Featured Application
Seismic response evaluation of a base-isolated buildings: Seismic rehabilitation design for reinforced concrete buildings using the base-isolation technique.
Abstract
In this article, the applicability of mode-adaptive bidirectional pushover analysis (MABPA) to base-isolated irregular buildings was evaluated. The point of the updated MABPA is that the peaks of the first and second modal responses are predicted considering the energy balance during a half cycle of the structural response. In the numerical examples, the main building of the former Uto City Hall, which was severely damaged in the 2016 Kumamoto earthquake, was investigated as a case study for the retrofitting of an irregular reinforced concrete building using the base-isolation technique. The comparisons between the predicted peak response by MABPA and nonlinear time-history analysis results showed that the peak relative displacement can be properly predicted by MABPA. The results also showed that the performance of the retrofitted building models was satisfactory for the ground motion considered in this study, including the recorded motions in the 2016 Kumamoto earthquake.
1. Introduction
1.1. Background
Seismic isolation is widely applied to buildings for earthquake protection in earthquake-prone countries [1]. Unlike in the case of traditional (non-isolated) earthquake-resistant structures, seismic isolation ensures that the behaviors of building structures are within the elastic range and reduces acceleration in buildings during large earthquakes [2]. Therefore, this technique is applied to not only new buildings, but also existing reinforced concrete and masonry buildings, including historical structures [3,4,5,6,7,8,9,10,11,12,13,14]. The isolation layer consists of isolators and dampers. Isolators support the gravity loads of the superstructure. The horizontal flexibility and centering capability of seismically isolated buildings is also achieved by isolators [1]. Dampers provide the energy dissipation capacity for reducing the seismic responses. Although it is very common to use hysteresis dampers (e.g., steel dampers) and/or oil dampers in the isolation layer, there are several studies about the innovative seismic isolation systems in recent years, e.g., [15,16,17,18,19,20,21,22].
In general, there is some degree of irregularity in building structures, whether they are newly designed or preexisting. Therefore, the problem of torsional response due to plan irregularities needs to be studied for base-isolated structures, as well as non-isolated structures. Several researchers have investigated the seismic behavior of base-isolated buildings with plan irregularities [23,24,25,26,27,28,29,30,31,32,33,34,35,36]; these include fundamental parametric studies using idealized models [23,24,25,26,27], as well as studies using more realistic frame building models [28,29,30,31,32,33,34,35,36]. Most of these studies are based on nonlinear time-history analyses [23,24,25,26,27,28,29,30,31,32,33,34,35]. However, there are a few investigations that examine the applicability of nonlinear static procedures to base-isolated buildings with asymmetry. Kilar and Koren [36] examined the applicability of the extended N2 method [37,38], which is one of the variants of the nonlinear static procedures, to the base-isolated asymmetric buildings. They found the nonlinear peak response of base-isolated asymmetric building can be predicted by the extended N2 method. However, they examined only those whose superstructure was regular in elevation. Therefore, further investigations are needed for the applicability of the nonlinear static procedures, especially for base-isolated building with plan and elevation irregularities.
1.2. Motivation
There were two main motivations for this study. The first was to extend nonlinear static analyses to base-isolated buildings with irregularities, and the second was to predict the nonlinear peak responses of base-isolated buildings according to the concept of energy input.
With respect to the first motivation, the authors proposed mode-adaptive bi-directional pushover analysis (MABPA) [39,40,41,42,43,44]. This is a variant of nonlinear static analysis and was originally proposed for the seismic analysis of non-isolated asymmetric buildings subjected to horizontal bidirectional excitation. The first version of MABPA was proposed for non-isolated asymmetric buildings with regular elevation [39]; it was then updated following the development of displacement-based mode-adaptive pushover (DB-MAP) analysis [40]. This version has been applied to reinforced concrete asymmetric frame buildings with buckling-restrained braces [41] and to building models with bidirectional setbacks [42]. The applicability of MABPA has been discussed and evaluated based on the effective modal mass ratio of the first two modes [43]. The seismic capacity of an existing irregular building severely damaged in the 2016 Kumamoto earthquake (the former Uto City Hall) has been evaluated using MABPA [44]. Looking back on the development of MABPA, the logical next step should be to extend the method to base-isolated buildings with irregularities. Considering the case in which the seismic isolation period is well separated from the natural period of a superstructure, the behavior of the superstructure may be that of a rigid body, as discussed by several researchers, e.g., [27]. In such cases, the effective modal mass ratio of the first and second modes is close to unity, provided that the torsional resistance at the isolation layer is sufficient. It is expected that the seismic response of such a base-isolated building with plan irregularities will be accurately predicted by MABPA.
In the nonlinear static analysis shown in the American Society of Civil Engineers ASCE/SEI 41-17 document [3], the reduced spectrum considering the effective damping is used to predict the target displacement for a nonlinear static analysis. Similarly, as shown in Notification No. 2009 of the Ministry of Construction of Japan [45], the equivalent linearization technique can be used for target displacement evaluations of base-isolated buildings. However, several researchers have examined the responses of long-period building structures subjected to pulse-like ground motions, e.g., Mazza examined a base-isolated building [29,31] and Güneş and Ulucan studied a tall reinforced concrete building [46]. Because the effective damping is calculated based on a steady response having the same displacement amplitude in the positive and negative directions, the use of effective damping for the prediction of the peak responses of base-isolated structures subjected to pulse-like ground motion is questionable. From this viewpoint, an alternative concept for predicting the peak response is required. Accordingly, the second motivation of this study was to investigate the use of the energy concept.
The concept of energy input was introduced by Akiyama in the 1980 s [47] and is implemented in the design recommendation for seismically isolated buildings presented by the Architectural Institute of Japan [2]. In Akiyama’s theory, the total input energy is a suitable seismic intensity parameter to access the cumulative response of a structure. Instead of the total input energy, Inoue et al. proposed the maximum momentary input energy [48,49,50] as an intensity parameter related to peak displacement; nonlinear peak displacement can be predicted by equating the maximum momentary input energy and the cumulative hysteresis energy during a half cycle of the structural response. Following the work of Inoue et al., the authors investigated the relationship between the maximum momentary input energy and the total input energy of an elastic single-degree-of-freedom (SDOF) model [51]. In addition, the concept of the momentary input energy was extended to consider bidirectional horizontal excitation [52,53]. Specifically, the time-varying function of the momentary energy input has been formulated for unidirectional [51] and bidirectional [52] excitation: This function can be calculated from the transfer function of the model and the complex Fourier coefficients of the ground acceleration. Using the time-varying function, both energy parameters, the total and maximum momentary input energy, can be accurately calculated. In a previous study [53], it was shown that the nonlinear peak displacement and the cumulative energy of the isotropic two-degree-of-freedom model representing a reinforced concrete building can be properly predicted using a time-varying function. Therefore, the use of a time-varying function of the momentary energy input is promising for seismic response predictions for base-isolated buildings.
1.3. Objectives
Based on the above discussion, the following questions were addressed in this paper.
- Is MABPA capable of predicting the peak response of irregular base-isolated buildings?
- The prediction of the peak equivalent displacement of the first two modal responses is an essential step in MABPA. For this, the relationship between the maximum momentary input energy and the peak displacement needs to be properly evaluated. How can this relationship be evaluated from the pushover analysis results?
- In the prediction of the maximum momentary input energy of the first two modal responses, the effect of simultaneous bidirectional excitation needs to be considered. Can the upper bound of the peak equivalent displacement of the first two modal responses be predicted using the bidirectional maximum momentary input energy spectrum [52]?
In this study, the applicability of mode-adaptive bidirectional pushover analysis (MABPA) to base-isolated irregular buildings was evaluated. The point of the updated MABPA is that the peaks of the first and second modal responses are predicted considering the energy balance during a half cycle of the structural response. In the numerical examples, the main building of the former Uto City Hall [44], which was severely damaged in the 2016 Kumamoto earthquake, was investigated as a case study for the retrofitting of an irregular reinforced concrete building using the base-isolation technique. The nonlinear peak responses of two retrofitted building models subjected to bidirectional excitation were investigated via a time-history analysis using artificial and recorded ground motion datasets. Then, their peak responses were predicted by MABPA to evaluate its accuracy. Note that of the many types of dampers used nowadays in base-isolated buildings, only hysteresis dampers were considered in this study; this is because they are easily implemented in nonlinear static analysis. The applicability of MABPA to base-isolated buildings with other types of dampers, such as oil and tuned viscous mass dampers [18], will be the next phase of this study.
The rest of paper is organized as follows. Section 2 presents an outline of MABPA, followed by the prediction procedure of the maximum equivalent displacement conducted using the maximum momentary input energy. Section 3 briefly presents information concerning the original building. Then, two retrofitted building models using the base-isolation technique are presented, as well as the ground motion data used in the nonlinear time-history analysis. The validation of the prediction of the peak response is discussed in Section 4. Discussions focused on (i) the relationship between the maximum equivalent displacement and the maximum momentary input energy, (ii) the predictability of the largest maximum momentary input energy from the bidirectional momentary input energy spectrum, and (iii) the accuracy of the upper bound of the maximum equivalent displacement of the first two modes are presented in Section 5. The conclusions and future directions of the study are discussed in Section 6.
2. Description of MABPA
2.1. Outline of MABPA
Figure 1 shows the flow of the updated MABPA. Here, the U-axis is the principal axis of the first modal response, while the V-axis is the axis perpendicular to the U-axis, following previous studies [39,41]. In this study, the predictions of the peak responses of the first and second modes (steps 2 and 4) were updated as follows:
Figure 1.
Flow of updated mode-adaptive bi-directional pushover analysis (MABPA).
- The bidirectional momentary input energy proposed in the previous study was applied as the seismic intensity parameter.
- The peak response of each mode was predicted from the energy balance in a half cycle of the structural response.
