Pressure Model Study on Synchronous Grouting in Shield Tunnels Considering the Temporal Variation in Grout Viscosity
Abstract
:1. Introduction
2. Mathematical Model
2.1. Assumptions
- (1)
- The grout is regarded as a homogeneous and incompressible fluid following Darcy’s law.
- (2)
- No grout dilution and blockage occur during synchronous grouting.
- (3)
- The disturbance of groundwater is neglected.
- (4)
- The pressure dissipation induced by grout consolidation is neglected.
- (5)
- The grout pressure formed during the circumferential grout filling phase is assumed to be the initial value of the longitudinal filling and radial penetration diffusion phase.
2.2. Circumferential Grout Pressure Distribution
2.3. Radial Grout Pressure Dissipation
2.4. Longitudinal Grout Filling Pressure Dissipation
3. Case Analysis and Model Verification
3.1. Case Introduction
3.2. Model Calculation
3.3. Model Verification
4. Parameter Sensitivity Analysis
4.1. Circumferential Grout Filling Phase
4.1.1. Yield Shear Stress
4.1.2. Shield Tail Void Thickness b
4.1.3. Tunnel Radius R
4.2. Radial and Longitudinal Grout Diffusion Phase
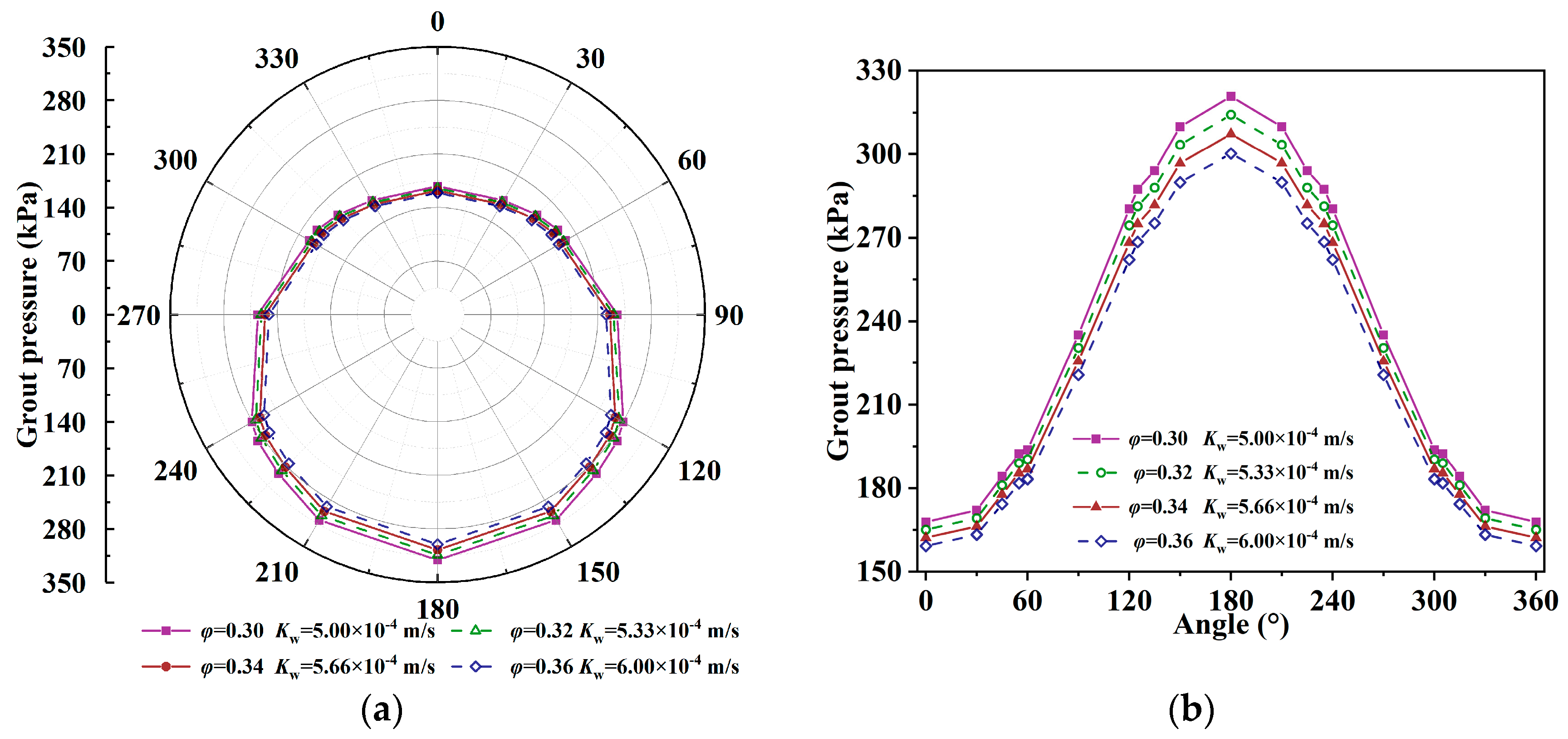
4.2.1. Porosity φ and Permeability Coefficient Kw
4.2.2. Time-Varying Coefficients of the Grout Viscosity
5. Conclusions
- (1)
- The temporal variation in grout viscosity has little effect on the grout pressure during the circumferential filling phase. In contrast, its effect is not negligible during the longitudinal and radial diffusion phases.
