Next Article in Journal
Stress Corrosion Cracking Analysis of a Hot Blast Stove Shell with an Internal Combustion Chamber
Previous Article in Journal
WebAR as a Mediation Tool Focused on Reading and Understanding of Technical Drawings Regarding Tailor-Made Projects for the Scenographic Industry
 
 
Font Type:
Arial Georgia Verdana
Font Size:
Aa Aa Aa
Line Spacing:
Column Width:
Background:
Article

An Analysis of the Stress State in Powder Compacts during Unloading, Emphasizing the Influence from Different Frictional Models

by
Hjalmar Staf
1,2 and
Per-Lennart Larsson
1,*
1
Unit of Solid Mechanics, Department of Engineering Mechanics, KTH Royal Institute of Technology, SE-10044 Stockholm, Sweden
2
Sandvik Coromant, SE-12680 Stockholm, Sweden
*
Author to whom correspondence should be addressed.
Appl. Sci. 2023, 13(22), 12296; https://doi.org/10.3390/app132212296
Submission received: 13 October 2023 / Revised: 28 October 2023 / Accepted: 31 October 2023 / Published: 14 November 2023

Abstract

:
Finite element (FE) simulations are frequently used nowadays in order to analyse powder compaction and sintering, for example, when determining the shape of a cutting blank insert. Such analyses also make it possible to determine in detail the stress state in a powder compact during loading and unloading. This is certainly important as (residual) tensile stresses can lead to cracking, either after unloading or during the subsequent sintering step. The magnitude of plastic deformation is also an issue here. Concerning the stress state in the powder compact, the frictional behaviour (between walls and powder compact) is of great importance. For this reason, in the present study, two frictional models are implemented into a commercial FE software, and numerical results based on the stress state before and during unloading are derived. The two friction models produce quite different results, and it is obvious that the frictional behaviour at powder pressing has to be carefully accounted for in order to achieve results of high accuracy.

1. Introduction

Powder compaction is a widely used manufacturing method since it has high productivity and often is close to the net shape. For instance, cutting inserts are manufactured by compacting spray-dried refractory carbide and metal powder mixtures containing tungsten carbide into a predefined shape, followed by sintering to full density and posttreatment.
After compaction, the density is uneven, which is a substantial disadvantage. Density gradients and residual stresses in powder compacts (green bodies) can result in shape distortion and cracking after pressing and subsequent sintering. For the purpose of predicting the shape after sintering, the finite element (FE) method is very useful [1] for mechanical field determination and other matters, particularly when frictional effects as described in [2] are present [3]. Compaction and sintering simulations, where friction is important to consider, are specifically useful when designing and manufacturing press tools; since they shape distortion, those can be compensated for.
It was shown by Guyoncourt et al. [4] that frictional effects at low stresses are important to consider. In [4], an instrumented die was used to determine the frictional behaviour between the die and powder, but at low stresses, unexpected results were discovered. In the above-mentioned study [2], friction is assumed to be a function of normal pressure but not of density. According to the discussion above, in [2], a tungsten carbide powder was studied.
In a previous study [3], the effect of friction on the density distribution after pressing was investigated using FE simulations. It was found that the results were very much dependent on the frictional model. Consequently, substantial efforts have to be devoted to such modelling in order to achieve accurate results.
Presently, drawing upon the numerical achievements in [3], the aim is to investigate the stress state in a powder compact during loading and after unloading. In particular, tensile stresses are of interest, as such stresses can lead to cracking during both compaction and sintering, relying on a criterion based on maximum principal stresses. It is expected that frictional effects are also substantial in this case, and therefore, such behaviour is investigated in detail.
In this study, two different frictional models are implemented into a commercial FE software (see details below), and relevant results are compared and discussed. An extended Drucker–Prager CAP model by Brandt and Nilsson [5] is relied upon. Alternatives exist, for example [6,7,8,9,10], but this model is directly relevant for hard metal materials. The material parameters in the constitutive model have been determined by Andersson et al. in [11] and are representative of a common WC-Co powder used for cutting inserts. In [11], optimization and inverse modelling was employed, see for example [12,13,14,15].
As already stated, the purpose of this study is to determine the effect of different frictional models on the tensile stresses developing during compaction loading and unloading. The approach is, as mentioned above, detailed for tungsten carbide powders but is relevant for the pressing of other powder materials as well, such as stainless steel powders and rock materials.