It was assumed that the upper bound of the unidirectional maximum momentary input energy considering the various directions of the seismic input is approximated by the bidirectional maximum momentary input energy. For the prediction of the peak equivalent displacements of the first and second modal responses, the bidirectional maximum momentary input energy spectrum (bidirectional spectrum) was used. This is because the influences of the simultaneous input of two horizontal components are included in the bidirectional spectrum, as discussed in previous studies [52,53]. Note that the maximum momentary input energy of each modal response varies depending on the angle of incidence of the horizontal ground motion. The assumption that the maximum momentary input energy of each modal response can be predicted from the bidirectional spectrum can lead to conservative predictions. The validation of this assumption is discussed in Section 5.
2.2. Prediction of the Peak Response using the Momentary Energy Input
2.2.1. Calculation of the Bidirectional Momentary Input Energy Spectrum
The bidirectional momentary input energy spectrum, which was proposed in previous studies [52,53], can be calculated as follows.
First, the complex Fourier coefficient of the two orthogonal components of horizontal ground acceleration, and , can be calculated via the discrete Fourier transform of the two horizontal ground acceleration components and , respectively.
The displacement and velocity transfer function of the linear system with viscous and complex damping can be calculated as follows:
In Equation (1), is the natural circular frequency, and are the viscous and complex damping of the linear system, respectively; is the natural frequency of the th harmonic. From the complex Fourier coefficients ( and ) and the transfer functions of the linear system ( and ), the duration of a half cycle of response () can be calculated as:
Then, the Fourier coefficient of the time-varying function of the momentary energy input can be calculated as follows:
The momentary input energy per unit mass at time can be calculated as follows:
The maximum momentary input energy per unit mass () can be evaluated as the maximum value calculated by Equation (4) over the course of the seismic event. The bidirectional maximum momentary input energy spectrum (the bidirectional spectrum) can be calculated as:
The bidirectional spectrum is prepared at the beginning of the MABPA (step 0). The range of the natural period () needs to be properly considered. In this study, a range of from 0.1 to 6.0 s (longer than the seismic isolation period) was considered. The assumption of damping is also important. Because only a hysteresis (displacement-dependent) damper was installed in the isolation layer, complex damping was chosen in this study. The complex damping ratios () were set to 0.10, 0.20, and 0.30.
2.2.2. Formulation of the Effective Period and the Hysteretic Dissipated Energy in a Half Cycle
To predict the peak responses of the first two modes, bilinear idealization of the equivalent acceleration-equivalent displacement relationship was made as follows. In the following discussion, the formulations are made for the first modal response. Figure 2 shows the bilinear idealization procedure used in this study.
Figure 2.
Bilinear idealization of the equivalent acceleration-equivalent displacement relationship.
Then, the effective period () and the hysteretic dissipated energy in the half cycle per unit mass () were formulated. Figure 3 shows the modeling of the structural response in a half cycle used to predict the peak response. In Figure 3, the parameter is the displacement ratio in the positive and negative directions and was assumed to be in the range from 0 to 1.
Figure 3.
Modeling of the structural response in a half cycle used to predict the peak response: (a) The effective slope (κ1eff) and (b) the hysteretic dissipated energy in a half cycle per unit mass (ΔEμ1U/M1U*).
In this study, the effective period of the first mode corresponding to was calculated as:
In addition, the equivalent velocity of the hysteretic dissipated energy in a half cycle corresponding to was calculated as:
The effective slope corresponding to was calculated as:
The hysteretic dissipated energy in a half cycle per unit mass corresponding to was calculated as:
The predicted peak response was obtained from the following equation:
Note that no viscous damping was considered because the isolation layer was assumed to have no viscous damping.
3. Description of the Retrofitted Building Models and Ground Motion Datasets
3.1. Original Building
Figure 4 shows a simplified structural plan and the elevation of the main building of the former Uto City Hall [44]. This five-story reinforced concrete irregular building was constructed in 1965.
Figure 4.
Simplified structural plan and elevation of the main building of the former Uto City Hall [44]: (a) Structural plan (Level Z0) and (b) simplified plan elevation (frame B1).
Figure 5 shows the former Uto City Hall after the 2016 Kumamoto earthquake. After the 2016 Kumamoto earthquake, this building was demolished. Details concerning this building can be found in the literature [44].
Figure 5.
View of the former Uto City Hall after the 2016 Kumamoto earthquake [44]. Photographs were taken from (a) the south, (b) the southwest, and (c) the north.
Figure 6 shows the soil properties at the former K-NET Uto station, which was within the site of the Uto City Hall at the time of the 2016 Kumamoto earthquake. Note that those soil properties at the former K-NET Uto station are available from the K-NET website [54].
Figure 6.
Soil profiles of the former K-NET Uto station. Figures were made from the data provided by the National Research Institute for Earth Science and Disaster Resilience (NIED). (a) Primary and shear wave profile (Vp: P-wave velocity, Vs: S-wave velocity); (b) density profile; (c) soil column.
3.2. Properties of the Isolation Layer
Two retrofitted building models were examined in this study to consider different seismic isolation periods (). The properties of the isolation layer were determined as follows, based on the energy-balanced design method introduced in the design recommendation [2].
First, the mass and the moment of inertia of each floor were calculated. Table 1 shows the floor mass (), moment of inertia (), and the radius of gyration of the floor mass () for the th floor. Here, the values of the floor mass and the moment of inertia above level 1 were taken from a previous study [44], while the weight per unit area at level 0 was assumed to be 24 kN/m2 for the calculation of the floor mass and the moment of inertia of each floor. Therefore, the calculated total mass () was 5412 t.
Table 1.
Floor mass, moment of inertia, and radius of gyration of the floor mass of each floor level.
Figure 7 shows the horizontal response spectra of the recorded ground motions of the first (14 April 2016: UTO0414) and second (16 April 2016: UTO0416) earthquakes observed at the K-NET Uto station [54]. Note that the spectral acceleration () and velocity () shown in Figure 7a,b were calculated as the absolute (vector) value of the two horizontal components. The total input energy spectrum (the spectrum) was also calculated considering the simultaneous input of the two horizontal components. The viscous damping ratio was set to 0.05 for the calculations of and , while it was set to 0.10 for the calculation of following the work of Akiyama [47].
Figure 7.
Horizontal response spectra of the recorded ground motions at the K-NET Uto station: (a) Elastic acceleration response spectrum (damping ratio: 0.05); (b) elastic velocity response spectrum (damping ratio: 0.05); (c) elastic total input energy spectrum (damping ratio: 0.10).
In this study, the range of the seismic isolation period () was considered to be from 3 to 4.5 s when determining the properties of the isolation layer. Based on Figure 7c, the equivalent velocity of the total input energy () was set to 1.41 m/s to determine the properties of the isolation layer.
Assuming that the superstructure is a rigid body, the equation of the energy balance is expressed as:
In Equation (11), is the maximum horizontal displacement, is the equivalent number of repetitions, is the total horizontal stiffness of the flexible element, and is the total yield strength of the rigid plastic element. Equation (11) can be rewritten as:
In Equation (13), is the acceleration due to gravity, assumed to be 9.8 m/s2, and is the yielding shear strength coefficient. In this study, the design-allowable horizontal displacement () was set to 0.40 m, while the value of was set to 2 following the design recommendation [2]. Then, the two parameters of the isolation layer, and , were adjusted, such that the following condition was satisfied:
The isolation layer below level 0 comprises natural rubber bearings (NRBs), elastic sliding bearings (ESBs), and steel dampers. Figure 8 shows the layout of the isolators and dampers in the isolation layer of the two retrofitted building models: Model-Tf34, shown in Figure 8a, and Model-Tf44, shown in Figure 8b. As shown in the figures, the steel dampers were placed at the perimeter frames to provide torsional resistance. The point G shown in this figure is the center of mass of the superstructure, point S0 is the center of stiffness of the isolation layer calculated according to the initial stiffness of the isolators and dampers, while point S1 is the center of stiffness of the isolation layer calculated according to the secant stiffness of the isolators and dampers considering their displacement (δ) of 0.40 m.
Figure 8.
Layout of the isolators and dampers in the isolation layer: (a) Model-Tf34 and (b) Model-Tf44.
For Model-Tf34, s and , while for Model-Tf44, s and . Note that was calculated according to the horizontal stiffness of the NRBs, while was calculated according to the yield shear strength of the ESBs and steel dampers.
As shown in Figure 8, the eccentricity at the isolation layer was non-negligible in both models. The eccentricity indices [45] of Model-Tf34, calculated according to the initial stiffnesses in the X and Y directions, were and , respectively, while those calculated according to the secant stiffnesses in the X and Y directions were and , respectively. Similarly, the eccentricity indices of Model-Tf44, calculated according to initial stiffnesses in the X and Y directions, were and , respectively, while those calculated according to the secant stiffnesses in the X and Y directions were and , respectively. In this study, the perimeter frames X1A and Y6 are referred to as the “flexible-side frames,” while the frames X6A and Y1 are referred to as the “stiff-side frames”. Note that no optimization to minimize the torsional response was made to choose the dampers in this study, because such optimization was beyond the scope of this study.
Figure 9 shows envelopes of the force–deformation relationship for the isolators and dampers. The behavior of the NRBs was assumed to be linear elastic, while that of the ESBs and dampers was assumed to be bilinear.
Figure 9.
Envelope of the force–deformation relationship for the isolators and dampers: (a) Natural rubber bearings (NRBs); (b) elastic sliding bearings (ESBs); (c) steel dampers.
All isolators were chosen from a catalog provided by the Bridgestone Corporation [55,56], considering that the ultimate horizontal deformation was larger than 150% of (1.5 × 0.40 m = 0.60 m). Meanwhile, the steel dampers were chosen from a catalog provided by Nippon Steel Corporation Engineering Co. Ltd. (Tokyo, Japan) [57]. Table 2, Table 3 and Table 4 list the properties of the isolators and dampers used in the two models.
Table 2.
Properties of the selected natural rubber bearings (NRBs).
