Attitudes toward Applying Facial Recognition Technology for Red-Light Running by E-Bikers: A Case Study in Fuzhou, China
Abstract
:1. Introduction
2. Literature Review
2.1. Red-Light Running Behavior of E-Bikers
2.2. Preventive Measures
2.3. Regulations and Privacy Concerns about FRT
3. Questionnaire Design and Data Collection
3.1. Research Background
3.2. Measures
3.2.1. Public Investigation
3.2.2. Traffic Police Investigation
3.3. Participants
3.4. Questionnaire Data Reliability
3.5. Demographic Data
4. Analysis and Results
4.1. Statistical Analysis of Public Questionnaire Data
4.2. Statistical Analysis of Traffic Police Questionnaire Data
4.3. Comparative Analysis of Questionnaire Datasets
5. Discussion
5.1. Public Attitude toward FRT
5.2. Comparison of Public and Traffic Police Attitudes on FRT
5.3. Measures to Protect Public’s Privacy
6. Conclusions
- (1)
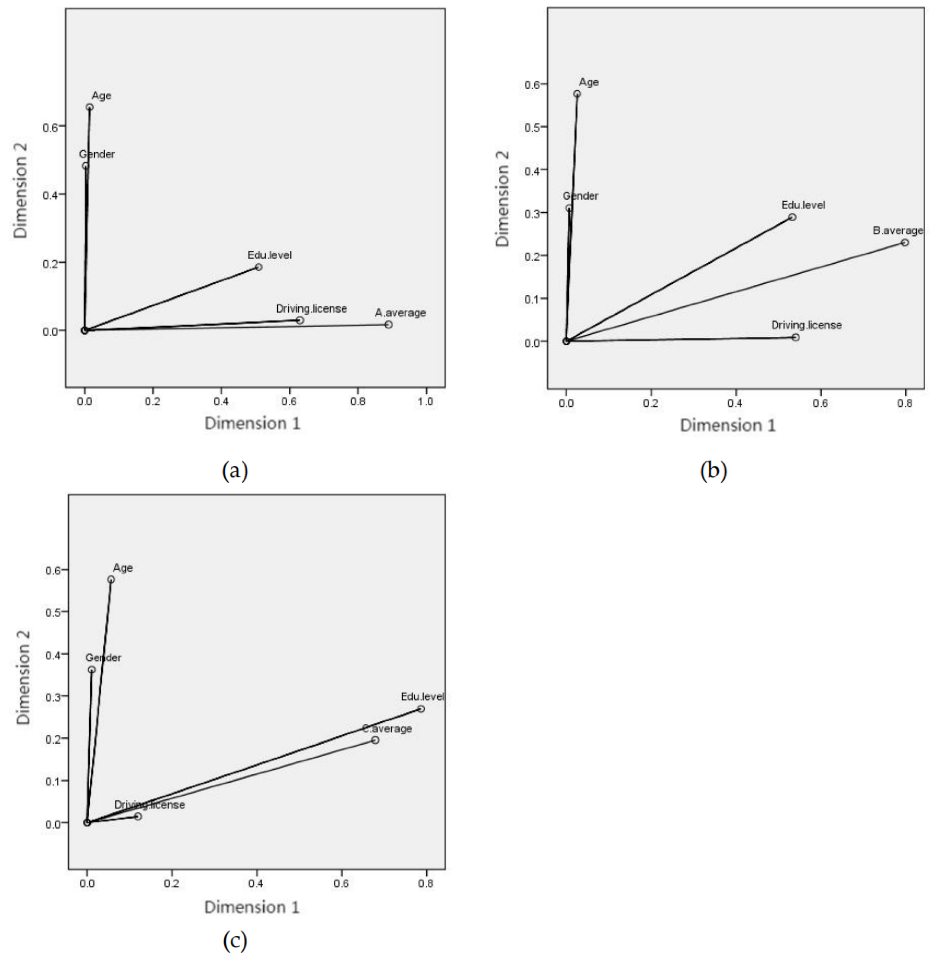
- The public’s attitudes toward FRT are related to two individual characteristics: Education level (χ2(3) = 114.730, p < 0.001; χ2(3) = 103.534, p < 0.001; χ2(3) = 90.292, p < 0.001) and driving license status (U = 998.000, p < 0.001; U = 2865.5, p < 0.001). The MCA results (Figure 4) show that a person with a higher education level or a driving license supports FRT.