2. Frictional Behaviour

An in-depth description of pertinent results concerning the frictional behaviour has been described in [2,3]. Below, the most important results of these investigations are summarized.
A two-step test for Coulomb friction, that suggests a constant friction coefficient between powder and die [16,17,18], is relied upon. Here, powder first is compacted and then removed and pushed against a moving die material from mechanical loading, yielding the relation
F f = μ 0.2 · F N
where FN is normal force, Ff is shear force, and μ0.2 is the frictional coefficient. The latter quantity takes on the value 0.2, according to [16], in a standard Coulomb situation.
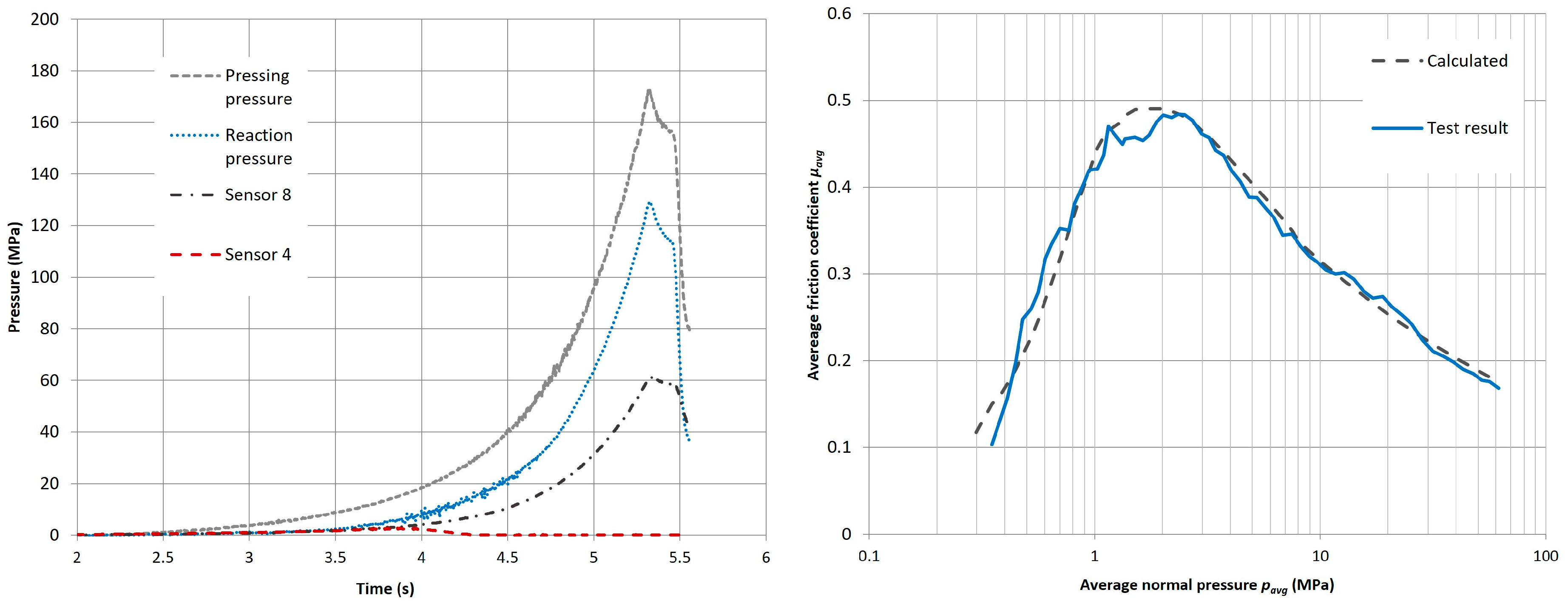
The result from a continuous test method is different and believed to be more accurate. In Figure 1, the experimental setup used for the analysis of the frictional behaviour is shown schematically. In short, it is an instrumented die where eight sensors are placed on the die wall in order to determine the radial (contact) pressure. The radial stress measurements are carried out using eight pressure sensors, Kistler sensor type 6183A (Winterthur, Switzerland), that are positioned in a helical pattern around the cylindrical powder cavity. The instrumented die is mounted on a standard press. The loading and ejection speed is a maximum of 200 mm/s, and the pressing forces are measured in the press. The test setup has been described in detail in [19,20]. In particular, the description in [19] is of direct interest for the present purposes. Experimentally determined pressure quantities relevant to the frictional analysis are shown in Figure 2.
By using inverse modelling, it is possible [2] to determine the influence of the radial pressure p on the frictional behaviour. The details of the procedure are found in [2]. In the mentioned study, different frictional models were investigated, and the model that best describes the behaviour is used here. It was found that a (radial) pressure-dependent frictional model is best suited, and the frictional coefficient, μopt, is given via
μ o p t = a 1 + a 2 · p i f   p < p 1 a 3 i f   p 1 p p 2 ( p / a 4 ) a 5   i f   p > p 2
In Table 1, the parameter values are presented. In addition, it should be mentioned that the quantities are p1 = 1.1 MPa and p2 = 2.5 MPa.
The average friction over the whole powder pillar is compared to the average friction that is calculated from Equation (2) in Figure 2.
Again, it should be stated that the experiments in [2] concluded that μ = μ(p) and that stick–slip phenomena can be disregarded.