Table 3.
Properties of the selected elastic sliding bearings (ESBs).
Table 4.
Properties of the selected steel dampers.
The yield strength of an ESB was calculated as:
In Equation (15), is the vertical load of the ESB due to gravity.
3.3. Structural Modeling
The two building models were modeled as three-dimensional spatial frames, wherein the floor diaphragms were assumed to be rigid in their own planes without an out-of-plane stiffness. Figure 10 shows the structural modeling. For the numerical analyses, a nonlinear analysis program for spatial frames developed by the authors in a previous study [58] was used. The structural models were based on Model-RuW4-100 from a previous study [44]. As shown in Figure 10b,c, all of the vertical and rotational springs in the basement of the original model were replaced by isolators, and dampers were installed in the isolation layer. The shear behavior of the isolators was modeled using the multi-shear spring model proposed by Wada and Hirose [59], while their axial behavior was modeled using a linear elastic spring, as shown in Figure 10d. The shear behavior of the steel dampers was also modeled using the multi-shear spring model, as shown in Figure 10e. No bending stiffness was considered in either the isolators or the dampers. The hysteresis rules of the ESBs and steel dampers were modeled following the normal bilinear rule for simplicity of analysis. Details of the structural modeling of the superstructure can be found in the literature [44]. The damping matrix of the superstructure was then assumed to be proportional to the tangent stiffness matrix of the superstructure, with 2% of the critical damping of the first mode. The damping of the isolators and dampers was not considered, assuming that their energy absorption effects were already included in the hysteresis rules. Note that the force–displacement relationships of all members, including those in the superstructures and in the isolation layers, were assumed to be symmetric in the positive and negative loading directions, as in previous studies [44,58].
Figure 10.
Structural modeling: (a) Overview of the structural model; (b) frame B1; (c) frame Y6; (d) modeling of the isolators (NRBs and ESBs); (e) modeling of the steel dampers.
It should be mentioned that the foundation compliance and kinematic soil–structure interaction were not considered for the simplicity of the analysis. Almansa et al. [60] investigated the performance of a rubber-isolated six-story RC building in soft soil. They concluded that the soil–structure interaction effect is rather negligible in the case of isolated buildings. Based on this, the authors thought the influence of the soil–structure interaction effect to the response of this building would not be significant.
Figure 11 and Figure 12 show the first three natural modes of Model-T34 and Model-T44 in the elastic range. Here, is the natural period of the th mode in the elastic range ( = 1–3), is the effective modal mass ratio of the th mode with respect to its principal direction in the elastic range, is the incidence of the principal direction of the th modal response in the elastic range, and is the torsional index of the th mode in the elastic range. The values of , , and were calculated according to the th elastic mode vector () as follows:
Figure 11.
Shape of the first three natural modes of Model-Tf34 in the elastic range.
Figure 12.
Shape of the first three natural modes of Model-Tf44 in the elastic range.
The behavior of the superstructure can be considered a rigid body in the first three modes in the elastic range, as observed from Figure 11 and Figure 12. In both building models, the effective modal mass ratios of the first two modes were close to 1. In addition, the first mode was predominantly translational ( < 1), the second mode was nearly purely translational ( << 1), and the third mode was predominantly torsional ( > 1). In addition, the angles between the principal directions of the first two modes were close to 90° (90.7° for Model-Tf34 and 90.8° for Model-Tf44). Therefore, both building models were classified as torsionally stiff buildings: In a previous study [43], the conditions for classification as a torsionally stiff building were and < 1, and > 1.
The natural periods of the superstructure in the elastic range, assuming that the entire basement is supported by pins, were 0.373 s (first mode), 0.342 s (second mode), and 0.192 s (third mode). Therefore, the natural period of the superstructure was well separated from the seismic isolation period in both models.
3.4. Ground Motion Data
In this study, the seismic excitation was bidirectional in the X–Y plane, and both artificial and recorded ground motions were considered.
3.4.1. Artificial Ground Motions
In this study, two series of artificial ground motion datasets (the Art-1 and Art-2 series) were generated. As noted in Section 3.2, the equivalent velocity of the total input energy () was set to 1.41 m/s to determine the properties of the isolation layer. Therefore, the artificial ground motion datasets were generated such that their bidirectional spectrum fit the predetermined target spectrum as follows.
The target bidirectional spectrum with a damping ratio of 0.10 was determined such that:
To generate each horizontal component, it was assumed that the intensity of in both orthogonal components (ξ and ζ components) was identical. The target equivalent velocities of the total input energy of the ξ and ζ components, and , respectively, were calculated as:
The phase angle is given by a uniform random value, and to consider the time-dependent amplitude of the ground motions, a Jenning-type envelope function () was assumed. In this study, two envelope functions were considered. In Art-1-00, the envelope function was set as in Equation (22), while in Art-2-00, the envelope function was set as in Equation (23).
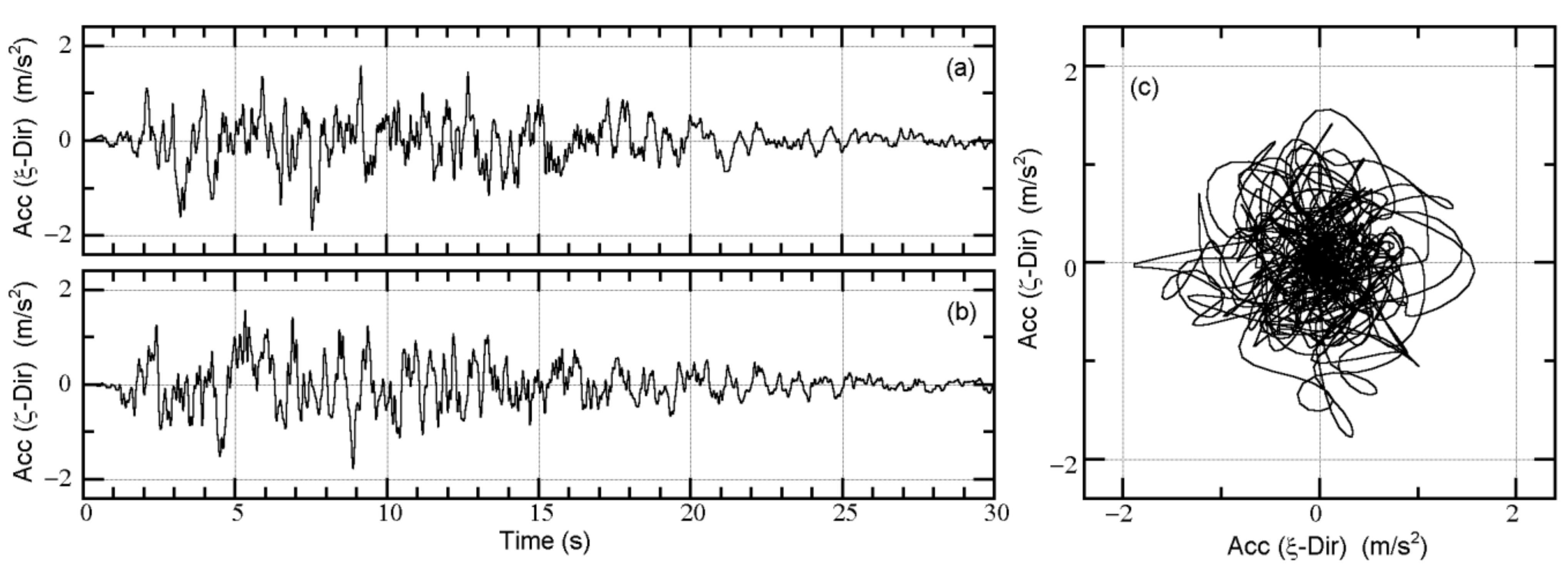
Figure 13 and Figure 14 show the time-histories of the two components and the orbits of Art-1-00 and Art-2-00, respectively. Because the same target spectrum was applied while the duration of Art-2-00 is the half that of Art-1-00, the peak ground acceleration of Art-2-00 was larger than that of Art-1-00.
Figure 13.
Two components of the generated artificial ground motion (Art-1-00): (a) ξ direction; (b) ζ direction; (c) orbit.
Figure 14.
Two components of the generated artificial ground motion (Art-2-00): (a) ξ direction; (b) ζ direction; (c) orbit.
Note that the artificial ground motions used in this study were generated independently. The correlation coefficients of Art-1-00 and Art-2-00 were close to zero, even though the envelope functions of the two components were the same; therefore, the two components can be considered independently of one another.
Next, 11 artificial ground motion datasets were generated from Art-1-00 and Art-2-00 by shifting the phasing angle. The generated artificial ground motion vector () is expressed as:
In Equation (24), and are the complex Fourier coefficients of the th harmonics of and , respectively, is the circular frequency of the th harmonic, and is the constant used to shift the phase angle of all the harmonics. As in previous studies [51,53], the constant was set from π/12 to 11π/12 with an interval of π/12. Notably, the phase difference of each ground motion component did not change when shifting the phase angle. In addition, the total input energy spectrum (the spectrum) was independent of the shifting phase angle (). This is because the shifting phase angle does not affect the absolute value of the complex Fourier coefficient, and the total input energy per unit mass can be calculated from the Fourier amplitude spectrum without the phase characteristics of the ground motion, as shown by Ordaz [61]. The generated artificial ground motion datasets are numbered from 01 to 11 depending on , with a total of 2 × 12 = 24 artificial ground motion datasets generated and used in this study.
Figure 15 and Figure 16 show the horizontal response spectra of the generated ground motion datasets. As shown in these figures, the spectral acceleration () and the spectral velocity () differed slightly because of the shift in the phase angle. A comparison of Figure 15 and Figure 16 reveals that and of the Art-2 series were larger than those of the Art-1 series, even though the target spectrum was identical.
Figure 15.