- (2)
- During the circumferential filling phase, the grout pressure decreases significantly with the increase in yield shear stress. When the thickness of the shield tail void is greater than 0.1 m, its effect on the grout pressure is limited.
- (3)
- The larger the radius of the tunnel, the more uneven the distribution of grout pressure. Increasing the number of grouting holes for constructing large-radius tunnels is a better way to control the uniform distribution of grout pressure.
- (4)
- The stratum with large porosity and permeability coefficient is conducive to grout diffusion. However, it is not conducive to the maintenance of grout pressure. The increase in the grout viscosity causes the reduction of the diffusion distance, which reduces the pressure loss in the grout flow process.
- (5)
- The research and development of grout materials should be combined with the characteristics of the injected stratum, considering the grout diffusion characteristics and the retention rate to optimize the grouting effect. In addition, the relationship between the grout properties and the permeability of the soil should be further studied.
Author Contributions
Funding
Institutional Review Board Statement
Informed Consent Statement
Data Availability Statement
Conflicts of Interest
References
- Liu, J.; Shi, C.; Lei, M.; Wang, Z.; Cao, C.; Lin, Y. A study on damage mechanism modelling of shield tunnel under unloading based on damage–plasticity model of concrete. Eng. Fail. Anal. 2021, 123, 105261. [Google Scholar] [CrossRef]
- Sun, H.; Liu, S.; Zhong, R.; Du, L. Cross-Section Deformation Analysis and Visualization of Shield Tunnel Based on Mobile Tunnel Monitoring System. Sensors 2020, 20, 1006. [Google Scholar] [CrossRef] [PubMed]
- Cheng, Z.-L.; Kannangara, K.K.P.M.; Su, L.-J.; Zhou, W.-H. Mathematical model for approximating shield tunneling-induced surface settlement via multi-gene genetic programming. Acta GeoTech. 2023, 18, 4923–4940. [Google Scholar] [CrossRef]
- Ding, Z.; Wei, X.J.; Wei, G. Prediction methods on tunnel-excavation induced surface settlement around adjacent building. Geomech. Eng. 2017, 12, 185–195. [Google Scholar] [CrossRef]
- Zou, J.F.; Zuo, S.Q. Similarity solution for the synchronous grouting of shield tunnel under the vertical non-axisymmetric displacement boundary condition. Adv. Appl. Math. Mech. 2017, 9, 205–232. [Google Scholar] [CrossRef]
- Shah, R.; Lavasan, A.; Peila, D.; Todaro, C.; Luciani, A.; Schanz, T. Numerical Study on Backfilling the Tail Void Using a Two-Component Grout. J. Mater. Civil. Eng. 2018, 30, 04018003. [Google Scholar] [CrossRef]
- Wang, R.; Xu, H.; Liu, Y.; Jiang, P.; Zhou, A.; Lv, Y. Study on the shear strength characteristics and source mechanism of early-age shield synchronous grouting materials. Acta GeoTech. 2023, 18, 3573–3583. [Google Scholar] [CrossRef]
- Oreste, P.; Sebastiani, D.; Spagnoli, G.; Lillis, A. Analysis of the behavior of the two-component grout around a tunnel segmental lining on the basis of experimental results and analytical approaches. Transp. GeoTech. 2021, 29, 100570. [Google Scholar] [CrossRef]
