Investigation on Hydraulic Fracturing and Flexible Anti-Hydrofracturing Solution for Xiaowan Arch Dam
Abstract
:1. Introduction
2. Hydraulic Fracturing Test
2.1. Specimen
2.2. Procedure
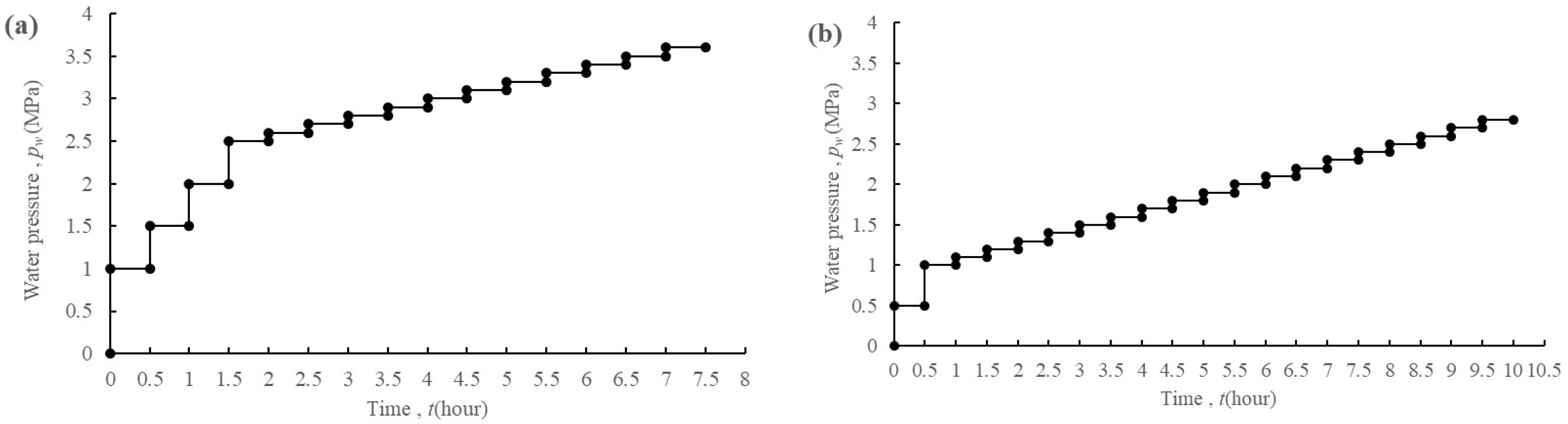
2.3. Results and Analysis
3. Flexible Anti-Hydrofracturing Solution
3.1. Laboratory Test
3.1.1. Model
3.1.2. Materials
3.1.3. Schemes
3.1.4. Results and Analysis
3.2. Onsite Scheme Construction
3.2.1. Test
3.2.2. Application
4. Conclusions
- (a)
- The Xiaowan arch dam poses a hydraulic fracturing risk, prompting the proposal of an independent anti-hydrofracturing system for the upstream area, extending 30 m above the foundation.
- (b)
- Three simulation-tested schemes, namely ‘3 mm GB plate + 4 mm polyurea’, ‘1 mm GB glue + 5 mm polyurea’, and ‘7 mm polyurea’, are suggested. These schemes prove safe for dam surface cracks up to 8 mm wide under 3 MPa water pressure.
- (c)
- The feasibility of the schemes is assessed through field tests, selecting a scheme involving pasting a 3-millimter GB plate and spraying 4-millimeter polyurea on the upstream surface, along with local 7-millimeter polyurea spraying.
- (d)
- The recommended anti-hydrofracturing scheme has been applied to a 19,339 m2 surface area of the Xiaowan arch dam from No. 7 to No. 36 dam sections. The maximum leakage post-2008 impoundment under normal water levels remains 2.78 L/s, the lowest among similar dams worldwide.