3. Finite Element Simulations

Quasi-static finite element simulations are performed using the commercial software LS-Dyna (version 11) [21] and relying on explicit time integration, remembering that very large deformations are present. The quasi-static conditions are ensured, remembering that explicit time integration is at issue, by applying loading at rates.
The material model adhered to is an extended Drucker–Prager CAP model with density-dependent material functions and parameters [5]. Isotropic hypoelasticity, with a density-dependent elastic bulk modulus, is assumed for obvious, but not simplifying, reasons. It is implemented as standard in LS-Dyna [22], and the material parameters for the WC-Co powder here were defined by Andersson et al. in [11]. In [11], the material model and the material parameters and curves are presented in much more detail and subsequently used in finite element simulations. A total of 1248 fully integrated hexagonal S/R solid elements are used to model the WC-Co powder, while the pressing tools, assumed to be rigid, are described using standard shell elements. The geometry, a cylinder with a diameter of 10 mm, is compacted from the top (as shown in Figure 3), and two symmetry planes are used. In Figure 3, the finite element mesh is shown.
Mortar contacts, described in [21], are used between the pressing tool and powder, and these contacts are implemented for both frictional models. The geometry is obviously not modelled as axisymmetric, but the only reason for this is the limitations in LS-Dyna. Instead, this was accounted for in the model by introducing two symmetry planes in order to ensure geometrically correct conditions.
The two frictional models in Equations (1) and (2) are accordingly defined in the FE-solver LS-Dyna. When Equation (1), with a constant friction coefficient of 0.2, is concerned, this is a very straightforward procedure. In the case of Equation (2), the frictional behaviour is described using a curve dependent on the contact pressure, as detailed in Equation (2) and Table 1. Any influences from velocity (see [2] for details), time dependence and gravity are neglected. As already stated above, it should be strongly emphasized that it was shown in [2] that stick–slip phenomena can be disregarded.

