Featured Application
The objective of the work is to assess alternatives to methyl bromide such as ethyl formate and phosphine for the control of insect pests in the quarantine process.
Abstract
Methyl bromide (MB) has been used in a wide range of applications, but since it was determined to be an ozone-depleting compound, it has only been used for pre-shipment and quarantine purposes in trade. Phosphine (PH3) is currently the ideal fumigant as an MB alternative worldwide. However, the development of PH3 resistance in the target insect pest and longer PH3 fumigation treatment times raise questions about the continued use of PH3. This study attempted to shorten treatment time via combination treatment with ethyl formate (EF). Planococcus citri was used as the main quarantine pest in Korea, and the acute toxicity of EF, PH3, and EF + PH3 was determined at every developmental stage. EF treatment at 4 h showed LCT99 values of 45.85~65.43 mg∙h/L, and PH3 treatment at 20 h showed that of 0.13~0.83 mg∙h/L depending on the developmental stage. The efficacy of PH3 decreased after reducing the treatment time, but synergistic effects were observed at all stages of development of P. citri when both fumigants were used simultaneously for 4 h. After combined treatment, dihydrolipoyl dehydrogenase expression and the production of two phospholipids, PI(O-16:0) and PC(18:2), were significantly reduced in treated P. citri adults compared with the control. Therefore, combined treatments might be key to reducing the treatment time and resistance of PH3 in the field.
1. Introduction
When importing and exporting grains, fruits, vegetables, and plants in the trade between countries, fumigation agents are normally used against quarantine pests [1,2,3]. Methyl bromide (MB) is the most versatile, and it has an excellent control efficacy against various insect pests, fungi, weeds, and nematodes [4,5]. However, MB has been confirmed to contribute to ozone layer depletion, a major cause of global warming; therefore, its use has been banned and phased out from the market [6]. Although MB is still used in the quarantine and pre-shipment stages during trade, alternative fumigants are urgently needed as its use may be wholly prohibited soon [1,3,7].
Many alternatives to MB have been tested, from physical control (e.g., heat, cold, and aridity), fumigant alternatives (e.g., phosphine, carbonyl sulfide, sulfuryl fluoride, carbon dioxide, ethyl or methyl formate, and so on), contact insecticides, and combination treatments (e.g., fumigation with low temperature, multiple fumigants) [8]. Based on previous studies of alternatives to MB, phosphine (PH3) is the most ideal fumigant in the world, but it has several drawbacks, including slow activity and increased insect resistance [8]. The emergence of PH3 resistance is a serious problem worldwide, especially in stored-grain insect pests [9,10]. High resistance factors in the range of 60- to 600-fold based on median lethal concentration (LC50) values were reported in major stored-grain pests [11]. Therefore, studies on PH3-related resistance mechanisms, discovering the optimum concentration of PH3 for pest fumigation, and the development of combination fumigation methods with PH3 and EF have been widely conducted [11,12,13]. These various trials for solving the resistance problem are essential for prompt pest quarantine applications of PH3.
Ethyl formate (EF) is a natural substance with relatively low toxicity to animals [14,15] and has fast-acting properties similar to MB [16]. The resistance of insect pests to EF has not been reported, but EF has a relatively higher application concentration than PH3 [1]. There is currently no single alternative to MB’s broad range of activities and benefits [8]. Therefore, the evaluation of various combination treatments and integrated pest management methods is required, along with toxicity mechanism studies to completely replace MB.
The combination treatment of two fumigants has been reported from a variety of applications due to the complementary features; EF acts quickly at high doses and PH3 acts slowly at low doses [7,17,18]. To apply the combinational application in quarantine, pineapples and sweet pumpkins were used for controlling two-spotted spider mites and citrus mealybugs in Korea [18,19]. Planococcus citri Risso (Hemiptera: Pseudococcidae) has been considered an economically important insect pest of various crops worldwide [20,21]. In particular, it is registered in each country as a pest to be controlled in plant quarantine; thus, quarantine management should be systematically established for EF and PH3 fumigation. However, an understanding of the toxicity mechanism for EF and PH3 combination treatment against P. citri has not been sufficiently studied.
Thus, this study aimed to evaluate the efficacy of EF and PH3 treatments (alone and in combination) on all developmental stages of P. citri. The mode of action of combination treatment of EF and PH3 was verified using biochemical and molecular studies, including proteomics and lipidomics techniques.
2. Materials and Methods
2.1. Insects and Breeding Conditions
Stock colonies of P. citri were provided by Professor Gil-Hah Kim from Chungbuk National University (Cheongju, Korea) in 2018. P. citri was continuously reared on potatoes provided twice a month, at 25 ± 1 °C with 60% relative humidity and a photoperiod of 16:8 h (light:dark) at the Plant Quarantine Technology Center, Animal and Plant Quarantine Agency (Gimcheon, Korea).
2.2. Chemicals
EF (97% purity, analytical grade) was purchased from Sigma-Aldrich (St. Louis, MO), and phosphine (PH3, 2% PH3 + 98% CO2) was obtained as ECO2FumeTM from Cytec (Sydney, Australia). For enzyme assays, acetylthiocholine iodide (ATChI), bovine serum albumin (BSA), 1-chloro-2,4dinitrobenzene (CDNB), cytochrome c, 5,5′-dithio-bis-(2-nitrobenzoic acid), Fast Blue B salt, reduced L-glutathione, and 1-naphthyl acetate (α-NA) were purchased from Sigma-Aldrich (St. Louis, MO, USA). For the gene expression experiment, DEPC-treated water was purchased from Biosesang (Seongnam, Korea). TRIzol® reagent was purchased from Ambion (Austin, TX, USA), and Maxima First Strand cDNA Synthesis Kits with dsDNase were purchased from Thermo Fisher Scientific (Waltham, MA, USA). Luna® Universal qPCR Master Mix was purchased from New England Biolabs (Ipswich, MA, USA).
2.3. Fumigation Bioassay and Calculation of Lethal Concentration-Time (LCT)
For each developmental stage, thirty P. citri individuals were used in triplicate and placed in 12 L desiccators (Duran, Germany) sealed with glass stoppers containing a septum of filter paper for bioassay of each fumigant. The concentration of fumigant was monitored at timed intervals over the exposure period using an Agilent GC 7890A with each detector. The analysis conditions for each fumigant were as below.
- -
- EF: EF fumigation was performed in a concentration range of 1.5 to 40.57 mg/L for 4 h. Gas was sampled at 0.5, 1, 2, and 4 h post fumigation and analyzed using a flame ionization detector.
- -
- PH3: PH3 fumigation was performed in a concentration range of 0.005 to 0.102 mg/L for 20 h. Gas was sampled at 0.5, 1, 2, 4, 18, and 20 h post fumigation and analyzed using a flame photometric detector.
