Next Article in Journal
Orthodontic Treatment in Pediatric Patients with Autism Spectrum Disorder: Compliance and Satisfaction: Pilot Study
Next Article in Special Issue
Renewability and Robustness Analysis and Review for Sustainable-Technology Propulsion Systems in Modern Transportation Infrastructure Administration
Previous Article in Journal
Detecting Deceptive Behaviours through Facial Cues from Videos: A Systematic Review
Previous Article in Special Issue
Resilience Analysis of Traffic Network under Emergencies: A Case Study of Bus Transit Network
 
 
Due to scheduled maintenance work on our servers, there may be short service disruptions on this website between 11:00 and 12:00 CEST on March 28th.
Font Type:
Arial Georgia Verdana
Font Size:
Aa Aa Aa
Line Spacing:
Column Width:
Background:
Article

Simulation Analysis of Capacity Evaluation of Bus Stops under Connected and Automated Vehicles Environment

College of Civil and Transportation Engineering, Hohai University, Nanjing 210098, China
*
Author to whom correspondence should be addressed.
Appl. Sci. 2023, 13(16), 9186; https://doi.org/10.3390/app13169186
Submission received: 24 April 2023 / Revised: 25 July 2023 / Accepted: 10 August 2023 / Published: 12 August 2023
(This article belongs to the Special Issue Future Transportation Systems: Efficiency and Reliability)

Abstract

The application of connected and automated vehicles (CAVs) technology has changed the operation characteristics of vehicles. Investigating the traffic capacity of bus stops under a CAVs environment can allocate traffic flow more reasonably, which is effective in alleviating traffic congestion. Therefore, this paper proposes a method that can be used to evaluate the traffic capacity of bus stops under a CAVs environment. First, two evaluation indexes, failure duration time (FD) and forced lane-changing rate (FLR) are proposed. Second, the simulation scheme with ten scenarios is determined, and simulation experiments are conducted. Then, the relationships between FD, FLR, and traffic flow under different penetration rates of CAVs are analyzed. Finally, the relationship models between FD, FLR, and traffic capacity are fitted to verify their validity for traffic capacity analysis. Additionally, a predictive model is proposed for estimating capacity under a CAVs environment using indicators from HV traffic flow. Results indicate that: (i) FD and FLR both positively correlate with capacity, and perform well in capacity evaluation of bus stops; (ii) FD and FLR can be utilized to predict the capacity under a CAVs environment; (iii) the higher the penetration rate of CAVs, the smaller the impact of the bus failure phenomenon and forced lane change on traffic flow.

1. Introduction

Public transportation plays a crucial role in establishing sustainable cities, influencing various aspects such as urban ecology, political economy, and advancements in science and technology [1,2,3]. Buses, as a prominent component of public transportation systems [4], effectively enhance the utilization of traffic resources [5]. Nevertheless, the maneuvering behavior of buses during docking at bus stops involves intricate actions such as stopping, lane changing, and other driving maneuvers, which have the potential to disrupt the smooth flow of vehicles in adjacent lanes, leading to traffic congestion and jeopardizing road safety [6]. In light of the emerging trend of incorporating connected and autonomous vehicle (CAV) technology into future transportation systems, the implications of CAVs on traffic flow remain uncertain due to their limited deployment at present. To proactively address the potential impact of CAVs on urban transportation systems, our research concentrates on assessing the capacity of bus stops under a CAVs environment. We propose an evaluation method for quantifying the capacity of bus stops, which not only facilitates a rapid estimation of the capacity with the collected data but also extends the application of this method to the CAV environment. Consequently, this method empowers traffic managers to predict the capacity of bus stops under the CAVs environment accurately, enabling urban planners and bus operators to optimize the layout of bus stops and the arrangement of routes well in advance.
Many studies have confirmed that the CAVs technology has the potential to promote the development of the transportation system [7,8]. No matter from a macroscopic or microscopic perspective, CAVs technology can improve traffic efficiency, safety, and bring other benefits [9,10,11,12]. However, excessive private ownership of CAVs will generate many negative influences, such as public finance sustainability being threatened [13]. On this point, it is necessary to develop the public transport system to reduce the danger caused by a large number of private ownerships of CAVs [14]. Sustainable mobility as a service (S-MaaS) is a single, user-friendly platform that integrates all transportation services that aims at sustainable development. The public transport system is the core of its transport services. Under this concept, Rindone provides a specific analysis of the four subsystems of MaaS from the perspective of transportation supply. He points out that MaaS has the potential to transform the automotive industry from selling individual cars to offering mobility packages. Furthermore, MaaS represents an application opportunity for connected and autonomous vehicles (CAV), particularly electric connected and autonomous vehicles (CAEV) [15]. Musolino et al. established a framework to support S-MaaS policies definition and implementation, providing a general framework for building an intelligent transport system in the MaaS environment [16]. This indicates that CAVs may play a significant role in future urban transportation systems.
However, the development of CAVs is not directly to perfection. A mixed traffic flow composed of CAVs and human-driven vehicles (HVs) will exist for a long time due to technological immaturity and other factors [17,18]. Considering the previous content in general, studies on mixed traffic flow are urgently needed at the present stage, especially how mixed traffic flows affect bus stops.
Capacity is one of the important indexes to measure the traffic system [19], and previous studies have analyzed the influence of the CAVs environment on traffic capacity from many factors such as the penetration rate of CAVs, the penetration rate of adaptive cruise control (ACC) and cooperative adaptive cruise control (CACC), traffic demand, lane-changing frequency, and so on [20,21,22,23,24,25]. Wang et al. investigated the fundamental diagram model, platoon-following dynamic response, and traffic flow operation at bottlenecks in a mixed traffic flow consisting of HDVs, ACC vehicles, and CACC vehicles. They found that CACC vehicles had a more significant improvement in traffic capacity than ACC vehicles. Automated driving vehicles reduced the time for traffic flow to reach a steady state, effectively reducing congestion at bottlenecks and increasing the critical flow rate at which congestion occurs [20]. Yu and Shi presented an improved cooperative car-following model that considered multiple vehicular gap changes with memory. They found that considering multiple vehicular gap changes with memory can improve traffic flow stability when designing CACC control strategies [21]. Auld et al. simulated travel behavior and traffic flow using POLARIS and investigated the potential impacts of various CAV technologies on traffic at the regional level. They determined the potential range of impacts of different CAV technologies on vehicle miles traveled [22]. Ghiasi et al. proposed a hybrid traffic flow analysis model for highways based on Markov chains. The model considered three key factors: CAV penetration rate, platooning intensity, and mixed traffic flow headway. They evaluated the highway capacity under different headway settings and platooning intensities through numerical experiments and found that the highway capacity does not necessarily increase with an increase in CAV platooning intensity. The specific headway setting needs to be considered [23]. Jansuwan et al. focused on automated electric transportation (AET). They proposed an evaluation framework for the AET system and assessed its benefits through the framework and simulation experiments. The framework enabled the evaluation of the AET system from three perspectives: system capacity, energy savings, and environmental emission reduction. The study found that the AET system has the capability to improve traffic conditions in terms of capacity and reduce fuel consumption and carbon dioxide emissions [24]. Zhang proposed a cost model for bus operations considering automation technology. The model calculated the total costs of waiting, boarding, operation, and capital for traditional, semi-automated, and fully automated bus services. Through numerical analysis, the study reveals that semi-automated bus services have limited advantages and are suitable for narrow networks with low demand. On the other hand, fully automated bus services demonstrate significant advantages by reducing operating and waiting costs [25]. Since there are still implementation difficulties in conducting on-road experiments for CAVs, simulation has become the current mainstream research method. One of the main means of simulation is microsimulation for human-driven vehicles and CAVs. Sinha et al. attempts to investigate the repercussions of connected automated buses (CABs) in a mixed fleet with connected automated vehicles (CAVs), through a microsimulation modeling exercise [26]. Qiong et al. indicated that simulation of urban mobility (SUMO) had been proposed as an alternative for testing autonomous vehicles in their simulation environment and carried out a detailed simulation study by using SUMO to investigate the effect of different percentages of AVs affecting the urban MFD [27]. At the same time, the simulation scenario of SUMO also includes public transportation, bus stops, etc., so it can meet the needs of simulation experiments that include both CAVs and buses. In order to better apply CAVs technology and develop public transportation, some scholars have further explored how mixed traffic flow affects bus capacity. Sinha et al. revealed that connected automated buses (CABs) can reduce network-level travel time [26]. Abe quantified the potential benefits and evaluated the impacts of introducing autonomous buses on metropolitan transportation systems [28]. Narayanan et al. proposed that under the CAVs environment, the increase in road capacity is estimated to be between 40% to 273% [29]. Changxi et al. proposed a new algorithm to solve bus route optimization under uncertain conditions [30]. The relevant works about how mixed traffic flows affect the capacity of bus stops are few, which mainly focus on analyzing the benefits of CAVs and how to optimize bus routes under the CAVs environment [31,32].
Although traffic flow analysis for mixed traffic with CAVs and HVs has attracted considerable research efforts in the last few years, even in the context of traditional traffic, many studies have explored the evaluation method of traffic capacity of the bus stop. For example, Hisham et al. incorporate the influence of the traffic volume of adjacent lanes on the traffic capacity of bus stops in the middle section [33]. Shen et al. considered the signal timing and the distance between stop and signal factors, which were ignored in the previous literature, by using time–space diagrams of bus trajectories and probabilistic methods [34]. The correlation impact analysis and evaluation of bus stop capacity under the CAVs environment is very lacking, and the analysis of its traffic capacity can facilitate the management and control of traffic. To fill the research gap, this paper proposes simulation analyses of the capacity of bus stops under a CAVs environment.
The rest of this paper is organized as follows. In Section 2, two important evaluation indexes called failure duration (FD) and forced lane-changing rate (FLR) are explored by analyzing the traffic capacity of bus stops. Section 3 proposes the method and experimental schemes of traffic flow simulation near a bus stop under a CAVs environment. A correlation between FD, FLR, and traffic flow rate is discussed in Section 4. The relationship function model is fitted in Section 5 to analyze the effectiveness of FD and FLR in evaluating traffic capacity and the effectiveness of FD and FLR in predicting the traffic capacity of bus stops under the CAVs environment. In Section 6, the experimental results and the differences with related methods are discussed. Section 7 summarizes this paper. Figure 1 illustrates the research process of this study.