4. Results and Discussion

Here, in this section, the finite element results of the stress state in the powder compact, both before and after unloading, are presented and discussed. The FE results from the two frictional models, Equations (1) and (2), are compared. Tensile stresses might lead to unwanted cracking both during/after compaction and during sintering, which makes it necessary to improve upon the pressing tool; this is very costly and time-consuming. Obviously then, accurate predictions from simulations are an important issue for mechanical evaluation.
The FE results for the compaction are depicted in Figure 4, Figure 5, Figure 6, Figure 7 and Figure 8. In Figure 4, the relative density fields are shown before unloading with values of 0.6 and lower, which is relevant for a practical situation. These results have been shown earlier in [3] but are recapitulated here for clarity. In Figure 5, Figure 6, Figure 7 and Figure 8, the results pertinent to the stress distribution before and during unloading are shown.
The results shown in Figure 4 indicate that the density fields are very much dependent on the frictional description. An analysis using the Coulomb friction with a constant frictional coefficient is relatively simpler to perform but leads to lower accuracy of the results. Accordingly, any type of conclusions drawn from simulation results using a simple frictional model would not be relevant for an iterative industrial procedure, which is the main issue here. Clearly, it is then assumed that the predictions based on a pressure-dependent frictional model are more reliable, as shown in experiments presented in [2].
Regarding the additional details of the results using the density distribution, the predictions from the two frictional models are deviating initially. At higher pressures (forces), frictional effects are reduced due to decreasing tangential displacements; this is evident from the results in Figure 4.
In Figure 5, then, the distributions of the standard von Mises effective stress σe, based on deviatoric stresses, are shown at maximum pressing load for both of the two frictional models in Equations (1) and (2). The reason for showing the distribution of this quantity is, of course, that it is directly related to the plastic constitutive behaviour of the material, regardless of whether pressure sensitivity effects are accounted for or not. The results show clear differences between the predictions from the two models, as in the case of a constant coefficient of friction, where stresses are significantly higher. This indicates that the simulation results differ considerably when it comes to the plastic deformation at the maximum pressing load. Again, this certainly emphasizes the need to accurately describe the frictional behaviour.
In Figure 6 and Figure 7, then, the very important first principal stress σ1 is shown at two different values of the average relative material density during the pressing sequence for both of the two frictional models. This is performed in order to see the history dependence of the first principal stress and to properly evaluate the plastic (isotropic) deformation. This stress is directly related to cracking in the powder compact at an appropriate failure criterion and, accordingly, is of most interest in the present context. Evidently, there are no tensile stresses present in the predictions for either of the models, which suggests that cracking is very limited (or nonexistent) during the loading part of the process. The two friction models give quite similar results, even though, in the case of a constant frictional coefficient, as shown in Equation (1), stresses are, in general, more compressive (this corresponds to the maximum tensile failure criterion). This effect is rather small, though. As for the history dependence, it is clear that the difference between the predictions from the two models is more pronounced earlier in the compaction process. This is due to the results shown in Figure 2, indicating that the friction coefficient attains a maximum at medium-sized contact pressures and then decreases slowly to a value close to 0.2 (relevant for standard Coulomb friction). It should also be mentioned that in the case of a friction coefficient described in Equation (2), the predictions show some deviation from axisymmetry. This is, of course, a numerical artefact due to the advanced contact model described above. The deviations from axisymmetry are, however, small, and we concluded that they will not in any way alter the general conclusions from this study, as outlined below.
The corresponding first principal stress results during and after unloading are, in the context of possible crack initiation and growth, more interesting because, in this case, tensile stresses are present and compressive stresses are reduced. Accordingly, explicit stress values become important, and showing stress trajectories is not the most informative way to present the results. Instead, in Figure 8, explicit values for the maximum value of the first principal stress, using both frictional models, are shown during the unloading part of the compaction process.
The results in Figure 8 show that initially, during the unloading process, the predictions based on the two frictional models at issue differ, but rather rapidly, they become close.
At around t = 0.016 s (t = 0 represents the start of unloading), the upper punch loses contact with the material, and after that, the (residual) stress in the powder is almost constant, as could be expected because no external loading is then present. Then, the predictions from the two frictional models are essentially equal. It should be noted, however, that the stress determined using the frictional model in Equation (2) becomes tensile well before the loss of contact (not so for the corresponding analysis based on Equation (1)).
The residual tensile stresses after unloading are low; based on the results, they are approximately 1–3 MPa. This is, however, in the same range as the measured fracture stresses for hard metal green bodies. Accordingly, it is of great importance to accurately predict the stress state during unloading in order to avoid crack formation and growth (for simplicity, based on a maximum principal stress criterion) during the compaction process. Fortunately, though, it seems that when possible tensile stresses are concerned, the values are not very much dependent on the frictional description used, as clearly shown in the explicit results in Figure 8. It should be mentioned, though, that a mixed principal stress criterion could complicate matters.
In this context, it should be mentioned that measuring residual stresses in a powder material, as in the context of this study, can be a difficult task to achieve due to its porous character. However, different techniques for this purpose exist. Pertinent techniques include sharp (Vickers and Berkovic) indentation, Refs. [23,24,25,26,27] which is probably the most attractive alternative to neutron and X-ray tilt techniques [28] (techniques such as hole drilling [29], layer removal [30], or blunt indentation are not relevant in the present case). Accordingly, measuring (tensile) residual stresses in a powder compact is a possible task to attempt; this is certainly an essential and necessary complement to the simulation predictions at issue here and is applicable in a more practical situation. The latter statement is particularly valid when indentation is performed, remembering that the length scales involved allow for the use of microindentation testing. Nanoindentation would, in this case, introduce the necessity of using some kind of strain gradient plasticity model and more accurate contact area determination. It goes almost without saying that this would substantially complicate the interpretation of the experimental results and also introduce (unnecessary) material characterization matters.
In summary, then, it can be concluded that the results in Figure 4, Figure 5, Figure 6 and Figure 7 indicate clearly that in order to predict field variables at compaction, it is necessary to use an accurate and pressure-dependent frictional model. This particularly concerns the relative density and the von Mises effective stress. This is a very important conclusion pertinent to an industrial situation where the pressing/sintering of geometrically complicated cutting tools is at issue. Assuming a constant coefficient of friction, as is performed in the Coulomb friction model, would render the results substantially less useful for industrial applications (due to the inaccurate predictions of the density distribution and the plastic deformations before sintering), even though the constitutive model used here is a complicated one based on pressure sensitivity. The simulation results, however, also show that when possible (residual) tensile stresses, during and after unloading of the compact, are concerned, explicit values are not very much dependent on the frictional description. This is shown in Figure 8. Even though the procedure is detailed for cemented carbide powders, it could also be directly applied to other types of materials such as soils, bio-based aggregate storage and pharmaceutical applications, as well as to the constitutive characterization of rock materials (see, for example, [31,32,33,34]).