The lethal concentration × time (LCT, mg∙h/L) value of each fumigant toward P. citri was calculated using Equation (1) [22]. The data represent an average of CT and SE (standard error) based on a probit analysis using IBM SPSS Statistics for Windows version 23.0 (IBM Corp, Armonk, NY). The LCT values were converted to lethal concentration (LCx, mg/L) values to compare biological responses after exposure to each fumigant (Table S1).
where ‘C’ is the fumigant concentration (mg/L), ‘t’ is the exposure time (h), and ‘i’ is the order of measurement.
LCT = Σ(Ci + Ci + 1)(ti+1 − ti)/2
2.4. Synergistic Effect of EF and PH3
The exposure time of the combination treatment was set for 4 h to evaluate the synergistic effect of EF and PH3 by correcting the different exposure times of the two fumigants. Therefore, in the case of PH3, bioassays were additionally performed on a 4 h basis at 20 °C. Synergistic ratios were evaluated using Equation (2) according to the previously reported method [23].
where SR = 1 describes additive action, SR < 1 describes antagonism, and SR > 1 describes synergism.
SR = (EF+PH3 mortality)/(EF mortality + PH3 mortality)
2.5. RNA Extraction and Real-Time Quantitative PCR (RT-qPCR)
P. citri was exposed to the LC10 and LC50 of each fumigant for 4 h (EF) or 20 h (PH3) for each P. citri developmental stage; then, P. citri was collected independently and stored at −70 °C. The sample was rinsed twice with DEPC-treated water, homogenized with 1 mL of TRIzol reagent, and frozen at −70 °C for 1 day. The frozen homogenates were incubated on ice for 20 min, and total RNA was extracted according to the manufacturer’s protocol. The RNA quality was determined by checking the ratio of absorbance (260 nm/280 nm) and the images of agarose gel electrophoresis. Primers were designed using Primer-BLAST [24] to compare the gene expression response of fumigants; this information is listed in Table S2. The qPCR was performed in triplicate using a QuantStudio 3 Real-Time PCR System (Applied Biosystems, Foster City, CA, USA) with Luna® Universal qPCR Master Mix (New England Biolabs, Ipswich, MA), according to the manufacturer’s instructions. Cycling conditions were as follows: 95 °C for 10 min; followed by 40 cycles of 95 °C for 10 s, 60 °C for 15 s, and 72 °C for 20 s; then gradual heating from 72 °C to 95 °C. The results were calculated using the 2−∆∆Ct method [25], followed by one-way ANOVA with post hoc Tukey’s tests in IBM SPSS Statistics for Windows version 23.0 (IBM Corp.).
2.6. Protein Extraction and Enzyme Assay
P. citri was exposed to the LC10 and LC50 of each fumigant for each developmental stage; then, P. citri was collected independently and stored at −70 °C and was homogenized with Tris buffer containing 500 mM sucrose (pH 7.4) and centrifuged at 600× g at 4 °C for 10 min. The supernatant was centrifuged at 10,000× g at 4 °C for 15 min to collect the pellet as the ‘mitochondria fraction’ for cytochrome c oxidase (COX) enzyme assay. The supernatant as cytosolic fraction was used for acetylcholinesterase (AChE), carboxylesterase (CE), and glutathione-S-transferase (GST) enzyme activities. Proteins were quantified using the Bradford assay [26], and bovine serum albumin was used as the standard. Each enzyme assay was conducted according to the previously reported methods [27,28,29,30]. The enzyme activities were normalized using protein concentration, and the normalized results were analyzed for mean comparison by one-way ANOVA with post hoc Tukey’s tests in IBM SPSS Statistics for Windows version 23.0 (IBM Corp.). A heatmap was constructed using Log2 fold change between the control and treated groups.
2.7. Proteomic Analysis
Adults of P. citri were exposed to different combinations (EF only, 10 mg/L; PH3 only, 0.1 g/m3, combined treatment of EF and PH3) for 4 h. Then, 20 individuals were collected regardless of whether they were alive or dead. The samples were stored at −70 °C until they were used for proteomic and lipidomic analyses. Proteins for proteomic analysis were extracted using the same procedure for enzyme assay. The proteins were denatured for 3 h at room temperature using 50 mM ammonium bicarbonate buffer (pH 7.8) containing 6 M urea. They were then incubated with 10 mM dithiothreitol for 2 h at room temperature to reduce their disulfide bonds. The reduced protein extracts were reacted with iodoacetamide (IAA) for 1 h and then with trypsin at 37 °C for 18 h. Proteomic analysis of P. citri samples was performed using a Thermo Scientific Q Exactive Hybrid Quadrupole-Orbitrap (Thermo Fisher Scientific Inc., Waltham, MA, USA) with a Dionex U 3000 RSLC nano high-performance liquid chromatography system. The mass data were matched with the P. citri, mosquitoes Anopheles sp., and fruit flies Drosophila sp. protein databases, and statistical analysis was performed based on the ANOVA test using the Scaffold [31] version 4.8.4 (Proteome Software, Portland, OR, USA).
2.8. Lipid Extraction and Lipidomics Analysis Using MALDI-TOF MS
Total lipids were extracted following a slightly modified version of the Folch method [32]. Briefly, P. citri was homogenized using a pencil-type homogenizer with 500 μL methanol–chloroform (1:2, v/v) solution. The homogenate was shaken at room temperature for 20 min and centrifuged at 2000 rpm for 10 min. The supernatant was transferred; then, 200 μL of 0.9% sodium chloride was added, and the mixture was vortexed for 10 s. The mixture was incubated for 5 min and centrifuged at 2000 rpm for 10 min. The lower chloroform phase containing lipids was used for lipidomic analysis using a matrix-assisted laser desorption ionization time-of-flight mass spectrometer (MALDI-TOF MS; Voyager-DE™ STR Workstation, Applied Biosystems, Foster City, CA). The results were statistically analyzed with the Kruskal–Wallis test and the cut-off value set as p-value < 0.001 using IBM SPSS Statistics for Windows version 23.0 (IBM Corp.). A heatmap was constructed using the Log2fold change between the control and treated groups. The mass results of lipids were matched using negative ion mode ([M-H]-) in the LIPID MAPS (accessed on 18 July 2021 at www.lipidmaps.org). The whole scheme of the methodology used in this study is summarized in Figure 1.
Figure 1.
A graphical scheme of the study approach.