2. Capacity Influence Analysis and Index Systems Construction

2.1. Capacity Influence Analysis

Buses travel on the road following the fixed route and arrive at the stop for service, and in the process the waiting area and the lane-changing area shown in Figure 2 form, which constitute traffic bottlenecks, resulting in additional delays and reduced road traffic efficiency. With the development of CAVs technology, there are many changes in road traffic. From a microscopic perspective, the characteristics of vehicles lane-changing, car-following, and the features of bus operation have changed compared with the all HVs environment. At a macro level, the state of traffic flow on the road is also be affected. Affect by such changes, the impact of transits on road capacity in the bottleneck area also becomes a variety. Therefore, it is necessary to study the influence of various factors on the capacity of bus stops under the CAVs environment.
This capacity of bus stops can be affected by bus arrivals per hour [35], bus dwell time [22], and station types [11], and different factors can cause changes in road capacity, but these influences are mainly characterized in practice by vehicle-following and lane-changing behavior. When buses slow down to change lanes and enter the bus stop, which may cause the surrounding social vehicles to slow down, and when there is no available berth when arriving at bus stops, the bus needs to wait in line for a free berth. A bus stop failure occurs when a bus arrives at the loading areas but with no available berth [36]. The level of road capacity is closely related to the length of failure duration at the stop, measured by the average length of waiting time for buses at a given period. When a bus stop fails, the buses waiting for the free berth form a queue, affecting the lane’s upstream traffic flow, which has a negative impact on road traffic. The longer the bus queue, the longer the average failure duration and the lower the capacity level.
In addition, buses may need to change lanes before entering a stop. The bus needs to find an available gap to perform a lane change. Otherwise, the bus has to decelerate to wait for the available gap or to be forced into the target lane. The forced lane change is defined as changing lanes after the critical position of lane change. When the traffic flow is high, as the study by Ahmed et al. [37] shows, the headway spacing is relatively short, and the available gap for lane change is small. In this case, the difficulty of bus lane change increases. The bus needs to wait long for an available lane-change gap, or even worse, has to travel to the critical position of lane change to complete the lane change, which further impacts traffic capacity.

2.2. Evaluation Index Construction

The analysis in Section 2.1 shows that the average length of failure duration at the stop and the forced lane-changing rate of transit significantly impact the capacity. Therefore, this paper selects FD and FLR of buses as the evaluation indicators of traffic operation efficiency in the bus stop area.
In the case of a bus stop failure occurring, FD is defined as the time a bus waits for service after arriving at the stop. FD can be determined by examining the arrival and departure times of the buses, which the following formula can calculate:
F D = t f 1 + t f 2 + + t f N
where t f 1 is the failure duration of the first time in one-unit time, and N is the number of failure times of stops per unit time.
The critical position of lane change is recorded as LP. A vehicle must start changing lanes before the critical position. As explained in Section 2.1, forced lane change is defined as changing lanes after the critical position of the lane change. FLR is defined as the ratio of forced lane change times to total lane change times. The FLR can be calculated by:
F L R = C m ( C f + C m )
C f represents the number of free lane changes for buses, and C m indicates the number of forced lane changes for buses.

3. Simulation Experimental Design

In order to evaluate the effectiveness of FD and FLR in analyzing the capacity of bus stops, a series of vehicle operation rules and simulation schemes are formulated for experiments.

3.1. Vehicle Operating Rules

3.1.1. Car-Following Rules

Firstly, the car-following model is introduced. The car-following model of HVs of the simulation in this paper is based on the intelligent driver model (IDM). The IDM model was used in the simulation experiments to simulate HVs. The IDM model is based on vehicle speed, inter-vehicle spacing, and the velocity difference between the preceding and following vehicles, while also considering human factors such as reaction time and estimation errors. It is easy to calibrate and has good empirical conformity [38]. Currently, it is widely applied in traffic simulation. According to Cui et al.’s comparative study of several commonly used car-following models in the SUMO software, in a single-lane, signal-free environment, IDM exhibits higher traffic efficiency compared to CarFollowing-Wiedemann and CarFollowing-Pwagner. The default car-following model in SUMO, CarFollowing-Krauss, has a similar control performance to IDM and performs better at signalized intersections [39]. Considering that the research scenario in this paper does not involve signalized intersections and IDM is more widely used in traffic simulation studies, we have chosen IDM as the simulation model for HVs. The basic rules of IDM [40] are as follows:
  • Acceleration
The acceleration model of the ego vehicle is as follows:
v ˙ = a 1 v v 0 δ s * v , v s 2
where a is the maximum acceleration of the ego vehicle, v is the current speed of the ego vehicle, v 0 is the desired speed, δ is the acceleration index, ν is the difference in speed between ego vehicle and the front vehicle, s is the current distance between ego vehicle and the front vehicle, and s * ( v , ν ) is the desired car-following distance.
The desired car-following distance is given by:
s * v , v = s 0 + max 0 , v T + v v 2 a b
where b is the comfortable deceleration.
2.
Equilibrium flow state
In this state, the ego vehicle maintains a balanced car-following distance s from the front vehicle, v ˙ Δ v 0 .
As v ˙ 0 , Equation (3) can be transformed as follows:
s * v , Δ v = s 1 v v 0 δ 1 2
Since Δ v 0 , Equation (4) can be transformed as follows:
s * v , Δ v = s 0 + v T
Combining Equations (3) and (4), the actual car distance s is:
s = s e v = s 0 + v T 1 v v 0 δ
Equation (7) is the equation for the equilibrium car-following distance s e v in the equilibrium flow state.
3.
Braking strategy
When studying the braking strategy itself, set the term v Δ v / 2 a b and s 0 + v T in s * to zero, together with the free acceleration term a 1 v / v 0 δ . When approaching a standing vehicle or a red traffic light Δ v = v , then:
v ˙ = a s * s 2 = a v 2 Δ v 2 4 a b s 2 = v 2 2 s 2 1 b
With the kinematic deceleration defined as:
b k i n = v 2 2 s
This part of the acceleration can be written as:
v ˙ = b k i n 2 b
With Equation (10), when decelerating at a deceleration b k i n , the braking distance of ego vehicle equals to the distance from ego vehicle to the stationary vehicle ahead. In this case, two possible situations are as follows.
(1)
When b k i n > b , which is defined as a critical situation, the actual deceleration is even stronger than necessary, v ˙ = b k i n 2 / b > b k i n . This overcompensation decreases b k i n and thus helps to turn back to normal situation;
(2)
When b k i n < b , b k i n 2 / b < b k i n . Thus, b k i n increases in the course of time and approaches the comfortable deceleration.
The simulation of CAVs in this paper employs the car-following model based on cooperative adaptive cruise control (CACC). CACC is a longitudinal vehicle control model that utilizes a constant time gap strategy, proposed by the PATH lab at UC Berkeley, and relies on vehicle-to-vehicle wireless communication technology. In adaptive cruise control (ACC), the following vehicle adjusts its own speed based on the driving data obtained from the lead vehicle through sensors such as radar or infrared. This allows for a smaller inter-vehicle gap while maintaining safety. However, ACC can only obtain information from the lead vehicle. In contrast, CACC enables vehicles equipped with the CACC system to gather information about surrounding vehicles, thereby perceiving the driving environment more comprehensively and rapidly. CACC is widely used in research on CAVs. Its basic principles can be described as follows [41]:
e = x i 1 x i T v i
v i = v k p r e v + k p e + k d e ˙
where x i is the displacement of ego vehicle, v i is the velocity of ego vehicle, e is the difference between actual distance and desired distance, T is the minimum safe headway time gap, i 1 represents the front vehicle, and v is the velocity of the vehicle at the previous moment.
The simulation is carried out based on the SUMO platform, which developed the CACC simulation model based on the research of CACC [41,42,43,44]. The CACC model in SUMO has four control modes as follows.
(1)
Speed control mode, which is designed to maintain the pre-defined by driver’s desired speed and is activated when there are no preceding vehicles in the range covered by the sensors or when the time gap is larger than 2 s;
(2)
Gap control mode, which aims to maintain a constant time gap between the CACC-equipped vehicle and its predecessor, is activated when the gap and speed deviations (concerning the preceding vehicle) are concurrently smaller than 0.2 m and 0.1 m/s, respectively;
(3)
In gap-closing control mode, the gap-closing controller enables a smooth transition from speed control mode to gap control mode and is triggered when the time gap is less than 1.5 s;
(4)
Collision avoidance mode prevents near-end collisions when safety-critical conditions prevail. This mode is activated when the time gap is less than 1.5 s, and the gap deviation is negative.
Additionally, when there is no leader vehicle in the fleet, the CACC vehicle degrades. Its speed control strategy will be calculated through the Krauss model, another car-following model for human-driven vehicles.