5. Conclusions

FEM simulations are used to determine the influence of different frictional models on field variables, particularly the relative density distribution, the von Mises effective stress and the first principal stress, during uniaxial compaction of powders. The analysis shows that in order to achieve good accuracy of predictions for all quantities, an advanced, pressure-dependent frictional model must be relied on, and a model based on Coulomb friction is not sufficient. As emphasized repeatedly, the results of high-accuracy predictions of the relative density distribution and the plastic deformation fields are essential in an industrial situation. This is in order to avoid the expensive and time-consuming redesigns of pressing tools for the purpose of minimizing shape distortions, unwanted plastic deformation, and cracking during or after sintering.

Author Contributions

Conceptualization, H.S. and P.-L.L.; Methodology, H.S. and P.-L.L.; Software, H.S.; Formal analysis, H.S. and P.-L.L.; Investigation, H.S. and P.-L.L.; Writing—original draft, H.S. and P.-L.L. All authors have read and agreed to the published version of the manuscript.

Funding

This research received no external funding.

Data Availability Statement

Data are contained within the article.

Conflicts of Interest

Author Hjalmar Staf was employed by Sandvik Coromant. The remaining authors declare that the research was conducted in the absence of any commercial or financial relationships that could be construed as a potential conflict of interest.

References

  1. Haglund, S.; Ågren, J.; Lindskog, P.; Uhrenius, B. Modelling of Solid State Sintering of Cemented Carbides. In Sintering Technology; Taylor & Francis Group: Abingdon, UK, 1996; pp. 149–156. [Google Scholar]
  2. Staf, H.; Olsson, E.; Lindskog, P.; Larsson, P.-L. Determination of the Frictional Behavior at Compaction of Powder Materials Consisting of Spray-Dried Granules. J. Mater. Eng. Perform. 2018, 27, 1308–1317. [Google Scholar] [CrossRef]
  3. Staf, H.; Larsson, P.-L. Evaluation of an advanced powder-die frictional model. Powder Technol. 2020, 363, 569–574. [Google Scholar] [CrossRef]
  4. Guyoncourt, D.M.M.; Tweed, J.H.; Gough, A.; Dawson, J.; Pater, L. Constitutive Data and Friction Measurements of Powders Using Instrumented Die. Powder Metall. 2001, 44, 25–33. [Google Scholar] [CrossRef]
  5. Brandt, J.; Nilsson, L. A Constitutive Model for Compaction of Granular Media, with Account for Deformation Induced Anisotropy. Mech. Cohesive Frict. Mater. 1999, 4, 391–418. [Google Scholar] [CrossRef]
  6. Gurson, A.L. Continuum Theory of Ductile Rupture by Void Nucleation and Growth: Part I—Yield Criteria and Flow Rules for Porous Ductile Media. J. Eng. Mater. Technol. 1977, 99, 2–15. [Google Scholar] [CrossRef]
  7. Häggblad, H.-Å. Constitutive model for powder materials. Powder Technol. 1991, 67, 127–136. [Google Scholar] [CrossRef]
  8. Zadeh, H.K.; Jeswiet, J.; Kim, I.Y.; Yong, I. Improvement in robustness and computational efficiency of material models for finite element analysis of metal powder compaction and experimental validation. Int. J. Adv. Manuf. Technol. 2013, 68, 1433–3015. [Google Scholar] [CrossRef]
  9. Hadadzadeh, A.; Whitney, M.A.; Wells, M.A.; Corbin, S.F. Analysis of compressibility behavior and development of a plastic yield model for uniaxial die compaction of sponge titanium powder. J. Mater. Process. Technol. 2017, 243, 92–99. [Google Scholar] [CrossRef]
  10. Han, L.H.; Elliott, J.; Best, S.; Cameron, R.; Bentham, A.C.; Mills, A.; Amidon, G.E.; Hancock, B.C. Numerical Simulation on Pharmaceutical Powder Compaction. Mater. Sci. Forum 2008, 575, 560–565. [Google Scholar] [CrossRef]
  11. Andersson, D.C.; Lindskog, P.; Larsson, P.-L. Inverse Modeling Applied for Material Characterization of Powder Materials. J. Test. Eval. 2015, 43, 1005–1019. [Google Scholar] [CrossRef]
  12. Bui, H.D.; Tanaka, M.; Bonnet, M.; Maigre, H.; Luzzato, E.; Reynier, M. Inverse Problems in Engineering Mechanics; A. A. Balkema: Rotterdam, The Netherlands, 1994. [Google Scholar]