3. Results
3.1. Individual Efficacy of EF and PH3 against P. citri
The 10%, 25%, 50%, and 99% LCT values of EF for 4 h were 9.49, 13.13, 18.84, and 65.43 mg∙h/L for the egg stage; 6.83, 9.41, 13.44, and 45.85 mg∙h/L for the nymph stage; and 14.06, 17.23, 21.57, and 46.90 mg∙h/L for the adult stage, respectively (Table 1). The 10%, 25%, 50%, and 99% LCT values of PH3 for 20 h were 0.20, 0.26, 0.33, and 0.83 mg∙h/L for the eggs; 0.07, 0.07, 0.08, and 0.13 mg∙h/L for the nymph stage; and 0.14, 0.17, 0.20, and 0.36 mg∙h/L for the adult stage, respectively (Table 1). The relative sensitivity of the developmental stages to two fumigants was high in nymphs and adults, but low in eggs. The 4 h LCT values of PH3 for the egg stage were not calculated because it represented a 60% mortality at the maximum applicable concentration of PH3, 4 mg/L (Table S3). The 10%, 25%, 50%, and 99% LCT values of PH3 for the nymph and adult stages were 0.14, 0.25, 0.36, and 1.32 mg∙h/L (Table 1).
Table 1.
Lethal concentration time (LCT) of P. citri in adult, nymph, and egg stages exposed to ethyl formate (EF) or phosphine (PH3) for 4 h or 20 h at 20 ± 1 °C (n = 30, triplicate).
3.2. Enzymatic Responses at Each Stage of Development by Individual Treatment of EF and PH3
In the case of EF fumigation, AChE activity was not significantly affected at any of the developmental stages (Figure 2a); however, COX activity was observed to decrease during the LC50 treatment of the egg stage, whereas it was measured to increase more than two-fold during the nymph stage (Figure 2a). EF fumigation decreased GST activity in the adult stage only with the LC10 treatment, while it did not change significantly through other developmental stages, including the adult stage with the LC50 treatment (Figure 2a).
Figure 2.
Heatmap of enzyme activities after exposure to ethyl formate (EF) for 4 h or phosphine (PH3) for 20 h on P. citri (adults, nymphs, and eggs). Responses of four different enzymes, acetylcholinesterase (AChE), cytochrome c oxidase (COX), glutathione S-transferase (GST), and carboxylesterase (CE), after exposure to lethal concentration LC10 and LC50 values of EF (a) and PH3 (b). A heatmap was constructed using the Log2 enzyme activity ratio between the control and treatment groups. Asterisks indicate significant differences (* p < 0.05, ** p < 0.01, *** p < 0.001, **** p < 0.0001) and no mark means ‘not significant’.
CE activity significantly decreased by more than two-fold in eggs at the two different treatments and increased three-fold in the EF-treated nymphs treated with the LC50 value (Figure 2a). Therefore, COX and CE activities in eggs may be susceptible to EF fumigation, whereas these two enzyme activities were dramatically elevated in the nymph stage, especially at the LC50 treatment.
In the case of PH3 fumigation, AChE activity was not dramatically affected at any developmental stage (Figure 2b). However, COX activity was observed to decrease significantly in both the LC10 and LC50 level PH3-treated adults, whereas no significant increase or decrease in the COX activity was observed in the egg and nymph stages (Figure 2b). GST activity was not changed by the PH3 treatment in all stages (Figure 2b). Unlike EF fumigation (Figure 2a), the CE activity in the PH3-exposed eggs was five-fold higher at the two different LC10 and LC50 treatments than that of the control (Figure 2b). No significant difference in CE activity was found in other developmental stages.
3.3. Gene Expression Responses
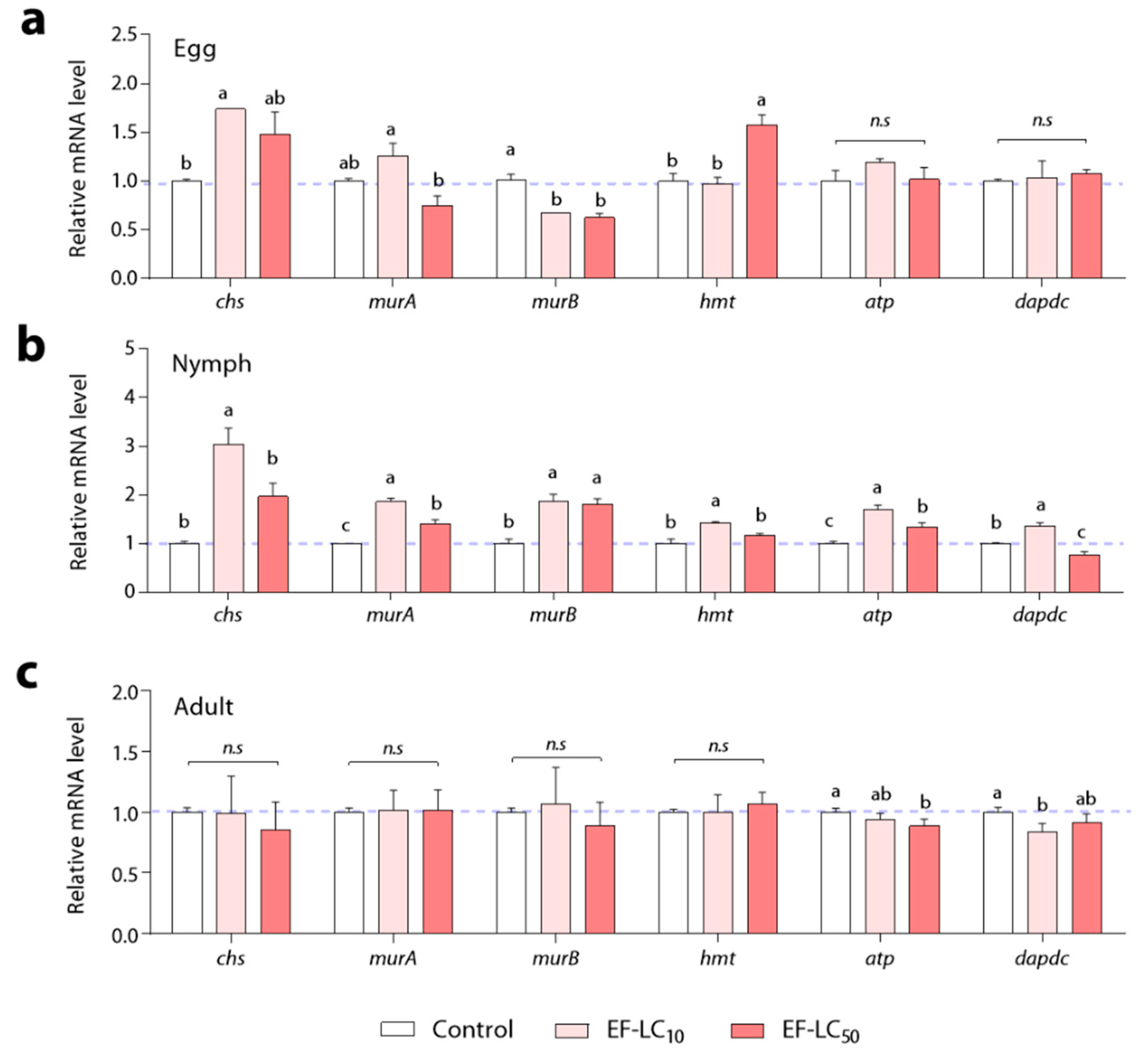
The measured genes were chitin synthase (chs), UDP-N-acetylglucosamine enolpyruvoyl transferase (murA), UDP-N-acetylenolpyruvoylglucosamine reductase (murB), homocysteine S-methyltransferase (hmt), V-ATPase (atp), and diaminopimelate decarboxylase (dapdc). The expression of the six genes in the egg developmental stage was not affected by EF treatment (<2-fold, Figure 3a). Only the chs gene showed three-fold and two-fold differences in expression in the EF-treated concentrations in the nymph stage, corresponding to the LC10 and LC50 levels, respectively (Figure 3b). There was no difference in expression in the six genes measured in the adult stage (Figure 3c).