- (2)
- There are significant differences between the public and traffic police in attitudes toward FRT (U = 6958.500, p < 0.001). Traffic police support FRT application more than the public, as the technology is conducive to reducing red-light running behavior of e-bikers and enforcement effort.
- (3)
- Based on data analysis, we make some suggestions about the application of FRT. Improving the education level and safety knowledge of the public helps to enhance their support to FRT under the circumstances that privacy is protected completely. There are also several suggestions about the use of FRT. For example, laws and regulations on applying FRT could protect the public from privacy invasion, updating the technology of FRT to protect information better, and that the public should consent before using these systems for the specific and justified purposes in question.
- (4)
- This research has some limitations. The questionnaire designed for the public is not comprehensive enough, and more detailed questions about privacy violations could be included in the future. In addition, this research is only based on the investigation of e-bikers in Fuzhou, China and e-bikers from other cities and other groups (e.g., pedestrians and bicyclists) may have different attitudes toward FRT.
Author Contributions
Funding
Institutional Review Board Statement
Informed Consent Statement
Data Availability Statement
Acknowledgments
Conflicts of Interest
References
- Weinert, J.; Ma, C.; Yang, X.; Cherry, C. Electric two-wheelers in China: Effect on travel behavior, mode shift, and user safety perceptions in a medium-sized city. Transp. Res. Rec. J. Transp. Res. Board 2007, 43, 62–68. [Google Scholar] [CrossRef] [Green Version]
- Tencent News. Available online: https://new.qq.com/omn/20211203/20211203A02MNC00.html (accessed on 3 December 2021).
- Lin, S.; He, M.; Tan, Y.; He, M. Comparison study on operating speeds of electric bicycles and bicycles: Experience from field investigation in Kunming, China. Transp. Res. Rec. J. Transp. Res. Board 2008, 2048, 52–59. [Google Scholar] [CrossRef]
- Ma, C.; Yang, D.; Zhou, J.; Feng, Z.; Yuan, Q. Risk riding behaviors of urban e-bikes: A literature review. Int. J. Environ. Res. Public Health 2019, 16, 2308. [Google Scholar] [CrossRef] [PubMed] [Green Version]
- Wang, Z.; Neitzel, R.L.; Xue, X.; Zheng, W.; Jiang, G. Awareness, riding behaviors, and legislative attitudes toward electric bikes among two types of road users: An investigation in Tianjin, a municipality in China. Traffic Inj. Prev. 2019, 20, 72–78. [Google Scholar] [CrossRef]
- Bai, L.; Liu, P.; Chen, Y.; Zhang, X.; Wang, W. Comparative analysis of the effects of e-bikes and bicycles on safety of signalized intersections. Transp. Res. Part D 2013, 20, 48–54. [Google Scholar] [CrossRef]
- Schleinitz, K.; Petzoldt, T.; Kröling, S.; Gehlert, T.; Mach, S. (E-)Cyclists running the red light—The influence of bicycle type and infrastructure characteristics on red light violations. Accid. Anal. Prev. 2019, 122, 99–107. [Google Scholar] [CrossRef] [PubMed]
- Yang, X.; Abdel-Aty, M.; Huan, M.; Jia, B.; Peng, Y. The effects of traffic wardens on the red-light infringement behavior of vulnerable road users. Transp. Res. Part F Psychol. Behav. 2016, 37, 52–63. [Google Scholar] [CrossRef]
