Field Measurements for Traffic Noise Reduction in Highway Tunnels Using Closed-Cell Aluminum Foam Board
Abstract
:1. Introduction
2. Possibility Analysis and Testing Method of the Structure Sound Absorption Performance
2.1. Analysis of the Possibility of Sound Absorption
2.2. Testing Method
3. Field Test
3.1. Engineering Background
3.2. Installation Method
3.3. Case I
3.4. Case II
4. Results and Discussion
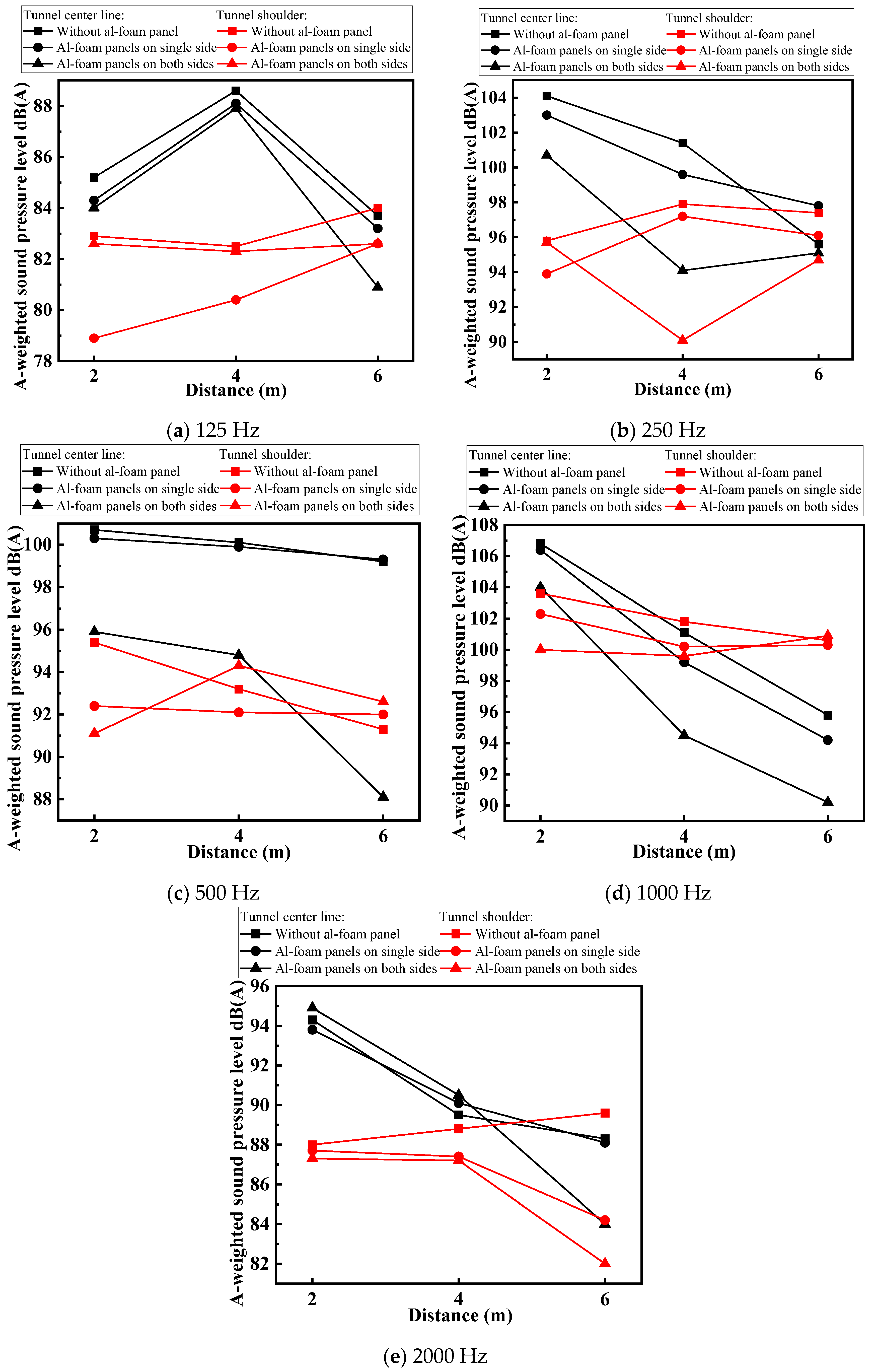
4.1. Test Results of Fixed-Point Pure Tone in the Tunnel
- (1)
- Effect of location and distance
- (2)
- Effect of frequency
4.2. Test Results of Car Noise in the Tunnel
5. Field Application Effect Evaluation
6. Conclusions
Author Contributions
Funding
Institutional Review Board Statement
Informed Consent Statement
Data Availability Statement
Acknowledgments
Conflicts of Interest
References
- Gong, C.; Ding, W.; Mosalam, K.M.; Günayc, S.; Sogac, K. Comparison of the structural behavior of reinforced concrete and steel fiber reinforced concrete tunnel segmental joints. Tunn. Undergr. Space Technol. 2017, 68, 38–57. [Google Scholar] [CrossRef]
- Ding, W.; Gong, C.; Mosalam, K.M.; Soga, K. Development and application of the integrated sealant test apparatus for sealing gaskets in tunnel segmental joints. Tunn. Undergr. Space Technol. 2017, 63, 54–68. [Google Scholar] [CrossRef]
- Lei, M.; Zhu, B.; Gong, C.; Ding, W.; Liu, L. Sealing performance of a precast tunnel gasketed joint under high hydrostatic pressures: Site investigation and detailed numerical modeling. Tunn. Undergr. Space Technol. 2021, 115, 104082. [Google Scholar] [CrossRef]
- Zeng, S. Analysis of the influence of the characteristics of mountain soil and the noise in the tunnel on people: Active noise control system. Arab. J. Geosci. 2021, 14, 912. [Google Scholar] [CrossRef]
- Kang, J. A method for predicting acoustic indices in long enclosures. Appl. Acoust. 1997, 51, 169–180. [Google Scholar] [CrossRef]
- Kang, J. The Unsuitability of the Classic Room Acoustical Theory in Long Enclosures. Archit. Sci. Rev. 1996, 39, 89–94. [Google Scholar] [CrossRef]
- Li, K.M.; Iu, K.K. Propagation of sound in long enclosures. J. Acoust. Soc. Am. 2004, 116, 2759–2770. [Google Scholar] [CrossRef]
- Liu, J.C. Sound propagation in long enclosures with a vertical or inclined branch. Appl. Acoust. 2006, 67, 1022–1030. [Google Scholar] [CrossRef]
