Evaluation of the Effect of Stearyl Alcohol and Span-60 Tuned Sunflower Wax/Sunflower Oil Oleogel on Butter Replacement in Whole Wheat Cake
Abstract
1. Introduction
2. Materials and Methods
2.1. Materials
2.2. Oleogel Preparation
2.3. Batter and Cake Preparation
2.4. Batter Studies
2.4.1. Color Analysis
2.4.2. Microstructure Analysis
2.4.3. Differential Scanning Calorimeter (DSC)
2.4.4. Impedance Analysis
2.4.5. FTIR Study
2.4.6. Stress Relaxation
2.5. Cake Analysis
2.5.1. Color Analysis
2.5.2. FTIR Study
2.5.3. Stress Relaxation
2.5.4. Textural Properties of Cake
2.5.5. Statistical Analysis
3. Results and Discussion
3.1. Batter Analysis
3.1.1. Color Evaluation
3.1.2. Microstructure Visualization
3.1.3. Impedance Study
3.1.4. Evaluation of Thermal Properties
3.1.5. FTIR Analysis
3.1.6. Stress Relaxation Studies
3.2. Cake Studies
3.2.1. Cake Crumb Structure
3.2.2. Color Evaluation
3.2.3. FTIR Study
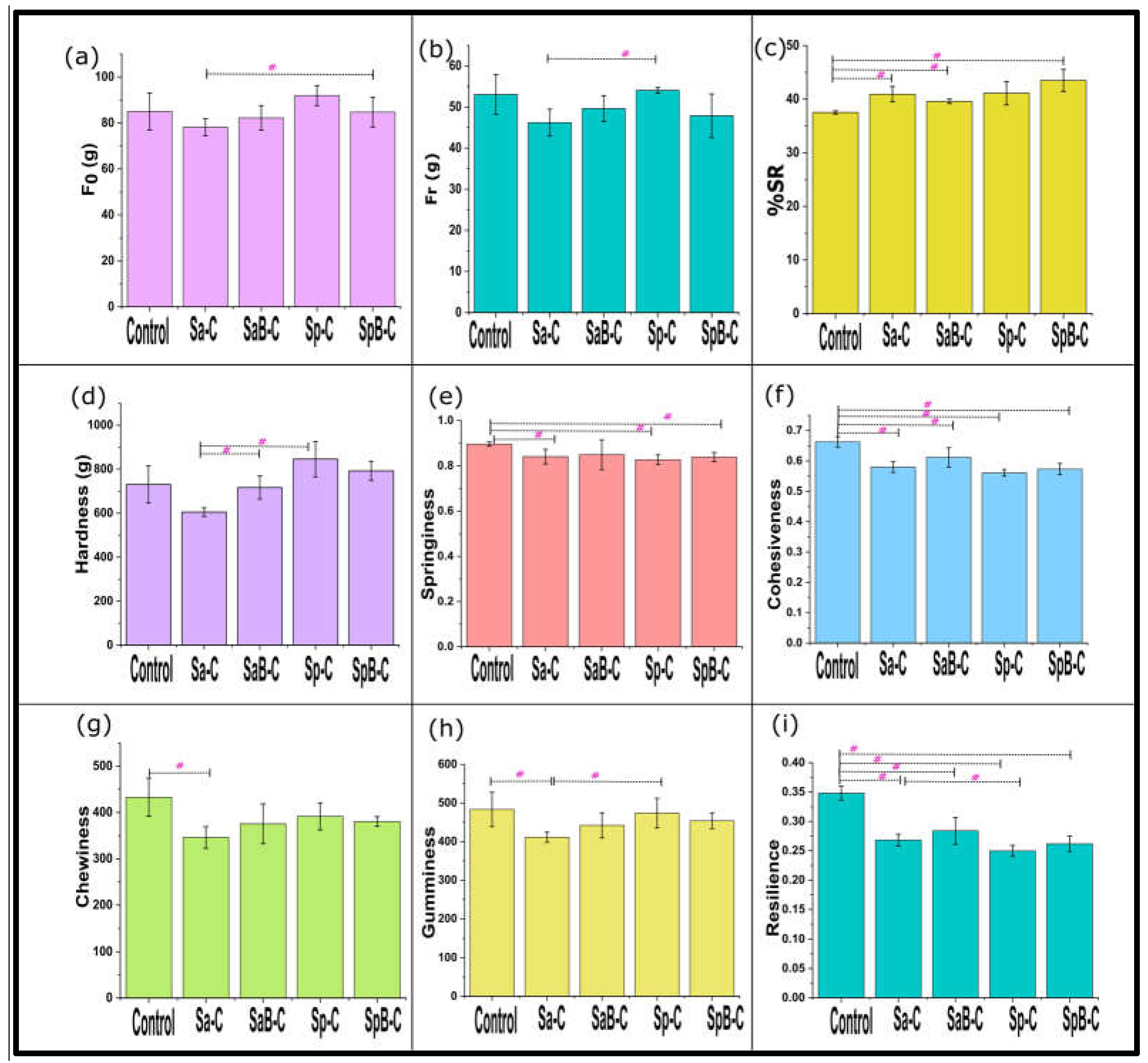
3.2.4. Texture Parameters of Cake
4. Conclusions
Author Contributions
Funding
Institutional Review Board Statement
Informed Consent Statement
Data Availability Statement
Conflicts of Interest
References
- Mattice, K.D.; Marangoni, A.G. Fat Crystallization and Structure in Bakery, Meat, and Cheese Systems. In Structure-Function Analysis of Edible Fats; Elsevier: Amsterdam, The Netherlands, 2019; pp. 287–311. ISBN 9780128140420. [Google Scholar]
- Chudy, S.M.; Cais-Sokolińska, D.; Tomaszewska-Gras, J. Physicochemical Characteristics and Consumers’ Preferences for Milk Fat Products. Appl. Sci. 2022, 12, 11986. [Google Scholar] [CrossRef]
- Chandan, R.C.; Kilara, A. Dairy Ingredients for Food Processing; Chandan, R.C., Kilara, A., Eds.; Wiley: Hoboken, NJ, USA, 2011; ISBN 9780813817460. [Google Scholar]
- Lourenço, M.; Ramos-Morales, E.; Wallace, R.J. The role of microbes in rumen lipolysis and biohydrogenation and their manipulation. Animal 2010, 4, 1008–1023. [Google Scholar] [CrossRef] [PubMed]
- DiNicolantonio, J.J.; Lucan, S.C.; O’Keefe, J.H. The Evidence for Saturated Fat and for Sugar Related to Coronary Heart Disease. Prog. Cardiovasc. Dis. 2016, 58, 464–472. [Google Scholar] [CrossRef] [PubMed]
- Jung, D.; Oh, I.; Lee, J.; Lee, S. Utilization of butter and oleogel blends in sweet pan bread for saturated fat reduction: Dough rheology and baking performance. LWT 2020, 125, 109194. [Google Scholar] [CrossRef]
- Kmiecik, D.; Fedko, M.; Siger, A.; Kowalczewski, P.Ł. Nutritional Quality and Oxidative Stability during Thermal Processing of Cold-Pressed Oil Blends with 5:1 Ratio of ω6/ω3 Fatty Acids. Foods 2022, 11, 1081. [Google Scholar] [CrossRef] [PubMed]