- Heilmann, S.; Petzoldt, T.; Gehlert, T.; Schleinitz, K. Traffic conflicts and their contextual factors when riding conventional vs. electric bicycles. Transp. Res. Part F Traffic Psychol. Behav. 2017, 46, 477–490. [Google Scholar] [CrossRef]
- Guo, Y.; Li, Z.; Wu, Y.; Xu, C. Exploring unobserved heterogeneity in bicyclists’ red-light running behaviors at different crossing facilities. Accid. Anal. Prev. 2018, 115, 118–127. [Google Scholar] [CrossRef]
- Rodon, C.; Ragot-Court, I. Assessment of risky behaviours among E-bike users: A comparative study in Shanghai. Transp. Res. Interdiscip. Perspect. 2019, 2, 100042. [Google Scholar] [CrossRef]
- Huan, M.; Yang, X.; Jia, B. Crossing reliability of electric bike riders at urban intersections. Math. Probl. Eng. 2013, 2013, 831–842. [Google Scholar] [CrossRef] [Green Version]
- Haustein, S.; Møller, M. E-bike safety: Individual-level factors and incident characteristics. J. Transp. Health 2016, 3, 386–394. [Google Scholar] [CrossRef] [Green Version]
- Tang, T.; Wang, H.; Zhou, X.; Gong, H. Understanding electric bikers’ red-light running behavior: Predictive utility of theory of planned behavior vs prototype willingness model. J. Adv. Transp. 2020, 2020, 1–13. [Google Scholar] [CrossRef]
- Tang, T.; Guo, Y.; Zhou, X.; Shi, Q.; Gong, H. Identifying psychological factors of e-bike riders’ traffic rule violating intention and accident proneness in China. In Proceedings of the 20th COTA International Conference of Transportation Professionals, Xi’an, China, 14–16 August 2020. [Google Scholar]
- Lin, Y.; Wu, C. Traffic safety for electric bike riders in China—Attitudes, risk perception, and aberrant riding behaviors. Transp. Res. Rec. 2012, 3, 386–394. [Google Scholar] [CrossRef]
- Yang, X.; Huan, M.; Abdel-Aty, M.; Peng, Y.; Gao, Z. A hazard-based duration model for analyzing crossing behavior of cyclists and electric bike riders at signalized intersections. Accid. Anal. Prev. 2015, 74, 33–41. [Google Scholar] [CrossRef]
- Du, W.; Yang, J.; Powis, B.; Zheng, X.; Ozanne-Smith, J.; Bilston, L.; He, J.; Ma, T.; Wang, X.; Wu, M. Epidemiological profile of hospitalised injuries among electric bicycle riders admitted to a rural hospital in Suzhou: A cross-sectional study. Inj. Prev. 2014, 20, 128–133. [Google Scholar] [CrossRef] [PubMed]
- Zhang, Y.; Wu, C. The effects of sunshields on red-light running behavior of cyclists and electric bike riders. Accid. Anal. Prev. 2013, 52, 210–218. [Google Scholar] [CrossRef]
- Guo, Y.; Liu, P.; Bai, L.; Xu, C.; Chen, J. Red light running behavior of electric bicycles at signalized intersections in China. Transp. Res. Rec. 2014, 2468, 28–37. [Google Scholar] [CrossRef]
- Wu, C.; Yao, L.; Zhang, K. The red-light running behavior of electric bike riders and cyclists at urban intersections in China: An observational study. Accid. Anal. Prev. 2012, 49, 186–192. [Google Scholar] [CrossRef] [PubMed]
- Gao, X.; Zhao, J.; Gao, H. Red-light running behavior of delivery-service e-cyclists based on survival analysis. Traffic Inj. Prev. 2020, 21, 558–562. [Google Scholar] [CrossRef]
- Yang, H.; Liu, X.; Su, F.; Cherry, C.; Liu, Y.; Li, Y. Predicting e-bike users’ intention to run the red light: An application and extension of the theory of planned behavior. Transp. Res. Part F Psychol. Behav. 2018, 58, 282–291. [Google Scholar] [CrossRef]
