Modelling the Structure and Anisotropy of London Clay Using the SA_BRICK Model
Abstract
1. Introduction
Recent Developments in the Modelling of the Behaviour of London Clay
2. Development of the BRICK Model
2.1. Original BRICK Model Formulation
2.2. Continuous Developments of Constitutive Models Based on the BRICK Model Formulation
3. Developments of the SA_BRICK Model
3.1. Modelling of the Structure
3.2. Modelling of the Anisotropy
3.3. Implementation of the SA_BRICK MODEL in Finite Element Programs NAPgeo and PLAXIS
4. Validation of the SA_BRICK Model
4.1. Verification of the Modelling of Anisotropy
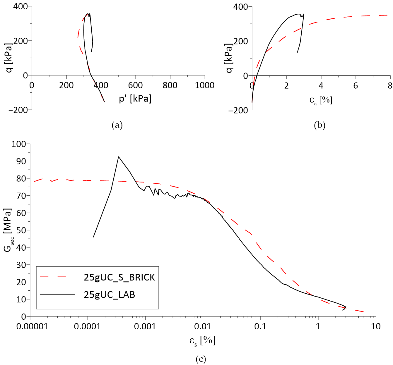
4.2. Calibration of the SA_BRICK Model against the Results of Laboratory Testing on the Samples of Natural London Clay
5. Analyses of the Settlement Trough
5.1. Modelling of the Excavation of the Jubilee Line Tunnels at St. James’s Park
5.2. Results and Interpretation of the Analyses
5.2.1. Modelling of the Excavation of the West Tube
5.2.2. Modelling of the Excavation of the East Tube
6. Discussion
7. Conclusions
Author Contributions
Funding
Institutional Review Board Statement
Informed Consent Statement
Data Availability Statement
Acknowledgments
Conflicts of Interest
References
- Simpson, B.; O’Riordan, N.; Croft, D.D. A computer model for the analysis of ground movements in London Clay. Géotechnique 1979, 29, 149–175. [Google Scholar] [CrossRef]
- Jardine, R.J.; Potts, D.; Fourie, A.; Burland, J.B. Studies of the influence of non-linear stress–strain characteristics in soil–structure interaction. Géotechnique 1986, 36, 377–396. [Google Scholar] [CrossRef]
- Mroz, Z.; Norris, V.; Zienkiewicz, O.C. An anisotropic hardening model for soils and its application to cyclic loading. Int. J. Numer. Anal. Methods Geomech. 1978, 2, 203–221. [Google Scholar] [CrossRef]
- Dafalias, Y.F. A bounding surface soil plasticity model. In Proceedings of the International Symposium on Soils under Cyclic and Transient Loading, Swansee, Wales, 7–11 January 1980; Volume 1, pp. 335–345. [Google Scholar]
- Al-Tabbaa, D.; Muir Wood, A. An experimental based ‘bubble’ model for clay. In Numerical Models in Geomechanics, Proceedings of the 3rd International Symposium, Niagra Falls, ONT, Canada, 8–11 May 1989; Pietruskzczak, A., Pande, G.N., Eds.; Elsevier: Amsterdam, The Netherlands, 1989; pp. 91–99. [Google Scholar]
- Atkinson, J.H.; Richardson, D.; Stallebrass, S.E. Effect of recent stress history on the stiffness of overconsolidated soil. Géotechnique 1990, 40, 531–540. [Google Scholar] [CrossRef]
- Stallebrass, S.E.; Taylor, R.N. The development and evaluation of a constitutive model for the prediction of ground movements in overconsolidated clay. Géotechnique 1997, 47, 235–253. [Google Scholar] [CrossRef]
- Simpson, B. Retaining structures: Displacement and design. Géotechnique 1992, 42, 541–576. [Google Scholar] [CrossRef]
- Cotecchia, F.; Chandler, R.J. A general framework for the mechanical behaviour of clays. Géotechnique 2000, 50, 431–447. [Google Scholar] [CrossRef]
- Leroueil, S.; Vaughan, P.R. The general and congruent effects of structure in natural soils and weak rocks. Géotechnique 1990, 40, 467–488. [Google Scholar] [CrossRef]
- Kavvadas, A.G.; Anagnostopoulos, M. A framework for the mechanical behaviour of structured soils. In Proceedings of the 2nd International Symposium on the Geotechnics of Hard Soils—Soft Rocks, Naples, Italy, 12–14 October 1998; pp. 603–614. [Google Scholar]