3.1.2. Lane-Changing Rules

The lane-changing model used in the simulation in this paper is LC2013 in SUMO. This model fulfills two main purposes: It computes the change decision of a vehicle for a single simulation step based on the route of the vehicle and the current and historical traffic conditions in the surrounding vehicles. Furthermore, it computes changes in the velocity for the vehicle itself and for obstructing vehicles, which promotes the successful execution of the desired lane change maneuver.
This model put forward four motivations for a lane change, three of which are involved in this paper and are sorted by priority as follows. Specific lane change rules can be found in the relevant literature for clarification [45].
(1)
Strategic change. The vehicle should change to the target lane, which is connected to the next edge of its route. If the vehicle fails in the strategic change, it will not reach the next road, let alone the destination. The variable lcStrategic describes the urgency of the strategic change. A higher value means a more forward lane-change position;
(2)
Cooperative change. When vehicle A obtains the information that vehicle B will change to A’s lane, A may decelerate to keep a safe distance or change to another lane if there is enough gap. The latter change behavior is defined as a cooperative change in this model, as the only motivation of lane-change of A is to help B change lane successfully. The attribute IcCooperative is used here to measure the willingness to perform cooperative lane changing;
(3)
Tactical change. Tactical change describes the vehicles changing lanes to avoid following a slow leader. It needs to compute and compare the speed-gaining after lane change and the cost of the lane change. IcSpeedGain is the parameter used to compute the driver’s willingness to change lanes and the speed-gain value.

3.2. Bus Dwell Time Model

During the morning peak hours (around 7:30–8:30), bus dwelling data were collected by video detection in Gulou District, Nanjing, Jiangsu, which spans working days from 19 October 2021, to 23 October 2021. The dataset involves four bus stops (see their geographic locations in Figure 3); of that, the No. 1 bus stop and No. 3 bus stop have a single berth, and the No. 2 bus stop and No. 4 bus stop have double berths. No. 1 bus stop and No. 4 bus stop are bus bay stops and No. 2 bus stop and No. 3 bus stop are curbside bus stops. These four bus stops keep considerable distances from intersections, which can neglect the interaction between the bus stop and nearby intersections. Table 1 shows the details related to the four bus stops.
The dwell time of all buses serving at the four bus stops is extracted from the collected data, and the proportion of each dwell period to the total dwell time is depicted in Figure 4. As can be seen in Figure 4, the dwell time of the four bus stops is mainly distributed from 30 to 80 s, and the total dwell time of the No. 4 bus is longer than that of the other three stops, which is close to the square with large traffic flow.
To further analyze the transit operation characteristics with the collected data, this paper uses the distribution fitting analysis approach [46] to find the optimal appropriate probability distribution for bus dwelling time. This paper adopts the K-S test statistic at a significance level of 0.05 for the goodness-of-fit test based on the data from the four bus stops in the peak hour of each workday. By simulating 23 probability distribution models, six distributions with well-fitted results described in Table 2 are selected as the candidate probability distributions. This table shows that the generalized extreme value (gen. extreme value) distribution is the best from the K-S test results (p-values) of the six candidate probability distributions. Therefore, the probability density function of the gen. extreme value distribution is utilized to fit the bus dwelling time.

3.3. Selection of Bus Stop Typologies

According to the relevant literature study [47,48], there are various typologies of bus stops, and the influencing factors include the distance between the stop and crosswalk, the cross-sectional position, the form, whether the bus lane is set, whether the station is closed, and the number of stations, etc. The corresponding typologies of bus stops are shown in Table 3.
Since the purpose of this study is to study the evaluation method of the traffic capacity of the bus stop on the road section it is located in, the influence of crosswalk is not considered. Furthermore, most of the bus stops in China are non-enclosed at the curbside of the road. Therefore, the bus stops involved in this study are all non-enclosed curbside bus stop with non-exclusive bus lanes (far-side of crosswalk). We focus on the impact of form and number of bus berth on the capacity of bus stops. Specifically, there are four kinds of bus stops involved in the simulation experiment: single-berth bus bay stop, single-berth curbside bus stop, double-berth bus bay stop, and double-berth overtaking bus bay stop, covering common bus stop types. Since the bus bay is a commonly used setting form in Chinese cities [49], compared with curbside stop, and it is able to reflect the impact of failure of bus stop on road traffic capacity, this study takes the single-berth bay stop as the main research object, and the single-berth curbside bus stop and the double-berth bus bay stop as the control.

3.4. Specific Simulation Schemes

SUMO is a freely available open-source microscopic traffic simulation software. It includes a car-following model called CACC, which enables the simulation of vehicle traffic flow. SUMO’s simulation scenarios also encompass public transportation, making it suitable for conducting simulation experiments involving both CAVs and buses, aligning with the requirements of this study. Therefore, SUMO software is utilized to simulate traffic flow under the CAVs environment.
The dual-lane with bus stop of open boundary conditions and calibrated parameters was simulated based on survey data. The simulation was conducted in SUMO, and each of the schemes was simulated 10 times randomly. Four types of vehicles are set in simulations, representing the human-driven car, connected and automated car, human-driven bus, and connected and automated bus. The basic attributes of each vehicle type can be seen in Table 4.
In addition, according to differences between CAVs and HVs in perception, decision-making, and control, CAVs have a significant advantage over HVs [50,51]. According to the related research [52], the desired time headway during car-following and lane-changing of CAVs is set to be 1 s. When a CAV follows an HV, its longitudinal control model degrades into the Krauss model, which is also an HV car-following model. The specific parameters of car-following model and lane-change model are shown in Table 5, where H car refers to a car controlled and operated by a human driver; CA car refers to a car that utilizes advanced communication and automation technology to exchange and interact with real-time data between cars and other vehicles, transportation infrastructure and traffic management systems to improve driving safety, efficiency, and convenience; H bus is a bus controlled and operated by a human driver; and CA bus refers to a bus that uses advanced communication and automation technology to exchange and interact with real-time data between public transport vehicles and other traffic participants, infrastructure, and traffic management systems to improve the efficiency, reliability, and safety of the public transport system.
The transit vehicles (including the served and waiting buses) dock at an overtaking prohibited bus stop, obey the first-in-first-out rule, and usually disperse independently from each other. For overtaking stops, without violating the principle of safe driving, the completed service bus can overtake the bus in service ahead to leave the station. The bus waiting for service can surpass the bus early to enter the vacant berth in front of the stop for parking. The bus station in the following simulation scenario can be realized by setting the access object and rule of change-in/change-out of the lane, and the length of the bus station.
The simulation scenario is shown in Figure 5.
The flowchart of simulation model operation is shown in Figure 6.
The impact of traffic flow and the composition of the traffic environment is simulated by changing the generation rate of vehicles and the proportion of CAVs. Ten simulation schemes, generated by changing the bus flow rate, bus average dwelling time, and bus station types, listed in Table 6 are chosen to study the influence of FD and FLR on the traffic capacity under different daily scenarios. Each simulation scheme simulates three states of all HVs environments, all CAVs environments, and HVs mixed with CAVs environments (the ratio of CAVs is 50%). Based on different traffic states, we study the development of traffic operation characteristics under different traffic flow saturations by adjusting the vehicle generation rate to control the traffic flow, varying from 1400 veh/h to 3400 veh/h. Every scheme simulates 4000 steps, in which the first 400 steps are removed, and each case is simulated ten times, and the statistics of FD and FLR take an average of ten times.