- Gitelman, V.; Korchatov, A.; Elias, W. Speeds of young e-cyclists on urban streets and related risk factors: An observational study in Israel. Safety 2020, 6, 29. [Google Scholar] [CrossRef]
- Siman-Tov, M.; Radomislensky, I.; Peleg, K.; Bahouth, H.; Becker, A.; Jeroukhimov, I.; Karawani, I.; Kessel, B.; Klein, Y.; Lin, G.; et al. A look at electric bike casualties: Do they differ from the mechanical bicycle? J. Transp. Health 2018, 11, 176–182. [Google Scholar] [CrossRef]
- Ma, C.; Zhou, J.; Yang, D.; Fan, Y. Research on the relationship between the individual characteristics of electric bike riders and illegal speeding behavior: A questionnaire-based study. Sustainability 2020, 12, 799. [Google Scholar] [CrossRef] [Green Version]
- Wang, Z.; Huang, S.; Wang, J.; Sulaj, D.; Hao, W.; Kuang, A. Risk factors affecting crash injury severity for different groups of e-bike riders: A classification tree-based logistic regression model. J. Saf. Res. 2021, 76, 176–183. [Google Scholar] [CrossRef]
- Tang, T.; Guo, Y.; Zhou, X.; Labi, S.; Zhu, S. Understanding electric bike riders’ intention to violate traffic rules and accident proneness in China. Travel Behav. Soc. 2021, 23, 25–38. [Google Scholar] [CrossRef]
- Shaaban, K.; Pande, A. Evaluation of red-light camera enforcement using traffic violations. J. Traffic Transp. Eng. 2018, 5, 66–72. [Google Scholar] [CrossRef]
- Brasil, R.H.; Machado, A. Automatic detection of red light running using vehicular cameras. IEEE Lat. Am. Trans. 2017, 15, 81–86. [Google Scholar] [CrossRef]
- Zhang, M.; Wang, C.; Ji, Y. A Recognition method of pedestrians’ running in the red light based on image. J. Softw. Eng. Appl. 2014, 7, 452–460. [Google Scholar] [CrossRef] [Green Version]
- Dow, C.; Ngo, H.; Lee, L.; Lai, P.; Wang, K.; Bui, V. A crosswalk pedestrian recognition system by using deep learning and zebra-crossing recognition techniques. Softw. Pract. Exp. 2020, 50, 630–644. [Google Scholar] [CrossRef]
- Semenova, E.I.; Kyarimova, S.D.; Kukartsev, V.V.; Leonteva, A.A.; Ogol, A.R.; Bondarev, A.S. Moving object recognition system on a pedestrian crossing. J. Phys. Conf. Ser. 2021, 1728, 012004. [Google Scholar] [CrossRef]
- Bai, Y. Research on design and implementation of pedestrian red light automatic early warning system based on face recognition. J. Comput. Methods Sci. Eng. 2019, 19, 235–240. [Google Scholar] [CrossRef]
- Wei, Y.; Wan, X.; Xu, H.; Shen, B. Design and implementation of pedestrians′ red-light running evidence-collection system based on face tracking and recognition. Mod. Electron. Tech. 2018, 41, 36–39. [Google Scholar]
- Zheng, J.; Peng, J. A novel pedestrian detection algorithm based on data fusion of face images. Int. J. Distrib. Sens. Netw. 2019, 15. [Google Scholar] [CrossRef] [Green Version]
- Wang, Z.; Sun, X.; Zhang, X.; Han, T.; Gao, F. Algorithm improvement of pedestrians’ red-light running snapshot system based on image recognition. Lect. Notes Electr. Eng. 2020, 571, 1718–1726. [Google Scholar] [CrossRef]
- Cheng, Y.; Meng, H.; Lei, Y.; Tan, X. Research on privacy protection technology in face identity authentication system based on edge computing. In Proceedings of the 2021 IEEE International Conference on Artificial Intelligence and Industrial Design, Guangzhou, China, 28–30 May 2021. [Google Scholar]