Horizontal response spectra of the artificial ground motion (Art-1 series): (a) Elastic acceleration response spectrum (damping ratio: 0.05); (b) elastic velocity response spectrum (damping ratio: 0.05); (c) elastic total input energy spectrum (damping ratio: 0.10).
Figure 16.
Horizontal response spectra of the artificial ground motion (Art-2 series): (a) Elastic acceleration response spectrum (damping ratio: 0.05); (b) elastic velocity response spectrum (damping ratio: 0.05); (c) elastic total input energy spectrum (damping ratio: 0.10).
3.4.2. Recorded Ground Motions
Table 5 lists the four datasets of recorded ground motions used in this study. Details concerning the original ground motions can be found in the Appendix A. Figure 17 shows the horizontal response spectra of the unscaled recorded ground motion datasets.
Table 5.
List of the recorded ground motion datasets used in this study.
Figure 17.
Horizontal response spectra of the recorded ground motions: (a) Elastic acceleration response spectrum (damping ratio: 0.05); (b) elastic velocity response spectrum (damping ratio: 0.05); (c) elastic total input energy spectrum (damping ratio: 0.10).
One of the motivations of this analysis was to evaluate the seismic performance of the two retrofitted models under the ground motions recorded during the 2016 Kumamoto earthquake. Therefore, the two recorded ground motion datasets (UTO0414 and UTO0416) [54] were used without scaling. A further two datasets of ground motions, TCU and YPT, were chosen as examples of long-period pulse-like ground motions, as investigated by Güneş and Ulucan [46]. These two ground motion datasets were scaled such that the equivalent velocity of the total energy input () at the isolation period () equaled 1.41 m/s, which is consistent with the intensity considered in the determination of the properties of the isolation layer, as discussed in Section 3.2.
4. Analysis Results
The analysis results are split into two subsections. In the first subsection, an example of the prediction of the peak equivalent displacement using the updated MABPA is shown. In the second subsection, comparisons are made between the nonlinear time-history analysis results and the predicted results.
4.1. Example of a Prediction of the Peak Equivalent Displacement
The structural model shown here as an example is Model-Tf44. Figure 18 shows the nonlinear properties of the equivalent SDOF model calculated according to Section 2.2.2.
Figure 18.
Nonlinear properties of the equivalent single-degree-of-freedom (SDOF) model representing the first modal response (Model-Tf44): (a) The A1U*−D1U* relationship; (b) the T1eff*−D1U* relationship; (c) the VΔEμ1U*−D1U* relationship.
In the results shown in Figure 18b,c, the – curve was constructed and overlaid with the bidirectional spectrum. Figure 19 shows the prediction of the peak equivalent displacements of the first two modes.
Figure 19.
Prediction of the peak equivalent displacements (model: Model-Tf44, ground motion: TCU): (a) Prediction of the peak of the first modal response and (b) prediction of the peak of the second modal response.
The predicted peak was obtained as the intersection point of the – curve according to the pushover analysis results and the bidirectional spectrum, as shown on the left side of Figure 19a. Then, the peak equivalent displacement was predicted from the – curve. The prediction of the peak equivalent displacement of the second mode, , can be made using the same procedure as that of , as shown in Figure 19b. Note that for the predictions of and , the same spectrum (bidirectional spectrum) was used.
4.2. Comparisons with the Nonlinear Time-History Analysis
In Section 4.2.1, the nonlinear time-history analysis results using 24 artificial ground motion datasets are compared with the predicted results. In this analysis, 24 × 4 = 96 cases were analyzed for each model: The angle of incidence of the horizontal ground motion () in Figure 3 was set to −45°, 0°, 45°, and 90° considering the symmetry of the force-deformation relationship assumed in the structural model. Because the characteristics of the two horizontal components were similar, the discussion focuses on comparisons between the envelope of the time-history analysis results and the predicted results.
In Section 4.2.2, the nonlinear time-history analysis results using the four recorded ground motion datasets are compared with the predicted results. In this analysis, 4 × 12 = 48 cases were analyzed for each model: The angle of incidence of the horizontal ground motion () was set to values from −75° to 90° with an interval of 15°.
4.2.1. Artificial Ground Motion
Figure 20 and Figure 21 show the peak relative displacement at X3AY3, which is the closest point to the center of the floor mass at each level. In these figures, the nonlinear time-history analysis results are compared with the results predicted by MABPA (for complex damping ratios () of 0.10, 0.20, and 0.30). As shown here, the predicted peaks can approximate the envelope of the time-history analysis results, except in the case of Model-Tf34 subjected to the Art-2 series shown in Figure 20b. In addition, the predicted peak with = 0.10 is larger than that with = 0.30. When the models were subjected to the Art-1 series, the predicted peak closest to the envelope of the time-history analysis results was found with = 0.10 for Model-Tf34 (Figure 20a) and with = 0.30 for Model-Tf44 (Figure 21b). Differences in the predicted peaks resulting from the value of the complex damping were small in the case of Model-Tf34 but relatively noticeable in the case of Model-Tf44.
Figure 20.
Comparison of the peak relative displacements at X3AY3 (Model-Tf34) for the (a) Art-1 and (b) Art-2 series.
Figure 21.
Comparison of the peak relative displacements at X3AY3 (Model-Tf44) for the (a) Art-1 and (b) Art-2 series.
Figure 22 and Figure 23 show comparisons of the horizontal distributions of the peak displacement at level 0, which is just above the isolation layer. In Figure 22, the results of Model-Tf34 subjected to the Art-1 series are shown. The predicted peak agrees with the envelope of the time-history analysis results, even though the predicted peak was not conservative at Y1 and Y2 (the stiff side in the X direction). A similar observation can be made in the case of Model-Tf44 subjected to the Art-1 series, as shown in Figure 23, where the predicted peak with = 0.30 agrees very well with the envelope of the time-history analysis results, except at Y1 and Y2.
Figure 22.
Comparison of the horizontal distributions of the peak displacement at level 0 (model: Model-Tf34, ground motion: Art-1 series).
Figure 23.
Comparison of the horizontal distributions of the peak displacement at level 0 (model: Model-Tf44, ground motion: Art-1 series).
Based on the above results, the updated MABPA can predict the peak relative displacement at X3AY3 and the horizontal distribution of the peak displacement at level 0 for both models according to the artificial ground motion datasets.
4.2.2. Recorded Ground Motion
Figure 24 and Figure 25 show the peak relative displacement at X3AY3. The accuracy of the predicted peak displacement is satisfactory: The predicted peak approximated the envelope of the nonlinear time-history analysis results, even though some cases were overestimated (e.g., model: Model-Tf44, ground motion: UTO0416, Figure 25b). The variation of the predicted peak due to the assumed complex damping ratio () depends on the ground motion. In some cases, the largest peak was obtained when was 0.30 (e.g., model: Model-Tf34, ground motion: UTO0416, Figure 24b), while in other cases, the largest peak was obtained when was 0.10 (e.g., model: Model-Tf34, ground motion: TCU, Figure 24c).
Figure 24.
Comparison of the peak relative displacements at X3AY3 (Model-Tf34): (a) UTO0414; (b) UTO0416; (c) TCU; (d) YPT.
Figure 25.
Comparison of the peak relative displacements at X3AY3 (Model-Tf44): (a) UTO0414; (b) UTO0416; (c) TCU; (d) YPT.
Figure 26 shows comparisons of the horizontal distribution of the peak displacement at level 0. In this figure, the Model-Tf34 results are shown, with the results for UTO0414 shown in Figure 26a and those for TCU shown in Figure 26b.
Figure 26.
Comparison of the horizontal distributions of the peak displacement at level 0 (model: Model-Tf34) for (a) UTO0414 and (b) TCU.
The predicted horizontal distribution of the peak displacement in the Y direction was notably different from the envelope of the time-history analysis in the case of UTO0414, as shown in Figure 26a. In the predicted distribution, the largest displacement occurred at X1A (the flexible side in the Y direction); meanwhile, in the envelope of the time-history analysis results, the displacement at X1A was the smallest. Conversely, the predicted horizontal distribution of the peak displacement in the Y direction fits the envelope of the time-history analysis in the case of TCU very well, as shown in Figure 26b. In the predicted distribution, the largest displacement occurred at X1A, which is consistent with the envelope of the time-history analysis results. The modal displacement responses at X1A and X6A (the stiff side in the Y direction) are compared and discussed further in Section 5.5.
One of the motivations of this analysis was to evaluate the seismic performance of the retrofitted building models under the recorded motions from the 2016 Kumamoto earthquake. It has already been reported in a previous study [44] that the seismic capacity evaluation of the main building of the former Uto City Hall indicate that the structure was insufficient to withstand the earthquake that occurred on 14 April 2016. Therefore, the drift of the superstructure was examined as follows.
Figure 27 shows comparisons of the peak drift for the three columns in Model-Tf34 in cases with UTO0414 and UTO0416. The peak drifts for the three columns obtained from the nonlinear time-history analysis results were smaller than 0.4%. The largest peak drift occurred for column A3B3 on the second story, with a value of 0.12% in the case of UTO0414 (Figure 27a) and a value of 0.30% in the case of UTO0416 (Figure 27b). Therefore, the seismic performance of Model-Tf34 was excellent for the motions recorded during the 2016 Kumamoto earthquake. Figure 28 shows comparisons of the peak drift of Model-Tf44. Similar observations can be made for Model-Tf44. Comparisons of Figure 27 and Figure 28 indicate that the peak drift of Model-Tf44 was smaller than that of Model-Tf34. These figures also illustrate that the accuracy of the predicted peak depends on the column, with the accuracy in column A1B1 being satisfactory and that in column A3B3 being less satisfactory.
Figure 27.
Comparison of the peak drift for the columns (Model-Tf34) with (a) UTO0414 and (b) UTO0416.
Figure 28.
Comparison of the peak drift for the columns (Model-Tf44) with (a) UTO0414 and (b) UTO0416.