- Kavvadas, M.; Amorosi, A. A constitutive model for structured soils. Géotechnique 2000, 50, 263–273. [Google Scholar] [CrossRef]
- Baudet, B.; Stallebrass, S. A constitutive model for structured clays. Géotechnique 2004, 54, 269–278. [Google Scholar] [CrossRef]
- Gajo, A.; Muir Wood, D. A new approach to anisotropic, bounding surface plasticity: General formulation and simulations of natural and reconstituted clay behaviour. Int. J. Numer. Anal. methods Geomech. 2001, 25, 207–241. [Google Scholar] [CrossRef]
- Vukadin, V. Development of a Constitutive Material Model for Soft Rocks and Hard Soils. Ph.D. Thesis, University of Ljubljana, Ljubljana, Slovenia, 2004. [Google Scholar]
- Vukadin, V.; Jovičić, V. S_BRICK: A constitutive model for soils and soft rocks. Acta Geotech. Slov. 2018, 15, 16–37. [Google Scholar] [CrossRef]
- Ellison, K.C.; Soga, K.; Simpson, B. An examination of strain space versus stress space for the formulation of elastoplastic constitutive models. In Proceedings of the 7th European Conference on Numerical Methods in Geotechnical Engineering, Trondheim, Norway, 6 September 2010; pp. 33–38. [Google Scholar]
- Gasparre, A.; Nishimura, S.; Coop, M.; Jardine, R.J. The influence of structure on the behaviour of London Clay. Géotechnique 2007, 57, 19–31. [Google Scholar] [CrossRef]
- Brinkgreve, R.; Kumarswamy, S.; Swolfs, W.; Zampich, L.; Manoj, N.R. Plaxis Finite Element Code for Soil and Rock Analyses; Plaxis BV, Bentley Systems, Inc.: Philadelphia, PA, USA, 2019. [Google Scholar]
- Nyren, R.J.; Standing, J.; Burland, J.B. 25 Surface displacements at St James’s Park greenfield reference site above twin tunnels through the London Clay. In Building Response to Tunnelling; Thomas Telford Publishing: London, UK, 2001; pp. 387–400. [Google Scholar]
- Jardine, R.; Brosse, A.; Coop, M.; Kamal, R.H. Shear strength and stiffness anisotropy of geologically aged stiff clays. Adv. Soil Mech. Geotech. Eng. 2015, 6, 156–191. [Google Scholar]
- Fonseca, A.; Ferreira, C.; Soares, M.; Klar, A. Improved laboratory techniques for advanced geotechnical characterization towards matching in situ properties. Adv. Soil Mech. Geotech. Eng. 2015, 6, 231–263. [Google Scholar]
- Hasan, M.F.; Abuel-Naga, H.; Leong, E.-C. A modified series-parallel electrical resistivity model of saturated sand/clay mixture. Eng. Geol. 2021, 290, 106193. [Google Scholar] [CrossRef]
- Lu, L.; Li, S.; Gao, Y.; Ge, Y.; Zhang, Y. Analysis of the Characteristics and Cause Analysis of Soil Salt Space Based on the Basin Scale. Appl. Sci. 2022, 12, 9022. [Google Scholar] [CrossRef]
- Zhang, J.; Ji, M.; Jia, Y.; Miao, C.; Wang, C.; Zhao, Z.; Zheng, Y. Anisotropic Shear Strength Behavior of Soil–Geogrid Interfaces. Appl. Sci. 2021, 11, 11387. [Google Scholar] [CrossRef]
- Hight, D.W.; McMillan, F.; Powell, J.; Jardine, R.; Allenou, C.P. Some characteristics of London Clay. In Characterisation and Engineering Properties of Natural Soils; Tan, T.S., Phoon, K.K., Hight, D.W., Leroueil, S., Eds.; CRC Press: Boca Raton, FL, USA, 2003; pp. 851–907. [Google Scholar]
- Standing, J.R.; Burland, J.B. Unexpected tunnelling volume losses in the Westminster area, London. Géotechnique 2006, 56, 11–26. [Google Scholar] [CrossRef]