- Eriksson, L.; Bjørnskau, T. Acceptability of traffic safety measures with personal privacy implications. Transp. Res. Part F Psychol. Behav. 2012, 15, 333–347. [Google Scholar] [CrossRef]
- Rosenfeld, A. Are drivers ready for traffic enforcement drones? Accid. Anal. Prev. 2019, 122, 199–206. [Google Scholar] [CrossRef] [PubMed]
- McNally, B.; Bradley, G.L. Predicting young, novice drivers’ intentions to install in-vehicle data recorders. Transp. Res. Part F Psychol. Behav. 2018, 59, 401–417. [Google Scholar] [CrossRef]
- Lai, X.; Rau, P.P. Has facial recognition technology been misused? A user perception model of facial recognition scenarios. Comput. Hum. Behav. 2021, 124, 106894. [Google Scholar] [CrossRef]
- Akhtar, Z.; Rattani, A. A face in any form: New challenges and opportunities for face recognition technology. Computer 2017, 50, 80–90. [Google Scholar] [CrossRef]
- Liu, Y.; Yan, W.; Hu, B. Resistance to facial recognition payment in China: The influence of privacy-related factors. Telecommun. Policy 2021, 45, 102155. [Google Scholar] [CrossRef]
- Broadbent, E.; Stafford, R.; MacDonald, B. Acceptance of healthcare robots for the older population: Review and future directions. Int. J. Soc. Robot. 2009, 1, 319–330. [Google Scholar] [CrossRef]
- Mark, A.; Neil, S. Facial recognition technology in schools: Critical questions and concerns. Learn. Media Technol. 2020, 45, 115–128. [Google Scholar] [CrossRef]
- Phillip, M.K.; Christine, L. Gardiner. Public support for body-worn cameras: The need for inclusion of more comprehensive measures of public concerns. Crim. Justice Stud. 2021, 34, 289–305. [Google Scholar] [CrossRef]
- Ropiequet, J.L.; Doss, A.F.; Pennacchio, V.G. An introduction to the Illinois Biometric Information Privacy Act. Bank. Financ. Serv. Policy Rep. 2019, 38, 8–15. [Google Scholar]
- Denise, A.; Konstantin, S.; Elizabeth, L. The ethics of facial recognition technologies, surveillance, and accountability in an age of artificial intelligence: A comparative analysis of US, EU, and UK regulatory frameworks. AI Ethics 2021, 1–11. [Google Scholar] [CrossRef]
- Zhang, J.; Zhao, Z. Legal Regulation on the application of face recognition technology. J. Southwest Pet. Univ. Soc. Sci. Ed. 2021, 23, 100–105. [Google Scholar]
- Reason, J.; Manstead, A.; Stradling, S.; Baxter, J.; Campbell, K. Errors and violations on the roads: A real distinction? Ergonomics 1990, 33, 1315–1332. [Google Scholar] [CrossRef]
- Nunnally, J.C.; Bernstein, I.H. Psychometric theory. Psychom. Theory 1994, 3, 248–292. [Google Scholar]
- Wang, C.; Xu, C.; Xia, J.; Qian, Z. The effects of safety knowledge and psychological factors on self-reported risky driving behaviors including group violations for e-bike riders in China. Transp. Res. Part F Psychol. Behav. 2018, 56, 344–353. [Google Scholar] [CrossRef]
- Xu, C.; Yu, X. Modeling and analysis of crash severity for electric bicycle. Smart Innov. Syst. Technol. 2019, 98, 367–375. [Google Scholar] [CrossRef]
- Wei, J.; Li, L. Research on application of face recognition technology in road traffic management. China Public Secur. 2018, 84–87. [Google Scholar]
- China Daily. Available online: https://baijiahao.baidu.com/s?id=1597330054767076132&wfr=spider&for=pc (accessed on 10 April 2018).
