbit environment is dynamical, the robustness of the motion planning approach is required, thus the deep reinforcement learning algorithm is introduced to design the motion planning approach. Meanwhile, the deep reinforcement learning algorithm is combined with artificial potential field to improve the convergence. Besides, the self-collision avoidance constraint is considered during planning to ensure the operational security. Finally, comparative simulations are conducted to demonstrate the performance of the proposed planning method. Full article
(This article belongs to the Special Issue Recent Advances in Spacecraft Dynamics and Control)
Show Figures

Figure 1

23 pages, 7441 KB  
Article
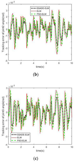
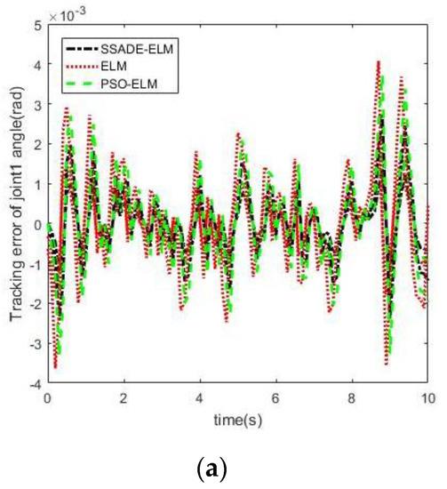
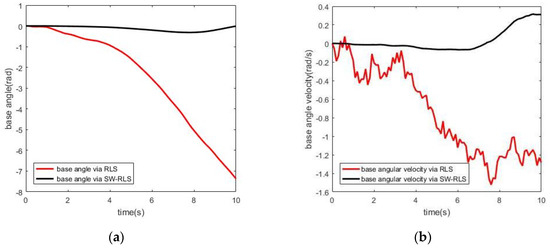
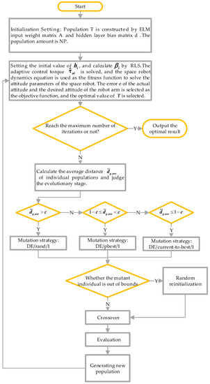
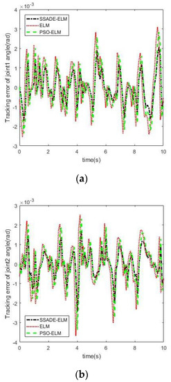
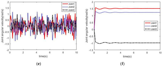
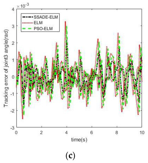
Research on Adaptive Reaction Null Space Planning and Control Strategy Based on VFF–RLS and SSADE–ELM Algorithm for Free-Floating Space Robot
by Xin Ye, Zheng-Hong Dong and Jia-Cai Hong
Electronics 2019, 8(10), 1111; https://doi.org/10.3390/electronics8101111 - 2 Oct 2019
Cited by 3 | Viewed by 3254
Abstract
With the increase of on-orbit maintenance and support requirements, the application of a space manipulator is becoming more promising. In actual operation, the strong coupling of the free-floating space robot itself and the unknown disturbance of the contact target caused a major challenge [...] Read more.
With the increase of on-orbit maintenance and support requirements, the application of a space manipulator is becoming more promising. In actual operation, the strong coupling of the free-floating space robot itself and the unknown disturbance of the contact target caused a major challenge to the robot base posture control. Traditional Reaction Null Space (RNS) motion planning and control methods require the construction of precise dynamic models, which is impossible in reality. In order to solve this problem, this paper proposes a new Adaptive Reaction Null Space (ARNS) path planning and control strategy for the contact of free-floating space robots with unknown targets. The ARNS path planning strategy is constructed by the Variable Forgetting Factor Recursive Least Squares (VFF–RLS) algorithm. At the same time, a robust adaptive control strategy based on the Strategy Self-Adaption Differential Evolution–Extreme Learning Machine (SSADE–ELM) algorithm is proposed to track the dynamic changes of the planned path. The algorithm enables us to intelligently learn and compensate for the unknown disturbance. Then, this paper constructs a robust controller to compensate model uncertainty. A striking feature of the proposed strategy is that it does not require an accurate system model or any information about unknown attributes. This design can dynamically implement RNS path tracking performance. Finally, through simulation and experiment, the proposed algorithm is compared with the existing methods to prove its effectiveness and superiority. Full article
(This article belongs to the Section Systems & Control Engineering)
Show Figures