- Matheson, A.; Dalkas, G.; Clegg, P.S.; Euston, S.R. Phytosterol-based edible oleogels: A novel way of replacing saturated fat in food. Nutr. Bull. 2018, 43, 189–194. [Google Scholar] [CrossRef]
- Abdolmaleki, K.; Alizadeh, L.; Nayebzadeh, K.; Baranowska, H.M.; Kowalczewski, P.Ł.; Mousavi Khaneghah, A.M. Potential Application of Hydrocolloid-Based Oleogel and Beeswax Oleogel as Partial Substitutes of Solid Fat in Margarine. Appl. Sci. 2022, 12, 12136. [Google Scholar] [CrossRef]
- Zulim Botega, D.C.; Marangoni, A.G.; Smith, A.K.; Goff, H.D. The Potential Application of Rice Bran Wax Oleogel to Replace Solid Fat and Enhance Unsaturated Fat Content in Ice Cream. J. Food Sci. 2013, 78, C1334–C1339. [Google Scholar] [CrossRef]
- Oh, I.K.; Amoah, C.; Lim, J.; Jeong, S.; Lee, S. Assessing the effectiveness of wax-based sunflower oil oleogels in cakes as a shortening replacer. LWT 2017, 86, 430–437. [Google Scholar] [CrossRef]
- Tavernier, I.; Doan, C.D.; Van der Meeren, P.; Heyman, B.; Dewettinck, K. The Potential of Waxes to Alter the Microstructural Properties of Emulsion-Templated Oleogels. Eur. J. Lipid Sci. Technol. 2018, 120, 1700393. [Google Scholar] [CrossRef]
- Gutiérrez-luna, K.; Ansorena, D.; Astiasarán, I. Use of hydrocolloids and vegetable oils for the formulation of a butter replacer: Optimization and oxidative stability. LWT 2022, 153, 112538. [Google Scholar] [CrossRef]
- Oancea, S.; Mohiuddin, A.K. Selected Evidence-Based Health Benefits of Topically Applied Sunflower Oil. Appl. Sci. Reports 2015, 10, 45–49. [Google Scholar] [CrossRef]
- Li, S.; Zhu, L.; Wu, G.; Jin, Q.; Wang, X.; Zhang, H. Relationship between the microstructure and physical properties of emulsifier based oleogels and cookies quality. Food Chem. 2022, 377, 131966. [Google Scholar] [CrossRef] [PubMed]
- Du, L.; Jiang, Q.; Li, S.; Zhou, Q.; Tan, Y.; Meng, Z. Microstructure evolution and partial coalescence in the whipping process of oleofoams stabilized by monoglycerides. Food Hydrocoll. 2021, 112, 106245. [Google Scholar] [CrossRef]
- Seyhun, N.; Sumnu, G.; Sahin, S. Effects of different emulsifier types, fat contents, and gum types on retardation of staling of microwave-baked cakes. Nahrung/Food 2003, 47, 248–251. [Google Scholar] [CrossRef]
- Valoppi, F.; Calligaris, S.; Marangoni, A.G. Stearyl Alcohol Oleogels. In Edible Oleogels; Elsevier: Amsterdam, The Netherlands, 2018; pp. 219–234. [Google Scholar]
