Intelligent Trajectory Prediction Algorithm for Reentry Glide Target Based on Intention Inference
Abstract
Featured Application
Abstract
1. Introduction
- According to the guidance characteristics of the reentry glide target, an initial and last state modification network, parameter modification network and parameter value prediction network are proposed to realize the prediction of target control parameter values;
- The importance map of strategic places and the association model between key points and trajectories are proposed. On this basis, the relative importance, time-to-go, cross-range and longitudinal range can be further calculated, which better reflects the intention of the target;
- The intention inference network of the target is designed by using the deep temporal network, and an explainable model of the threat function is learnt. Combined with the designed change rule of bank angle, the long-term trajectory prediction of the reentry glide target is realized.
2. Dynamic Models and Parameter Prediction Models of Reentry Glide Targets
2.1. Dynamic Model of Reentry Glide Targets
2.2. Control Parameter Models of Reentry Glide Target
3. Parameter Value Prediction Network
3.1. Initial and Last State Modification Network
3.2. Parameter Modification Network
3.3. Parameter Value Prediction Network
4. Importance Map of Strategic Places and the Association Model between Strategic Places and Trajectories
4.1. Importance Map of Strategic Places
4.2. Association Models between Strategic Places and Trajectory
4.2.1. Model Setting
4.2.2. Realization Method
- (1)
- Calculation of reach region.
- (2)
- Calculation of the bank angle and time-to-go for key points.
- (3)
- Calculation of mapping corridor of no-fly zones.
- (4)
- Estimation of time-to-go for key points within mapping corridor.
5. Intelligent Trajectory Prediction Algorithm Based on Intention Inference
5.1. Factors Influencing the Target Threat Value
- (1)
- Analysis of the influence of cross-range.
- (2)
- Analysis of the influence of longitudinal range
- (3)
- Analysis of time-to-go.
- (4)
- Analysis of relative importance.
5.2. Design of Intention Inference Network
5.3. Signal Change Commonly Used in Predictor–Corrector Guidance
- (1)
- The reentry glide target will fly towards the key point;
- (2)
- The reentry glide target will avoid the no-fly zone.
5.4. Process of Intelligent Trajectory Prediction Based on Intention Inference
- (1)
- In order to improve the efficiency of network learning, the observed data are normalized first and then input into the initial and last state modification network to obtain modified initial and last state of observation, which can improve the accuracy of predicted trajectory and modified filtering trajectory;
- (2)
- Obtain the filtering data by the trajectory tracking algorithm;
- (3)
- Input the filter control parameters into the parameter modification network to obtain more accurate filtering control parameters ;
- (4)
- Input the value of modified filtering control parameters into the parameter value prediction network, and obtain the predicted control parameter values according to the temporal law of ;
- (5)
- Based on the importance map, trajectories association models and others, obtain the influence factors such as cross-range, longitudinal range, time-to-go, and relative importance, then input these factors into the intention inference network, identify the intention of target, and obtain the threat value;
- (6)