Figure 3.
Gene expression levels of exposure to lethal concentration LC10 and LC50 values of ethyl formate (EF) for 4 h on P. citri developmental stages. Relative gene expressions of eggs (a), nymphs (b), and adults (c) were normalized using the expression level of glyceraldehyde-3-phosphate. Gene abbreviations were as follows: chitin synthase (chs), UDP-N-acetylglucosamine enolpyruvoyl transferase (murA), UDP-N-acetylenolpyruvoylglucosamine reductase (murB), homocysteine S-methyltransferase (hmt), V-ATPase (atp), and diaminopimelate decarboxylase (dapdc). Data were analyzed using one-way ANOVA, followed by post hoc Tukey’s tests. Different lowercase letters indicate significant differences among groups; a > b > c.
The expression of the six genes in the egg developmental stage was not affected by PH3 fumigation treatment (<two-fold, Figure 4a); specifically, the expression of the murA gene was reduced by about two-fold. The nymph stage was not affected by the PH3 fumigation treatment (<2-fold, Figure 4b). There were no differences in the expression of the five genes in the adult stage (Figure 4c), except for an approximately two-fold difference in dapdc gene expression in the LC10-level treatment.
Figure 4.
Gene expression levels of exposure to lethal concentration LC10 and LC50 values of phosphine (PH3) for 20 h on P. citri developmental stages. Relative gene expressions of eggs (a), nymphs (b), and adults (c) were normalized using the expression level of glyceraldehyde-3-phosphate. Gene abbreviations were as follows: chitin synthase (chs), UDP-N-acetylglucosamine enolpyruvoyl transferase (murA), UDP-N-acetylenolpyruvoylglucosamine reductase (murB), homocysteine S-methyltransferase (hmt), V-ATPase (atp), and diaminopimelate decarboxylase (dapdc). Data were analyzed using one-way ANOVA, followed by post hoc Tukey’s tests. Different lowercase letters indicate significant differences among groups; a > b > c.
3.4. Synergistic Effect of EF and PH3 against P. citri
The synergistic ratio was obtained at the highest value of 1.17-fold in the combined treatment of PH3 LCT25 and EF LCT10 (Table 2). However, mortality was more than 85% in the EF (LCT50) + PH3 (LCT25) group. In the 4 h fumigation treatment, since PH3 did not exhibit fumigation toxicity to eggs, the treatment concentration of PH3 was set to 1 mg/L, and the treatment concentrations of EF were set differently as LCT10, LCT25, and LCT50 concentration levels. The synergistic ratio was 1.33-fold in EF (LCT10) + PH3 (1 mg/L). Additionally, the mortality value reached 98% or more in the EF (LCT50) + PH3 (1 mg/L) combined treatment group (Table 2).
Table 2.
Evaluation of synergistic effects with different combinations of ethyl formate (EF) and phosphine (PH3) on P. citri adults, nymphs, and eggs under 4 h exposure at 20 °C (n = 20, triplicate).
3.5. Omics Analysis Using Proteomics and Metabolomics Techniques
Thirty proteins with increased and decreased expression determined by LC-MS/MS are listed in Table 3. During EF fumigation, about eight proteins in adults showed at least 2-fold different expression.
Table 3.
Significant protein expressions after exposure to different combinations of ethyl formate (EF) and phosphine (PH3) on P. citri adults for 4 h at 20 °C (n = 20, triplicate).
Among them, the decreased proteins are putative dihydrolipoyl lysine-residue acetyltransferase, putative 50S ribosomal protein L11, mitochondrial aconitase 1 (isoform B), calmodulin, dihydrolipoyl dehydrogenase (DLD), putative 50S ribosomal protein L9, and putative phosphoribosyl formimino-5-aminoimidazole carboxamideribotide isomerase, and only one protein, putative heat shock protein IbpA, was elevated.
In PH3 fumigation, 17 proteins with two-fold lower expression were pyruvate kinase, putative dihydrolipoyl lysine-residue acetyltransferase, putative 50S ribosomal protein L11, ATP synthase subunit alpha, mitochondrial aconitase 1 isoform B, DLD, 26S proteasome regulatory subunit 8, 30S ribosomal protein, putative 50S ribosomal protein L9, putative 50S ribosomal protein L7/L12, putative phosphoribosyl formimino-5-aminoimidazole carboxamideribotide isomerase, 26S proteasome regulatory subunit 4, calcium pump, histone H4 replacement isoform A, vacuolar H[+]-ATPase 55kD subunit isoform A, and ATP-dependent chaperone protein ClpB. Only two proteins, acetohydroxyacid isomeroreductase and putative heat shock protein IbpA, were elevated after the PH3 fumigation. When these two fumigants were treated simultaneously, putative dihydrolipoyl lysine-residue acetyltransferase, putative 50S ribosomal protein L11, DLD, homocysteine S-methyltransferase, putative 50S ribosomal protein L9, putative phosphoribosyl formimino-5-aminoimidazole carboxamideribotide isomerase, and calcium pump were significantly decreased when compared to the control group and both single treatments of EF and PH3. On the other hand, acetohydroxyacid isomeroreductase and putative heat shock protein (IbpA) in the combinational treated group were up-regulated when compared to the control