- Gasparre, A.; Nishimura, S.; Minh, N.; Coop, M.; Jardine, R.J. The stiffness of natural London Clay. Géotechnique 2007, 57, 33–47. [Google Scholar] [CrossRef]
- Atkinson, J.H. Anisotropic elastic deformations in laboratory tests on undisturbed London Clay. Géotechnique 1975, 25, 357–374. [Google Scholar] [CrossRef]
- Nishimura, S.; Jardine, R.; Minh, N.A. Shear strength anisotropy of natural London Clay. In Stiff Sedimentary Clays; Thomas Telford Ltd.: London, UK, 2011; pp. 97–110. [Google Scholar]
- Sorensen, K.K.; Baudet, B.; Simpson, B. Influence of strain rate and acceleration on the behaviour of reconstituted clays at small strains. Géotechnique 2010, 60, 751–763. [Google Scholar] [CrossRef]
- Yeow, H.-C.; Coop, M.R. The constitutive modelling of London Clay. Proc. Inst. Civ. Eng. Geotech. Eng. 2017, 170, 3–15. [Google Scholar] [CrossRef]
- Simpson, B.; Atkinson, J.; Jovičić, V. The influence of anisotropy on calculations of ground settlements above tunnels. In Geotechnical Aspects of Undrground Construction in Soft Ground; Mair, R., Taylor, J., Eds.; CRC Press: Boca Raton, FL, USA, 1996; pp. 591–594. [Google Scholar]
- Jovičić, V.; Coop, M.R. The Measurement of Stiffness Anisotropy in Clays with Bender Element Tests in the Triaxial Apparatus. Geotech. Test. J. 1998, 21, 3–10. [Google Scholar]
- Grammatikopoulou, A.; Zdravkovic, L.; Potts, D.M. The effect of the yield and plastic potential deviatoric surfaces on the failure height of an embankment. Géotechnique 2007, 57, 795–806. [Google Scholar] [CrossRef]
- Jovičić, V.; Coop, M.; Simpson, B. Interpretation and modelling of deformation characteristics of a stiff North Sea clay. Can. Geotech. J. 2006, 43, 341–354. [Google Scholar] [CrossRef]
- Lehane, M.; Simpson, B. Modelling glacial till under triaxial conditions using a BRICK soil model. Can. Geotech. J. 2000, 37, 1078–1088. [Google Scholar] [CrossRef]
- Clarke, S.; Hird, C. Modelling of viscous effects in natural clays. Can. Geotech. J. 2012, 49, 129–140. [Google Scholar] [CrossRef]
- Tuxworth, A. Recent Stress History Effects in Clays and Associated Improvements to the BRICK Model. Ph.D. Thesis, The University of Sheffield, Sheffield, UK, 2014. [Google Scholar]
- Cudny, M.; Partyka, E. Influence of anisotropic stiffness in numerical analyses of tunneling and excavation problems in stiff soils. In Proceedings of the 19th International Conference on Soil Mechanics and Geotechnical Engineering, Seoul, Korea, 17–22 September 2017; Lee, W., Lee, J.-S., Kim, H.-K., Kim, D.-S., Eds.; pp. 719–722. [Google Scholar]
- Cudny, M.; Truty, A. Refinement of the Hardening Soil model within the small strain range. Acta Geotech. 2020, 15, 2031–2051. [Google Scholar] [CrossRef]
- Wongsaroj, J.; Soga, K.; Yimsiri, S.; Mair, R.J. Stiffness anisotropy of London Clay and its modelling: Laboratory and Field. In Advances in Geotechnical Engineering: The Skempton Conference; ICE Library: London, UK, 2004; pp. 1205–1216. [Google Scholar]
- Love, A.E.H. A Treatise on the Mathematical Theory of Elasticity; Cambridge University Press: Cambridge, UK, 1927. [Google Scholar]
- Ellison, K.C.; Soga, K.; Simpson, B. A strain space soil model with evolving stiffness anisotropy. Géotechnique 2012, 62, 627–641. [Google Scholar] [CrossRef]
- Ellison, K.C. Constitutive Modelling of a Heavily Overconsolidated Clay. Ph.D. Thesis, University of Cambridge, Cambridge, UK, 2012. [Google Scholar]