- Jain, A.; Pradhan, B.K.; Mahapatra, P.; Ray, S.S.; Chakravarty, S.; Pal, K. Development of a low-cost food color monitoring system. Color Res. Appl. 2021, 46, 430–445. [Google Scholar] [CrossRef]
- Goranova, Z.; Marudova, M.; Baeva, M. Influence of functional ingredients on starch gelatinization in sponge cake batter. Food Chem. 2019, 297, 124997. [Google Scholar] [CrossRef]
- Moghtadaei, M.; Soltanizadeh, N.; Goli, S.A.H. Production of sesame oil oleogels based on beeswax and application as partial substitutes of animal fat in beef burger. Food Res. Int. 2018, 108, 368–377. [Google Scholar] [CrossRef]
- Yam, K.L.; Papadakis, S.E. A simple digital imaging method for measuring and analyzing color of food surfaces. J. Food Eng. 2004, 61, 137–142. [Google Scholar] [CrossRef]
- Jones, S.T.; Aryana, K.J.; Losso, J.N. Storage Stability of Lutein During Ripening of Cheddar Cheese. J. Dairy Sci. 2005, 88, 1661–1670. [Google Scholar] [CrossRef]
- Menis-Henrique, M.E.C.; Janzantti, N.S.; Monteiro, M.; Conti-Silva, A.C. Physical and sensory characteristics of cheese-flavored expanded snacks obtained using butyric acid and cysteine as aroma precursors: Effects of extrusion temperature and sunflower oil content. LWT 2020, 122, 109001. [Google Scholar] [CrossRef]
- Foucher, L.; Barroca, M.J.; Dulyanska, Y.; Correia, P.M.R.; Guiné, R.P.F. Development of Innovative Candied Chestnuts from Three Chestnut Cultivars Grown in Portugal. Foods 2022, 11, 917. [Google Scholar] [CrossRef] [PubMed]
- Mokrzycki, W.; Tatol, M. Color difference Delta E-A survey. Mach. Graph. Vis. 2011, 20, 383–411. [Google Scholar]
- Wilderjans, E.; Luyts, A.; Brijs, K.; Delcour, J.A. Ingredient functionality in batter type cake making. Trends Food Sci. Technol. 2013, 30, 6–15. [Google Scholar] [CrossRef]
- Belorio, M.; Sahagún, M.; Gómez, M. Psyllium as a Fat Replacer in Layer Cakes: Batter Characteristics and Cake Quality. Food Bioprocess Technol. 2019, 12, 2085–2092. [Google Scholar] [CrossRef]
- Kim, J.-M.; Shin, M. Effects of particle size distributions of rice flour on the quality of gluten-free rice cupcakes. LWT-Food Sci. Technol. 2014, 59, 526–532. [Google Scholar] [CrossRef]
- Sucipto, S.; Djatna, T.; Irzaman, I.; I, T.T.; Fauzi, A.M. Application of Electrical Properties to Differentiate Lard from Tallow and Palm Oil. Media Peternak. 2013, 36, 32–39. [Google Scholar] [CrossRef]
- Sakiyan, O.; Sumnu, G.; Sahin, S.; Meda, V.; Koksel, H.; Chang, P. A Study on Degree of Starch Gelatinization in Cakes Baked in Three Different Ovens. Food Bioprocess Technol. 2011, 4, 1237–1244. [Google Scholar] [CrossRef]