Author Contributions
Funding
Institutional Review Board Statement
Informed Consent Statement
Data Availability Statement
Conflicts of Interest
References
- Wang, Y.; Jia, J. Experimental study on the influence of hydraulic fracturing on high concrete gravity dams. Eng. Struct. 2017, 132, 508–517. [Google Scholar] [CrossRef]
- Wei, P.; Lin, P.; Peng, H.; Yang, Z.; Qiao, Y. Analysis of cracking mechanism of concrete galleries in a super high arch dam. Eng. Struct. 2021, 248, 113227. [Google Scholar] [CrossRef]
- Pan, X.; Wang, G.; Lu, W.; Yan, P.; Chen, M.; Gao, Z. The effects of initial stresses on nonlinear dynamic response of high arch dams subjected to far-field underwater explosion. Eng. Struct. 2022, 256, 114040. [Google Scholar] [CrossRef]
- Vul’fovich, N.A.; Potekhin, L.P. Control of Modes for Filling and Drawdown of the Reservoirs of the Sayano-Shushenskaya HPP Taking into Account the Stress and Strain State of the Dam. Power Technol. Eng. 2022, 56, 511–521. [Google Scholar] [CrossRef]
- Zhang, H.; Shen, Z.; Xu, L.; Gan, L.; Liu, D.; Wu, Q.; Tan, J.; Sun, Y.; Ma, Z. Experimental and theoretical investigation on hydraulic fracturing in cement mortar exposed to sulfate attack. Mater. Des. 2022, 223, 2. [Google Scholar] [CrossRef]
- Zheng, X.; Zhang, L.; Yang, J.; Du, S.; Wu, S.; Luo, S. Technical Challenges of Safety Emergency Drawdown for High Dam and Large Reservoir Project. Water 2023, 15, 1538. [Google Scholar] [CrossRef]
- Huang, Z.; Han, Z. A novel meshfree method for investigating the impact of transverse joints quality on Xiaowan arch dam model. Structures 2023, 53, 447–459. [Google Scholar] [CrossRef]
- Zhang, L.; Chen, Y.; Yang, B.; Chen, J.; Hu, C. A comprehensive testing method for global stability analysis of high arch dams. J. Rock Mech. Geotech. Eng. 2012, 4, 73–81. [Google Scholar] [CrossRef]
- Yang, B.; Zhang, L.; Chen, J.; Dong, J.; Hu, C. Experimental study of 3D geomechanical model for global stability of Xiaowan high arch dam. Chin. J. Rock Mech. Eng. 2010, 29, 2086–2093. (In Chinese) [Google Scholar]
- Yang, B.Q.; Zhang, L.; Hu, C.Q.; Chen, J.Y. Study on Influence of Dam Foundation Shallow Unloading and Stability of High Arch Dam with Complicated Rock Foundation. J. Sichuan Univ. (Eng. Sci. Ed.) 2011, 43, 71–76. (In Chinese) [Google Scholar]
- Lin, P.; Wang, R.K.; Kang, S.Z.; Zhang, H.C.; Zhou, W.Y. Key problems of foundation failure, reinforcement and stability for superhigh arch dams. Chin. J. Rock Mech. Eng. 2011, 30, 1945–1958. (In Chinese) [Google Scholar]
- Lin, P.; Zhou, W.; Liu, H. Experimental Study on Cracking, Reinforcement, and Overall Stability of the Xiaowan Super-High Arch Dam. Rock Mech. Rock Eng. 2015, 48, 819–841. [Google Scholar] [CrossRef]
- Jia, J.; Zou, L.; Zheng, C.; Xue, Z. A comprehensive shape optimization program for high arch dams. Hydropower Dams 2011, 18, 34–38. [Google Scholar]
- Zhou, Y.; Chen, G.; Yin, X.; Zhang, C.H. Cracking analysis of high arch dam heel by engineering analogical method. J. Hydroelectr. Eng. 2001, 20, 19–25. (In Chinese) [Google Scholar]
- Feng, J.; Wei, H.; Pan, J.; Jian, Y.; Wang, J.; Zhang, C. Comparative study procedure for the safety evaluation of high arch dams. Comput. Geotech. 2011, 38, 306–317. [Google Scholar] [CrossRef]