4. Correlation Analysis

4.1. Failure Duration Analysis

Figure 7a–c plots the change characteristics of FD–traffic flow rate under different rates of CAVs (Ra). To reduce the random error, the FD values of 10 simulation results of each scenario were taken as an average. As is shown in Figure 7a–c, the overall trend of the 10 scenarios in each graph remains consistent, in that the flow rate positively correlates with FD.
Comparing the curves of scenarios 1, 2, 3, and 4, it can be found that the relationship between FD and the number of bus arrivals per hour is obvious. Comparing the curves of scenarios 2, 5, 6, and 7, the dwell time in these four scenarios is 30, 40, 50, and 60 s, respectively, and it can be concluded that the FD value increases with the dwell time. The reason might be that the longer the bus stops, the greater the probability of stop failure. Comparing the FD–flow rate change relationship of scenarios 2, 8, 9, and 10, it can be found that the failure occurs less in the double-berth bus stop, while many more failures occur in the single-berth bus stop. This reveals that the number of bus berths has the most significant impact on the failure duration, and the reason is that the greater the number of berths, the lower the probability and dwelling time of bus parking and waiting.
Moreover, it can be observed that the value of FD decreases as the penetration of CAVs increases, indicating that FD is negatively correlated with Ra level. One of the reasons might be that CABs take less time than human-driven buses in the stopping process, especially in the behavior of changing lanes, stopping, starting, etc.

4.2. Forced Lane-Changing Rate Analysis

According to Figure 8, the curves reveal the variation trend of FLR of bus stops with the flow rate change under different Ra levels. Figure 8a–c shows that the flow rate positively correlates with FLR. At the same time, it can be found that the value of FLR decreases as the penetration of CAVs increases, indicating that FLR is negatively correlated with Ra.
Comparing the curves of scenarios 1, 2, 3, and 4, it can be found that the relationship between FLR and the number of bus arrivals per hour is obvious. By observing the curves of scenarios 2, 5, 6, and 7, it can be concluded that the FLR value increases with the dwell time, because the longer the dwell time, the higher the possibility of queuing. Comparing scenarios 2, 8, 9, and 10, it can be found that FLR value is highest in the single-berth curbside bus stop, mainly because the curbside stop occupies a road lane when vehicles are parking and queuing, which has a significant impact on the speed of other vehicles and the rate of passengers getting on and off.
Figure 9 shows the variation in the FLR change rate with the flow rate. It can be seen that there is also a relationship between the FLR change rate and the flow rate. It can be seen from Figure 9a–c that the magnitude of FLR change rate with flow rate slows down as Ra increases. In Figure 9a, the FLR growth rate rises steeply when the flow rate rises from 3000 to 3400 veh/h in almost all single-berth bus stop scenarios, but the rate of change in Figure 9b,c does not change very significantly, or even decreases slightly. This indicates that the involvement of CAVs improves to some extent the stability of the traffic situation near the bus stop and enhances its ability to adapt to larger traffic flow situations, i.e., no large forced lane-changing rate due to increased traffic flow.
Overall, according to the simulation experiment results, it can be confirmed that there is a positive correlation between FD and FLR and the traffic flow, and the traffic flow is smoother as the penetration rate of CAVs rises, which can better dissipate the impact brought by FD and FLR. In addition, by observing the comparison of the changes in different individual scenarios, we found that the three factors bus arrivals per hour, bus dwell time, and station types all impact FD and FLR.

5. Capacity Evaluation Analysis

5.1. Model Establishment

5.1.1. Capacity Determination

The capacity values of 10 scenarios are obtained through simulation data, which are shown in Figure 10; the highest value of traffic flow determined by simulation can be regarded as the capacity. Figure 10a–c, respectively, represent the density and flow rate with different CAV penetration scenarios. It can be observed that under the CAVs environment, the car-following distance is shortened with the increase in CAV penetration, resulting in the capacity of traffic flow being gradually improved.

5.1.2. Fitting Model Selection

According to the analysis results in Section 4 and capacity definition, this paper further studied the potential relationship between FD or FLR and traffic capacity through model fitting, so as to verify the effectiveness of their application in traffic capacity analysis.
First, the relationship between FD and capacity is established.
Through data processing and analysis of the above ten simulation scenarios, it is found that dividing the length of failure duration (FD) by traffic flow (Q) can better reflect the impact of failure phenomena on traffic conditions around bus stops. Using this index as an independent variable for fitting can make the dispersion degree lower and the fitting accuracy higher.
In Section 4, a positive correlation between FD and flow is obtained. On this basis, several common models are used for fitting and fitting effects are compared. This paper used the statistics of each of the ten simulation schemes under different CAV penetration scenarios (0%, 50%, 100%) for the fitting model.
By analyzing the relationship between FD and capacity, it can be found that the correlation between FD and the capacity of curbside stops is poorer than that of other stops (see the circled points in Figure 11a–c). This is mainly because the curbside stop blocks the traffic flow when a transit is parked at the stop and, thus, affects the traffic capacity.
Then the point of the curbside stop is removed. As a result, the linear fitting between the failure service index and the capacity of the other nine schemes is good. It is further verified that the index can better reflect its impact on the capacity of the road near the bus stop. Table 7, Table 8 and Table 9 shows the fitting functions used to fit the model of nine schemes and their fitting effects. It can be found that the quadratic polynomial model has the highest fitting accuracy in most cases, so this model is selected for fitting. The fitting image is shown in Figure 11.
Then, the relationship model between FLR and capacity is established. Using the index of FLR divided by a simple function of Q is an effective method to characterize the relative relationship between FLR and traffic flow (Q). After comparison, it is found that the data show lower dispersion and a better fitting effect after dividing forced lane-changing rate (FLR) with traffic flow (Q). Therefore, FLR/Q is selected as the independent variable to fit the relationship model between FLR and capacity.
As shown in Figure 12, common models are used to fit the forced lane-changing index of each simulation scheme under different CAV penetration scenarios and then compare the fit effect. Table 10, Table 11 and Table 12 shows the fitting functions used to fit the model of ten schemes and their fitting effects. The quadratic polynomial model has the highest fitting accuracy, so this model is selected for fitting. The fitting image is shown in Figure 12.

5.2. Model Validation

According to the model fitting in Section 5, FD and FLR are related to capacity. This paper used the traffic data around the four bus stops (as mentioned in Section 3) around 7:30~8:30 in 17 November 2021 to calculate the traffic capacity through fitting model, and compare it with actual capacity value, therefore, further verifying the effectiveness of the fitting model. Figure 13 reflects the relationship between measured values and observed values of the four groups of data. Table 13 shows the R2 of the fitting model of each group of data.
It can be seen from the figure that the fitting accuracy of the above FD and FLR fitting models for the traffic capacity of the four stations is between 0.85 and 0.95, and the fitting effects are good, so the fitting models can be considered effective. The results reveal a significant second linear fitting relationship between both failure duration and capacity and forced lane-changing and capacity, which further verifies that this index can better reflect the impact on the capacity of the road near the stop.
In general, after the above research, an effective relationship model can be established between FD index, the FLR index and capacity, which reflects that FD and FLR can effectively evaluate the capacity of sections within bus stops under a CAVs environment. The study provides the theoretical basis for urban public transport planning and management.

5.3. Capacity Estimation under CAVs Environment

The aforementioned section presents a capacity assessment method for traffic flow and validates it in an HV environment (Ra = 0%). This method allows for estimating the capacity of a bus stop using measured data of FD or FLR and actual traffic volume Q. However, as CAVs have not been widely deployed at this stage, there is a lack of measured data, making it currently impossible to utilize this method for estimating the capacity of bus stops under the CAVs environment. Therefore, this paper introduces a supplementary approach to predict the capacity of bus stops under the CAVs environment (referred to as CCAV) based on indicators derived from the conventional human-driven traffic flow.
Initially, we investigated the relationship between capacity and penetration rates (0%, 50%, and 100%) for all scenarios. After comparing various common functional models, we found that a quadratic polynomial function could better describe the relationship between CCAV and CHV. Thus, a fourth-degree polynomial function was chosen to fit the numerical relationship between FD/Q–CCAV and FLR/Q–CCAV.
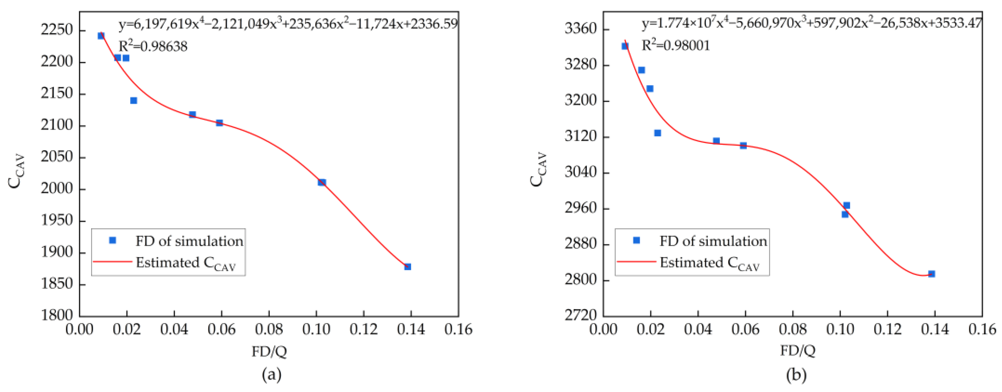
Subsequently, simulation data of FD at a 0% penetration rate were selected to fit the relationship models between FD and CCAV. However, since the method of capacity evaluation using FD is not applicable to single-berth curbside bus stops, data for this scenario were not included. The fitting results and goodness of fit are presented in Table 14, and the corresponding fitting graphs are shown in Figure 14.
Lastly, the FLR data at a 0% penetration rate and the capacity at 50% and 100% penetration rates from all ten scenarios were selected to establish a functional relationship expression between FLR and CCAV. The fitted functional expressions and goodness of fit are presented in Table 15, and the corresponding fitting graphs are displayed in Figure 15.
The analysis of the fitting results reveals that using the FD indicator yields better fitting performance for CCAV, with R2 values consistently exceeding 0.98. However, its applicability is limited to bus bay stops. Although the goodness of fit for FLR is relatively lower, it can provide estimations for CCAV across all types of bus stops mentioned in this paper. Therefore, when applying this relationship model, the selection can be made based on the type of bus stop. In summary, both FD and FLR indicators are capable of predicting the capacity of bus stops under the CAVs environment and exhibit satisfactory performances. However, it is important to note that the actual performance of this relationship model still requires validation due to the lack of real-world data at present.