Figure 29 and Figure 30 show the peak displacements at two isolators (X1AY6 and X6AY1) for various angles of incidence of seismic input (). In these figures, the displacement of each isolator was calculated as the absolute (vector) value of the two horizontal directions, and the predicted peaks are shown by the colored lines. As shown in these figures, the upper bounds of the peak displacement of the isolators can be satisfactorily evaluated using the updated MABPA presented in this study.
Figure 29.
Peak displacement at isolators for various angles of incidence of seismic input (Model-Tf34): (a) UTO0414; (b) UTO0416; (c) TCU; (d) YPT.
Figure 30.
Peak displacement at isolators for various angles of incidence of seismic input (Model-Tf44): (a) UTO0414; (b) UTO0416; (c) TCU; (d) YPT.
These figures also indicate that the variation in the peak displacement of the isolators due to the angle of incidence of the seismic input is noticeable, e.g., in the cases of TCU and YPT, for both models. This point is discussed in Section 5.
5. Discussion
Here, there are four points of focus: (i) The relationship between the maximum momentary input energy and the peak equivalent displacement of the first modal response and its predictability from the pushover analysis results, (ii) the predictability of the maximum momentary input energy of the first modal response from the bidirectional spectrum, (iii) the accuracy of the predicted peak equivalent displacements of the first and second modal responses, and (iv) the contribution of the higher mode to the displacement response at the edge of level 0.
5.1. Calculation of the Modal Responses
Figure 31 shows the calculation flow for the first and second modal responses from the nonlinear time-history analysis results. This procedure is based on the procedure originally proposed by Kuramoto [62] for analyzing the nonlinear modal response of a non-isolated planer frame structure extended to analyze that of three-dimensional base-isolated structures.
Figure 31.
Calculation flow for the first and second modal responses.
Next, the momentary input energy of the first modal response per unit mass was calculated as follows. From the time-history of the equivalent displacement of the first modal response (), the momentary input energy of the first modal response per unit mass was calculated as:
In Equation (25), is the derivative of with respect to , is the ground acceleration component of the U-axis (the principal axis of the first modal response corresponds to ), and is the duration of a half cycle of the first modal response. The maximum momentary input energy of the first modal response per unit mass () is the maximum value of calculated by Equation (25) over the course of the seismic event. Figure 32 shows the definition of the maximum momentary input energy of the first modal response per unit mass. As shown in this figure, the half cycle when the maximum equivalent displacement () occurs corresponds to the half cycle when the maximum momentary energy input occurs.
Figure 32.
Definition of the maximum momentary input energy of the first modal response per unit mass (structural model: Model-Tf44, ground motion: TCU, angle of incidence of seismic input: ψ = −30°): (a) Hysteresis of the first modal response and (b) time-history of the momentary energy input.
The equivalent velocity of the maximum momentary input energy of the first modal response () and the response period of the first modal response () were calculated such that:
5.2. Relationship between the Peak Equivalent Displacement and the Maximum Momentary Input Energy of the First Modal Response
Figure 33 and Figure 34 show comparisons between the – curve and the – relationship obtained from the nonlinear time-history analysis, with the results of Models Tf34 and Tf44 shown in Figure 33 and Figure 34, respectively. These figures confirm that the – curve fits the plots obtained from the time-history analysis results very well. This is because the contribution of the first modal response to the whole response may be large: The effective modal mass ratio of the first mode with respect to the U-axis is large (more than 0.7) in both Models Tf34 and Tf44.
Figure 33.
Comparison between the VΔEμ1U*–D1U* curve and the VΔE1U*–D1U*max relationship obtained from the time-history analysis (Model-Tf34): (a) Art-1 series; (b) Art-2 series; (c) UTO0414; (d) UTO0416; (e) TCU; (f) YPT.
Figure 34.
Comparison between the VΔEμ1U*–D1U* curve and the VΔE1U*–D1U*max relationship obtained from the time-history analysis (Model-Tf44): (a) Art-1 series; (b) Art-2 series; (c) UTO0414; (d) UTO0416; (e) TCU; (f) YPT.
Therefore, the accuracy of the predicted relies on the accuracy of the predicted , which is discussed in the next subsection.
5.3. Comparison of the Maximum Momentary Input Energy and the Bidirectional Momentary Input Energy Spectrum
Figure 35 shows the prediction of from the bidirectional spectrum for Model-Tf34. The plots shown in this figure indicate the nonlinear time-history analysis results.
Figure 35.
Prediction of VΔE1U* from the bidirectional VΔE spectrum and its accuracy (Model-Tf34): (a) Art-1 series; (b) Art-2 series; (c) UTO0414; (d) UTO0416; (e) TCU; (f) YPT.
In most cases, the bidirectional spectrum with complex damping = 0.10 approximated the upper bound of the plot of the time-history analysis results, as shown in Figure 35a,b,e,f. However, in the other cases shown in Figure 35c,d, the plots of the time-history analysis results were below those of the bidirectional spectrum.
From the comparisons between the predicted and that obtained from the time-history analysis results, the predicted provided a conservative estimation, except in the case of the Art-2 series shown in Figure 35b. This is because the predicted response points correspond to the “valley” of the bidirectional spectrum, therefore making the predicted smaller.
Figure 36 shows the prediction of from the bidirectional spectrum for Model-Tf44. Similar observations to those made for Model-Tf34 can be made for Model-Tf44.
Figure 36.
Prediction of VΔE1U* from the bidirectional VΔE spectrum and its accuracy (Model-Tf44): (a) Art-1 series; (b) Art-2 series; (c) UTO0414; (d) UTO0416; (e) TCU; (f) YPT.
Based on the above results, it can be concluded that that bidirectional spectrum can approximate the upper bound of the equivalent velocity of the maximum momentary input energy of the first mode . As shown in Equation (25), was calculated from the ground acceleration component of U-axis, while the contribution of V-axis was none. Therefore, it is easily expected that the upper bound of the maximum momentary input energy of the first mode can be approximated by the bidirectional maximum momentary input energy. Comparisons between the unidirectional and bidirectional spectra can be found in Appendix B. Therefore, the upper bound of can be properly predicted using the bidirectional spectrum.
5.4. Accuracy of the Predicted Peak Equivalent Displacements of the First and Second Modal Responses
Figure 37 shows the accuracy of the predicted peak equivalent displacement of the first and second modal responses, and , respectively, for Model-Tf34. The predicted peak in the case of complex damping = 0.10 approximated the upper bound of the time-history analysis results, except when the ground motion dataset was the Art-2 series (Figure 37b) or YPT (Figure 37f).
Figure 37.
Accuracy of the predicted peak equivalent displacements of the first two modes (Model-Tf34): (a) Art-1 series; (b) Art-2 series; (c) UTO0414; (d) UTO0416; (e) TCU; (f) YPT.
Figure 38 shows the accuracy of the predicted and for Model-Tf44. The predicted peak in the case of = 0.10 approximated the upper bound of the time-history analysis results in all cases.
Figure 38.
Accuracy of the predicted peak equivalent displacements of the first two modes (Model-Tf44): (a) Art-1 series; (b) Art-2 series; (c) UTO0414; (d) UTO0416; (e) TCU; (f) YPT.
It is also observed from Figure 37c–f and Figure 38c–f that the largest and did not occur simultaneously. To understand this phenomena, Figure 39 and Figure 40 show and for varying angles of incidence of the seismic input () for both models. As shown here, the angle where the largest occurred was different from the angle where the largest occurs, with the difference between the two angles being approximately 90°. This was clearly observed in the cases of TCU and YPT for both models.
Figure 39.
Peak equivalent displacements of the first two modes for various directions of seismic input (Model-Tf34): (a) UTO0414; (b) UTO0416; (c) TCU; (d) YPT.
Figure 40.
Peak equivalent displacements of the first two modes for various directions of seismic input (Model-Tf44): (a) UTO0414; (b) UTO0416; (c) TCU; (d) YPT.
Based on the above discussion, the upper bound of the peak equivalent displacements of the first and second modal responses, and , can be predicted by the updated MABPA.
The variation in and due to the angles of incidence of the seismic input may explain the variation in the peak displacement of the isolatiors shown in Figure 29 and Figure 30. As the example, the response of Model-Tf44 subjected to YPT ground motion was focused on. From Figure 40c, the angle () at which the largest occurred was −30°. While the peak displacement at isolator X1AY6 shown in Figure 30c, the peak displacement at the angle () of −30° was close to the largest peak value. On the contrary, the peak displacement at isolator X6AY1 at the angle () of −30° was close to the smallest peak value.
5.5. Contribution of the Higher Mode to the Displacement Response at the Edge of Level 0
As discussed in Section 4.2.2, the accuracy of the predicted horizontal distribution of the peak response at level 0 depends on the ground motion dataset. According to Model-Tf34, the predicted largest peak displacement in the Y direction occurred at X1A (the flexible side in the Y direction), while the envelope of the nonlinear time-history analysis results indicates that the largest peak occurred at X6A (the stiff side in the Y direction), the opposite side to X1A in the case of UTO0414, as shown in Figure 26a. Conversely, in the case of TCU shown in Figure 26b, the envelope of the time-history analysis results indicates that the largest peak occurred at X1A, which is consistent with the predicted results. In this subsection, the modal response at level 0 is calculated and discussed.
From the time-history of the displacement at the center of mass of level 0, the horizontal displacement in the Y direction at point on level 0 can be calculated as:
In Equation (28), is the location of point in the X direction from the center of mass of level 0. Therefore, the modal response of the horizontal displacement at point can be calculated as:
Figure 41 shows comparisons of the modal responses at the edge of level 0. The structural model shown in this figure is Model-Tf34, the input ground motion dataset is UTO0414, and the angle of incidence of the seismic input () is −75°, the angle at which the largest peak response at X1A occurs. Note that “All modes” is the response originally obtained from the time-history analysis results (), “First mode” and “Second mode” are the first and second modal responses ( and , respectively), and “Higher mode” is the higher (residual) modal response calculated from Equation (31) ().