- According to the intention of the target, combine the sign change rule of bank angle with the predicted control parameter value, and extrapolate the predicted trajectory by the integral-iteration method.
5.5. Loss Function of Whole Network
6. Simulation
6.1. Simulation Environment and Related Settings
- (1)
- Setting of simulation
- (2)
- Training conditions
- (3)
- Definition of errors
6.2. Prediction Effect of Parameter Value Prediction Network
6.3. Influence Factors of Intention and Inference Effects
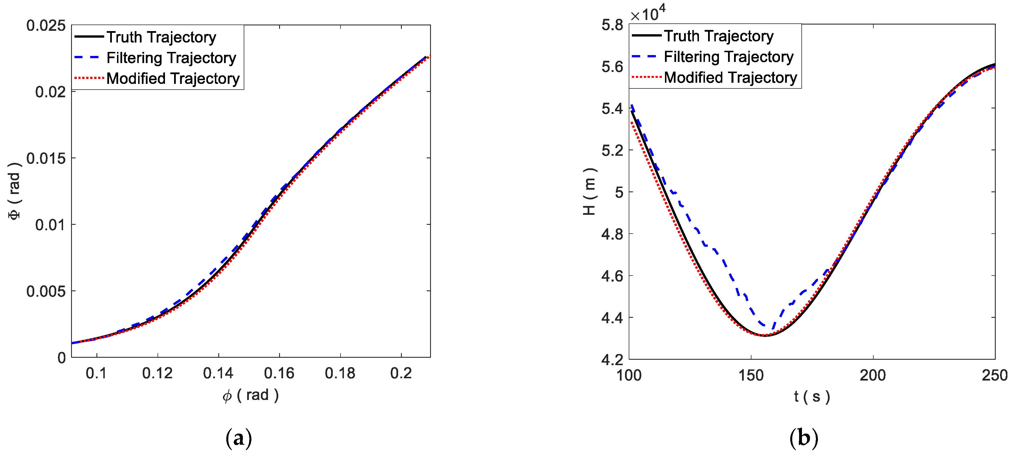
6.4. Validity Analysis of Trajectory Prediction
6.5. Error Analysis of the Proposed Method
6.6. Comparison with Other Prediction Methods
7. Conclusions
Author Contributions
Funding
Institutional Review Board Statement
Informed Consent Statement
Data Availability Statement
Conflicts of Interest
Nomenclature
| Magnitude | Meaning | Units |
| Flight height of HGV | m | |
| Radius of earth | m | |
| Longitude and Latitude of HGV | rad | |
| Flight path angle of HGV | rad | |
| Flight heading angle of HGV | rad | |
| Lift and Drag force of HGV | N | |
| Atmospheric Density | Kg/m3 | |
| Atmospheric density constant | Kg/m3 | |
| Atmospheric altitude constant | m | |
| Control Parameter | m2/s | |
| Bank angle of HGV | rad | |
| Turing acceleration in Association Model | m/s2 | |
| Bank angle making trajetories the trajectory tangent to the no-fly zone | rad | |
| Time to go calcaulated in Association Model | s | |
| Cross-range | rad | |
| Range-to-go | rad | |
| Flight heading deviation angle | rad | |
| Longitudinal range difination in Section 5.1 | ||
| Dimensionless time-to-go | ||
| Relative importance | ||
| G | Threat value | |
| P | The intention inference | |
| Loss of neural network | ||
| AESD | Average spatial distance between truth trajectories and predicted trajectories | m |
| MESD | Maximum spatial distance between truth trajectories and predicted trajectories | m |
References
- Xie, Y.; Liu, L.; Tang, G.; Zheng, W. A reentry trajectory planning approach satisfying waypoint and no-fly zone constraints. In Proceedings of the 5th International Conference on Recent Advances in Space Technologies-RAST2011, Istanbul, Turkey, 9–11 June 2011; pp. 241–246. [Google Scholar]
- Luo, C.; Lei, H.; Li, J.; Zhou, C. A new adaptive neural control scheme for hypersonic vehicle with actuators multiple constraints. Nonlinear Dyn. 2020, 100, 3529–3553. [Google Scholar] [CrossRef]
- Bu, X.; Qi, Q.; Jiang, B. A Simplified Finite-Time Fuzzy Neural Controller with Prescribed Performance Applied to Waverider Aircraft. IEEE Trans. Fuzzy Syst. 2021, 30, 2529–2537. [Google Scholar] [CrossRef]
- Bu, X.; Jiang, B.; Lei, H. Non-fragile Quantitative Prescribed Performance Control of Waverider Vehicles with Actuator Saturation. IEEE Trans. Aerosp. Electron. Syst. 2022, 58, 3538–3548. [Google Scholar] [CrossRef]
- Zhai, D.L.; Lei, H.M.; Li, J.; Liu, T. Trajectory prediction of hypersonic vehicle based on adaptive IMM. Acta Aeronaut. Et Astronaut. Sin. 2016, 37, 3466–3475. [Google Scholar]
- Li, S.; Lei, H.; Zhou, C. Trajectory Prediction Algorithm for Hypersonic Reentry Glide Target Based on Control Variables Estimation. Syst. Eng. Electron. 2020, 42, 2320–2327. [Google Scholar]
- Han, C.; Xiong, J.; Zhang, K. Method of Trajectory Prediction for Unpowered Gliding Hypersonic Vehicle. Mod. Def. Technol. 2018, 46, 146–151. [Google Scholar]
- Ferreira, L.O. Nonlinear Dynamics and Stability of Hypersonic Reentry Vehicles; University of Michigan: Ann Arbor, MI, USA, 1995. [Google Scholar]