  13. Andersson, D.C.; Lindskog, P.; Staf, H.; Larsson, P.-L. A Numerical Study of Material Parameter Sensitivity in the Production of Hard Metal Components Using Powder Compaction. J. Mater. Eng. Perform. 2014, 23, 2199–2208. [Google Scholar] [CrossRef]
  14. Wikman, B.; Bergman, G.; Oldenburg, M.; Häggblad, H.Å. Estimation of constitutive parameters for powder pressing by inverse modeling. Struct. Multidiscip. Optim. 2006, 31, 400–409. [Google Scholar] [CrossRef]
  15. Hrairi, M.; Chtourou, H.; Gakwaya, A.; Guillot, M. Modeling the powder compaction process using the finite element method and inverse optimization. Int. J. Adv. Manuf. Technol. 2011, 56, 631–647. [Google Scholar] [CrossRef]
  16. Samuelson, P.; Bolin, B. Experimental Studies of Frictional Behaviour of Hard Metal Powders Sliding on Cemented Carbide Walls. Scand. J. Metall. 1983, 12, 315–322. [Google Scholar]
  17. Strijbos, S. Powder-Wall Friction: The Effects of Orientation of Wall Grooves and Wall Lubricants. Powder Technol. 1977, 18, 209–214. [Google Scholar] [CrossRef]
  18. Wagner, J.G. The Frictional Behavior of Tungsten and Molybdenum Powders Sliding on Die Materials. Powder Technol. 1983, 35, 47–50. [Google Scholar] [CrossRef]
  19. Lindskog, P.; Andersson, D.C.; Larsson, P.-L. An Experimental Device for Material Characterization of Powder Materials. J. Test. Eval. 2013, 41, 504–516. [Google Scholar] [CrossRef]
  20. Staf, H.; Andersson, D.C.; Lindskog, P.; Larsson, P.-L. On the Influence of Material Parameters in a Complex Material Model for Powder Compaction. J. Mater. Eng. Perform. 2016, 25, 4408–4415. [Google Scholar] [CrossRef]
  21. Hallqvist, J.O. LS-Dyna Theory Manual; Livermore Software Technology Corporation: Livermore, CA, USA, 2006. [Google Scholar]
  22. LS-Dyna Keyword User’s Manual II, Material Models; Livermore Software Technology Corporation: Livermore, CA, USA, 2018.
  23. Tabor, D. Hardness of Metals; Cambridge University Press: Cambridge, UK, 1951. [Google Scholar]
  24. Johnson, K.L. The correlation of indentation experiments. J. Mech. Phys. Solids 1970, 18, 115–126. [Google Scholar] [CrossRef]
  25. Johnson, K.L. Contact Mechanics; Cambridge University Press: Cambridge, UK, 1985. [Google Scholar]
  26. Atkins, A.G.; Tabor, D. Plastic indentation in metals with cones. J. Mech. Phys. Solids 1965, 13, 149–164. [Google Scholar] [CrossRef]
  27. Laursen, T.A.; Simo, J.C. A study of the mechanics of microindentation using finite elements. J. Mater. Res. 1992, 7, 618–626. [Google Scholar] [CrossRef]
  28. Hehn, L.; Zheng, C.; Mecholsky, J.J.; Hubbard, C.R. Measurement of residual stresses in Al2O3/Ni laminated composites using an X-ray diffraction technique. J. Mater. Sci. 1995, 30, 1277–1282. [Google Scholar] [CrossRef]
  29. Rendler, N.J.; Vigness, I. Hole-drilling strain-gage method of measuring residual stresses. Exp. Mech. 1966, 6, 577–586. [Google Scholar] [CrossRef]
  30. Flavenot, J.F.; Lari, A.N. La mesure des contraintes résiduelles. Méthode de la flèche. Méthode de la source des contraintes, Application au grenaillage de précontrainte et à d’autres traitements superficiels. Mem. Techn. Cetim. 1977, 31, 6–42. [Google Scholar]
  31. Tronet, P.; Lecompte, T.; Picandet, V.; Baley, C. Study of Lime Hemp Composite Precasting by Compaction of Fresh Mix—An Instrumented Die to Measure Friction and Stress State. Powder Technol. 2014, 258, 285–296. [Google Scholar] [CrossRef]
  32. de Lima, R.P.; Keller, T. Impact of Sample Dimensions, Soil-Cylinder Wall Friction and Elastic Properties of Soil on Stress Field and Bulk Density in Uniaxial Compression Tests. Soil Tillage Res. 2019, 189, 15–24. [Google Scholar] [CrossRef]
  33. Desbois, L.; Tchorelof, P.; Mazel, V. Influence of the Punch Speed on the Die Wall/Powder Kinematic Friction during Tableting. J. Pharm. Sci. 2019, 108, 3359–3365. [Google Scholar] [CrossRef]
  34. Piotrowska, E.; Forquin, P.; Malecot, Y. Experimental Study of Static and Dynamic Behavior of Concrete under High Confinement: Effect of Coarse Aggregate Strength. Mech. Mater. 2016, 92, 164–174. [Google Scholar] [CrossRef]