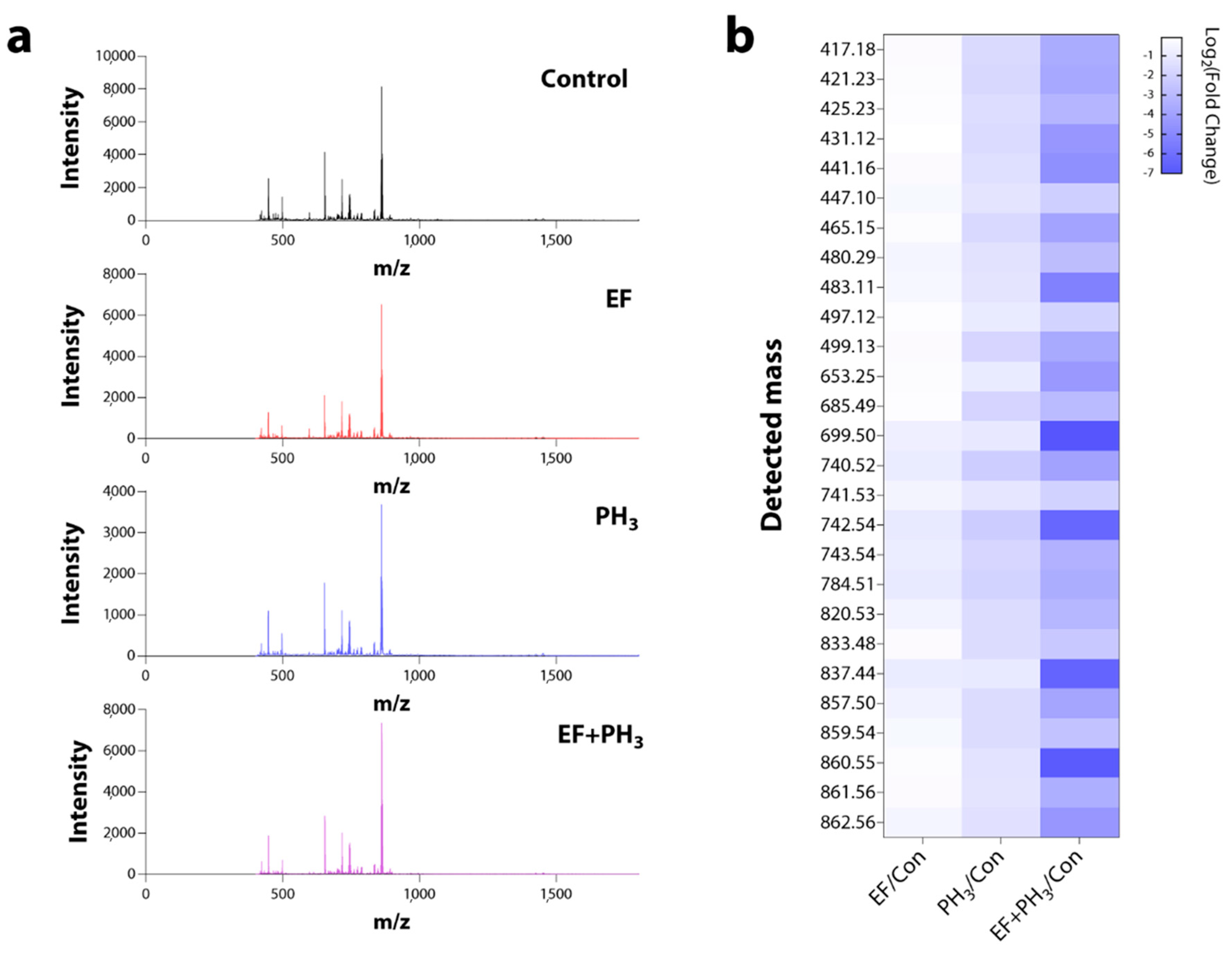
Spectrums of MALDI-TOF MS analysis and lipids differentially generated in P. citri adults are reported in Figure 5 and Table 4. Eleven phospholipids were significantly reduced in EF+PH3-treated samples compared to the control. The highest reduction was a 100-fold decrease in the phospholipid PI (O-16:0).
Figure 5.
Mass ions for lipid profiling on P. citri adults after exposure to ethyl formate (EF), phosphine (PH3), and combination treatment (EF + PH3) for 4 h. (a) Spectrums of MALDI-TOF MS. (b) Pairwise analysis using a heatmap with the Kruskal−Wallis test (p < 0.0001). A heatmap was constructed using the Log2 intensity ratio between the control and treatment groups.
Table 4.
List of significant lipid estimated m/z values detected using MALDI-TOF MS with the negative ion mode (Kruskal–Wallis Test (Pr > Chi-square, p < 0.0001)).
4. Discussion
There are more than 60 species of mealybug worldwide, and P. citri is a major pest of citrus [33]. This pest is currently controlled for the protection of fruits from damage during the cultivation of orange, grapefruit, lemon, and mandarin using chemical insecticides such as chlorpyrifos, chlorpyrifos-ethyl, methidathion, malathion, imidacloprid, buprofezin, and spirotetramat [34]. Although pest control of fruits using chemical insecticides during cultivation has been successfully performed, there is a presumable hindrance found in post-harvest management using MB and alternatives, including quarantine.
MB can be completely replaced only when a clear combination treatment efficacy and mechanism of action are evaluated. The efficacy of combination treatment of PH3 with EF has been evaluated in several studies [1,7,35], but there is a lack of understanding of the mechanisms. PH3 is used as the most global alternative fumigant to MB, but there are still some issues to be solved: a relatively long treatment time with slow activity and high resistance [8]. When the PH3 treatment time was changed from 20 h to 4 h, the efficacy of P. citri on the eggs showed a mortality rate of 60% at the highest concentration of 4 mg/L PH3 (Table 1 and Table S3). On the other hand, EF has a concentration of 285~1536 times higher than PH3 based on LC50 values (Table 1 and Table S1).
Nevertheless, as P. citri is an invasive species, it is an important pest that prohibits transfer between countries. Thus, appropriate quarantine systems should be in operation in each country to prevent their spread. MB is minimally used for quarantine and pre-shipment, but MB substitutes are continuously developed and used selectively in the field [7]. According to Yang et al. (2016), the fumigation control of P. citri was reported using EF and PH3 for quarantine. The LCT99 values were obtained using a 55 L fumigation chamber, and EF exhibited the LCT99 values 211.04, 49.51, and 124.61 mg∙h/L for eggs, nymphs, and adults, respectively [7]. These results are slightly different from those obtained in this study. In our study, the LCT99 value of EF was 65.43, 45.85, and 46.90 mg∙h/L for eggs, nymphs, and adults, respectively. The differences between these two studies might be considered because of the different temperature conditions of 8 °C [7] and 20 °C in this present study. EF treatment might be dependent on temperature. On the other hand, LCT99 values of PH3 treatment show similar results between Yang et al. (2016) and our study (Table 1).
The EF + PH3 combined treatment against P. citri has been reported in a previous study [7], in which eggs, nymphs, and adults were treated at 8 °C with different treatment times: 2 h and 4 h. However, in our study, the temperature for the combination treatment was set to 20 °C, and the treatment time was set to 4 h. The fumigation toxicity of PH3 to eggs was not found at 4 h at 20 °C, so it was treated at the level of 1 mg∙h/L as other developmental stages, which was the level of LCT25 (Table 1). The EF treatment concentration for the combination treatment was simultaneously treated with LCT10, LCT25, and LCT50 concentrations, and the treatment time was uniformly applied at 4 h. It was intended to shorten the treatment time because the PH3 treatment time of 20 h was too long in the quarantine field. With this combined treatment, a synergistic effect was confirmed in eggs, nymphs, and adults (Table 2), and thus there was no need to use EF or PH3 alone. This combination treatment caused more potent fumigation toxicity than that of the single treatment.