- Chen, X.; Hou, Z.; Liu, J.; Chen, X. Phugoid Dynamic Characteristic of Hypersonic Gliding Vehicles. Sci. China Inf. Sci. 2011, 54, 542–550. [Google Scholar] [CrossRef][Green Version]
- Vinh, N.X.; Kim, E.K.; Greenwood, D.T. Second-Order Analytical Solutions for Re-entry Trajectories. In Proceedings of the AIAA Atmospheric Flight Mechanic Conference, Monterey, CA, USA, 9–11 August 1993. [Google Scholar]
- Vinh, N.X.; Kuo, Z.S. Improved Matched Asymptotic Solutions for Three-Dimensional Atmospheric Skip Trajectories. In Proceedings of the AIAA/AAS Astrodynamic Conference, San Diego, CA, USA, 29–31 July 1996. [Google Scholar]
- Lu, P. Asymptotic Analysis of Quasi-Equilibrium Glide in Lifting Entry Flight. J. Guid. Control Dyn. 2006, 29, 662–670. [Google Scholar] [CrossRef]
- Zhang, J.; Xiong, J.; Lan, X.; Shen, Y.; Chen, X.; Xi, Q. Trajectory prediction of hypersonic glide vehicle based on SVM and EKF. IEEE Sens. J. 2020, 46, 2094–2105. [Google Scholar]
- Liu, Y.; Li, X.R. Intent Based Trajectory Prediction by Multiple Model Prediction and Smoothing. In Proceedings of the AIAA Guidance, Navigation, and Control Conference, Kissimmee, FL, USA, 5–9 January 2015. [Google Scholar]
- Frontera, G.; Besada, J.A.; López-Leonés, J. Generation of Aircraft Intent Based on a Microstrategy Search Tree. IEEE Trans. Intell. Transp. Syst. 2017, 18, 1405–1421. [Google Scholar] [CrossRef]
- Kai, Z.; Xiong, J. Discussion on Long-Term Trajectory Prediction of Hypersonic Gliding Reentry Vehicle. Tactical Missile Technol. 2018, 4, 13–17. [Google Scholar]
- Kai, Z.; Jiajun, X.; Fan, L.; Ting-Ting, F.U. Bayesian Trajectory Prediction for a Hypersonic Gliding Reentry Vehicle Based on Intent Inference. Yuhang Xuebao/J. Astronaut. 2018, 39, 1258–1265. [Google Scholar]
- Hu, Y.; Gao, C.; Li, J.; Jing, W.; Li, Z. Novel trajectory prediction algorithms for hypersonic gliding vehicles based on maneuver mode on-line identification and intent inference. Meas. Sci. Technol. 2021, 32, 115012. [Google Scholar] [CrossRef]
- Gers, F.A.; Schmidhuber, J.; Cummins, F. Learning to Forget: Continual Prediction with LSTM. Neural Comput. 2000, 12, 2451–2471. [Google Scholar] [CrossRef] [PubMed]
- Zou, Z.; Shi, Z.; Guo, Y.; Ye, J. Object Detection in 20 Years: A Survey. arXiv 2019, arXiv:1905.05055. [Google Scholar]
- Guoqiang, Z.; Lingfang, S.; Xiuyu, Z. Neural Networks Approximator Based Robust Adaptive Controller Design of Hypersonic Flight Vehicles Systems Coupled with Stochastic Disturbance and Dynamic Uncertainties. Math. Probl. Eng. 2017, 2017, 7864375. [Google Scholar]
- Wang, S.; Zhao, P.; Yu, B.; Huang, W.; Liang, H. Vehicle Trajectory Prediction by Knowledge-Driven LSTM Network in Urban Environments. J. Adv. Transp. 2020, 2020, 8894060. [Google Scholar] [CrossRef]
- Cai, Y.; Deng, Y.; Su, Y. LSTM based Trajectory Classification and Prediciton for Hypersonic Vehicle. In Proceedings of the 21st Chinese Coference on System Simulation Technology and Application (CCSSTA21st), Kunming city, China, 26–28 August 2020; Volume 5. [Google Scholar]
- Xie, Y.; Zhuang, X.; Xi, Z.; Chen, H. Dual-Channel and Bidirectional Neural Network for Hypersonic Glide Vehicle Trajectory Prediction. IEEE Access 2021, 9, 92913–92924. [Google Scholar] [CrossRef]
- Zhang, J.; Xiong, J.; Li, L.; Xi, Q.; Chen, X.; Li, F. Motion State Recognition and Trajectory Prediction of Hypersonic Glide Vehicle Based on Deep Learning. IEEE Access 2022, 10, 21095–21108. [Google Scholar] [CrossRef]
