Sequence-to-Sequence Acoustic Modeling with Semi-Stepwise Monotonic Attention for Speech Synthesis
Abstract
:1. Introduction
2. Related Work
| Algorithm 1: Stepwise Monotonic Attention (SMA). |
![]() |
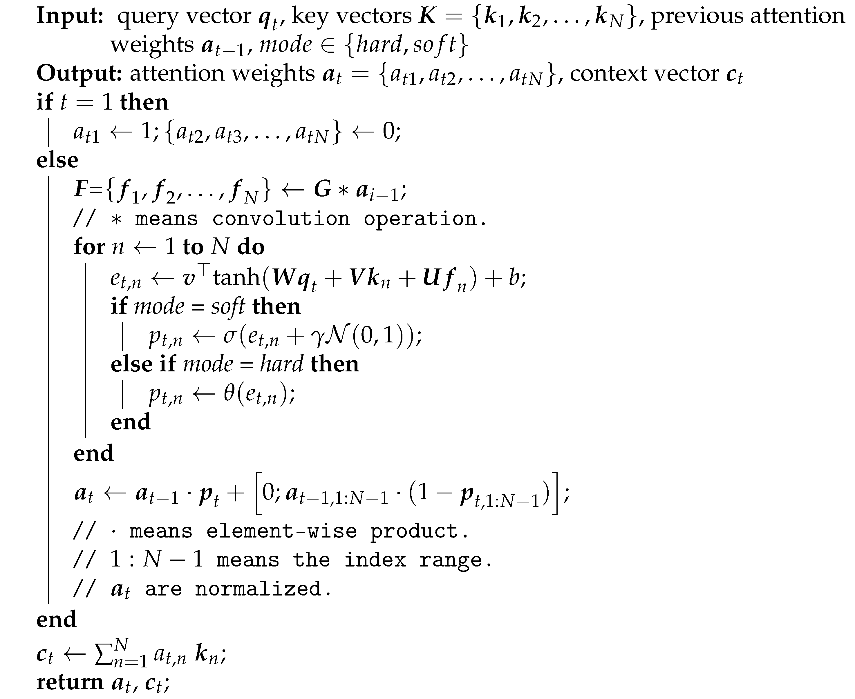
3. Proposed Methods
| Algorithm 2: Semi-Stepwise Monotonic Attention. |
![]() |
4. Experiments
4.1. Experimental Setup
- SMA-PB
- The attention mechanism was stepwise monotonic attention (SMA) [9]. In both training and synthesis stages, the phrase boundaries of texts were not available. The initial bias b was 3.5 and the noise scale was 2.0. The soft mode was used at the training stage, while the hard mode was used at the synthesis stage.
- SSMA-PB
- This model adopted SSMA instead of SMA and other model structure and hyperparameters were the same as SMA-PB. In both training or synthesis stage, this model used the same data as SMA-PB. The initial bias b and was 3.5, and the noise scale was 2.0. The soft mode was used at the training stage, while the hard mode was used at the synthesis stage.
- SMA+PB
- This model had the same structure and hyperparameters as SMA. In both training and synthesis stages, this model used the texts with manually labeled phrase boundaries.
4.2. Objective Evaluation
4.3. Subjective Evaluation
4.4. Discussions
4.4.1. Predicting Phrase Boundaries from Texts
4.4.2. Annotation Phrase Boundaries by Forced Alignment
5. Conclusions
Author Contributions
Funding
Institutional Review Board Statement
Informed Consent Statement
Data Availability Statement
Conflicts of Interest
References
- Zen, H.; Tokuda, K.; Black, A.W. Statistical parametric speech synthesis. Speech Commun. 2009, 51, 1039–1064. [Google Scholar] [CrossRef]
- Liberman, M.; Church, K.W. Text Analysis and Word Pronunciation in Text-to-speech Synthesis. In Advances in Speech Signal Processing; Marcel Dekker: New York, NY, USA, 2013; pp. 791–832. [Google Scholar]
- Tokuda, K.; Yoshimura, T.; Masuko, T.; Kobayashi, T.; Kitamura, T. Speech parameter generation algorithms for HMM-based speech synthesis. In Proceedings of the 2000 IEEE International Conference on Acoustics, Speech, and Signal Processing. Proceedings (Cat. No.00CH37100), Istanbul, Turkey, 5–9 June 2000; Volume 3, pp. 1315–1318. [Google Scholar]
- Morise, M.; Yokomori, F.; Ozawa, K. WORLD: A Vocoder-Based High-Quality Speech Synthesis System for Real-Time Applications. IEICE Trans. Inf. Syst. 2016, 99, 1877–1884. [Google Scholar] [CrossRef] [Green Version]
- Den Oord, A.V.; Dieleman, S.; Zen, H.; Simonyan, K.; Vinyals, O.; Graves, A.; Kalchbrenner, N.; Senior, A.W.; Kavukcuoglu, K. WaveNet: A Generative Model for Raw Audio. In Proceedings of the 9th ISCA Speech Synthesis Workshop (SSW9), Sunnyvale, CA, USA, 13–15 September 2016; p. 125. [Google Scholar]
- Wang, Y.; Skerry-Ryan, R.; Stanton, D.; Wu, Y.; Weiss, R.J.; Jaitly, N.; Yang, Z.; Xiao, Y.; Chen, Z.; Bengio, S.; et al. Tacotron: Towards End-to-End Speech Synthesis. In Proceedings of the Interspeech 2017, Stockholm, Sweden, 20–24 August 2017; pp. 4006–4010. [Google Scholar] [CrossRef] [Green Version]