- Shao, X.; Yang, Z.; Jiang, Y.; Yang, X.; Qi, W. Field test and numerical study of the effect of shield tail-grouting parameters on surface settlement. Geomech. Eng. 2022, 29, 509–522. [Google Scholar]
- Ying, K.; Ye, F.; Li, Y.; Liang, X.; Su, E.; Han, X. Backfill grouting diffusion law of shield tunnel considering porous media with nonuniform porosity. Tunn. Undergr. Space Technol. 2022, 127, 104607. [Google Scholar] [CrossRef]
- Jin, Y.; Han, L.; Guo, H.; Yang, S.; Su, S.; Liu, Z.; Wang, S. Mechanical and macro-microscopic failure characteristics of grouted mudstone considering grout dehydration effect. Eng. Fail. Anal. 2022, 142, 106662. [Google Scholar] [CrossRef]
- Shi, P.; Zhang, D.; Pan, J.; Liu, W. Geological Investigation and Tunnel Excavation Aspects of the Weakness Zones of Xiang’an Subsea Tunnels in China. Rock Mech. Rock Eng. 2016, 49, 4853–4867. [Google Scholar] [CrossRef]
- Xu, Z.; Bu, Z.; Pan, D.; Li, D.; Zhang, Y. A novel numerical method for grouting simulation in flowing water considering uneven spatial and temporal distribution of slurry: Two-Fluid Tracking (TFT) method. Comput. GeoTech. 2022, 147, 104756. [Google Scholar] [CrossRef]
- Katebi, H.; Rezaei, A.H.; Hajialilue-Bonab, M.; Tarifard, A. Assessment the influence of ground stratification, tunnel and surface buildings specifications on shield tunnel lining loads (by FEM). Tunn. Undergr. Space Technol. 2015, 49, 67–78. [Google Scholar]
- Liu, X.; Chen, H.; Liu, Q.; Liu, B.; He, J. Modelling slurry flowing and analyzing grouting efficiency under hydro-mechanical coupling using numerical manifold method. Eng. Anal. Bound. Elem. 2021, 134, 66–78. [Google Scholar] [CrossRef]
- Yang, J.; Yin, Z.; Liu, Y.; Laouafa, F. Multiphysics modelling of backfill grouting in sandy soils during TBM tunnelling. Acta GeoTech. 2023, 18, 553–571. [Google Scholar] [CrossRef]
- Bezuijen, A.; te Grotenhuis, R.; van Tol, A.; Bosch, J.; Haasnoot, J. Analytical model for fracture grouting in sand. J. GeoTech. Geoenviron. 2011, 137, 611–620. [Google Scholar] [CrossRef]
- Amnieh, H.; Masoudi, M.; Karbala, M. Evaluating analytical and statistical models in order to estimate effective grouting pressure. Comput. Concr. 2017, 20, 275–282. [Google Scholar]
- Wang, C.; Diao, Y.; Guo, C.; Li, P.; Du, X.; Pan, Y. Two-stage column-hemispherical penetration diffusion model considering porosity tortuosity and time-dependent viscosity behavior. Acta. GeoTech. 2023, 18, 2661–2680. [Google Scholar] [CrossRef]
- Liang, Y.; Zhang, J.; Lai, Z.; Huang, Q.; Huang, L. Temporal and spatial distribution of the grout pressure and its effects on lining segments during synchronous grouting in shield tunnelling. Eur. J. Environ. Civ. Eng. 2017, 24, 79–96. [Google Scholar] [CrossRef]
- Liu, X.; Shen, S.; Xu, Y.; Zhou, A. Non-linear spring model for backfill grout-consolidation behind shield tunnel lining. Comput. GeoTech. 2021, 136, 104235. [Google Scholar] [CrossRef]
- Xia, Y.; Liu, B.; Zhang, C.; Liu, N.; Zhou, H.; Chen, J.; Tang, C.; Gao, Y.; Zhao, D.; Meng, Q. Investigations of mechanical and failure properties of 3D printed columnar jointed rock mass under true triaxial compression with one free face. Geomech. Geophys. Geo-Energy Geo-Resour. 2022, 8, 26. [Google Scholar] [CrossRef]