As we determined four different enzyme activities after individual treatment of EF and PH3, there was no significant change in AChE and GST activities, but it was confirmed that there were changes in COX and CE activities (Figure 2). Among them, a previous report found that the activity of COX in Myzus persicae Sulzer (Hemiptera: Aphididae) nymphs increased in response to EF treatment [36]. This result is similar to our study as EF treatment on P. citri nymphs enhanced COX activities (Figure 2a). Interesting molecular-level changes in this study are changes in genes related to chitin biosynthesis, especially in P. citri nymphs (Figure 2 and Figure 3). It indicates that treatment with EF and PH3 affects P. citri chitin production, which can be considered as a major route of the mode of fumigant action.
On the other hand, the synergistic effect might be related to the biochemical changes. Through proteomic analysis, protein expression changes after individual treatment of EF and PH3 were found in P. citri adults, and several proteins after both treatments were commonly down-regulated which are involved in mitochondrial proteins related to energy production and protein biosynthesis. Among them, putative dihydrolipoyl lysine-residue acetyltransferase mediates the conversion of pyruvate to acetyl-CoA and CO2 as one of the pyruvate dehydrogenase components [37]. Therefore, it is a linker for the glycolytic pathways to the tricarboxylic cycle in living organisms. DLD is another important protein in relation to PH3 fumigation, because the unique biochemical mechanism for insect pest resistance to PH3 is a genetic change in DLD. DLD is known to be primarily activated in mitochondria and involved in energy generation. PH3-resistant insects develop genetically modified DLDs in their amino acid sequences [2,19]. Similarly, the significant reduction in DLD level may produce lower energy in P. citri after the combined treatment, indicating that it could be considered as a vital target site. Another down-regulated protein is phosphoribosyl formimino-5-aminoimidazole carboxamideribotide isomerase which is involved in histidine biosynthesis. The decreased expression of this enzyme may reduce histidine production during the fumigation and inhibit the regulation and metabolism of trace elements, and the repair and growth of tissue [38,39]. Therefore, individual fumigation of EF and PH3 can inhibit similar biochemical processes in P. citri adults and they are considered to be their presumable target sites.
Decreased expression of homocysteine S-methyltransferase (HMT) may also be a strong target site of combined EF+PH3 treatment (Table 3), and this enzyme plays an important role in amino acid (methionine) biosynthesis. It is also primarily linked to the biosynthesis of cysteine, a major component in the production of glutathione [40]. If the homocysteine balance is broken, it affects S-adenosyl methionine production, which acts on DNA methylation [40]. In our study, a dramatic reduction in HMT protein level was found in the combined treatment towards P. citri adults (Table 3), indicating a presumable occurrence of homocysteine unbalance. Further study is needed to find a reduction in homocysteine level after the combined EF+PH3 treatment in P. citri, and it can be highlighted as a new target site for those fumigants. However, the gene expression of hmt was not different, as shown in Figure 4, and it could be due to the inaccurate timing of sample collection when the response of the gene is already completed.
Interestingly, an up-regulated protein, acetohydroxyacid isomeroreductase, was obtained after PH3 and combinational treatment (Table 3). It mediates the conversion of alpha-ketopantoate to pantothenic acid (vitamin B5), which is a component of coenzyme A (CoA) essential for the biosynthesis and metabolism of fatty acids, carbohydrates, and proteins [41]. Therefore, elevation of this enzyme may be a recovery process for the damaged adults after the fumigation.
Additionally, through proteomic studies, it was confirmed that the combined treatment of EF+PH3 reduced the synthesis of ribosomal proteins that synthesize proteins in P. citri, considering another target site of the combinational treatment. Metabolomics analyzed individual lipid levels from the same samples used for the proteomic study, and a significant change in phospholipids was confirmed when EF and PH3 were simultaneously treated (Table 4 and Figure 5). Inhibition of phospholipid production might have resulted in changes in the cell membrane components, and some of the phospholipids were also detected such that the production was suppressed more than 100-fold (Table 4). EF treatment influenced phospholipid generation more than PH3 treatment. Interestingly, it was confirmed that the m/z values of 859.5425 [PI(O-16:0)] and 860.5447 [PC(18:2)] also changed in M. persicae in response to EF treatment, and these were identified as biomarkers in two insects during the future EF treatment [36].
5. Conclusions
As a fumigated compound for the control of P. citri, EF and PH3 were treated as a single treatment or a combination treatment as MB alternatives. With reference to the LCT values resulting from the single treatment of EF and PH3, the treatment amount of PH3 was set to the level of 1 mg/L for the combination fumigation, and the LCT10, LCT25, and LCT50 values of EF were treated at the same time. Single fumigation toxicities of EF and PH3 were associated with changes in COX and CE activities and changes in gene expression related to chitin biosynthesis. The synergistic effect of EF + PH3 was confirmed in P. citri adults, and synergistic effects strongly resulted in decreases in DLD expression and changes in phospholipid production when examined at the biochemical level. Therefore, this study might contribute to the inhibition of excessive use of PH3 for the control of P. citri with reduction in resistance development to PH3, and shortening the PH3 treatment time from 20 h to 4 h. In the future, it is urgently needed to find a new fumigation combination with EF or PH3 simultaneously to make the use of these substances sustainable.
Supplementary Materials
The following are available online at https://www.mdpi.com/article/10.3390/app11219877/s1, Table S1: Lethal concentration of P. citri exposed to fumigants at 20 °C in a 12 L desiccator, Table S2: List of primers for the P. citri, Table S3: Mortality of phosphine on the eggs of P. citri for 4 h exposure at 20 ± 1 °C (n = 60, triplicate).
Author Contributions
Conceptualization, J.O.Y. and S.-E.L.; methodology, Y.H.L., H.-J.J. and B.-H.L.; validation, M.-G.P. and T.H.K.; formal analysis, K.K., T.H.K., H.-J.J., C.K. and J.P.; investigation, K.K., M.-G.P. and T.H.K.; data curation, K.K.; writing—original draft preparation, K.K. and S.-E.L.; writing—review and editing, K.K., J.O.Y. and S.-E.L.; visualization, K.K.; supervision, J.O.Y. and S.-E.L.; project administration, S.-E.L.; funding acquisition, S.-E.L. All authors have read and agreed to the published version of the manuscript.
Funding
This study was supported by grants from the Animal and Plant Quarantine Agency of the Ministry of Agriculture, Food, and Rural Affairs of the Republic of Korea (Z-1543086-2017-19-01 and Z-1543086-2020-22-01).