- Vilhar, G.; Jurečič, N.; Jovičić, V. NAPgeo—Programsko orodje za implementacijo in uporabo novih konstitutivnih modelov za numerične analize z metodo končnih elementov. In Zbornik Radova 6. Posvetovanje Slovenskih Geotehnikov; Slovensko geotehniško društvo: Lipica, Slovenia, 2012; pp. 241–248. (In Slovenian) [Google Scholar]
- Gasparre, A. Advanced Laboratory Characterisation of London Clay. Ph.D. Thesis, Imperial College, London, UK, 2005. [Google Scholar]
- Nishimura, S. Laboratory Study on Anisotropy of Natural London Clay. Ph.D. Thesis, Imperial College London, London, UK, 2006. [Google Scholar]
- Burland, J.; Kalra, J. Queen Elizabeth II Conference Centre: Goetechnical Aspects. Proc. Inst. Civ. Eng. 1986, 80, 1479–1503. [Google Scholar] [CrossRef]
- Potts, D.M.; Zdravković, L. Finite Element Analysis in Geotechnical Engineering: Volume Two—Application; Thomas Telford Publishing: London, UK, 2001. [Google Scholar]
- Grammatikopoulou, A. Development, Implementation and Application of Kinematic Hardening Models for Overconsolidated Clays. Ph.D. Thesis, Imperial College London, London, UK, 2004. [Google Scholar]
- Jurečič, N.; Zdravković, L.; Jovičić, V. Predicting ground movements in London Clay. Proc. Inst. Civ. Eng. Geotech. Eng. 2013, 166, 466–482. [Google Scholar] [CrossRef]
- Fang, Y.; Cui, J.; Wanatowski, D.; Nikitas, N.; Yuan, R.; He, Y. Subsurface settlements of shield tunneling predicted by 2D and 3D constitutive models considering non-coaxiality and soil anisotropy: A case study. Can. Geotech. J. 2022, 59, 424–440. [Google Scholar] [CrossRef]
- Li, Y.; Zhang, W.; Zhang, R. Numerical investigation on performance of braced excavation considering soil stress-induced anisotropy. Acta Geotech. 2022, 17, 563–575. [Google Scholar] [CrossRef]
- Potts, D.M.; Addenbrooke, T. A structure’s influence on tunelling induced ground movements. Proc. Inst. Civ. Eng. Geotech. Eng. 1997, 125, 109–125. [Google Scholar] [CrossRef]
- Franzius, J.N.; Potts, D.; Burland, J.B. The influence of soil anisotropy and K 0 on ground surface movements resulting from tunnel excavation. Géotechnique 2005, 55, 189–199. [Google Scholar] [CrossRef]
- Mayne, P.W.; Kulhawy, F.H. K0–OCR relationships in soil. J. Geotech. Eng. Div. 1982, 108, 851–872. [Google Scholar] [CrossRef]
- Barratt, D.A.; Tyler, R.G. Measurements of Ground Movements and Lining Behaviour on the London Underground at Regent’s Park; TRRL Report 684; Transport and Road Research Laboratory: Crowthorne, UK, 1975. [Google Scholar]
- Dai, C.; Sui, H.; Ma, C. Study on the Ultimate Supporting Force of Shield Excavation Face Based on Anisotropic Strength Theory. Appl. Sci. 2020, 10, 5222. [Google Scholar] [CrossRef]
- Burland, J.B. Assesment of risk of damage to buildings due to tunneling and excavations. In Proceedings of the 1st International Conference on Earthquake Geotechnical Engineering, Tokyo, Japan, 14–16 November 1995; pp. 1189–1201. [Google Scholar]
- Peck, B.R. Deep Excavations and Tunneling in Soft Ground. In Proceedings of the 7th International Conference on Soil Mechanics and Foundation Engineering, Mexico City, Mexico, 29 August 1969; pp. 225–290. [Google Scholar]
- Lambe, T.W. Predictions in soil engineering. Géotechnique 1973, 23, 151–202. [Google Scholar] [CrossRef]