- He, X.; Ma, H.; Zhang, L.; Chen, J.Y. Study of test method of geomechanical model and temperature analogous model material. Chin. J. Rock Mech. Eng. 2009, 28, 980–986. (In Chinese) [Google Scholar]
- Zhou, Y.; Chen, S.; Zhou, H.; Fu, S. Back analysis on mechanical parameters of induced joints in arch dams. J. Hydraul. Eng. 2010, 41, 575–580. (In Chinese) [Google Scholar]
- Skokov, V.G. New technology of sealing unstable cracks and joints of concrete dams. Hydrotech. Constr. 1996, 30, 462–463. [Google Scholar] [CrossRef]
- Ma, C.; Gao, Z.; Yang, J.; Cheng, L.; Chen, L. Operation Performance and Seepage Flow of Impervious Body in Blast-Fill Dams Using Discrete Element Method and Measured Data. Water 2022, 14, 1443. [Google Scholar] [CrossRef]
- Hao, Y.; Guo, C.; Shi, M.; Wang, F.; Xia, Y.; Wang, C. Application of polymer split grouting technology in earthen dam: Diffusion law and applicability. Constr. Build Mater. 2023, 369, 2. [Google Scholar] [CrossRef]
- Scuero, A.; Vaschetti, G. Geomembrane sealing systems for dams: ICOLD Bulletin 135. Innov. Infrastruct. Solut. 2017, 2, 29. [Google Scholar] [CrossRef]
- Li, H.; Yi, Z.; Xie, Y. Progress of silane impregnating surface treatment technology of concrete structure. Mater. Rev. 2012, 26, 120–125. (In Chinese) [Google Scholar]
- Song, L.; Chen, T.; Wen, Y.; Xu, P.; Xia, H.; Chen, H. Preparation and properties of waterborne fluorinated polyacrylate coating for concrete anti-corrosion. Chem. Res. Appl. 2019, 31, 1209–1215. (In Chinese) [Google Scholar]
- Hao, J.; Huang, H. Prototype inspection on strain and temperature of a thin epoxy mortar plate for mending concrete structure. J. Hydraul. Eng. 2010, 41, 120–126. (In Chinese) [Google Scholar]
- Hao, J.; Ji, G.; Sun, Z.; Li, S.; Yue, Y.; Zhao, B. Retrospect and prospect of structural materials research in hydropower projects. J. China Inst. Water Resour. Hydropower Res. 2018, 16, 405–416. (In Chinese) [Google Scholar] [CrossRef]
- Jia, J.; Hao, J.; Yu, X.; Lv, X.; Fu, Y.; Chen, X. Development of waterstop around CFRD and new surface waterstop. Water Resour. Hydropower Eng. 1998, 29, 19–21. (In Chinese) [Google Scholar]
- Sun, Z.; Li, J.; Fei, X.; Xu, Y. A flexible flat-coating anti-water seepage structure for concrete face joints in cold area. Water Power 2019, 45, 50–53. (In Chinese) [Google Scholar]
- Ma, H.; Chi, F. Technical Progress on Researches for the Safety of High Concrete-Faced Rockfill Dams. Engineering 2016, 2, 332–339. [Google Scholar] [CrossRef]
- Zhu, B. On some important problems about concrete dams. Eng. Sci. 2006, 8, 21–29. (In Chinese) [Google Scholar]
- Giroud, J.P.; Zornberg, J.G.; Zhao, A. Hydraulic Design of Geosynthetic and Granular Liquid Collection Layers. Geosynth. Int. 2000, 7, 285–380. [Google Scholar] [CrossRef]
- Yan, S.; Huang, C.; Huang, X.; Wang, T.; Hao, W.; Sun, Y. Evaluation of seepage control effect of dam foundation during the first impoundment period of Udonde Hydropower Station. Yangtze River 2022, 53, 149–154. [Google Scholar]












| Arch Dam | The Safety Factor of Initiation Cracking in Dam Heel K1 | The Safety Factor of Crack Propagation K2 | The Safety Factor of Overall Instability K3 |