- Zhang, L.; Yu, R.; Zhang, Q.; Liu, R.; Feng, H.; Chu, Y. Permeation grouting diffusion mechanism of quick setting grout. Tunn. Undergr. Space Technol. 2022, 124, 104449. [Google Scholar] [CrossRef]
- Sharghi, M.; Chakeri, H.; Ozcelik, Y. Investigation into the effects of two component grout properties on surface settlements. Tunn. Undergr. Space Technol. 2017, 63, 205–216. [Google Scholar] [CrossRef]
- Tsukamoto, Y.; Ishihara, K.; Umeda, K.; Enomoto, T. Cyclic resistance of clean sand improved by silicate-based permeation grouting. Soils Found. 2006, 46, 233–245. [Google Scholar] [CrossRef]
- Zhou, Z.; Zang, H.; Wang, S.; Cai, X.; Du, X. Filtration-induced pressure evolution in permeation grouting. Struct. Eng. Mech. 2020, 75, 571–583. [Google Scholar]
- Fu, Y.; Wang, X.; Zhang, S.; Yang, Y. Modelling of permeation grouting considering grout self-gravity effect: Theoretical and experimental study. Adv. Mater. Sci. Eng. 2019, 2019, 7968240. [Google Scholar] [CrossRef]
- Zou, L.; Hakansson, U.; Cvetkovic, V. Radial propagation of yield-power-law grouts into water-saturated homogeneous fractures. Int. J. Rock Mech. Min. Sci. 2020, 130, 104308. [Google Scholar] [CrossRef]
- Zou, L.; Hakansson, U.; Cvetkovic, V. Two-phase cement grout propagation in homogeneous water-saturated rock fractures. Int. J. Rock. Mech. Min. Sci. 2018, 106, 243–249. [Google Scholar] [CrossRef]
- Ding, Z.; He, S.; Zhou, W.; Xu, T.; He, S.; Zhang, X. Analysis of ground deformation induced by shield tunneling considering the effects of muck discharge and grouting. Transpace GeoTech. 2021, 30, 100629. [Google Scholar] [CrossRef]
- Liu, J.; Li, P.; Shi, L.; Fan, J.; Kou, X.; Huang, D. Spatial distribution model of the filling and diffusion pressure of synchronous grouting in a quasi-rectangular shield and its experimental verification. Undergr. Space 2021, 6, 650–664. [Google Scholar] [CrossRef]
- Li, P.; Liu, J.; Shi, L.; Zhai, Y.; Huang, D.; Fan, J. A semi-elliptical surface compound diffusion model for synchronous grouting filling stage in specially shaped shield tunnelling. Int. J. Numer. Anal. Met. 2021, 46, 272–296. [Google Scholar] [CrossRef]
- Liu, X.; Shen, S.; Xu, Y.; Zhou, A. A diffusion model for backfill grout behind shield tunnel lining. Int. J. Numer. Anal. Met. 2021, 45, 457–477. [Google Scholar] [CrossRef]
- Huang, S.; Zhang, T.; Cao, H. A Calculation Model of Grout Migration Height for Post-Grouting Technology. Appl. Sci. 2022, 12, 6327. [Google Scholar] [CrossRef]
- Wang, X.; Cheng, H.; Yao, Z.; Rong, C.; Huang, X.; Liu, X. Theoretical Research on Sand Penetration Grouting Based on Cylindrical Diffusion Model of Tortuous Tubes. Water 2022, 14, 1028. [Google Scholar] [CrossRef]
- Zeng, L.; Zhou, B.; Xie, X.; Zhao, Y.; Liu, H.; Zhang, Y.; Shahrour, I. A novel real-time monitoring system for the measurement of the annular grout thickness during simultaneous backfill grouting. Tunn. Undergr. Space Technol. 2020, 105, 103567. [Google Scholar] [CrossRef]