- Wang, G.; Smith, G.; Shores, R. Pavement noise investigation on North Carolina highways: An on-board sound intensity approach. Can. J. Civ. Eng. 2012, 39, 878–886. [Google Scholar] [CrossRef]
- An, D.; Lee, J.; Ohm, B.; Son, H.; Kwon, S. A study of pavement noise for asphalt pavements with different service life in national highway. In Proceedings of the INTER-NOISE and NOISE-CON Congress and Conference Proceedings, Kaist, Korea, 16–19 November 2014. [Google Scholar]
- Fang, J.; Tu, J.; Wu, K. Analysis of Skid Resistance and Noise Characteristics for Varieties of Concrete Pavement. Adv. Mater. Sci. Eng. 2020, 2020, 1–8. [Google Scholar] [CrossRef]
- Gupta, P.; Parey, A. To investigate the influence of sound-absorbing materials on the transmission loss of double-wall panel. Mater. Today Proc. 2021, 44, 1500–1503. [Google Scholar] [CrossRef]
- Xu, X.B.; Liu, P.S.; Chen, G.F.; Li, C.P. Sound Absorption Performance of Highly Porous Stainless Steel Foam with Reticular Structure. Met. Mater. Int. 2021, 27, 3316–3324. [Google Scholar] [CrossRef]
- Liang, L.S.; Wu, X.L.; Ma, N.N.; Du, J.J.; Liu, M.B. The Sound Absorption Properties Comparison of Metal Foams and Flexible Cellular Materials. Materials Science Forum; Trans Tech Publications Ltd.: Zürich, Switzerland, 2018; pp. 357–366. [Google Scholar]
- Opiela, K.C.; Zieliński, T.G.; Dvorák, T.; Kudela, S., Jr. Perforated closed-cell aluminium foam for acoustic absorption. Appl. Acoust. 2021, 174, 107706. [Google Scholar] [CrossRef]
- Umnova, O. Propagation of Sound in Porous Media: Modelling of Sound Absorbing Materials. J. Sound Vib. 2010, 329, 4333–4334. [Google Scholar]
- Allard, J.F.; Daigle, G. Propagation of Sound in Porous Media: Modeling Sound AbsorbingMaterials. J. Acoust. Soc. Am. 1994, 95, 2785. [Google Scholar] [CrossRef] [Green Version]
- Li, Y.; Li, Z.; Han, F. Air Flow Resistance and Sound Absorption Behavior of Open-celled Aluminum Foams with Spherical Cells. Procedia Mater. Sci. 2014, 4, 187–190. [Google Scholar] [CrossRef] [Green Version]
- Lu, T.J.; Chen, F.; He, D. Sound absorption of cellular metals with semiopen cells. J. Acoust. Soc. Am. 2000, 108, 1697–1709. [Google Scholar] [CrossRef] [PubMed]
- Lu, T.J.; Hess, A.; Ashby, M.F. Sound absorption in metallic foams. J. Appl. Phys. 1999, 85, 7528–7539. [Google Scholar] [CrossRef]