Figure 41.
Comparisons of the modal responses at the edge of level 0 (structural model: Model-Tf34, ground motion: UTO0414, angle of incidence of seismic input: ψ = −75°): (a) X1A and (b) X6A.
In the response of X1A, shown in Figure 41a, the contribution of the higher modal response was non-negligible, even though the contribution of the first modal response was predominant. In addition, the sign of the higher modal response at the time the peak response occurred at X1A was opposite to that of the “All mode” response, with the contribution of the higher mode reducing the peak response at X1A.
In the response of X6A, shown in Figure 41b, the contribution of the first modal response was negligibly small and those of the second and higher modal responses were noticeable. In addition, the sign of the higher modal response at the time the peak response occurred at X6A was the same as that of the “All mode” response, with the contribution of the higher mode increasing the peak response at X6A.
This indicates that the reason why the largest peak response in the envelope of the time-history analysis results occurred at X6A (not at X1A) in the case of UTO0414 can be explained by the contributions of the higher modal response. In the case of UTO0414, the contribution of the higher modal response was non-negligibly large.
Another comparison is made in Figure 42 for the structural model Model-Tf34, the input ground motion dataset TCU, and an angle of incidence of the seismic input () of 60°, where the angle of the largest peak response at X1A occurs. In the response of X1A, shown in Figure 42a, the contribution of the first modal response was predominant, while that of the higher modal response was small. Meanwhile, in the response of X6A, shown in Figure 42b, the contribution of the first modal response was negligibly small and those of the second and higher modal responses were noticeable.
Figure 42.
Comparisons of the modal responses at the edge of level 0 (structural model: Model-Tf34, ground motion: TCU, angle of incidence of seismic input: ψ = 60°): (a) X1A and (b) X6A.
Therefore, the accuracy of the predicted horizontal distribution of the peak response at level 0 relies on the contribution of the higher modal response. The envelope of the time-history analysis results was notably different from the predicted results in the case of UTO0414, because the contribution of the higher modal response was significant. Meanwhile, the predicted results were close to the envelope of the time-history analysis results in the case of TCU because the contribution of the higher modal response was small. To confirm this, Table 6 lists the equivalent velocities of the maximum momentary input energy predicted from the bidirectional spectrum (complex damping ratio () of 0.10) for the two cases. In this table, the values of the first and second modal responses are those predicted using MABPA, while the value of the third mode was predicted assuming that the effective period () equals the natural period in the elastic range (). This table confirms that the contribution of the third mode may be noticeable in the case of UTO0414, while it may be small in the case of TCU.
Table 6.
Equivalent velocities of the maximum momentary input energy predicted from the bidirectional VΔE spectrum (β = 0.100).
5.6. Summary of the Discussions
In this section, the discussions are focused on the four points that are important to discuss the accuracy of MABPA. The summary of the discussions are as follows.
The relationship between the maximum momentary input energy and the peak equivalent displacement of the first modal response was discussed in Section 5.2. The results confirmed that the – curve obtained from pushover analysis results fit the plots obtained from the time-history analysis results very well. This is because the contribution of the first modal response to the whole response may be large in both Models Tf34 and Tf44.
Then, the predictability of the maximum momentary input energy of the first modal response was discussed in Section 5.3. The results confirmed that bidirectional spectrum can approximate the upper bound of the equivalent velocity of the maximum momentary input energy of the first mode . This is because that the maximum momentary input energy of the first mode was calculated from the unidirectional input in U-axis, while the effect of simultaneous bidirectional input was included in the calculation of bidirectional spectrum automatically.
Since (a) the – curve can be properly predicted from the pushover analysis results, and (b) the upper bound of the equivalent velocity of the maximum momentary input energy can be predicted via the bidirectional spectrum, the largest peak equivalent displacement should be predicted accurately. The accuracy of the predicted equivalent displacements of the first and second modal responses was discussed in Section 5.4. The results confirmed that the upper bound of the peak equivalent displacement of the first and second modal responses can be predicted accurately.
Although the upper bound of the peak equivalent displacement of the first and second modal responses can be predicted accurately, the accuracy of the predicted horizontal distributions of the peak displacement at level 0 depends on the ground motion dataset. Section 5.5 discussed the contribution of the higher mode to the displacement response at the edge of level 0. The results showed that higher modal responses may not be negligible for the prediction of the peak displacement at the edge of level 0. In the MABPA prediction, only the contributions of the first and second modal responses were considered. Therefore, a discrepancy of the predicted results from the time-history analysis may occur because of the lack of a contribution from the higher modal responses.
6. Conclusions
In this study, the main building of the former Uto City Hall was investigated as a case study of the retrofitting of an irregular reinforced concrete building using the base-isolation technique. The nonlinear peak responses of two retrofitted building models subjected to horizontal bidirectional ground motions were predicted by MABPA, and the accuracy of the method was evaluated. The main conclusions and results are as follows:
- The predicted peak response according to the updated MABPA agreed satisfactorily with the envelope of the time-history analysis results. The peak relative displacement at X3AY3 at each floor can be satisfactorily predicted. The predicted distribution of the peak displacement at level 0 (just above the isolation layer) approximated the envelope of the nonlinear time-history analysis results, even though in some cases, the predicted distributions differed from the envelope of the nonlinear time-history analysis. A discrepancy between the predicted results and nonlinear time-history analysis may occur because of the lack of a contribution from the higher modal responses.
- The relationship between the equivalent velocity of the maximum momentary input energy of the first modal response () and the peak equivalent displacement of the first modal response () can be properly evaluated from the pushover analysis results. The plots obtained from the nonlinear time-history analysis results fit the evaluated curve from the pushover analysis results well.
- The upper bound of the peak equivalent displacements of the first two modal responses can be predicted using the bidirectional spectrum [52]. Comparisons between the predicted peak equivalent displacements and those calculated from the nonlinear time-history analysis results showed that the predicted peak approximated the upper bound of the nonlinear time-history analysis results. The upper bound of can be approximated by the bidirectional spectrum.
Based on the above findings, the updated MABPA appears to predict the peak responses of irregular base-isolated buildings with accuracy. However, MABPA still has two shortcomings. The first shortcoming is the limitation of the applicability of MABPA. As discussed in a previous study [43], the application of MABPA is limited to buildings classified as torsionally stiff buildings. The current (updated) MABPA has the same restriction. This limitation can be avoided if the torsional resistance of the isolation layer is sufficiently provided, as shown in this study. The second shortcoming involves the contributions of the higher modal responses. In the original MABPA for non-isolated buildings, only the first two modes were considered for the prediction. Therefore, the prediction was less accurate for cases when the response in the stiff-side perimeter was larger than that in the flexible-side perimeter. The contributions of the third and higher modal responses need to be investigated.
Another aspect of this study to be emphasized is the application of the bidirectional spectrum for the prediction of the peak response of a base-isolated building. The results shown in this study imply that the bidirectional spectrum [52] is a promising candidate for a seismic intensity parameter for the peak response. As discussed in a previous study [53], one of the biggest advantages of the bidirectional momentary input energy is that it can be directly calculated from the Fourier amplitude and phase angle of the ground motion components using a time-varying function of the momentary energy input, without knowing the time-history of the ground motion. This means that researchers can eliminate otherwise unavoidable fluctuations from the nonlinear time-history analysis results. Therefore, the pushover analysis and the bidirectional spectrum are an optimal combination to understand the fundamental characteristics of both base-isolated and non-isolated asymmetric buildings.
The optimal distribution of the hysteresis dampers according to the design of the isolation layer needed to minimize the torsional response was not discussed in this study. However, the updated MABPA presented here can help in the optimization of the damper distribution. The next update of MABPA for base-isolated irregular buildings with other kinds of dampers (e.g., linear and nonlinear oil dampers, viscous mass dampers, and other kings of “smart passive dampers” [19]) is also an important issue that will be investigated in subsequent studies.
Author Contributions
Conceptualization, K.F. and T.M.; data curation, K.F. and T.M.; formal analysis, K.F. and T.M.; funding acquisition, K.F.; investigation, K.F. and T.M.; methodology, K.F.; project administration, K.F.; resources, K.F. and T.M.; software, K.F.; supervision, K.F.; validation, K.F.; visualization, K.F.; writing—original draft, K.F.; writing—review and editing, K.F. All authors have read and agreed to the published version of the manuscript.
Funding
This research received no external funding.
Institutional Review Board Statement
Not applicable.
Informed Consent Statement
Not applicable.
Data Availability Statement
The data presented in this study are available on request from the corresponding author. The data are not publicly available because they are not part of ongoing research.
Acknowledgments
The ground motions used in this study were obtained from the website of the National Research Institute for Earth Science and Disaster Resilience (NIED) (http://www.kyoshin.bosai.go.jp/kyoshin/, last accessed on 14 December 2019) and the Pacific Earthquake Engineering Research Center (PEER) (https://ngawest2.berkeley.edu/, last accessed on 14 December 2019). The contributions during the beginning stage of this study made by Ami Obikata, a former undergraduate student at the Chiba Institute of Technology, are greatly appreciated.
Conflicts of Interest
The authors declare no conflict of interest.
Appendix A. Time-Histories of the Recorded Ground Motions Used in This Study
Table A1 shows the date of event, magnitude (Meteorological Agency Magnitude , or moment magnitude ), location of the epicenter, distance, and station name of each record. Figure A1, Figure A2, Figure A3 and Figure A4 show the time-histories and orbits of the original ground motion records.
Table A1.
Event date, magnitude, location of the epicenter, distance, and station name of each record.
Table A1.