- Choo, H.; Jun, H.; Yoon, H. Porosity estimation of unsaturated soil using Brutsaert equation. Soil. Dyn. Earthq. Eng. 2018, 104, 33–39. [Google Scholar] [CrossRef]
- Ye, F.; Qin, N.; Han, X.; Liang, X.; Gao, X.; Ying, K. Displacement infiltration diffusion model of power-law grout as backfill grouting of a shield tunnel. Eur. J. Environ. Civ. Eng. 2020, 26, 1820–1833. [Google Scholar] [CrossRef]
- Zhou, M.; Fan, F.; Zheng, Z.; Ma, C. Modeling of Grouting Penetration in Porous Medium with Influence of Grain Distribution and Grout-Water Interaction. Processes 2022, 10, 77. [Google Scholar] [CrossRef]
- Bezuijen, A.; Talmon, A.; Kaalberg, F.; Plugge, R. Field measurements of grout pressures during tunnelling of the sophia rail tunnel. Soils Found. 2004, 44, 39–48. [Google Scholar] [CrossRef]
- Stive, R.J.H. Design features of the Sophia Rail Tunnel in the Betuweroute. Tunn. Undergr. Space Technol. 1999, 14, 141–149. [Google Scholar] [CrossRef]
- Li, P.; Liu, J.; Shi, L.; Li, X.; Zhu, H.; Huang, D.; Kou, X. Two-phase analytical model of seepage during grout consolidation around shield tunnel considering the temporal variation in viscosity and the infiltration effect. Eur. J. Environ. Civ. Eng. 2022, 26, 4392–4415. [Google Scholar] [CrossRef]
- Zhang, C.; Cai, Y.; Zhu, W. Numerical Study and Field Monitoring of the Ground Deformation Induced by Large Slurry Shield Tunnelling in Sandy Cobble Ground. Adv. Civ. Eng. 2019, 2019, 4145721. [Google Scholar] [CrossRef]
- Tang, Q.; Chen, F.; Lei, M.; Zhu, B.; Peng, L. Study on the generalized displacement boundary and its analytical prediction for ground movements induced by shield tunneling. Adv. Civ. Eng. 2021, 2021, 8858874. [Google Scholar] [CrossRef]
- Lin, C.; Zhang, Z.; Wu, S.; Yu, F. Key techniques and important issues for slurry shield under-passing embankments: A case study of Hangzhou Qiantang River Tunnel. Tunn. Undergr. Space Technol. 2013, 38, 306–325. [Google Scholar] [CrossRef]
- Wang, S.; Wang, X.; Chen, B.; Fu, Y.; Jian, Y.; Lu, X. Critical state analysis of instability of shield tunnel segment lining. Tunn. Undergr. Space Technol. 2020, 96, 103180. [Google Scholar] [CrossRef]
- Wu, J.; Zhao, J.; Tan, Z.; Liu, X.; Wang, X.; Liu, M. Mechanical behavior of large-diameter adjacent shield tunnelling bridge piles: A case study of chunfeng tunnel. Appl. Sci. 2022, 12, 5418. [Google Scholar] [CrossRef]
- Feng, X.; Wang, P.; Liu, S.; Wei, H.; Miao, Y.; Bu, S. Mechanism and Law Analysis on Ground Settlement Caused by Shield Excavation of Small-Radius Curved Tunnel. Rock Mech. Rock Eng. 2022, 55, 3473–3488. [Google Scholar] [CrossRef]
- Zhu, G.; Zhang, Q.; Liu, R.; Bai, J.; Li, W.; Feng, X. Experimental and Numerical Study on the Permeation Grouting Diffusion Mechanism considering Filtration Effects. Geofluids 2021, 2021, 6613990. [Google Scholar] [CrossRef]
- Yang, Z.; Zhang, D.; Li, C.; Zhang, Z.; Zhu, Y.; Yang, Y.; He, N.; Bai, X.; Xi, W.; He, D.; et al. Column Penetration and Diffusion Mechanism of Bingham Fluid Considering Displacement Effect. Appl. Sci. 2022, 12, 5362. [Google Scholar] [CrossRef]