- Akiwate, D.C.; Date, M.D.; Venkatesham, B.; Suryakumar, S. Acoustic characterization of additive manufactured perforated panel backed by honeycomb structure with circular and non-circular perforations. Appl. Acoust. 2019, 155, 271–279. [Google Scholar] [CrossRef]
- Wang, K.; Wang, W.; Yan, X. Effect of hole on sound absorption coefficient of micro-perforated panels investigated by Melling computing. Concurr. Comput. Pract. Exp. 2019, 31, e4725. [Google Scholar] [CrossRef]
- Byakova, A.; Gnyloskurenko, S.; Bezimyanniy, Y.; Nakamura, T. Closed-Cell Aluminum Foam of Improved Sound Absorption Ability: Manufacture and Properties. Metals 2014, 4, 445–454. [Google Scholar] [CrossRef] [Green Version]
- Xia, X.; Zhang, Z.; Zhao, W.; Li, C.; Ding, J.; Liu, C.; Liu, Y. Acoustic properties of closed-cell aluminum foams with different macrostructures. J. Mater. Sci. Technol. 2017, 33, 1227–1234. [Google Scholar] [CrossRef]
- Cheng, W.; Duan, C.-Y.; Liu, P.-S.; Lu, M. Sound absorption performance of various nickel foam-base multi-layer structures in range of low frequency. Trans. Nonferrous Met. Soc. China 2017, 27, 1989–1995. [Google Scholar] [CrossRef]
- Kim, S.Y.; Park, S.H.; Um, Y.S.; Hur, B.Y. Sound Absorption Properties of Al Foam. Materials Science Forum; Trans Tech Publications Ltd.: Zürich, Switzerland, 2005; pp. 468–471, 486–487. [Google Scholar]
- Ye, H.; Ma, M.; Ni, Q. An experimental study on mid-high temperature effective thermal conductivity of the closed-cell aluminum foam. Appl. Therm. Eng. 2015, 77, 127–133. [Google Scholar] [CrossRef]
- Ye, H.; Ma, M.; Yu, J. Anomalies in mid-high-temperature linear thermal expansion coefficient of the closed-cell aluminum foam. Chin. Sci. Bull. 2014, 59, 3669–3675. [Google Scholar] [CrossRef]
- Navacerrada, M.A.; Fernández, P.; Díaz, C.; Pedrero, A. Thermal and acoustic properties of aluminium foams manufactured by the infiltration process. Appl. Acoust. 2013, 74, 496–501. [Google Scholar] [CrossRef] [Green Version]
Parameter | Density g/cm3 | Compressive Strength MPa | Rigidity GPa | Thermal Expansion Coefficient/°C | Thermal Conductivity W/(m·K) | Noise Reduction Coefficient |
---|---|---|---|---|---|---|
Index | 0.1~1.0 | 1~35 | 0.7~1.4 | (14~20) × 10−6 | 0.2~0.8 | 0.4~0.8 |