- Biliaderis, C.G.; Page, C.M.; Slade, L.; Sirett, R.R. Thermal behavior of amylose-lipid complexes. Carbohydr. Polym. 1985, 5, 367–389. [Google Scholar] [CrossRef]
- Wang, S.; Chao, C.; Cai, J.; Niu, B.; Copeland, L.; Wang, S. Starch–lipid and starch–lipid–protein complexes: A comprehensive review. Compr. Rev. Food Sci. Food Saf. 2020, 19, 1056–1079. [Google Scholar] [CrossRef]
- Kim, C.-S. The Role of Ingredients and Thermal Setting in High-Ratio Layer Cake Sytems. J. Korean Soc. Food Sci. Nutr. 1994, 23, 520–529. [Google Scholar]
- Alvarez-Ramirez, J.; Vernon-Carter, E.J.; Carrera-Tarela, Y.; Garcia, A.; Roldan-Cruz, C. Effects of candelilla wax/canola oil oleogel on the rheology, texture, thermal properties and in vitro starch digestibility of wheat sponge cake bread. LWT 2020, 130, 109701. [Google Scholar] [CrossRef]
- Sivam, A.S.; Sun-Waterhouse, D.; Perera, C.O.; Waterhouse, G.I.N. Exploring the interactions between blackcurrant polyphenols, pectin and wheat biopolymers in model breads; a FTIR and HPLC investigation. Food Chem. 2012, 131, 802–810. [Google Scholar] [CrossRef]
- Hesso, N.; Marti, A.; Le-Bail, P.; Loisel, C.; Chevallier, S.; Le-Bail, A.; Seetharaman, K. Conformational changes of polymers in model batter systems. Food Hydrocoll. 2015, 51, 101–107. [Google Scholar] [CrossRef]
- Singh, H.; Rockall, A.; Martin, C.R.; Chung, O.K.; Lookhart, G.L. The analysis of stress relaxation data of some viscoelastic foods using a texture analyzer. J. Texture Stud. 2006, 37, 383–392. [Google Scholar] [CrossRef]
- Qureshi, D.; Nadikoppula, A.; Mohanty, B.; Anis, A.; Cerqueira, M.; Varshney, M.; Pal, K. Effect of carboxylated carbon nanotubes on physicochemical and drug release properties of oleogels. Colloids Surfaces A Physicochem. Eng. Asp. 2021, 610, 125695. [Google Scholar] [CrossRef]
- Uvanesh, K.; Sagiri, S.S.; Banerjee, I.; Shaikh, H.; Pramanik, K.; Anis, A.; Pal, K. Effect of Tween 20 on the Properties of Stearate Oleogels: An in-Depth Analysis. J. Am. Oil Chem. Soc. 2016, 93, 711–719. [Google Scholar] [CrossRef]
- Painter, K.A. Functions and requirements of fats and emulsifiers in prepared cake mixes. J. Am. Oil Chem. Soc. 1981, 58, 92–95. [Google Scholar] [CrossRef]
- Hesso, N.; Garnier, C.; Loisel, C.; Chevallier, S.; Bouchet, B.; Le-Bail, A. Formulation effect study on batter and cake microstructure: Correlation with rheology and texture. Food Struct. 2015, 5, 31–41. [Google Scholar] [CrossRef]