Event date, magnitude, location of the epicenter, distance, and station name of each record.
| ID | Event Date | Magnitude | Distance | Station Name | Direction of Components | |
|---|---|---|---|---|---|---|
| ξ-Dir | ζ-Dir | |||||
| UTO0414 | 14 April 2016 | = 6.5 | 15 km | K-Net UTO (KMM008) | EW | NS |
| UTO0416 | 16 April 2016 | = 7.3 | 12 km | K-Net UTO (KMM008) | EW | NS |
| TCU | 20 September 1999 | = 7.6 | 0.89 km * | TCU075 | Major ** | Minor ** |
| YPT | 17 August 1999 | = 7.5 | 4.83 km * | Yarimca | Major ** | Minor ** |
* This distance is the closest distance from the rupture plane defined in the Pacific Earthquake Engineering Research Center (PEER) database, while those from the Japanese database are the epicentral distances. ** Horizontal major and minor axes were determined following the works of Arias [63] and Penzien and Watabe [64].
Figure A1.
Two components of the recorded ground motion (UTO0414): (a) ξ direction; (b) ζ direction; (c) orbit.
Figure A1.
Two components of the recorded ground motion (UTO0414): (a) ξ direction; (b) ζ direction; (c) orbit.

Figure A2.
Two components of the recorded ground motion (UTO0416): (a) ξ direction; (b) ζ direction; (c) orbit.
Figure A2.
Two components of the recorded ground motion (UTO0416): (a) ξ direction; (b) ζ direction; (c) orbit.

Figure A3.
Two components of the recorded ground motion (TCU): (a) ξ direction; (b) ζ direction; (c) orbit.
Figure A3.
Two components of the recorded ground motion (TCU): (a) ξ direction; (b) ζ direction; (c) orbit.

Figure A4.
Two components of the recorded ground motion (YPT): (a) ξ direction; (b) ζ direction; (c) orbit.
Figure A4.
Two components of the recorded ground motion (YPT): (a) ξ direction; (b) ζ direction; (c) orbit.

Appendix B. Comparisons of the Unidirectional and Bidirectional VΔE Spectra
Figure A5 shows the comparisons of the unidirectional and bidirectional spectra for Art-1 and Art-2 series. In this figure, the unidirectional spectrum was calculated as the maximum obtained from the linear time-history analysis using all possible rotations between 0° and 360° degrees with intervals of 5°. Viscous damping (damping ratio 0.10) was considered, while the bidirectional spectrum was calculated using the time-varying function described in Section 2.2.1. Two damping models, complex and viscous damping (damping ratio 0.10), were considered. Note again that the bidirectional spectrum calculated from time-varying function is independent of phase-shift. As shown in this figure, the bidirectional spectrum approximates the maximum of the unidirectional spectrum.
Figure A6 shows comparisons of the unidirectional and bidirectional spectra for recorded ground motion datasets. In this figure, the maximum, minimum, and medium of the set of geometrical means obtained using all possible rotations between 0° and 90° (GMRotD50) defined by Boore et al. [65] of unidirectional spectra are shown. As shown in this figure, the bidirectional spectrum approximates the maximum of the unidirectional spectrum.
Figure A5.
Comparisons of the unidirectional and bidirectional VΔE spectra for artificial ground motion datasets: (a) Art-1 series and (b) Art-2 series.
Figure A5.
Comparisons of the unidirectional and bidirectional VΔE spectra for artificial ground motion datasets: (a) Art-1 series and (b) Art-2 series.

Figure A6.
Comparisons of the unidirectional and bidirectional VΔE spectra for recorded ground motion datasets: (a) UTO0414; (b) UTO0416; (c) TCU; (d) YPT.
Figure A6.
Comparisons of the unidirectional and bidirectional VΔE spectra for recorded ground motion datasets: (a) UTO0414; (b) UTO0416; (c) TCU; (d) YPT.

References
- Charleson, A.; Guisasola, A. Seismic Isolation for Architects; Routledge: London, UK; New York, NY, USA, 2017. [Google Scholar]
- Architectural Institute of JAPAN (AIJ). Design Recommendations for Seismically Isolated Buildings; Architectural Institute of Japan: Tokyo, Japan, 2016. [Google Scholar]
- ASCE. Seismic Evaluation and Retrofit of Existing Buildings; ASCE Standard, ASCE/SEI41-17; American Society of Civil Engineering: Reston, VA, USA, 2017. [Google Scholar]
- Seki, M.; Miyazaki, M.; Tsuneki, Y.; Kataoka, K. A Masonry school building retrofitted by base isolation technology. In Proceedings of the 12th World Conference on Earthquake Engineering, Auckland, New Zealand, 30 January–4 February 2000. [Google Scholar]
- Kashima, T.; Koyama, S.; Iiba, M.; Okawa, I. Dynamic behaviour of a museum building retrofitted using base isolation system. In Proceedings of the 14th World Conference on Earthquake Engineering, Beijing, China, 12–17 October 2008. [Google Scholar]
- Clemente, P.; De Stefano, A. Application of seismic isolation in the retrofit of historical buildings. Earthquake Resistant Engineering Structures VIII; WIT Press: Southampton, UK, 2011; Volume 120, pp. 41–52. [Google Scholar]
- Gilani, A.S.; Miyamoto, H.K. Base isolation retrofit challenges in a historical monumental building in Romania. In Proceedings of the 15th World Conference on Earthquake Engineering, Lisbon, Portugal, 24–28 September 2012. [Google Scholar]
- Nakamura, H.; Ninomiya, T.; Sakaguchi, T.; Nakano, Y.; Konagai, K.; Hisada, Y.; Seki, M.; Ota, T.; Yamazaki, Y.; Mochizuki, S.; et al. Seismic isolation retrofit of Susano City Hall situated above lava tubes. In Proceedings of the 15th World Conference on Earthquake Engineering, Lisbon, Portugal, 24–28 September 2012. [Google Scholar]
- Sorace, S.; Terenzi, G. A viable base isolation strategy for the advanced seismic retrofit of an r/c building. Contemp. Eng. Sci. 2014, 7, 817–834. [Google Scholar] [CrossRef]
- Ferraioli, M.; Mandara, A. Base isolation for seismic retrofitting of a multiple building structure: Evaluation of equivalent linearization method. Math. Probl. Eng. 2016, 2016, 8934196. [Google Scholar] [CrossRef]
- Terenzi, G.; Fuso, E.; Sorace, S.; Costoli, I. Enhanced seismic retrofit of a reinforced concrete building of architectural interest. Buildings 2020, 10, 211. [Google Scholar] [CrossRef]
- Vailati, M.; Monti, G.; Bianco, V. Integrated solution-base isolation and repositioning-for the seismic rehabilitation of a preserved strategic building. Buildings 2021, 11, 164. [Google Scholar] [CrossRef]
- Usta, P. Investigation of a base-isolator system’s effects on the seismic behavior of a historical structure. Buildings 2021, 11, 217. [Google Scholar] [CrossRef]
- Nishizawa, T.; Suekuni, R. Outline of structural design for Kyoto City Hall. In Proceedings of the 17th World Conference on Earthquake Engineering, Sendai, Japan, 20 September–2 November 2021. [Google Scholar]
- Hashimoto, T.; Fujita, K.; Tsuji, M.; Takewaki, I. Innovative base-isolated building with large mass-ratio TMD at basement for greater earthquake resilience. Future Cities Environ. 2015, 1, 9. [Google Scholar] [CrossRef]
- Ikenaga, M.; Ikago, K.; Inoue, N. Development of a displacement-dependent damper for base isolated structures. In Proceedings of the Tenth International Conference on Computational Structures Technology, Valencia, Spain, 14–17 September 2010. [Google Scholar]
- Ikenaga, M.; Ikago, K.; Inoue, N. Seismic displacement control design of base isolated structures by magneto-rheological dampers based on a pseudo-complex-damping rule. In Proceedings of the Thirteenth International Conference on Computational Structures Technology, Crete, Greece, 6–9 September 2011. [Google Scholar]
- Nakaminami, S.; Ikago, K.; Inoue, N.; Kida, H. Response characteristics of a base-isolated structure incorporated with a force-restricted viscous mass damper. In Proceedings of the 15th World Conference on Earthquake Engineering, Lisbon, Portugal, 24–28 September 2012. [Google Scholar]
- Inoue, N.; Ikago, K. Displacement control design concept for long-period structures. In Proceedings of the 16th World Conference on Earthquake Engineering, Santiago, Chile, 9–13 January 2017. [Google Scholar]
- Anajafi, H.; Medina, R.A. Comparison of the seismic performance of a partial mass isolation technique with conventional TMD and base-isolation systems under broad-band and narrow-band excitations. Eng. Struct. 2018, 158, 110–123. [Google Scholar] [CrossRef]
- Luo, H.; Ikago, K.; Chong, C.; Keivan, A.; Phillips, B.M. Performance of low-frequency structures incorporated with rate-independent linear damping. Eng. Struct. 2019, 181, 324–335. [Google Scholar] [CrossRef]
- Tariq, M.A.; Usman, M.; Farooq, S.H.; Ullah, I.; Hanif, A. Investigation of the structural response of the MRE-based MDOF isolated structure under historic near- and far-fault earthquake loadings. Appl. Sci. 2021, 11, 2876. [Google Scholar] [CrossRef]
- Nagarajaiah, S.; Reinhorn, A.M.; Constantinou, M.C. Torsion in base-isolated structures with elastomeric isolation systems. J. Struct. Eng. ASCE 1992, 119, 2932–2951. [Google Scholar] [CrossRef]
- Tena-Colunga, A.; Gόmez-Soberόn, L. Torsional response of base-isolated structures due to asymmetries in the superstructure. Eng. Struct. 2002, 24, 1587–1599. [Google Scholar] [CrossRef]