- Zheng, H.; Yuan, S.; Tian, S.; Yin, Y.; Lv, X. Research on face recognition in restricting pedestrian traffic regulations. Inf. Rec. Mater. 2018, 19, 95–96. [Google Scholar]
- Tian, D. How to deal with the traffic accidents happened or arrested by the electron police system. Master Thesis, Guizhou University, Guiyang, China, 2008. [Google Scholar]
- Marcus, S. Seumas Miller. The ethical application of biometric facial recognition technology. AI Soc. 2021, 1–9. [Google Scholar] [CrossRef]
- Leong, S.; Phan, R.; Baskaran, V.M.; Ooi, C. Privacy-preserving facial recognition based on temporal features. Appl. Soft Comput. 2020, 96, 106662. [Google Scholar] [CrossRef]
- Chamikara, M.A.P.; Bertok, P.; Khalil, I.; Liu, D.; Camtepe, S. Privacy preserving face recognition utilizing differential privacy. Comput. Secur. 2020, 97, 101951. [Google Scholar] [CrossRef]
- Yang, J.; Liu, J.; Wu, J. Facial image privacy protection based on principal components of adversarial segmented image blocks. IEEE Access 2020, 8, 103385–103394. [Google Scholar] [CrossRef]






| Demographic Variables | Category |
|---|---|
| Gender | Male |
| Female | |
| Age | 18–36 |
| 37–54 | |
| >54 | |
| Education level | Junior high school and below |
| Senior high school | |
| College and undergraduate | |
| Postgraduate and above | |
| Driving license | Have |
| Do not have |
| Variables | Item |
|---|---|
| A: Attitudes toward red-light running behavior of e-bikers | A1: Red-light running behavior of e-bikers has a negative impact on traffic. |
| A2: Even if I have good riding skills, running a red light may be dangerous. | |
| A3: Although running a red light can shorten the travel time, it is prone to accidents and is unworthy. | |
| A4: Red-light running behavior is irresponsible to lives. | |
| A5: More e-bikers are running red-light in China cities, and management needs to be strengthened. | |
| A6: I am familiar with the traffic regulations related to e-bikes, and I ride per the regulations. | |
| B: Application effect of FRT | B1: FRT can significantly reduce the red-light running behavior of e-bikers. |
| B2: The application of FRT helps to strengthen personal traffic safety awareness. | |
| B3: Need to take specific measures to punish the identified behavior. | |
| B4: The information of violators shown on the screen has a deterrent effect on the public. | |
| B5: Most people will support and actively obey the application of FRT in traffic management. | |
| B6: FRT is progress of technology and is worth promoting. | |
| C: Whether FRT violates privacy | C1: It is not a violation of personal privacy to show red-light running behavior on the screen. |
| C2: The following information published on the screen is appropriate: The offender’s image running a red light (the face is covered), the middle part of the name is concealed, and the ID number is concealed in the middle digits. | |
| C3: Personal information identified by FRT will be strictly protected and will not be leaked. | |
| C4: The application of FRT also needs to be regulated by improving relevant laws. | |
| C5: When using FRT, the public’s right to know needs to be guaranteed. | |
| P: Traffic police’s attitudes toward FRT | P1: I have a good understanding of applying FRT to manage the red-light running behavior of e-bikers. |
| P2: FRT can significantly reduce the red-light running behavior of e-bikers. | |
| P3: FRT can reduce the management difficulty of traffic police. | |
| P4: Need to take specific measures to punish the identified behavior. | |
| P5: Require to give safety education to the identified violators. | |