- Jurečič, N. Modeliranje Obnašanja Prekonsolidiranih in Strukturiranih Zemljin z Modeli s Kinematičnim Utrjevanjem. Ph.D. Thesis, University of Ljubljana, Ljubljana, Slovenia, 2013. (In Slovenian). [Google Scholar]
- Jurečič, N.; Vilhar, G.J.V. Comparative analysis of settlements of an embankment on Pappadai clay. In Proceedings of the 15th Danube—European Conference on Geotechnical Engineering, Vienna, Austria, 9–11 September 2014; pp. 711–717. [Google Scholar]

















| String Length | G/Gmax |
|---|---|
| 8.3 × 10−5 | 0.92 |
| 2.1 × 10−4 | 0.75 |
| 4.1 × 10−4 | 0.53 |
| 8.3 × 10−4 | 0.29 |
| 2.2 × 10−4 | 0.13 |
| 4.1 × 10−4 | 0.075 |
| 8.2 × 10−3 | 0.044 |
| 2.1 × 10−2 | 0.017 |
| 4.1 × 10−2 | 0.0035 |
| 8.0 × 10−2 | 0 |
| λ* = 0.1, κ* = 0.02, ι = 0.0041, υ = 0.2, βG = 4.0, βϕ = 4.0, n = 1 | |
| BRICK [8] | S_BRICK [15] | SA_BRICK This Study | |
|---|---|---|---|
| String lengths | |||
| State parameter | |||
| Stiffness parameter |
| Basic BRICK Parameters | ||||||||
|---|---|---|---|---|---|---|---|---|
| fSL | φ | ι | λ | κ | βG | βϕ | υ | μ |
| 0.8 | 20.5° | 0.0036 | 0.08 | 0.035 | 4 | 3 | 0.2 | 1.3 |
| Anisotropy Parameters (after [45]) | ||||||||
| Eh/Ev | Ghh/Gvh | υhh | ζ | |||||
| 3 | 2 | 0 | 0.04 | |||||
| Structure Parameters | ||||||||
| α | ω | |||||||
| 1.2 | 0.85 | |||||||
| Model | N | λ* | κ* | A | n | m | φ′ | Yp | Zp | R | α | ||
|---|---|---|---|---|---|---|---|---|---|---|---|---|---|
| M2-SKH Previous soft | 3.43 | 0.097 | 0.003 | 595 | 0.87 | 0.28 | 22.5° | 0.0 | 1 | 0.035 | 1 | ||
| M2-SKH New data | 3.43 | 0.097 | 0.003 | 240 | 0.87 | 0.28 | 22.5° | 0.0 | 1 | 0.015 | 3 | ||
| N | λ* | κ* | A | n | m | φ′ | Yp | Zp | T | S | α1 | α2 | |
| M3-SKH Previous soft | 3.43 | 0.097 | 0.003 | 595 | 0.87 | 0.28 | 22.5° | 0.0 | 1 | 0.2 | 0.0175 | 1 | 1 |
| M3-SKH New data | 3.43 | 0.097 | 0.003 | 240 | 0.87 | 0.28 | 22.5° | 0.0 | 1 | 0.2 | 0.075 | 0.8 | 3 |
| φ′ [°] | c′ [kPa] | E [kPa] | μ [−] | |
|---|---|---|---|---|
| Made Ground | 30 | 0.0 | 5000 | 0.3 |
| Terrace gravel | 35 | 0.0 | 40,000 | 0.2 |
Disclaimer/Publisher’s Note: The statements, opinions and data contained in all publications are solely those of the individual author(s) and contributor(s) and not of MDPI and/or the editor(s). MDPI and/or the editor(s) disclaim responsibility for any injury to people or property resulting from any ideas, methods, instructions or products referred to in the content. |
© 2023 by the authors. Licensee MDPI, Basel, Switzerland. This article is an open access article distributed under the terms and conditions of the Creative Commons Attribution (CC BY) license (https://creativecommons.org/licenses/by/4.0/).
Share and Cite
Jovičić, V.; Jurečič, N.; Vilhar, G. Modelling the Structure and Anisotropy of London Clay Using the SA_BRICK Model. Appl. Sci. 2023, 13, 880. https://doi.org/10.3390/app13020880
Jovičić V, Jurečič N, Vilhar G. Modelling the Structure and Anisotropy of London Clay Using the SA_BRICK Model. Applied Sciences. 2023; 13(2):880. https://doi.org/10.3390/app13020880
Chicago/Turabian StyleJovičić, Vojkan, Nina Jurečič, and Gregor Vilhar. 2023. "Modelling the Structure and Anisotropy of London Clay Using the SA_BRICK Model" Applied Sciences 13, no. 2: 880. https://doi.org/10.3390/app13020880
APA StyleJovičić, V., Jurečič, N., & Vilhar, G. (2023). Modelling the Structure and Anisotropy of London Clay Using the SA_BRICK Model. Applied Sciences, 13(2), 880. https://doi.org/10.3390/app13020880