Figure 1

18 pages, 1969 KB  
Article
Optimization Provenance of Whiplash Compensation for Flexible Space Robotics
by Timothy Sands
Aerospace 2019, 6(9), 93; https://doi.org/10.3390/aerospace6090093 - 30 Aug 2019
Cited by 39 | Viewed by 6816
Abstract
Automatic controls refer to the application of control theory to regulate systems or processes without human intervention, and the notion is often usefully applied to space applications. A key part of controlling flexible space robotics is the control-structures interaction of a light, flexible [...] Read more.
Automatic controls refer to the application of control theory to regulate systems or processes without human intervention, and the notion is often usefully applied to space applications. A key part of controlling flexible space robotics is the control-structures interaction of a light, flexible structure whose first resonant modes lie within the bandwidth of the controller. In this instance, the designed-control excites the problematic resonances of the highly flexible structure. This manuscript reveals a novel compensator capable of minimum-time performance of an in-plane maneuver with zero residual vibration (ZV) and zero residual vibration-derivative (ZVD) at the end of the maneuver. The novel compensator has a whiplash nature of first commanding maneuver states in the opposite direction of the desired end state. For a flexible spacecraft simulator (FSS) free-floating planar robotic arm, this paper will first derive the model of the flexible system in detail from first principles. Hamilton’s principle is augmented with the adjoint equation to produce the Euler–Lagrange equation which is manipulated to prove equivalence with Newton’s law. Extensive efforts are expended modeling the free–free vibration equations of the flexible system, and this extensive modeling yields an unexpected control profile—a whiplash compensator. Equations of motion are derived using both the Euler–Lagrange method and Newton’s law as validation. Variables are then scaled for efficient computation. Next, general purposed pseudospectral optimization software is used to seek an optimal control, proceeding afterwards to validate optimality via six theoretical optimization necessary conditions: (1) Hamiltonian minimization condition; (2) adjoint equations; (3) terminal transversality condition; (4) Hamiltonian final value condition; (5) Hamiltonian evolution equation; and lastly (6) Bellman’s principle. The results are novel and unique in that they initially command full control in the opposite direction from the desired end state, while no such results are seen using classical control methods including classical methods augmented with structural filters typically employed for controlling highly flexible multi-body systems. The manuscript also opens an interesting question of what to declare when the six optimality necessary conditions are not necessarily in agreement (we choose here not to declare finding the optimal control, instead calling it suboptimal). Full article
(This article belongs to the Special Issue Control and Optimization Problems in Aerospace Engineering)
Show Figures

Figure 1

24 pages, 1575 KB  
Article
Spacecraft Robot Kinematics Using Dual Quaternions
by Alfredo Valverde and Panagiotis Tsiotras
Robotics 2018, 7(4), 64; https://doi.org/10.3390/robotics7040064 - 12 Oct 2018
Cited by 33 | Viewed by 9536
Abstract
In recent years, there has been a growing interest in servicing orbiting satellites. In most cases, in-orbit servicing relies on the use of spacecraft-mounted robotic manipulators to carry out complicated mission objectives. Dual quaternions, a mathematical tool to conveniently represent pose, has recently [...] Read more.
In recent years, there has been a growing interest in servicing orbiting satellites. In most cases, in-orbit servicing relies on the use of spacecraft-mounted robotic manipulators to carry out complicated mission objectives. Dual quaternions, a mathematical tool to conveniently represent pose, has recently been adopted within the space industry to tackle complex control problems during the stages of proximity operations and rendezvous, as well as for the dynamic modeling of robotic arms mounted on a spacecraft. The objective of this paper is to bridge the gap in the use of dual quaternions that exists between the fields of spacecraft control and fixed-base robotic manipulation. In particular, we will cast commonly used tools in the field of robotics as dual quaternion expressions, such as the Denavit-Hartenberg parameterization, or the product of exponentials formula. Additionally, we provide, via examples, a study of the kinematics of different serial manipulator configurations, building up to the case of a completely free-floating robotic system. We provide expressions for the dual velocities of the different types of joints that commonly arise in industrial robots, and we end by providing a collection of results that cast convex constraints commonly encountered by space robots during proximity operations in terms of dual quaternions. Full article
(This article belongs to the Special Issue Kinematics and Robot Design I, KaRD2018)
Show Figures