- Bartusiak, E.R.; Hao, H.; Jacobs, M.A.; Nguyen, N.X.; Chan, M.W.; Comer, M.L.; Delp, E.J. A Stochastic Grammar Approach to Predict Flight Phases of a Hypersonic Glide Vehicle. In Proceedings of the 2022 IEEE Aerospace Conference (AERO), Big Sky, MT, USA, 5–12 March 2022; pp. 1–15. [Google Scholar] [CrossRef]
- Tian, B.L.; Li, Z.Y.; Wu, S.Y. Reentry trajectory optimization, guidance and control methods for reusable launch vehicles: Review. Acta Aeronaut. Et Astronaut. Sin. 2020, 41, 6–30. [Google Scholar]
- Zhang, K.; Shi, G.X.; Wang, P. Predictor-Corrector Reentry Guidance with Crossrange Dynamic Constraint. J. Astronaut. 2020, 41, 9. [Google Scholar]
- Phillips, T.H. A Common Aero Vehicle (CAV) Model, Description, and Employment Guide. Schafer Corp. AFRL AFSPC 2003, 27, 1–12. [Google Scholar]
- Lin, H.; Du, Y.; Mooij, E.; Liu, W. Improved Predictor-Corrector Guidance with Hybrid Lateral Logic for No-fly Zone Avoidance. In Proceedings of the 2019 International Conference on Control, Automation and Information Sciences (ICCAIS), Chengdu, China, 23–26 October 2019. [Google Scholar]
- Li, S.; Lei, H.; Shao, L.; Xiao, C. Multiple Model Tracking for Hypersonic Gliding Vehicles with Aerodynamic is Modeling and Analysis. IEEE Access 2019, 7, 28011–28018. [Google Scholar] [CrossRef]






















| Prediction Time | Index | Longitudinal Error | Lateral Error | Whole Error |
|---|---|---|---|---|
| 100 s | AESD(m) | 197.53 | 1608.50 | 1647.70 |
| MESD(m) | 424.52 | 8889.49 | 8918.06 | |
| 200 s | AESD(m) | 554.75 | 6503.50 | 6584.09 |
| MESD(m) | 2081.72 | 18,374.25 | 18,416.55 | |
| 300 s | AESD(m) | 1296.75 | 10,505.79 | 10,662.39 |
| MESD(m) | 3401.00 | 31,747.06 | 31,907.31 |
| Methods | Index | 100 s | 150 s | 200 s |
|---|---|---|---|---|
| Proposed method | AESD(m) | 1647.70 | 5522.77 | 6584.09 |
| MESD(m) | 8918.06 | 17,103.62 | 18,416.55 | |
| VTC prediction method | AESD(m) | 23,001.35 | — | — |
| MESD(m) | 101,632.79 | — | — | |
| DBL prediction method | AESD(m) | 24,620.28 | — | — |
| MESD(m) | 200,958.71 | — | — | |
| Reference method | AESD(m) | 4231.36 | 6862.23 | 10,446.81 |
| MESD(m) | 17,213.44 | 26,843.11 | 52,487.36 |
Publisher’s Note: MDPI stays neutral with regard to jurisdictional claims in published maps and institutional affiliations. |
© 2022 by the authors. Licensee MDPI, Basel, Switzerland. This article is an open access article distributed under the terms and conditions of the Creative Commons Attribution (CC BY) license (https://creativecommons.org/licenses/by/4.0/).
Share and Cite
Li, M.; Zhou, C.; Shao, L.; Lei, H.; Luo, C. Intelligent Trajectory Prediction Algorithm for Reentry Glide Target Based on Intention Inference. Appl. Sci. 2022, 12, 10796. https://doi.org/10.3390/app122110796
Li M, Zhou C, Shao L, Lei H, Luo C. Intelligent Trajectory Prediction Algorithm for Reentry Glide Target Based on Intention Inference. Applied Sciences. 2022; 12(21):10796. https://doi.org/10.3390/app122110796
Chicago/Turabian StyleLi, Mingjie, Chijun Zhou, Lei Shao, Humin Lei, and Changxin Luo. 2022. "Intelligent Trajectory Prediction Algorithm for Reentry Glide Target Based on Intention Inference" Applied Sciences 12, no. 21: 10796. https://doi.org/10.3390/app122110796
APA StyleLi, M., Zhou, C., Shao, L., Lei, H., & Luo, C. (2022). Intelligent Trajectory Prediction Algorithm for Reentry Glide Target Based on Intention Inference. Applied Sciences, 12(21), 10796. https://doi.org/10.3390/app122110796