- Zhou, C.; Gao, W.; Cui, S.; Zhong, X.C.; Hu, C.J.; Chen, X. Ground settlement of high-permeability sand layer induced by shield tunneling: A case study under the guidance of DBN. Geofluids 2020, 2020, 6617468. [Google Scholar] [CrossRef]
- Yang, Z.; Hou, K.; Guo, T. Research on Time-varying Behavior of Cement Grouts of Different Water-cement Ratios. In Proceedings of the International Conference on Green Building, Materials and Civil Engineering (GBMCE 2011), Shangri-La, China, 22–23 August 2011; pp. 4398–4401. [Google Scholar]
- Wang, J.; Cao, A.; Wu, Z.; Wang, H.; Liu, X.; Li, H.; Sun, Y. Experiment and numerical simulation on grouting reinforcement parameters of ultra-shallow buried double-arch tunnel. Appl. Sci. 2021, 11, 10491. [Google Scholar] [CrossRef]














| Grouting Hole Locations | Grout Pressure (Pa) | θ Range (Rad) |
|---|---|---|
| Grouting Hole | Location (°) | Injection Pressure (MPa) |
|---|---|---|
| 1 | 0 | 0.2 |
| 2 | 55 | 0.23 |
| 3 | 125 | 0.34 |
| 4 | 180 | 0.37 |
| 5 | 235 | 0.34 |
| 6 | 305 | 0.23 |
| R1 (m) | R0 (m) | R (m) | b (m) | vd (m/s) | ρ (kg/m3) | τ0 (Pa) | (%) |
|---|---|---|---|---|---|---|---|
| 4.725 | 4.885 | 4.805 | 0.16 | 0.00072 | 2190 | 100 | 190 |
| θ/° | D/cm | Rs/m | ΔP/kPa | |
|---|---|---|---|---|
| Considering temporal variation in grout viscosity | 0 | 27.7 | 5.00 | 27.2 |
| 90 | 30.4 | 5.03 | 41.2 | |
| 180 | 31.0 | 5.04 | 44.3 | |
| Ignoring temporal variation in grout viscosity | 0 | 33.2 | 5.06 | 46.8 |
| 90 | 36.4 | 5.09 | 66.0 | |
| 180 | 37.0 | 5.10 | 70.1 |
Disclaimer/Publisher’s Note: The statements, opinions and data contained in all publications are solely those of the individual author(s) and contributor(s) and not of MDPI and/or the editor(s). MDPI and/or the editor(s) disclaim responsibility for any injury to people or property resulting from any ideas, methods, instructions or products referred to in the content. |
© 2023 by the authors. Licensee MDPI, Basel, Switzerland. This article is an open access article distributed under the terms and conditions of the Creative Commons Attribution (CC BY) license (https://creativecommons.org/licenses/by/4.0/).
Share and Cite
Ma, J.; Sun, A.; Jiang, A.; Guo, N.; Liu, X.; Song, J.; Liu, T. Pressure Model Study on Synchronous Grouting in Shield Tunnels Considering the Temporal Variation in Grout Viscosity. Appl. Sci. 2023, 13, 10437. https://doi.org/10.3390/app131810437
Ma J, Sun A, Jiang A, Guo N, Liu X, Song J, Liu T. Pressure Model Study on Synchronous Grouting in Shield Tunnels Considering the Temporal Variation in Grout Viscosity. Applied Sciences. 2023; 13(18):10437. https://doi.org/10.3390/app131810437
Chicago/Turabian StyleMa, Jun, Ao Sun, Annan Jiang, Naisheng Guo, Xiang Liu, Jinliang Song, and Tiexin Liu. 2023. "Pressure Model Study on Synchronous Grouting in Shield Tunnels Considering the Temporal Variation in Grout Viscosity" Applied Sciences 13, no. 18: 10437. https://doi.org/10.3390/app131810437
APA StyleMa, J., Sun, A., Jiang, A., Guo, N., Liu, X., Song, J., & Liu, T. (2023). Pressure Model Study on Synchronous Grouting in Shield Tunnels Considering the Temporal Variation in Grout Viscosity. Applied Sciences, 13(18), 10437. https://doi.org/10.3390/app131810437