Condition. | Frequency/Position/Distance | Condition | Frequency/Position/Distance | Condition | Frequency/Position/Distance |
---|---|---|---|---|---|
1 | 125 Hz/midline/2 m | 11 | 250 Hz/shoulder/4 m | 21 | 1000 Hz/midline/6 m |
2 | 125 Hz/midline/4 m | 12 | 250 Hz/shoulder/6 m | 22 | 1000 Hz/shoulder/2 m |
3 | 125 Hz/midline/6 m | 13 | 500 Hz/midline/2 m | 23 | 1000 Hz/shoulder/4 m |
4 | 125 Hz/shoulder/2 m | 14 | 500 Hz/midline/4 m | 24 | 1000 Hz/shoulder/6 m |
5 | 125 Hz/shoulder/4 m | 15 | 500 Hz/midline/6 m | 25 | 2000 Hz/midline/2 m |
6 | 125 Hz/shoulder/6 m | 16 | 500 Hz/shoulder/2 m | 26 | 2000 Hz/midline/4 m |
7 | 250 Hz/midline/2 m | 17 | 500 Hz/shoulder/4 m | 27 | 2000 Hz/midline/6 m |
8 | 250 Hz/midline/4 m | 18 | 500 Hz/shoulder/6 m | 28 | 2000 Hz/shoulder/2 m |
9 | 250 Hz/midline/6 m | 19 | 1000 Hz/midline/2 m | 29 | 2000 Hz/shoulder/4 m |
10 | 250 Hz/shoulder/2 m | 20 | 1000 Hz/midline/4 m | 30 | 2000 Hz/shoulder/6 m |
Publisher’s Note: MDPI stays neutral with regard to jurisdictional claims in published maps and institutional affiliations. |
© 2022 by the authors. Licensee MDPI, Basel, Switzerland. This article is an open access article distributed under the terms and conditions of the Creative Commons Attribution (CC BY) license (https://creativecommons.org/licenses/by/4.0/).
Share and Cite
Lin, Z.; Gong, W.; Wan, L.; Shen, J.; Zhang, H.; Huang, J.; Zhu, B. Field Measurements for Traffic Noise Reduction in Highway Tunnels Using Closed-Cell Aluminum Foam Board. Appl. Sci. 2022, 12, 538. https://doi.org/10.3390/app12020538
Lin Z, Gong W, Wan L, Shen J, Zhang H, Huang J, Zhu B. Field Measurements for Traffic Noise Reduction in Highway Tunnels Using Closed-Cell Aluminum Foam Board. Applied Sciences. 2022; 12(2):538. https://doi.org/10.3390/app12020538
Chicago/Turabian StyleLin, Zanquan, Weipeng Gong, Li Wan, Jiajia Shen, Hu Zhang, Juan Huang, and Binbin Zhu. 2022. "Field Measurements for Traffic Noise Reduction in Highway Tunnels Using Closed-Cell Aluminum Foam Board" Applied Sciences 12, no. 2: 538. https://doi.org/10.3390/app12020538
APA StyleLin, Z., Gong, W., Wan, L., Shen, J., Zhang, H., Huang, J., & Zhu, B. (2022). Field Measurements for Traffic Noise Reduction in Highway Tunnels Using Closed-Cell Aluminum Foam Board. Applied Sciences, 12(2), 538. https://doi.org/10.3390/app12020538