Institutional Review Board Statement
Not applicable.
Informed Consent Statement
Not applicable.
Data Availability Statement
No data available.
Conflicts of Interest
The authors declare no conflict of interest.
References
- Kim, K.; Lee, Y.H.; Kim, G.; Lee, B.H.; Yang, J.O.; Lee, S.E. Ethyl formate and phosphine fumigations on the two-spotted spider mite, Tetranychus urticae and their biochemical responses. Appl. Biol. Chem. 2019, 62, 1–10. [Google Scholar] [CrossRef] [Green Version]
- Kim, K.; Yang, J.O.; Sung, J.Y.; Lee, J.Y.; Park, J.S.; Lee, H.S.; Lee, B.H.; Ren, Y.; Lee, D.W.; Lee, S.E. Minimization of energy transduction confers resistance to phosphine in the rice weevil, Sitophilus oryzae. Sci. Rep. 2019, 9, 1–14. [Google Scholar] [CrossRef] [Green Version]
- Park, M.G.; Park, C.G.; Yang, J.O.; Kim, G.H.; Ren, Y.L.; Lee, B.H.; Cha, D.H. Ethyl Formate as a Methyl Bromide Alternative for Phytosanitary Disinfestation of Imported Banana in Korea With Logistical Considerations. J. Econ. Entomol. 2020, 113, 1711–1717. [Google Scholar] [CrossRef]
- De Cal, A.; Martinez-Treceno, A.; Salto, T.; Lopez-Aranda, J.M.; Melgarejo, P. Effect of chemical fumigation on soil fungal communities in Spanish strawberry nurseries. Appl. Soil Ecol. 2005, 28, 47–56. [Google Scholar] [CrossRef]
- Wood, J.P.; Wendling, M.; Richter, W.; Lastivka, A.; Mickelsen, L. Evaluation of the Efficacy of Methyl Bromide in the Decontamination of Building and Interior Materials Contaminated with Bacillus anthracis Spores. Appl. Environ. Microb. 2016, 82, 2003–2011. [Google Scholar] [CrossRef] [PubMed] [Green Version]
- Gareau, B.J. Lessons from the Montreal Protocol delay in phasing out methyl bromide. J. Environ. Stud. Sci. 2015, 5, 163–168. [Google Scholar] [CrossRef]
- Yang, J.; Park, Y.; Hyun, I.H.; Kim, G.H.; Kim, B.S.; Lee, B.H.; Ren, Y. A Combination Treatment Using Ethyl Formate and Phosphine to Control Planococcus citri (Hemiptera: Pseudococcidae) on Pineapples. J. Econ. Entomol. 2016, 109, 2355–2363. [Google Scholar] [CrossRef] [PubMed]
- Fields, P.G.; White, N.D.G. Alternatives to methyl bromide treatments for stored-product and quarantine insects. Annu. Rev. Entomol. 2002, 47, 331–359. [Google Scholar] [CrossRef] [PubMed] [Green Version]
- Opit, G.P.; Phillips, T.W.; Aikins, M.J.; Hasan, M.M. Phosphine Resistance in Tribolium castaneum and Rhyzopertha dominica From Stored Wheat in Oklahoma. J. Econ. Entomol. 2012, 105, 1107–1114. [Google Scholar] [CrossRef] [PubMed] [Green Version]
- Collins, P.J.; Falk, M.G.; Nayak, M.K.; Emery, R.N.; Holloway, J.C. Monitoring resistance to phosphine in the lesser grain borer, Rhyzopertha dominica, in Australia: A national analysis of trends, storage types and geography in relation to resistance detections. J. Stored Prod. Res. 2017, 70, 25–36. [Google Scholar] [CrossRef]
- Schlipalius, D.I.; Valmas, N.; Tuck, A.G.; Jagadeesan, R.; Ma, L.; Kaur, R.; Goldinger, A.; Anderson, C.; Kuang, J.J.; Zuryn, S.; et al. A Core Metabolic Enzyme Mediates Resistance to Phosphine Gas. Science 2012, 338, 807–810. [Google Scholar] [CrossRef]
- Agrafioti, P.; Athanassiou, C.G.; Nayak, M.K. Detection of phosphine resistance in major stored-product insects in Greece and evaluation of a field resistance test kit. J. Stored Prod. Res. 2019, 82, 40–47. [Google Scholar] [CrossRef]
- Hubhachen, Z.; Jiang, H.B.; Schlipalius, D.; Park, Y.; Guedes, R.N.C.; Oppert, B.; Opit, G.; Phillips, T.W. A CAPS marker for determination of strong phosphine resistance in Tribolium castaneum from Brazil. J. Pest. Sci. 2020, 93, 127–134. [Google Scholar] [CrossRef]
- Lee, M.J.; Kim, H.Y. A 90-Day Inhalation Toxicity Study of Ethyl Formate in Rats. Toxicol. Res. 2017, 33, 333–342. [Google Scholar] [CrossRef] [Green Version]
- Zaitoon, A.; Lim, L.T.; Scott-Dupree, C. Synthesis and Characterization of Ethyl Formate Precursor for Activated Release Application. J. Agric. Food Chem. 2019, 67, 13914–13921. [Google Scholar] [CrossRef]
- Lee, B.H.; Park, C.G.; Park, M.G.; Roh, G.H.; Kim, D.; Riddick, E.W.; Chen, J.; Cha, D.H. Ethyl formate fumigation for the disinfestation of red imported fire ants Solenopsis invicta Buren. J. Asia-Pac. Entomol. 2019, 22, 838–840. [Google Scholar] [CrossRef]
- Kim, B.S.; Shin, E.M.; Park, Y.J.; Yang, J.O. Susceptibility of the Cigarette Beetle Lasioderma serricorne (Fabricius) to Phosphine, Ethyl Formate and Their Combination, and the Sorption and Desorption of Fumigants on Cured Tobacco Leaves. Insects 2020, 11, 599. [Google Scholar] [CrossRef]
- Lee, J.S.; Kim, H.K.; Kyung, Y.; Park, G.H.; Lee, B.H.; Yang, J.O.; Koo, H.N.; Kim, G.H. Fumigation Activity of Ethyl Formate and Phosphine Against Tetranychus urticae (Acari: Tetranychidae) on Imported Sweet Pumpkin. J. Econ. Entomol. 2018, 111, 1625–1632. [Google Scholar] [CrossRef] [PubMed]
- Yang, J.; Park, J.S.; Lee, H.; Kwon, M.; Kim, G.-H.; Kim, J. Identification of a phosphine resistance mechanism in Rhyzopertha dominica based on transcriptome analysis. J. Asia-Pac. Entomol. 2018, 21, 1450–1456. [Google Scholar] [CrossRef]
- Franco, J.C.; Zada, A.; Mendel, Z. Novel Approaches for the Management of Mealybug Pests; Springer Netherlands: Dordrecht, The Netherlands, 2009; pp. 233–278. [Google Scholar]