|---|---|---|---|
| Xiaowan | 1.1 | 2.0 | 3.5–4.0 |
| Ertan | 1.3 | 2.0 | 4.5–5.0 |
| Kölnbrein (before reinforcement) | 0.9 | 1.65 | 2.56 |
| Kölnbrein (after reinforcement) | 1.2 | 2.0 | 3.0 |
| Materials for One Cubic Concrete (kg) | Compressive Strength (MPa) | |||||||||
|---|---|---|---|---|---|---|---|---|---|---|
| Cement | Fly ash | Water | Sand | Stone | Water reducer | 7 d | 28 d | 90 d | 180 d | 365 d |
| 147 | 63 | 84 | 533 | 1688 | 1.05 | 28.5 | 40.3 | 50.5 | 55.3 | 57.6 |
| No. | Age (d) | Tensile Strength (MPa) | Vertical Stress (MPa) | Fracturing Water Pressure (MPa) |
|---|---|---|---|---|
| I-1 | 7 | 2.15 | 0 | 1.5 |
| I-2 | 28 | 3.20 | 0 | 2.4 |
| I-3 | 365 | 4.32 | 0 | 2.7 |
| II | 28 | 3.12 | −1.0 | 3.2 |
| III | 90 | 4.16 | 1.1 | 2.3 |
| Material | Tensile Strength at Break/MPa | Elongation at Break/% | |
|---|---|---|---|
| GB | 1.52 | - | 300 |
| Sprayable polyurea | 1.05 | 22 | 400 |
| Crack Width b/mm | The Elongation of Scheme 1 | The Elongation of Scheme 2 | The Elongation of Scheme 3 |
|---|---|---|---|
| 5 | 0.46 | 0.49 | 0.35 |
| 8 | 0.90 | 0.87 | 0.67 |
| 10 | 1.17 | 1.21 | 0.83 |
| 15 | 1.48 | 1.62 | 1.12 |
| Test Area | Adhesion Strength /MPa | Measured Thickness/mm | Failure Position |
|---|---|---|---|
| A | 0.24 | 5.67 | 80% disconnected from the GB board 20% disconnected from standard block and polyurea |
| B | 0.37 | 6.47 | 80% disconnected from the GB board 20% disconnected from standard block and polyurea |
| C | 2.31 | 7.38 | 100% disconnected from standard block and polyurea |
Disclaimer/Publisher’s Note: The statements, opinions and data contained in all publications are solely those of the individual author(s) and contributor(s) and not of MDPI and/or the editor(s). MDPI and/or the editor(s) disclaim responsibility for any injury to people or property resulting from any ideas, methods, instructions or products referred to in the content. |
© 2023 by the authors. Licensee MDPI, Basel, Switzerland. This article is an open access article distributed under the terms and conditions of the Creative Commons Attribution (CC BY) license (https://creativecommons.org/licenses/by/4.0/).
Share and Cite
Wu, Y.; Jia, J.; Wang, Y.; Zheng, C.; Zhao, L.; Jia, B. Investigation on Hydraulic Fracturing and Flexible Anti-Hydrofracturing Solution for Xiaowan Arch Dam. Appl. Sci. 2023, 13, 9302. https://doi.org/10.3390/app13169302
Wu Y, Jia J, Wang Y, Zheng C, Zhao L, Jia B. Investigation on Hydraulic Fracturing and Flexible Anti-Hydrofracturing Solution for Xiaowan Arch Dam. Applied Sciences. 2023; 13(16):9302. https://doi.org/10.3390/app13169302
Chicago/Turabian StyleWu, Yangfeng, Jinsheng Jia, Yang Wang, Cuiying Zheng, Lei Zhao, and Baozhen Jia. 2023. "Investigation on Hydraulic Fracturing and Flexible Anti-Hydrofracturing Solution for Xiaowan Arch Dam" Applied Sciences 13, no. 16: 9302. https://doi.org/10.3390/app13169302
APA StyleWu, Y., Jia, J., Wang, Y., Zheng, C., Zhao, L., & Jia, B. (2023). Investigation on Hydraulic Fracturing and Flexible Anti-Hydrofracturing Solution for Xiaowan Arch Dam. Applied Sciences, 13(16), 9302. https://doi.org/10.3390/app13169302