6. Discussion

6.1. Results

Through the previous simulation analysis, we find that there is a significant correlation between FD, FLR, and the traffic capacity of bus stops. Using the simulation results, we establish a traffic capacity evaluation model of bus stops, and the model has a good effect on the determination of the traffic capacity of bus stops under a CAVs environment. In addition, we also found that the higher the penetration rate of automated driving, the better the capacity of bus stops. From the perspective of influencing factors, we found that bus flow rate, bus dwell time, and bus stop type all have an impact on traffic capacity.
First of all, in terms of the correlation analysis of permeability, we find that many works in the literature have carried out this research. The mixing of automated vehicles makes the road utilization rate higher. As the car-following distance of autonomous driving is lower, the higher the permeability is, the higher the road capacity is. However, this is only an experimental stage. In some studies, real vehicle verification was carried out [43]. It was found that when the penetration rate of autonomous vehicles is too high, the traffic capacity decreases instead. This is because when congestion is formed, the congestion of autonomous vehicles is more difficult to ease.
In practical applications, in the absence of actual measurement data to understand the traffic conditions under the CAVs environments and the potential impact of bus stops on CAV traffic flow, this paper’s evaluation method provides a convenient way to obtain information on the traffic capacity of the bus stop under the CAVs environments, which can help urban planners to determine the best location of bus stops, and identify bottlenecks and congestion areas, so as to optimize traffic flow. It can also help bus operators to make operational management decisions, which is also of great significance for adapting the urban transportation systems to the impacts of CAV applications. In this regard, when we find that if the traffic volume is greater than or too close to the actual capacity of the road, we can consider increasing the number of berths at the bus stop or reasonably optimizing the bus schedule by dispersing the traffic station lines, and appropriately reducing the bus lines. Passengers’ mastery of public transport can also be better understood. Although GPS and other technologies currently have a good understanding of the arrival time estimation and bus frequency of public transport used by passengers to understand travel, errors often occur in the estimated time within a certain distance. Passengers often reduce their travel experience because the estimated time is too compact, and the assessment of traffic capacity can provide a more accurate prediction basis for predicting the time to reach the bus station to a certain extent.

6.2. Capacity Evaluation

This section introduces the discussion on the evaluation method of traffic capacity of bus stations under a CAVs environment. The scenarios considered in the simulation of this paper include more classic simulation scenarios. From Figure 7, Figure 8 and Figure 9, we can find that there is a significant correlation trend between FD, FLR, and traffic capacity, which shows that there is a clear relationship between these two indicators and traffic capacity. In the analysis process, it is found that the improvement in the penetration rate of autonomous driving has a good performance in alleviating traffic congestion, which is consistent with the research conclusions of references [9,10,11,12]. In the second section, we found that the indicators have a great impact on the traffic capacity through reading of the literature. Therefore, in the fourth section, we propose a model of the relationship between FD, FLR, and traffic capacity for the simulation scenario in this paper. Now, let us discuss the research and analyze the relevant literature on this issue. It is found that the traffic capacity evaluation of bus stops under a CAVs environment is currently very rare, but the analysis of the traffic capacity of the bus stop under traditional traffic environment is still one of the hot issues in the bus field.
In the course of the study, it is found that bus flow rate, bus dwell time, and bus stop type are the main factors affecting the change in traffic capacity, which is consistent with the literature [11,22,35]. For the specific evaluation method, we can obtain more objective data and indicators by counting the values of FD and FLR through the proposed indicators, which can be used to analyze the traffic situation within the bus stop. Through the use of evaluation indicators, different traffic strategies can be quantitatively analyzed and compared to select the best solution or make decisions under CAVs environment.
In the existing research, the quantitative representation of traffic capacity is mostly calculated by the reduction coefficient. The advantage of using the reduction coefficient to evaluate the traffic capacity is that it can more accurately consider various factors in the real environment and make reasonable adjustments. It can provide more realistic and reliable capacity assessment results and help to develop more effective traffic planning and management measures. However, relatively speaking, the more comprehensive the factors considered, the better the data requirements. These algorithms of reduction coefficients are mostly applicable to traditional traffic flow, and their applicability under a CAVs environment still needs to be determined.
In addition, the index evaluation method proposed in this paper also has the advantage of easy realization. Although the accuracy is less than some existing evaluation methods, it can be easily realized in some application scenarios with low accuracy requirements, which can help the beneficiaries to quickly understand the capacity of bus stops.

7. Conclusions

To study the traffic capacity near bus stops under the CAVs environment, two evaluation indexes, FD and FLR, are proposed for the traffic capacity analysis. Through simulation experiments, relationships between FD and FLR and traffic flow are investigated under the influencing factors of bus flow, bus dwell time, bus stop type, and Ra, model fitting is performed of FD–passage capacity and FLR–passage capacity on this basis, and the measured data are used for model validation and evaluation of fitting effect. Additionally, a predictive model is proposed for estimating the capacity of bus stops under the CAVs environment using indicators derived from HV traffic flow conditions. The results show that (i) FD and FLR positively correlate with traffic flow. The indicator FD performs well in the capacity analysis around the bay bus stops but is inappropriate for the curbside bus stop., whereas the indicator FLR can be used to analyze the capacity around both bay and curbside bus stops. (ii) In the absence of actual data from a CAV environment, both FD and FLR at a 0% penetration rate can be utilized to predict the capacity of bus stops under the CAVs environment. (iii) The higher the penetration rate of CAVs, the smaller the impact of the bus failure phenomenon and forced lane change on traffic flow.
By evaluating the capacity of the bus stop under the CAVs environment, the capacity of bus stops in the current context and future CAV environments can be rapidly obtained based on relevant data. This allows management authorities to efficiently assess the effectiveness of related optimization measures, contributing to improved traffic efficiency, reduced congestion, and enhanced passenger travel experiences. It is of great significance for the planning department of the public transport system to plan the public transport system, operation, and urban sustainable development.
There are two research limitations of this paper: (1) limited applicability of the metrics. The research findings indicate that FLR is applicable for assessing the capacity of all types of bus stops. However, the FD metric does not perform well in evaluating the capacity of curbside bus stops, suggesting a limited applicability of the proposed metrics in this paper. (2) Limited validation of models: due to the limited widespread application of CAVs and CABs in urban areas, we could only validate the relationship models between FD–capacity and FLR–capacity when the CAV penetration rate is 0 using field data. The relationship models for penetration rates of 50% and 100% have not been validated yet. Further validation can be conducted once the necessary conditions for practical validation are met.
The research extensions of this paper are in the following four directions: (1) further study the quantitative relationship between two indicators, FD and FLR, and traffic volume, so as to obtain a quantitative prediction model with a broader range of applications. (2) To improve the simulation experiments, especially the simulation of the CAV lane-change model, and further investigate the relationship between CAV permeability and traffic flow stability under the influence of bus stops on this basis. (3) Building upon the existing research, the scope can be expanded to the network level to investigate the traffic flow characteristics near bus stops under the CAVs environment using the NFD approach. (4) In order to make the simulation conditions of the experiment more perfect, we can further improve the nature of the use of each sort of vehicles, and use a more generalized bus dwell time distribution model.

Author Contributions

Conceptualization, R.L.; methodology, Q.Y. and T.Q.; software, T.Q.; validation, T.Q. and X.X.; formal analysis, Q.Y.; investigation, R.L.; resources, Q.Y.; data curation, R.L.; writing—original draft preparation, Q.Y. and T.Q.; writing—review and editing, X.X.; visualization, Q.Y., T.Q. and X.X.; supervision, R.L.; project administration, R.L.; funding acquisition, R.L. All authors have read and agreed to the published version of the manuscript.

Funding

This research was supported by the National Key R&D Program in China (grant no. 2018YFB1600600), Postdoctoral Science Foundation of China (grant no. 2018M630505), and Natural Science Foundation of Jiangsu Province (grant no. BK20181307).

Institutional Review Board Statement

Not applicable.

Informed Consent Statement

Not applicable.

Data Availability Statement

Not applicable.

Conflicts of Interest

The authors declare no conflict of interest.