| P6: Most people will support and actively obey the application of FRT in traffic management. | |
| P7: The application of FRT helps to strengthen personal traffic safety awareness. | |
| P8: It is not a privacy violation to show red-light running behavior on the screen. | |
| P9: Personal information identified by FRT will be strictly protected and will not be leaked. |
| Demographic Variable | Category | Number | Percentage |
|---|---|---|---|
| Gender | Male | 126 | 48.8% |
| Female | 132 | 51.2% | |
| Age | 18–36 | 120 | 46.5% |
| 37–54 | 114 | 44.2% | |
| >54 | 24 | 9.3% | |
| Education level | Junior high school and below | 34 | 13.2% |
| Senior high school | 87 | 33.7% | |
| College and undergraduate | 112 | 43.4% | |
| Postgraduate and above | 25 | 9.7% | |
| Driving license | Have | 160 | 62.0% |
| Do not have | 98 | 38.0% |
| Variable | Item | M | S.D. | Variable Average |
|---|---|---|---|---|
| A: Attitudes toward red-light running behavior of e-bikers | A1: Red-light running behavior of e-bikers has a negative impact on traffic. | 3.225 | 0.960 | 3.238 |
| A2: Even if I have good riding skills, running a red light may be dangerous. | 3.256 | 0.782 | ||
| A3: Although running a red light can shorten the travel time, it is prone to accidents and is unworthy. | 3.302 | 0.865 | ||
| A4: Red-light running behavior is irresponsible to lives. | 3.318 | 0.784 | ||
| A5: More e-bikers are running red-light in China cities, and management needs to be strengthened. | 3.140 | 0.806 | ||
| A6: I am familiar with the traffic regulations related to e-bikes, and I ride per the regulations. | 3.186 | 0.849 | ||
| B: Application effect of FRT | B1: FRT can significantly reduce the red-light running behavior of e-bikers. | 3.516 | 0.852 | 3.278 |
| B2: The application of FRT helps to strengthen personal traffic safety awareness. | 3.012 | 0.766 | ||
| B3: Need to take specific measures to punish the identified behavior. | 3.287 | 0.848 | ||
| B4: The information of violators shown on the screen has a deterrent effect on the public. | 3.360 | 0.798 | ||
| B5: Most people will support and actively obey the application of FRT in traffic management. | 3.264 | 0.856 | ||
| B6: FRT is progress of technology and is worth promoting. | 3.229 | 0.836 | ||
| C: Whether FRT violates privacy | C1: It is not a violation of personal privacy to show red-light running behavior on the screen. | 3.376 | 0.947 | 3.297 |
| C2: The following information published on the screen is appropriate: the offender’s image running a red light (the face is covered), the middle part of the name is concealed, and the ID number is concealed in the middle digits. | 3.384 | 0.853 | ||
| C3: Personal information identified by FRT will be strictly protected and will not be leaked. | 3.349 | 0.901 | ||
| C4: The application of FRT also needs to be regulated by improving relevant laws. | 3.357 | 0.907 | ||
| C5: When using FRT, the public’s right to know needs to be guaranteed. | 3.019 | 0.996 |
| Variable | Scope of Variable Value | Classification Values |
|---|---|---|
| A, B, C | (0, 1] | 1 |
| (1, 2] | 2 | |
| (2, 3] | 3 | |
| (3, 4] | 4 | |
| (4, 5] | 5 |
| Variable | Dimension | Variable | Dimension | Variable | Dimension | |||
|---|---|---|---|---|---|---|---|---|
| 1 | 2 | 1 | 2 | 1 | 2 | |||
| Variable A | 0.889 | 0.017 | Variable B | 0.798 | 0.230 | Variable C | 0.679 | 0.196 |
| Gender | 0.003 | 0.483 | Gender | 0.007 | 0.310 | Gender | 0.011 | 0.362 |
| Age | 0.015 | 0.655 | Age | 0.025 | 0.577 | Age | 0.056 | 0.576 |