- Tena-Colunga, A.; Zambrana-Rojas, C. Dynamic torsional amplifications of base-isolated structures with an eccentric isolation system. Eng. Struct. 2006, 28, 72–83. [Google Scholar] [CrossRef]
- Tena-Colunga, A.; Escamilla-Cruz, J.L. Torsional amplifications in asymmetric base-isolated structures. Eng. Struct. 2008, 29, 237–247. [Google Scholar] [CrossRef]
- Seguín, C.E.; De La Llera, J.C.; Almazán, J.L. Base–structure interaction of linearly isolated structures with lateral–torsional coupling. Eng. Struct. 2008, 30, 110–125. [Google Scholar] [CrossRef]
- Di Sarno, L.; Chioccarelli, E.; Cosenza, E. Seismic response analysis of an irregular base isolated building. Bull. Earthq. Eng. 2011, 9, 1673–1702. [Google Scholar] [CrossRef]
- Mazza, F.; Mazza, M. Nonlinear seismic analysis of irregular r.c. framed buildings base-isolated with friction pendulum system under near-fault excitations. Soil Dyn. Earthq. Eng. 2016, 90, 299–312. [Google Scholar] [CrossRef]
- Cancellara, D.; De Angelis, F. Assessment and dynamic nonlinear analysis of different base isolation systems for a multi-storey RC building irregular in plan. Comput. Struct. 2017, 180, 74–88. [Google Scholar] [CrossRef]
- Mazza, F. Seismic demand of base-isolated irregular structures subjected to pulse-type earthquakes. Soil Dyn. Earthq. Eng. 2018, 108, 111–129. [Google Scholar] [CrossRef]
- Volcev, R.; Postolov, N.; Todorov, K.; Lazarov, L. Base isolation as an effective tool for plan irregularity reduction. In Seismic Behaviour and Design of Irregular and Complex Civil Structures III; Köber, D., De Stefano, M., Zembaty, Z., Eds.; Springer Nature Switzerland: Cham, Switzerland, 2020; pp. 377–389. [Google Scholar]
- Köber, D.; Semrau, P.; Weber, F. Design approach for an irregular hospital building in Bucharest. In Proceedings of the 9th European Workshop on the Seismic Behaviour of Irregular and Complex Structures, Online, 15–16 December 2020. [Google Scholar]
- Reyes, J.C. Seismic behaviour of torsionally-weak buildings with and without base isolators. In Proceedings of the 9th European Workshop on the Seismic Behaviour of Irregular and Complex Structures, Online, 15–16 December 2020. [Google Scholar]
- Koren, D.; Kilar, V. Seismic behaviour of asymmetric base isolated structures with various distributions of isolators. Eng. Struct. 2009, 31, 910–921. [Google Scholar]
- Koren, D.; Kilar, V. The applicability of the N2 method to the estimation of torsional effects in asymmetric base-isolated buildings. Earthq. Eng. Struct. Dyn. 2011, 40, 867–886. [Google Scholar] [CrossRef]
- Peruś, I.; Fajfar, P. On the inelastic torsional response of single-storey structures under bi-axial excitation. Earthq. Eng. Struct. Dyn. 2005, 34, 931–941. [Google Scholar] [CrossRef]
- Fajfar, P.; Marušić, D.; Peruś, I. Torsional effects in the pushover-based seismic analysis of buildings. J. Earthq. Eng. 2005, 9, 831–854. [Google Scholar] [CrossRef]
- Fujii, K. Nonlinear static procedure for multi-story asymmetric frame buildings considering bi-directional excitation. J. Earthq. Eng. 2011, 15, 245–273. [Google Scholar] [CrossRef]
- Fujii, K. Prediction of the largest peak nonlinear seismic response of asymmetric buildings under bi-directional excitation using pushover analyses. Bull. Earthq. Eng. 2014, 12, 909–938. [Google Scholar] [CrossRef]
- Fujii, K. Application of the pushover-based procedure to predict the largest peak response of asymmetric buildings with buckling-restrained braces. In Proceedings of the 5th ECCOMAS Thematic Conference on Computational Methods in Structural Dynamics and Earthquake Engineering (COMPDYN), Crete Island, Greece, 25–27 May 2015. [Google Scholar]
- Fujii, K. Assessment of pushover-based method to a building with bidirectional setback. Earthq. Struct. 2016, 11, 421–443. [Google Scholar] [CrossRef]
- Fujii, K. Prediction of the peak seismic response of asymmetric buildings under bidirectional horizontal ground motion using equivalent SDOF model. Jpn. Archit. Rev. 2018, 1, 29–43. [Google Scholar] [CrossRef] [Green Version]
- Fujii, K. Pushover-based seismic capacity evaluation of Uto City Hall damaged by the 2016 Kumamoto Earthquake. Buildings 2019, 9, 140. [Google Scholar] [CrossRef] [Green Version]
- Building Center of Japan (BCJ). The Building Standard Law of Japan on CD-ROM; The Building Center of Japan: Tokyo, Japan, 2016. [Google Scholar]
- Güneş, N.; Ulucan, Z.Ç. Nonlinear dynamic response of a tall building to near-fault pulse-like ground motions. Bull. Earthq. Eng. 2019, 17, 2989–3013. [Google Scholar] [CrossRef]
- Akiyama, H. Earthquake–Resistant Limit–State Design for Buildings; University of Tokyo Press: Tokyo, Japan, 1985. [Google Scholar]
- Nakamura, T.; Hori, N.; Inoue, N. Evaluation of damaging properties of ground motions and estimation of maximum displacement based on momentary input energy. J. Struct. Constr. Eng. AIJ 1998, 513, 65–72. (In Japanese) [Google Scholar] [CrossRef]
- Inoue, N.; Wenliuhan, H.; Kanno, H.; Hori, N.; Ogawa, J. Shaking Table Tests of Reinforced Concrete Columns Subjected to Simulated Input Motions with Different Time Durations. In Proceedings of the 12th World Conference on Earthquake Engineering, Auckland, New Zealand, 30 January–4 February 2000. [Google Scholar]
- Hori, N.; Inoue, N. Damaging properties of ground motion and prediction of maximum response of structures based on momentary energy input. Earthq. Eng. Struct. Dyn. 2002, 31, 1657–1679. [Google Scholar] [CrossRef]
- Fujii, K.; Kanno, H.; Nishida, T. Formulation of the time-varying function of momentary energy input to a SDOF system by Fourier series. J. Jpn. Assoc. Earthq. Eng. 2019, 19, 247–266. (In Japanese) [Google Scholar] [CrossRef]
- Fujii, K.; Murakami, Y. Bidirectional momentary energy input to a one-mass two-DOF system. In Proceedings of the 17th World Conference on Earthquake Engineering, Sendai, Japan, 20 September–2 November 2021. [Google Scholar]
- Fujii, K. Bidirectional seismic energy input to an isotropic nonlinear one-mass two-degree-of-freedom system. Buildings 2021, 11, 143. [Google Scholar] [CrossRef]
- Strong-Motion Seismograph Networks (K-NET, KiK-net). Available online: https://www.kyoshin.bosai.go.jp/ (accessed on 14 October 2021).
- Bridgestone Corporation. Seismic Isolation Product Line-Up. Version 2017. Volume 1. Available online: https://www.bridgestone.com/products/diversified/antiseismic_rubber/pdf/catalog_201710.pdf (accessed on 7 September 2021).
- Bridgestone Corporation. Kenchiku-Menshin-yo Sekisou-Gomu-Seihin Shiyou-Ichiran (Seismic Isolation Product Line-Up). Version 2021. Volume 1. Available online: https://www.bridgestone.co.jp/products/dp/antiseismic_rubber/product/pdf/product_catalog_202106.pdf (accessed on 7 September 2021).
- Nippon Steel Engineering Co. Ltd. Men-Shin NSU Damper Line-Up. Available online: https://www.eng.nipponsteel.com/steelstructures/product/base_isolation/damper_u/lineup_du/ (accessed on 3 August 2019). (In Japanese).
- Fujii, K. Prediction of the Maximum Seismic Member Force in a Superstructure of a Base-Isolated Frame Building by Using Pushover Analysis. Buildings 2019, 9, 201. [Google Scholar] [CrossRef] [Green Version]
- Wada, A.; Hirose, K. Elasto-plastic dynamic behaviors of the building frames subjected to bi-directional earthquake motions. J. Struct. Constr. Eng. AIJ 1989, 399, 37–47. (In Japanese) [Google Scholar]
- Almansa, F.L.; Weng, D.; Li, T.; Alfarah, B. Suitability of seismic isolation for buildings founded on soft soil. Case study of a RC building in Shanghai. Buildings 2020, 10, 241. [Google Scholar] [CrossRef]
- Ordaz, M.; Huerta, B.; Reinoso, E. Exact Computation of Input-Energy Spectra from Fourier Amplitude Spectra. Earthq. Eng. Struct. Dyn. 2003, 32, 597–605. [Google Scholar] [CrossRef]
- Kuramoto, H. Earthquake response characteristics of equivalent SDOF system reduced from multi-story buildings and prediction of higher mode responses. J. Struct. Constr. Eng. AIJ 2004, 580, 61–68. (In Japanese) [Google Scholar] [CrossRef] [Green Version]
- Arias, A. A measure of seismic intensity. In Seismic Design for Nuclear Power Plant; MIT Press: Cambridge, MA, USA, 1970; pp. 438–483. [Google Scholar]
- Penzien, J.; Watabe, M. Characteristics of 3-dimensional earthquake ground motions. Earthq. Eng. Struct. Dyn. 1975, 3, 365–373. [Google Scholar] [CrossRef]
- Boore, D.M.; Watson-Lamprey, J.; Abrahamson, N.A. Orientation-Independent Measures of Ground Motion. Bull. Seismol. Soc. Am. 2007, 96, 1502–1511. [Google Scholar] [CrossRef]
Publisher’s Note: MDPI stays neutral with regard to jurisdictional claims in published maps and institutional affiliations. |
© 2021 by the authors. Licensee MDPI, Basel, Switzerland. This article is an open access article distributed under the terms and conditions of the Creative Commons Attribution (CC BY) license (https://creativecommons.org/licenses/by/4.0/).









