- Aydeniz Guneser, B.; Yılmaz, E.; Uslu, E.K. Sunflower Oil–Beeswax Oleogels Are Promising Frying Medium for Potato Strips. Eur. J. Lipid Sci. Technol. 2021, 123, 2100063. [Google Scholar] [CrossRef]
- Tomás, D.; Rodrigues, J.C.; Viegas, W.; Silva, M. Assessment of High Temperature Effects on Grain Yield and Composition in Bread Wheat Commercial Varieties. Agronomy 2020, 10, 499. [Google Scholar] [CrossRef]
- Zhang, K.; Yang, X.; Zhang, G.; Zhang, Y. Retrogradation of green wheat cake prepared from green wheat flour and peeled mung bean flour. J. Food Meas. Charact. 2021, 15, 923–932. [Google Scholar] [CrossRef]
- Nhouchi, Z.; Karoui, R. Application of Fourier-transform mid infrared spectroscopy for the monitoring of pound cakes quality during storage. Food Chem. 2018, 252, 327–334. [Google Scholar] [CrossRef] [PubMed]
- Zheng, Y.; Guo, Z.; Zheng, B.; Zeng, S.; Zeng, H. Insight into the formation mechanism of lotus seed starch-lecithin complexes by dynamic high-pressure homogenization. Food Chem. 2020, 315, 126245. [Google Scholar] [CrossRef]
- Wang, Z.; Yan, J.; Ma, S.; Tian, X.; Sun, B.; Huang, J.; Li, L.; Wang, X.; Bao, Q. Effect of wheat bran dietary fiber on structural properties of wheat starch after synergistic fermentation of Lactobacillus plantarum and Saccharomyces cerevisiae. Int. J. Biol. Macromol. 2021, 190, 86–92. [Google Scholar] [CrossRef]
- Qin, W.; Wen, C.; Zhang, J.; Dzah, C.S.; Zhang, H.; He, Y.; Duan, Y. Structural characterization and physicochemical properties of arrowhead resistant starch prepared by different methods. Int. J. Biol. Macromol. 2020, 157, 96–105. [Google Scholar] [CrossRef]
- Salehi, F.; Kashaninejad, M. Texture profile analysis and stress relaxation characteristics of quince sponge cake. J. Food Meas. Charact. 2018, 12, 1203–1210. [Google Scholar] [CrossRef]
- Karaoğlu, M.M.; Kotancilar, H.G. Quality and textural behaviour of par-baked and rebaked cake during prolonged storage. Int. J. Food Sci. Technol. 2009, 44, 93–99. [Google Scholar] [CrossRef]
- Fu, Y.; Zhao, R.; Zhang, L.; Bi, Y.; Zhang, H.; Chen, C. Influence of acylglycerol emulsifier structure and composition on the function of shortening in layer cake. Food Chem. 2018, 249, 213–221. [Google Scholar] [CrossRef]
- Tan, M.C.; Chin, N.L.; Yusof, Y.A.; Taip, F.S.; Abdullah, J. Improvement of Eggless Cake Structure Using Ultrasonically Treated Whey Protein. Food Bioprocess Technol. 2015, 8, 605–614. [Google Scholar] [CrossRef]
- Shao, Y.-Y.; Lin, K.-H.; Chen, Y.-H. Batter and Product Quality of Eggless Cakes Made of Different Types of Flours and Gums. J. Food Process. Preserv. 2015, 39, 2959–2968. [Google Scholar] [CrossRef]