Figure 1. Schematic of the instrumented die (white arrow pointing at the cavity). The eight sensors used to determine the radial (contact) pressure are shown. The inner radius of the die is 5 mm, and the outer radius is 50 mm. The height difference between the sensors is 2.5 mm. More details regarding the experimental setup are found in [19,20].
Figure 1. Schematic of the instrumented die (white arrow pointing at the cavity). The eight sensors used to determine the radial (contact) pressure are shown. The inner radius of the die is 5 mm, and the outer radius is 50 mm. The height difference between the sensors is 2.5 mm. More details regarding the experimental setup are found in [19,20].
Applsci 13 12296 g001
Figure 2. Experimental results pertinent to pressing with the instrumented die. Left graph: Pressing pressure, reaction pressure and radial pressure as function of pressing time. The pressures are recorded at sensors 8 and 4 (see Figure 1). It should be clearly stated that the contact pressure vanishes when the punch has passed the sensor. Right graph: Average frictional coefficient over the whole powder pillar as function of average normal (contact) pressure. The blue curve is pertinent to the experimental test results, while the grey curve is derived based on Equation (2).
Figure 2. Experimental results pertinent to pressing with the instrumented die. Left graph: Pressing pressure, reaction pressure and radial pressure as function of pressing time. The pressures are recorded at sensors 8 and 4 (see Figure 1). It should be clearly stated that the contact pressure vanishes when the punch has passed the sensor. Right graph: Average frictional coefficient over the whole powder pillar as function of average normal (contact) pressure. The blue curve is pertinent to the experimental test results, while the grey curve is derived based on Equation (2).
Applsci 13 12296 g002
Figure 3. Schematic related to the finite element analysis. The powder continuum is indicated in green colour. (Left): Powder compact before pressing (no residual stresses are assumed here). (Middle): Powder compact after pressing. (Right): Finite element discretization (mesh). A total of 1248 solid elements are used to model the powder material. Note that due to limitations in LS-Dyna, the cylinder is not modelled as axisymmetric. Instead, two symmetry planes are introduced in order to reduce computational time and cost.
Figure 3. Schematic related to the finite element analysis. The powder continuum is indicated in green colour. (Left): Powder compact before pressing (no residual stresses are assumed here). (Middle): Powder compact after pressing. (Right): Finite element discretization (mesh). A total of 1248 solid elements are used to model the powder material. Note that due to limitations in LS-Dyna, the cylinder is not modelled as axisymmetric. Instead, two symmetry planes are introduced in order to reduce computational time and cost.
Applsci 13 12296 g003
Figure 4. Results from the FE simulations. Results for the relative material density are shown, in which the sintered density is used for normalization. The results are taken from [3] but shown here for completeness. (Left): Results from simulations based on the frictional model presented in Equation (1). (Right): Results from simulations based on the frictional model presented in Equation (2).
Figure 4. Results from the FE simulations. Results for the relative material density are shown, in which the sintered density is used for normalization. The results are taken from [3] but shown here for completeness. (Left): Results from simulations based on the frictional model presented in Equation (1). (Right): Results from simulations based on the frictional model presented in Equation (2).
Applsci 13 12296 g004
Figure 5. Results from the FEM simulations. Results for the von Mises effective stress (MPa) are plotted at maximum pressing load. On the (left), results pertinent to the frictional model presented in Equation (1) are shown, and on the (right), results pertinent to the frictional model in Equation (2) are shown.