References

  1. Miller, P.; de Barros, A.G.; Kattan, L.; Wirasinghe, S.C. Public transportation and sustainability: A review. KSCE J. Civ. Eng. 2016, 20, 1076–1083. [Google Scholar] [CrossRef]
  2. Nanaki, E.A.; Koroneos, C.J.; Roset, J.; Susca, T.; Christensen, T.H.; Hurtado, S.D.G.; Rybka, A.; Kopitovic, J.; Heidrich, O.; Lopez-Jimenez, P.A. Environmental assessment of 9 European public bus transportation systems. Sust. Cities Soc. 2017, 28, 42–52. [Google Scholar] [CrossRef]
  3. Sun, Y.; Cui, Y. Evaluating the coordinated development of economic, social and environmental benefits of urban public transportation infrastructure: Case study of four Chinese autonomous municipalities. Transp. Policy 2018, 66, 116–126. [Google Scholar]
  4. Yang, X.P.; Lu, S.W.; Zhao, W.F.; Zhao, Z.Y. Exploring the Characteristics of an Intra-Urban Bus Service Network: A Case Study of Shenzhen, China. ISPRS Int. J. Geo-Inf. 2019, 8, 486. [Google Scholar]
  5. Li, Q.; Bai, P.R.; Chen, Y.; Wei, X. Efficiency Evaluation of Bus Transport Operations Given Exogenous Environmental Factors. J. Adv. Transp. 2020, 2020, 8899782. [Google Scholar] [CrossRef]
  6. Pan, Y.J.; Chen, S.Y.; Li, T.Z.; Niu, S.F.; Tang, K. Exploring spatial variation of the bus stop influence zone with multi-source data: A case study in Zhenjiang, China. J. Transp. Geogr. 2019, 76, 166–177. [Google Scholar]
  7. Vahidi, A.; Sciarretta, A. Energy saving potentials of connected and automated vehicles. Transp. Res. Part C Emerg. Technol. 2018, 95, 822–843. [Google Scholar] [CrossRef]
  8. Li, C.H.; Hu, Z.Q.; Lu, Z.M.; Wen, X.M. Cooperative Intersection with Misperception in Partially Connected and Automated Traffic. Sensors 2021, 21, 5003. [Google Scholar] [CrossRef]
  9. Fakhrmoosavi, F.; Saedi, R.; Zockaie, A.; Talebpour, A. Impacts of Connected and Autonomous Vehicles on Traffic Flow with Heterogeneous Drivers Spatially Distributed over Large-Scale Networks. Transp. Res. Record. 2020, 2674, 817–830. [Google Scholar] [CrossRef]
  10. Sun, J. Prediction, Estimation, and Control of Connected and Autonomous Vehicles. In Proceedings of the 5th IEEE Conference on Control Technology and Applications, California, CA, USA, 9–11 August 2021; p. 1. [Google Scholar]
  11. Talebpour, A.; Mahmassani, H.S. Influence of connected and autonomous vehicles on traffic flow stability and throughput. Transp. Res. Part C Emerg. Technol. 2016, 71, 143–163. [Google Scholar] [CrossRef]
  12. Han, Y.; Wang, M.; He, Z.; Li, Z.B.; Wang, H.; Liu, P. A linear Lagrangian model predictive controller of macro- and micro- variable speed limits to eliminate freeway jam waves. Transp. Res. Part C Emerg. Technol. 2021, 128, 103121. [Google Scholar]
  13. Blas, F.; Giacobone, G.; Massin, T.; Touron, F.R. Impacts of vehicle automation in public revenues and transport equity. Economic challenges and policy paths for Buenos Aires. Res. Transp. Bus. Manag. 2022, 42, 100566. [Google Scholar]
  14. Xiao, D.Q.; Xu, X.C.; Kang, S.Y. Paving the Way for Evaluation of Connected and Autonomous Vehicles in Buses-Preliminary Analysis. IEEE Access 2020, 8, 6162–6167. [Google Scholar] [CrossRef]
  15. Rindone, C. Sustainable Mobility as a Service: Supply Analysis and Test Cases. Information 2022, 13, 351. [Google Scholar]
  16. Musolino, G.; Rindone, C.; Vitetta, A. Models for supporting Mobility as a Service (MaaS) design. Smart Cities 2022, 5, 206–222. [Google Scholar] [CrossRef]
  17. Dai, Z.; Liu, X.C.; Chen, X.; Ma, X. Joint optimization of scheduling and capacity for mixed traffic with autonomous and human-driven buses: A dynamic programming approach. Transp. Res. Part C Emerg. Technol. 2020, 114, 598–619. [Google Scholar]
  18. Ding, H.; Pan, H.; Bai, H.J.; Zheng, X.Y.; Chen, J.; Zhang, W.H. Driving strategy of connected and autonomous vehicles based on multiple preceding vehicles state estimation in mixed vehicular traffic. Phys. A Stat. Mech. Appl. 2022, 596, 127154. [Google Scholar] [CrossRef]
  19. Cao, X.Y.; Zhou, B.Z.; Tang, Q.; Li, J.Q.; Shi, D.H. Urban Wasteful Transport and Its Estimation Methods. Sustainability 2019, 10, 4562. [Google Scholar] [CrossRef]
  20. Wang, Q.; Xie, N.; Hou, D.; Huang, Z.; Li, Z. Effects of Adaptive Cruise Control and Cooperative Adaptive Cruise Control on Traffic Flow. China J. Highw. Transp. 2019, 32, 188–197. (In Chinese) [Google Scholar]
  21. Yu, S.; Shi, Z. The effects of vehicular gap changes with memory on traffic flow in cooperative adaptive cruise control strategy. Phys. A Stat. Mech. Appl. 2015, 428, 206–223. [Google Scholar]
  22. Auld, J.; Sokolov, V.; Stephens, T.S. Analysis of the Effects of Connected–Automated Vehicle Technologies on Travel Demand. Transp. Res. Record. 2017, 2625, 1–8. [Google Scholar] [CrossRef]
  23. Ghiasi, A.; Hussain, O.; Qian, Z.S.; Li, X. A mixed traffic capacity analysis and lane management model for connected automated vehicles: A Markov chain method. Transp. Res. Part B Methodol. 2017, 106, 266–292. [Google Scholar]
  24. Jansuwan, S.; Liu, Z.; Song, Z.; Chen, A. An evaluation framework of automated electric transportation system. Transp. Res. Part E Logist. Transp. Rev. 2021, 148, 102265. [Google Scholar] [CrossRef]
  25. Zhang, W.; Jenelius, E.; Badia, H. Efficiency of semi-autonomous and fully autonomous bus services in trunk-and-branches networks. J. Adv. Transp. 2019, 2019, 7648735. [Google Scholar] [CrossRef]
  26. Sinha, A.; Bassil, D.; Chand, S.; Virdi, N.; Dixit, V. Impact of Connected Automated Buses in a Mixed Fleet Scenario with Connected Automated Cars. IEEE Trans. Intell. Transp. Syst. 2021, 23, 11982–11993. [Google Scholar] [CrossRef]
  27. Lu, Q.; Tettamanti, T.; Hörcher, D.; Varga, I. The impact of autonomous vehicles on urban traffic network capacity: An experimental analysis by microscopic traffic simulation. Transp. Lett. 2020, 12, 540–549. [Google Scholar]
  28. Abe, R. Introducing autonomous buses and taxis: Quantifying the potential benefits in Japanese transportation systems. Transp. Res. Part A Policy Pract. 2019, 126, 94–113. [Google Scholar]
  29. Narayanan, S.; Chaniotakis, E.; Antoniou, C. Shared autonomous vehicle services: A comprehensive review. Transp. Res. Part C Emerg. Technol. 2020, 111, 255–293. [Google Scholar]
  30. Ma, C.X.; Wang, C.; Xu, X.C. A Multi-Objective Robust Optimization Model for Customized Bus Routes. IEEE Trans. Intell. Transp. Syst. 2021, 22, 2359–2370. [Google Scholar] [CrossRef]
  31. Wen, J.; Chen, Y.X.; Nassir, N.; Zhao, J. Transit-oriented autonomous vehicle operation with integrated demand-supply interaction. Transp. Res. Part C Emerg. Technol. 2018, 97, 216–234. [Google Scholar] [CrossRef]
  32. Cao, Z.; Ceder, A.A.; Zhang, S. Real-time schedule adjustments for autonomous public transport vehicles. Transp. Res. Part C Emerg. Technol. 2019, 109, 60–78. [Google Scholar] [CrossRef]
  33. Hisham, F.; Bunker, J.M.; Bhaskar, A. Capacity estimation of on-street, mid-block, off-line bus stops considering yield-to-bus rule. Transp. Res. Record. 2019, 2673, 269–278. [Google Scholar] [CrossRef]
  34. Shen, M.; Gu, W.; Hu, S.; Cheng, H. Capacity approximations for near-and far-side bus stops in dedicated bus lanes. Transp. Res. Part B Methodol. 2019, 125, 94–120. [Google Scholar] [CrossRef]
  35. Zhang, H.B.; Sun, X.D.; He, Y.L.; Yu, R.D. Capacity models on expressway near a bus bay stop with an access. J. Cent. South Univ. 2015, 22, 3239–3246. [Google Scholar] [CrossRef]
  36. Wang, C.; Ye, Z.; Chen, E.; Xu, M.; Wang, W. Diffusion approximation for exploring the correlation between failure rate and bus-stop operation. Transp. A Transp. Sci. 2019, 15, 1306–1320. [Google Scholar]
  37. Ahmed, K.; Ben-Akiva, M.; Koutsopoulos, H.; Mishalani, R. Models of freeway lane changing and gap acceptance behavior. Transp. Traffic Theory 1996, 13, 501–515. [Google Scholar]
  38. Derbel, O.; Peter, T.; Zebiri, H.; Mourllion, B.; Basset, M. Modified intelligent driver model for driver safety and traffic stability improvement. IFAC Proc. 2013, 46, 744–749. [Google Scholar] [CrossRef]
  39. Cui, J.; Hu, B.; Xia, H.; Chen, F.; Cheng, X. Comparative analysis of simulation of multi-car-following models under SUMO platform. J. Chongqing Univ. 2021, 44, 43–54. [Google Scholar]
  40. Treiber, M.; Kesting, A. Traffic Flow Dynamics: Data, Models and Simulation; Springer: Heidelberg/Berlin, Germany, 2013; pp. 187–198. [Google Scholar]
  41. Milanés, V.; Shladover, S.E. Modeling Cooperative and Autonomous Adaptive Cruise Control dynamic responses using experimental data. Transp. Res. Part C Emerg. Technol. 2014, 48, 285–300. [Google Scholar] [CrossRef]
  42. Xiao, L.; Wang, M.; van Arem, B. Realistic car-following models for microscopic simulation of adaptive and cooperative adaptive cruise control vehicles. Transp. Res. Record. 2017, 2623, 1–9. [Google Scholar] [CrossRef]
  43. Xiao, L.; Wang, M.; Schakel, W.; van Arem, B. Unravelling effects of cooperative adaptive cruise control deactivation on traffic flow characteristics at merging bottlenecks. Transp. Res. Part C Emerg. Technol. 2018, 96, 380–397. [Google Scholar] [CrossRef]
  44. Porfyri, K.N.; Mintsis, E.; Mitsakis, E. Assessment of ACC and CACC systems using sumo. EPiC Ser. Eng. 2018, 2, 82–93. [Google Scholar]
  45. Erdmann, J. SUMO’s lane-changing model. In Proceedings of the Modeling Mobility with Open Data: 2nd SUMO Conference 2014, Berlin, Germany, 15–16 May 2014. [Google Scholar]
  46. Li, R.; Xue, X.; Wang, H. Characteristics analysis of bus stop failure using automatic vehicle location data. J. Adv. Transp. 2020, 2020, 8863262. [Google Scholar]
  47. Rhode Island Bus Stop Design Guide. Available online: https://www.ripta.com/wp-content/uploads/2020/07/bus_stop_typology_boards__8.5x11_.pdf (accessed on 22 June 2023).
  48. Wang, C.; Ye, Z.; Fricker, J.D.; Zhang, Y.; Ukkusuri, S.V. Bus capacity estimation using stochastic queuing models for isolated bus stops in china. Transp. Res. Rec. 2018, 2672, 108–120. [Google Scholar] [CrossRef]
  49. Hu, X.; Liu, T.; Hao, X.; Su, Z.; Yang, Z. Research on the influence of bus bay on traffic flow in adjacent lane: Simulations in the framework of kerner’s three-phase traffic theory. Physica A 2021, 563, 125495. [Google Scholar]
  50. Yao, Z.H.; Hu, R.; Wang, Y.; Jiang, Y.S.; Ran, B.; Chen, Y.R. Stability analysis and the fundamental diagram for mixed connected automated and human-driven vehicles. Phys. A Stat. Mech. Appl. 2019, 533, 121931. [Google Scholar] [CrossRef]
  51. Zhou, J.Z.; Zhu, F. Modeling the fundamental diagram of mixed human-driven and connected automated vehicles. Transp. Res. Part C Emerg. Technol. 2020, 115, 102614. [Google Scholar] [CrossRef]