| Educ. Level | 0.509 | 0.186 | Educ. Level | 0.533 | 0.289 | Educ. Level | 0.787 | 0.269 |
| Driving License | 0.630 | 0.030 | Driving License | 0.541 | 0.009 | Driving License | 0.120 | 0.015 |
| Variable | Dimension | |
|---|---|---|
| 1 | 2 | |
| Variable A | 0.752 | 0.464 |
| Variable B | 0.724 | 0.419 |
| Variable C | 0.305 | 0.300 |
| Item | Item Average 1 | Standard Deviation |
|---|---|---|
| P1: I have a good understanding of applying FRT to manage the red-light running behavior of e-bikers. | 3.656 | 0.791 |
| P2: FRT can significantly reduce the red-light running behavior of e-bikers. | 3.678 | 0.747 |
| P3: FRT can reduce the management difficulty of traffic police. | 3.656 | 0.733 |
| P4: Need to take specific measures to punish the identified behavior. | 3.700 | 0.781 |
| P5: Require giving safety education to the identified violators. | 3.600 | 0.712 |
| P6: Most people will support and actively obey the application of FRT in traffic management. | 3.689 | 0.709 |
| P7: The application of FRT helps to strengthen personal traffic safety awareness. | 3.589 | 0.759 |
| P8: It is not a privacy violation to show red-light running behavior on the screen. | 3.656 | 0.653 |
| P9: Personal information identified by FRT will be strictly protected and will not be leaked. | 3.633 | 0.767 |
| Variable | N | M | Mann-Whitney U | Wilcoxon W | Z | p |
|---|---|---|---|---|---|---|
| Public group | 258 | 3.300 | 6958.500 | 40369.500 | −5.691 | <0.001 |
| Traffic police group | 90 | 3.657 |
| Item | Public | Traffic Police | Mann–Whitney U | Wilcoxon W | Z | p | ||
|---|---|---|---|---|---|---|---|---|
| M | S.D. | M | S.D. | |||||
| B1/P2 | 3.516 | 0.852 | 3.678 | 0.747 | 10592.000 | 44003.000 | −1.329 | 0.184 |
| B2/P7 | 3.012 | 0.766 | 3.589 | 0.763 | 7165.000 | 40576.000 | −5.935 | <0.001 |
| B3/P4 | 3.287 | 0.848 | 3.700 | 0.785 | 8605.500 | 42016.500 | −3.905 | <0.001 |
| B5/P6 | 3.264 | 0.855 | 3.689 | 0.713 | 8450.000 | 41861.000 | −4.139 | <0.001 |
| C1/P8 | 3.376 | 0.947 | 3.656 | 0.656 | 10069.000 | 43480.000 | −2.011 | <0.05 |
| C3/P9 | 3.349 | 0.901 | 3.633 | 0.771 | 9568.500 | 42979.500 | −2.648 | <0.05 |
| Average | 3.300 | 0.526 | 3.657 | 0.429 | 6958.500 | 40369.500 | −5.691 | <0.001 |
Publisher’s Note: MDPI stays neutral with regard to jurisdictional claims in published maps and institutional affiliations. |
© 2021 by the authors. Licensee MDPI, Basel, Switzerland. This article is an open access article distributed under the terms and conditions of the Creative Commons Attribution (CC BY) license (https://creativecommons.org/licenses/by/4.0/).
Share and Cite
Yang, Y.; Yin, D.; Easa, S.M.; Liu, J. Attitudes toward Applying Facial Recognition Technology for Red-Light Running by E-Bikers: A Case Study in Fuzhou, China. Appl. Sci. 2022, 12, 211. https://doi.org/10.3390/app12010211
Yang Y, Yin D, Easa SM, Liu J. Attitudes toward Applying Facial Recognition Technology for Red-Light Running by E-Bikers: A Case Study in Fuzhou, China. Applied Sciences. 2022; 12(1):211. https://doi.org/10.3390/app12010211
Chicago/Turabian StyleYang, Yanqun, Danni Yin, Said M. Easa, and Jiang Liu. 2022. "Attitudes toward Applying Facial Recognition Technology for Red-Light Running by E-Bikers: A Case Study in Fuzhou, China" Applied Sciences 12, no. 1: 211. https://doi.org/10.3390/app12010211
APA StyleYang, Y., Yin, D., Easa, S. M., & Liu, J. (2022). Attitudes toward Applying Facial Recognition Technology for Red-Light Running by E-Bikers: A Case Study in Fuzhou, China. Applied Sciences, 12(1), 211. https://doi.org/10.3390/app12010211