Figure 5. Results from the FEM simulations. Results for the von Mises effective stress (MPa) are plotted at maximum pressing load. On the (left), results pertinent to the frictional model presented in Equation (1) are shown, and on the (right), results pertinent to the frictional model in Equation (2) are shown.
Applsci 13 12296 g005
Figure 6. Results from the FEM simulations. Results for the first principal stress (MPa) are plotted at an average material relative density of 0.44 during pressing. On the (left), results pertinent to the frictional model presented in Equation (1) are shown, and on the (right), results pertinent to the frictional model in Equation (2) are shown.
Figure 6. Results from the FEM simulations. Results for the first principal stress (MPa) are plotted at an average material relative density of 0.44 during pressing. On the (left), results pertinent to the frictional model presented in Equation (1) are shown, and on the (right), results pertinent to the frictional model in Equation (2) are shown.
Applsci 13 12296 g006
Figure 7. Results from the FEM simulations. Results for the first principal stress (MPa) are plotted at an average material relative density of 0.51 during pressing. On the (left), results pertinent to the frictional model presented in Equation (1) are shown, and on the (right), results pertinent to the frictional model in Equation (2) are shown.
Figure 7. Results from the FEM simulations. Results for the first principal stress (MPa) are plotted at an average material relative density of 0.51 during pressing. On the (left), results pertinent to the frictional model presented in Equation (1) are shown, and on the (right), results pertinent to the frictional model in Equation (2) are shown.
Applsci 13 12296 g007
Figure 8. Results from the FEM simulations. Results for the maximum first principal stress (MPa) are plotted during unloading as a function of time t (seconds). Note that t = 0 represents the start of unloading and that at t = 0.016, the upper punch loses contact with the material.
Figure 8. Results from the FEM simulations. Results for the maximum first principal stress (MPa) are plotted during unloading as a function of time t (seconds). Note that t = 0 represents the start of unloading and that at t = 0.016, the upper punch loses contact with the material.
Applsci 13 12296 g008
Table 1. Parameter values in Equation (2).
Table 1. Parameter values in Equation (2).
a1 [−]a2 (MPa−1)a3 [−]a4 (MPa)a5 [−]
−0.0360.480.490.300.33
Disclaimer/Publisher’s Note: The statements, opinions and data contained in all publications are solely those of the individual author(s) and contributor(s) and not of MDPI and/or the editor(s). MDPI and/or the editor(s) disclaim responsibility for any injury to people or property resulting from any ideas, methods, instructions or products referred to in the content.

Share and Cite

MDPI and ACS Style

Staf, H.; Larsson, P.-L. An Analysis of the Stress State in Powder Compacts during Unloading, Emphasizing the Influence from Different Frictional Models. Appl. Sci. 2023, 13, 12296. https://doi.org/10.3390/app132212296

AMA Style

Staf H, Larsson P-L. An Analysis of the Stress State in Powder Compacts during Unloading, Emphasizing the Influence from Different Frictional Models. Applied Sciences. 2023; 13(22):12296. https://doi.org/10.3390/app132212296

Chicago/Turabian Style

Staf, Hjalmar, and Per-Lennart Larsson. 2023. "An Analysis of the Stress State in Powder Compacts during Unloading, Emphasizing the Influence from Different Frictional Models" Applied Sciences 13, no. 22: 12296. https://doi.org/10.3390/app132212296

APA Style

Staf, H., & Larsson, P.-L. (2023). An Analysis of the Stress State in Powder Compacts during Unloading, Emphasizing the Influence from Different Frictional Models. Applied Sciences, 13(22), 12296. https://doi.org/10.3390/app132212296

Note that from the first issue of 2016, this journal uses article numbers instead of page numbers. See further details here.

Article Metrics

Back to TopTop