  52. Zhong, Z.; Lee, J. The effectiveness of managed lane strategies for the near-term deployment of cooperative adaptive cruise control. Transp. Res. Part A Policy Pract. 2019, 129, 257–270. [Google Scholar]
Figure 1. The flowchart of logical methodology of the study.
Figure 1. The flowchart of logical methodology of the study.
Applsci 13 09186 g001
Figure 2. Bus lane-changing area and waiting area.
Figure 2. Bus lane-changing area and waiting area.
Applsci 13 09186 g002
Figure 3. Locations of four bus stops for dwell time data collection. (Image Source: Google Maps).
Figure 3. Locations of four bus stops for dwell time data collection. (Image Source: Google Maps).
Applsci 13 09186 g003
Figure 4. The proportion of each dwell period in the total dwell time of each bus stop: (a) no. 1 bus stop; (b) no. 2 bus stop; (c) no. 3 bus stop; (d) no. 4 bus stop.
Figure 4. The proportion of each dwell period in the total dwell time of each bus stop: (a) no. 1 bus stop; (b) no. 2 bus stop; (c) no. 3 bus stop; (d) no. 4 bus stop.
Applsci 13 09186 g004
Figure 5. The simulation scenario.
Figure 5. The simulation scenario.
Applsci 13 09186 g005
Figure 6. Flowchart of simulation model operation.
Figure 6. Flowchart of simulation model operation.
Applsci 13 09186 g006
Figure 7. FD of ten scenarios relates to flow rates under different Ra. (a) Ra = 0%; (b) Ra = 50%; (c) Ra = 100%.
Figure 7. FD of ten scenarios relates to flow rates under different Ra. (a) Ra = 0%; (b) Ra = 50%; (c) Ra = 100%.
Applsci 13 09186 g007
Figure 8. FLR of ten scenarios relates to flow rates under different Ra. (a) Ra = 0%; (b) Ra = 50%; (c) Ra = 100%.
Figure 8. FLR of ten scenarios relates to flow rates under different Ra. (a) Ra = 0%; (b) Ra = 50%; (c) Ra = 100%.
Applsci 13 09186 g008
Figure 9. The change rates of FLR of ten scenarios relate to the flow rate. (a) Ra = 0%; (b) Ra = 50%; (c) Ra = 100%.
Figure 9. The change rates of FLR of ten scenarios relate to the flow rate. (a) Ra = 0%; (b) Ra = 50%; (c) Ra = 100%.
Applsci 13 09186 g009
Figure 10. Capacity at different penetration rates of CAVs (Ra). (a) Ra = 0%; (b) Ra = 50%; (c) Ra = 100%.
Figure 10. Capacity at different penetration rates of CAVs (Ra). (a) Ra = 0%; (b) Ra = 50%; (c) Ra = 100%.
Applsci 13 09186 g010
Figure 11. The fitting curve of the relationship between FD and traffic capacity for simulation schemes under different rates of Ra. (a) Fitting curve for ten schemes when Ra is 0%; (b) fitting curve for ten schemes when Ra is 50%; (c) fitting curve for ten schemes when Ra is 100%; (d) fitting curves for nine schemes when Ra is 0%; (e) fitting curves for nine schemes when Ra is 50%; (f) fitting curves for nine schemes when Ra is 100%.
Figure 11. The fitting curve of the relationship between FD and traffic capacity for simulation schemes under different rates of Ra. (a) Fitting curve for ten schemes when Ra is 0%; (b) fitting curve for ten schemes when Ra is 50%; (c) fitting curve for ten schemes when Ra is 100%; (d) fitting curves for nine schemes when Ra is 0%; (e) fitting curves for nine schemes when Ra is 50%; (f) fitting curves for nine schemes when Ra is 100%.
Applsci 13 09186 g011
Figure 12. The FLR–traffic capacity relationship fitting curve for ten simulation scenarios under different Ra. (a) Ra = 0%; (b) Ra = 50%; (c) Ra = 100%.
Figure 12. The FLR–traffic capacity relationship fitting curve for ten simulation scenarios under different Ra. (a) Ra = 0%; (b) Ra = 50%; (c) Ra = 100%.
Applsci 13 09186 g012
Figure 13. The measured values and observed values of traffic capacity around four bus stops: (a) no. 1 bus stop; (b) no. 2 bus stop; (c) no. 3 bus stop; (d) no. 4 bus stop.
Figure 13. The measured values and observed values of traffic capacity around four bus stops: (a) no. 1 bus stop; (b) no. 2 bus stop; (c) no. 3 bus stop; (d) no. 4 bus stop.
Applsci 13 09186 g013
Figure 14. The FD–CCAV relationship fitting curve under different Ra. (a) Ra = 50%; (b) Ra = 100%.
Figure 14. The FD–CCAV relationship fitting curve under different Ra. (a) Ra = 50%; (b) Ra = 100%.
Applsci 13 09186 g014
Figure 15. The FLR–CCAV relationship fitting curve under different Ra. (a) Ra = 50%; (b) Ra = 100%.
Figure 15. The FLR–CCAV relationship fitting curve under different Ra. (a) Ra = 50%; (b) Ra = 100%.
Applsci 13 09186 g015
Table 1. Details of bus routes associated with four bus stops.
Table 1. Details of bus routes associated with four bus stops.
No.Bus Stop (Number of Bus Berths)DirectionBus RoutesAcquisition DataFlow Rate
1Qingliangmen Street–Guanzi BridgeW→ERoutes 60, 303, 317991384
2Central South Village W→ERoutes 23, 60, 133, 303, 5111271460
3Phoenix Garden CityN→SRoutes 18, 57, 204871402
4Jiangdong North Road–Dongbao RoadS→NRoutes 9, 23, 39, 56, 510, 5111371571
Table 2. The p-value of well-fitted candidate distributions.
Table 2. The p-value of well-fitted candidate distributions.
Distributionp-Value
#1#2#3#4Average
Error0.83120.789490.667210.394240.670535
Gen. extreme value0.655920.789340.935960.761770.785748
Gen. gamma0.67360.804510.966290.613420.764455
Gen. logistic0.904060.712140.901870.605580.780913
Normal0.668140.924460.815680.379950.697058
Weibull0.479850.663360.945480.617750.67661
Table 3. Classification criteria and specific typologies of bus stops.
Table 3. Classification criteria and specific typologies of bus stops.
No.Attribute of Bus StopTypologies
1Distance to crosswalkNear-side of crosswalk bus stop
Far-side of crosswalk bus stop
2Location of the cross-sectionMedian bus stop
Curbside bus stop
3FormOn-line bus stop
Off-line bus stop (bus bay)
4Number of bus berthSingle-berth bus stop
Multi-berth bus stop
5Station designEnclosed bus stop
Non-enclosed bus stop
6Bus laneBus stop with grade-separated bus lanes
Bus stop with at-grade bus lanes
Bus stop with non-exclusive bus lanes
Table 4. The basic attributes of four vehicle types.
Table 4. The basic attributes of four vehicle types.
V-TypeLength
(m)
Width
(m)
Acceleration Ability (m/s2)Deceleration Ability (m/s2)Car-Following ModelLane-Change Model
H car51.824.5IDMLC2013
CA car51.824.5CACCLC2013
H bus102.52.64.5IDMLC2013
CA bus102.52.64.5CACCLC2013
Table 5. The main parameters of car-following and lane-change model of four vehicle types.
Table 5. The main parameters of car-following and lane-change model of four vehicle types.
V-TypeDesired Time HeadwaylcStrategiclcCooperativelcSpeedGain
H car1.51000.6120
CA car12001120
H bus1.51000.340
CA bus12000.880
Table 6. Simulation schemes.
Table 6. Simulation schemes.
No.Bus Flow Rate (veh/h)Dwelling Time (s)Station Type
11050Single-berth bus bay stop
22050Single-berth bus bay stop
33050Single-berth bus bay stop
44050Single-berth bus bay stop
52030Single-berth bus bay stop
62040Single-berth bus bay stop
72060Single-berth bus bay stop
82050Single-berth curbside bus stop
92050Double-berth no-overtaking bus bay stop
102050Double-berth overtaking bus bay stop
Table 7. The fitting function used and the R2 of FD/Q-Capacity (Ra = 0%).
Table 7. The fitting function used and the R2 of FD/Q-Capacity (Ra = 0%).
Function ModelFunction ExpressionR2
Linear function y = 2106.5 x + 1566.7 0.9041
Polynomial function y = 3853.6 x 2 2645.3 x + 1577.5 0.9074
Logarithmic function y = 103 l n ( x ) + 1114.2 0.9118
Exponential function y = 1570.5 e 1.481 x 0.9064
Table 8. The fitting function used and the R2 of FD/Q-Capacity (Ra = 50%).
Table 8. The fitting function used and the R2 of FD/Q-Capacity (Ra = 50%).
Function ModelFunction ExpressionR2
Linear function y = 2578.8 x + 2231.1 0.9716
Polynomial function y = 1157.5 x 2 2427.4 x + 2228.3 0.9719
Logarithmic function y = 106.3 l n ( x ) + 1740.5 0.8919
Exponential function y = 2235.1 e 1.253 x 0.9706
Table 9. The fitting function used and the R2 of FD/Q-Capacity (Ra = 100%).
Table 9. The fitting function used and the R2 of FD/Q-Capacity (Ra = 100%).
Function ModelFunction ExpressionR2
Linear function y = 3922.4 x + 3274.9 0.9374
Polynomial function y = 1157.5 x 2 2427.4 x + 2228.3 0.9505
Logarithmic function y = 139.3 l n ( x ) + 2602.8 0.9173
Exponential function y = 3278.6 e 1.284 x 0.9419
Table 10. The fitting function used and the R2 of FLR/Q-Capacity (Ra = 0%).
Table 10. The fitting function used and the R2 of FLR/Q-Capacity (Ra = 0%).
Function ModelFunction ExpressionR2
Linear function y = 28,739.9 x + 1798.4 0.91744
Polynomial function y = 228,679.2 x 2 22,452.1 x + 1758.6 0.91789
Logarithmic function y = 374.3 l n ( x ) 216.44 0.90707
Exponential function y = 1855.4 e 20.56 x 0.91569
Table 11. The fitting function used and the R2 of FLR/Q-Capacity (Ra = 50%).
Table 11. The fitting function used and the R2 of FLR/Q-Capacity (Ra = 50%).
Function ModelFunction ExpressionR2
Linear function y = 46,171.4 x + 2518.1 0.96177
Polynomial function y = 929,568.1 x 2 26,888.4 x + 2425.8 0.96427
Logarithmic function y = 446.6 l n ( x ) 18.459 0.96115
Exponential function y = 2576.5 e 22.77 x 0.9581
Table 12. The fitting function used and the R2 of FLR/Q-Capacity (Ra = 100%).
Table 12. The fitting function used and the R2 of FLR/Q-Capacity (Ra = 100%).
Function ModelFunction ExpressionR2
Linear function y = 2578.8 x + 2231.1 0.9716
Polynomial function y = 1157.5 x 2 2427.4 x + 2228.3 0.9719
Logarithmic functiony = −106.3ln(x) + 1740.50.8919
Exponential function y = 2235.1 e 1.253 x 0.9706
Table 13. The fitting function used and the R2 of FLR/Q-Capacity.
Table 13. The fitting function used and the R2 of FLR/Q-Capacity.
Bus StopR2
FD—CapacityFLR—Capacity
No. 10.90700.9101
No. 20.90010.8879
No. 30.85220.9253
No. 40.94250.9230
Table 14. The fitting function and the R2 of FD/Q-CCAV.
Table 14. The fitting function and the R2 of FD/Q-CCAV.
Penetration RateFunction ExpressionR2
50% y = 6,197,619 x 4 2,121,049 x 3 + 235,636 x 2 11,724 x + 2336.59 0.98638
100% y = 1.774 × 10 7 x 4 5,660,970 x 3 + 597,902 x 2 26,538 x + 3533.47 0.98001
Table 15. The fitting function and the R2 of FLR/Q-CCAV.
Table 15. The fitting function and the R2 of FLR/Q-CCAV.
Penetration RateFunction ExpressionR2
50% y = 6.3185 × 10 9 x 4 + 5.1064 × 10 7 x 3 + 3,880,941 x 2 97,434 x + 2770.83 0.95952
100% y = 2.4517 × 10 10 x 4 + 6.4746 × 10 8 x 3 783,408 x 2 140,060 x + 4242.43 0.95693
Disclaimer/Publisher’s Note: The statements, opinions and data contained in all publications are solely those of the individual author(s) and contributor(s) and not of MDPI and/or the editor(s). MDPI and/or the editor(s) disclaim responsibility for any injury to people or property resulting from any ideas, methods, instructions or products referred to in the content.