- Mansour, R.; Grissa-Lebdi, K.; Suma, P.; Mazzeo, G.; Russo, A. Key Scale Insects (Hemiptera: Coccoidea) of High Economic Importance in a Mediterranean Area: Host Plants, Bio-Ecological Characteristics, Natural Enemies and Pest Management Strategies—A Review. Plant Prot. Sci. 2017, 53, 1–14. [Google Scholar] [CrossRef]
- Bond, E.J.; Food and Agriculture Organization of the United Nations. Manual of Fumigation for Insect Control; Food and Agriculture Organization of the United Nations: Rome, Italy, 1984. [Google Scholar]
- Plackett, R.L.; Hewlett, P.S. A Unified Theory for Quantal Responses to Mixtures of Drugs: The Fitting to Data of Certain Models for Two Non-Interactive Drugs with Complete Positive Correlation of Tolerances. Biometrics 1963, 19, 517–531. [Google Scholar] [CrossRef]
- Ye, J.; Coulouris, G.; Zaretskaya, I.; Cutcutache, I.; Rozen, S.; Madden, T.L. Primer-BLAST: A tool to design target-specific primers for polymerase chain reaction. BMC Bioinform. 2012, 13, 134. [Google Scholar] [CrossRef] [PubMed] [Green Version]
- Livak, K.J.; Schmittgen, T.D. Analysis of Relative Gene Expression Data Using Real-Time Quantitative PCR and the 2−ΔΔCT Method. Methods 2001, 25, 402–408. [Google Scholar] [CrossRef] [PubMed]
- Bradford, M.M. A rapid and sensitive method for the quantitation of microgram quantities of protein utilizing the principle of protein-dye binding. Anal. Biochem. 1976, 72, 248–254. [Google Scholar] [CrossRef]
- Campian, J.L.; Gao, X.; Qian, M.; Eaton, J.W. Cytochrome C oxidase activity and oxygen tolerance. J. Biol. Chem. 2007, 282, 12430–12438. [Google Scholar] [CrossRef] [PubMed] [Green Version]
- Ellman, G.L.; Courtney, K.D.; Andres, V., Jr.; Feather-Stone, R.M. A new and rapid colorimetric determination of acetylcholinesterase activity. Biochem. Pharmacol. 1961, 7, 88–95. [Google Scholar] [CrossRef]
- Habig, W.H.; Jakoby, W.B. Assays for differentiation of glutathione S-transferases. Methods Enzymol. 1981, 77, 398–405. [Google Scholar] [CrossRef]
- Mackness, M.I.; Walker, C.H.; Rowlands, D.G.; Price, N.R. Esterase activity in homogenates of three strains of the rust red flour beetle Tribolium castaneum (Herbst). Comp. Biochem. Physiol. Part C Comp. Pharmacol. 1983, 74, 65–68. [Google Scholar] [CrossRef]
- Searle, B.C. Scaffold: A bioinformatic tool for validating MS/MS-based proteomic studies. Proteomics 2010, 10, 1265–1269. [Google Scholar] [CrossRef]
- Folch, J.; Lees, M.; Sloane Stanley, G.H. A simple method for the isolation and purification of total lipides from animal tissues. J. Biol. Chem. 1957, 226, 497–509. [Google Scholar] [CrossRef]
- Franco, J.C.; Suma, P.; da Silva, E.B.; Blumberg, D.; Mendel, Z. Management strategies of mealybug pests of citrus in mediterranean countries. Phytoparasitica 2004, 32, 507. [Google Scholar] [CrossRef]
- Mansour, R.; Belzunces, L.P.; Suma, P.; Zappala, L.; Mazzeo, G.; Grissa-Lebdi, K.; Russo, A.; Biondi, A. Vine and citrus mealybug pest control based on synthetic chemicals. A review. Agron. Sustain. Dev. 2018, 38, 1–20. [Google Scholar] [CrossRef] [Green Version]
- Ahmed, Q.; Ren, Y.L.; Emery, R.; Newman, J.; Agarwal, M. Evaluation of Ethyl Formate, Phosphine, and Their Combination to Disinfest Harvested Celery against Purple Scum Springtails. Horttechnology 2018, 28, 492–501. [Google Scholar] [CrossRef]
- Kim, K.; Lee, B.H.; Park, J.S.; Yang, J.O.; Lee, S.E. Biochemical mechanisms of fumigant toxicity by ethyl formate towards Myzus persicae nymphs. J. Appl. Biol. Chem. 2017, 60, 271–277. [Google Scholar] [CrossRef] [Green Version]
- Cabrera-Brandt, M.; Silva, A.X.; Trionnaire, G.L.; Tagu, D.; Figueroa, C.C. Transcriptomic responses of the aphid Myzus persicae nicotianae Blackman (Hemiptera: Aphididae) to insecticides: Analyses in the single Chilean clone of the tobacco aphid. Chil. J. Agric. Res. 2014, 74, 191–199. [Google Scholar] [CrossRef] [Green Version]
- Del Duca, S.; Riccardi, C.; Vassallo, A.; Fontana, G.; Castronovo, L.M.; Chioccioli, S.; Fani, R. The Histidine Biosynthetic Genes in the Superphylum Bacteroidota-Rhodothermota-Balneolota-Chlorobiota: Insights into the Evolution of Gene Structure and Organization. Microorganisms 2021, 9, 1439. [Google Scholar] [CrossRef] [PubMed]
- Vázquez-Salazar, A.; Becerra, A.; Lazcano, A. Evolutionary convergence in the biosyntheses of the imidazole moieties of histidine and purines. PLoS ONE 2018, 13, e0196349. [Google Scholar] [CrossRef] [Green Version]
- Oppold, A.; Kress, A.; Vanden Bussche, J.; Diogo, J.B.; Kuch, U.; Oehlmann, J.; Vandegehuchte, M.B.; Muller, R. Epigenetic alterations and decreasing insecticide sensitivity of the Asian tiger mosquito Aedes albopictus. Ecotoxicol. Environ. Saf. 2015, 122, 45–53. [Google Scholar] [CrossRef]
- Hart, R.J.; Abraham, A.; Aly, A.S.I. Genetic Characterization of Coenzyme A Biosynthesis Reveals Essential Distinctive Functions during Malaria Parasite Development in Blood and Mosquito. Front. Cell Infect. Microbiol. 2017, 20, 260. [Google Scholar] [CrossRef] [Green Version]
Publisher’s Note: MDPI stays neutral with regard to jurisdictional claims in published maps and institutional affiliations. |
© 2021 by the authors. Licensee MDPI, Basel, Switzerland. This article is an open access article distributed under the terms and conditions of the Creative Commons Attribution (CC BY) license (https://creativecommons.org/licenses/by/4.0/).