| Sample * | Wheat Flour | Sugar | Butter | Oleogel | Yeast | Milk Powder | Water |
|---|---|---|---|---|---|---|---|
| Control | 280 | 120 | 60 | 0 | 5 | 10 | 250 |
| Sa-C | 280 | 120 | 0 | 60 | 5 | 10 | 250 |
| SaB-C | 280 | 120 | 30 | 30 | 5 | 10 | 250 |
| Sp-C | 280 | 120 | 0 | 60 | 5 | 10 | 250 |
| SpB-C | 280 | 120 | 30 | 30 | 5 | 10 | 250 |
| Sample | Peak Temperature (°C) | Area under the Peak ∆H (J/g) |
|---|---|---|
| Control | 115.20 | 71.65 |
| Sa-C | 116.20 | 88.05 |
| SaB-C | 114.70 | 68.43 |
| Sp-C | 119.37 | 80.97 |
| SpB-C | 119.76 | 74.97 |
Disclaimer/Publisher’s Note: The statements, opinions and data contained in all publications are solely those of the individual author(s) and contributor(s) and not of MDPI and/or the editor(s). MDPI and/or the editor(s) disclaim responsibility for any injury to people or property resulting from any ideas, methods, instructions or products referred to in the content. |
© 2023 by the authors. Licensee MDPI, Basel, Switzerland. This article is an open access article distributed under the terms and conditions of the Creative Commons Attribution (CC BY) license (https://creativecommons.org/licenses/by/4.0/).
Share and Cite
Bharti, D.; Banerjee, I.; Makowska, A.; Jarzębski, M.; Kowalczewski, P.Ł.; Pal, K. Evaluation of the Effect of Stearyl Alcohol and Span-60 Tuned Sunflower Wax/Sunflower Oil Oleogel on Butter Replacement in Whole Wheat Cake. Appl. Sci. 2023, 13, 1063. https://doi.org/10.3390/app13021063
Bharti D, Banerjee I, Makowska A, Jarzębski M, Kowalczewski PŁ, Pal K. Evaluation of the Effect of Stearyl Alcohol and Span-60 Tuned Sunflower Wax/Sunflower Oil Oleogel on Butter Replacement in Whole Wheat Cake. Applied Sciences. 2023; 13(2):1063. https://doi.org/10.3390/app13021063
Chicago/Turabian StyleBharti, Deepti, Indranil Banerjee, Agnieszka Makowska, Maciej Jarzębski, Przemysław Łukasz Kowalczewski, and Kunal Pal. 2023. "Evaluation of the Effect of Stearyl Alcohol and Span-60 Tuned Sunflower Wax/Sunflower Oil Oleogel on Butter Replacement in Whole Wheat Cake" Applied Sciences 13, no. 2: 1063. https://doi.org/10.3390/app13021063
APA StyleBharti, D., Banerjee, I., Makowska, A., Jarzębski, M., Kowalczewski, P. Ł., & Pal, K. (2023). Evaluation of the Effect of Stearyl Alcohol and Span-60 Tuned Sunflower Wax/Sunflower Oil Oleogel on Butter Replacement in Whole Wheat Cake. Applied Sciences, 13(2), 1063. https://doi.org/10.3390/app13021063