Share and Cite

MDPI and ACS Style

Li, R.; Yang, Q.; Qi, T.; Xue, X. Simulation Analysis of Capacity Evaluation of Bus Stops under Connected and Automated Vehicles Environment. Appl. Sci. 2023, 13, 9186. https://doi.org/10.3390/app13169186

AMA Style

Li R, Yang Q, Qi T, Xue X. Simulation Analysis of Capacity Evaluation of Bus Stops under Connected and Automated Vehicles Environment. Applied Sciences. 2023; 13(16):9186. https://doi.org/10.3390/app13169186

Chicago/Turabian Style

Li, Rui, Qiao Yang, Tianjing Qi, and Xin Xue. 2023. "Simulation Analysis of Capacity Evaluation of Bus Stops under Connected and Automated Vehicles Environment" Applied Sciences 13, no. 16: 9186. https://doi.org/10.3390/app13169186

APA Style

Li, R., Yang, Q., Qi, T., & Xue, X. (2023). Simulation Analysis of Capacity Evaluation of Bus Stops under Connected and Automated Vehicles Environment. Applied Sciences, 13(16), 9186. https://doi.org/10.3390/app13169186

Note that from the first issue of 2016, this journal uses article numbers instead of page numbers. See further details here.

Article Metrics

Back to TopTop