Figure 1

18 pages, 19829 KB  
Article
3D Laser Scanner for Underwater Manipulation
by Albert Palomer, Pere Ridao, Dina Youakim, David Ribas, Josep Forest and Yvan Petillot
Sensors 2018, 18(4), 1086; https://doi.org/10.3390/s18041086 - 4 Apr 2018
Cited by 58 | Viewed by 10239
Abstract
Nowadays, research in autonomous underwater manipulation has demonstrated simple applications like picking an object from the sea floor, turning a valve or plugging and unplugging a connector. These are fairly simple tasks compared with those already demonstrated by the mobile robotics community, which [...] Read more.
Nowadays, research in autonomous underwater manipulation has demonstrated simple applications like picking an object from the sea floor, turning a valve or plugging and unplugging a connector. These are fairly simple tasks compared with those already demonstrated by the mobile robotics community, which include, among others, safe arm motion within areas populated with a priori unknown obstacles or the recognition and location of objects based on their 3D model to grasp them. Kinect-like 3D sensors have contributed significantly to the advance of mobile manipulation providing 3D sensing capabilities in real-time at low cost. Unfortunately, the underwater robotics community is lacking a 3D sensor with similar capabilities to provide rich 3D information of the work space. In this paper, we present a new underwater 3D laser scanner and demonstrate its capabilities for underwater manipulation. In order to use this sensor in conjunction with manipulators, a calibration method to find the relative position between the manipulator and the 3D laser scanner is presented. Then, two different advanced underwater manipulation tasks beyond the state of the art are demonstrated using two different manipulation systems. First, an eight Degrees of Freedom (DoF) fixed-base manipulator system is used to demonstrate arm motion within a work space populated with a priori unknown fixed obstacles. Next, an eight DoF free floating Underwater Vehicle-Manipulator System (UVMS) is used to autonomously grasp an object from the bottom of a water tank. Full article
(This article belongs to the Special Issue Underwater Sensing, Communication, Networking and Systems)
Show Figures

Figure 1

19 pages, 2445 KB  
Article
Target Capturing Control for Space Robots with Unknown Mass Properties: A Self-Tuning Method Based on Gyros and Cameras
by Zhenyu Li, Bin Wang and Hong Liu
Sensors 2016, 16(9), 1383; https://doi.org/10.3390/s16091383 - 30 Aug 2016
Cited by 7 | Viewed by 6205
Abstract
Satellite capturing with free-floating space robots is still a challenging task due to the non-fixed base and unknown mass property issues. In this paper gyro and eye-in-hand camera data are adopted as an alternative choice for solving this problem. For this improved system, [...] Read more.
Satellite capturing with free-floating space robots is still a challenging task due to the non-fixed base and unknown mass property issues. In this paper gyro and eye-in-hand camera data are adopted as an alternative choice for solving this problem. For this improved system, a new modeling approach that reduces the complexity of system control and identification is proposed. With the newly developed model, the space robot is equivalent to a ground-fixed manipulator system. Accordingly, a self-tuning control scheme is applied to handle such a control problem including unknown parameters. To determine the controller parameters, an estimator is designed based on the least-squares technique for identifying the unknown mass properties in real time. The proposed method is tested with a credible 3-dimensional ground verification experimental system, and the experimental results confirm the effectiveness of the proposed control scheme. Full article
(This article belongs to the Special Issue Advanced Robotics and Mechatronics Devices)
Show Figures

Figure 1

Back to TopTop