- Shen, J.; Pang, R.; Weiss, R.J.; Schuster, M.; Jaitly, N.; Yang, Z.; Chen, Z.; Zhang, Y.; Wang, Y.; Skerrv-Ryan, R.; et al. Natural TTS synthesis by conditioning WaveNet on mel spectrogram predictions. In Proceedings of the 2018 IEEE International Conference on Acoustics, Speech and Signal Processing (ICASSP), Calgary, AB, Canada, 15–20 April 2018; pp. 4779–4783. [Google Scholar]
- Zhang, J.X.; Ling, Z.H.; Dai, L.R. Forward Attention in Sequence-to-sequence Acoustic Modeling for Speech Synthesis. In Proceedings of the IEEE International Conference on Acoustics, Speech and Signal Processing (ICASSP), Calgary, AB, Canada, 15–20 April 2018; pp. 4789–4793. [Google Scholar]
- He, M.; Deng, Y.; He, L. Robust Sequence-to-Sequence Acoustic Modeling with Stepwise Monotonic Attention for Neural TTS. In Proceedings of the Interspeech 2019, Graz, Austria, 15–19 September 2019; pp. 1293–1297. [Google Scholar] [CrossRef] [Green Version]
- Sanders, E.; Taylor, P. Using Statistical Models to Predict Phrase Boundaries for Speech Synthesis. In Proceedings of the EUROSPEECH’95, Madrid, Spain, 18–21 September 1995. [Google Scholar]
- Bisani, M.; Ney, H. Joint-sequence models for grapheme-to-phoneme conversion. Speech Commun. 2008, 50, 434–451. [Google Scholar] [CrossRef] [Green Version]
- Bahdanau, D.; Cho, K.; Bengio, Y. Neural machine translation by jointly learning to align and translate. arXiv 2014, arXiv:1409.0473. [Google Scholar]
- Chorowski, J.K.; Bahdanau, D.; Serdyuk, D.; Cho, K.; Bengio, Y. Attention-based models for speech recognition. In Proceedings of the Advances in Neural Information Processing Systems, Montreal, QC, Canada, 7–12 December 2015; pp. 577–585. [Google Scholar]
- Ren, Y.; Ruan, Y.; Tan, X.; Qin, T.; Zhao, S.; Zhao, Z.; Liu, T.Y. FastSpeech: Fast, robust and controllable text to speech. In Proceedings of the Advances in Neural Information Processing Systems, Vancouver, BC, Canada, 8–14 December 2019; pp. 3171–3180. [Google Scholar]
- Ren, Y.; Hu, C.; Qin, T.; Zhao, S.; Zhao, Z.; Liu, T.Y. FastSpeech 2: Fast and High-Quality End-to-End Text-to-Speech. arXiv 2020, arXiv:2006.04558. [Google Scholar]
- Battenberg, E.; Skerry-Ryan, R.; Mariooryad, S.; Stanton, D.; Kao, D.; Shannon, M.; Bagby, T. Location-Relative Attention Mechanisms For Robust Long-Form Speech Synthesis. arXiv 2019, arXiv:1910.10288. [Google Scholar]
- Jang, E.; Gu, S.; Poole, B. Categorical reparameterization with gumbel-softmax. arXiv 2016, arXiv:1611.01144. [Google Scholar]
- Kingma, D.P.; Ba, J. Adam: A method for stochastic optimization. arXiv 2014, arXiv:1412.6980. [Google Scholar]
- Kawahara, H.; Masuda-Katsuse, I.; De Cheveigne, A. Restructuring speech representations using a pitch-adaptive time–frequency smoothing and an instantaneous-frequency-based F0 extraction: Possible role of a repetitive structure in sounds. Speech Commun. 1999, 27, 187–207. [Google Scholar] [CrossRef]
- Salvador, S.; Chan, P. Toward accurate dynamic time warping in linear time and space. Intell. Data Anal. 2007, 11, 561–580. [Google Scholar] [CrossRef] [Green Version]


| MCD (dB) | RMSE (Hz) | CORR | UV (%) | |
|---|---|---|---|---|
| SMA-PB | 3.73 | 46.49 | 0.83 | 7.77 |
| SSMA-PB | 3.65 | 46.13 | 0.83 | 7.78 |
| SMA+PB | 3.53 | 41.95 | 0.88 | 7.00 |
| SMA-PB | SSMA-PB | SMA+PB | N/P | p |
|---|---|---|---|---|
| 21.36 | 54.55 | - | 24.09 | <0.001 |
| - | 26.36 | 45.91 | 27.73 | <0.001 |
| Precision | Recall | F1 Score | |
|---|---|---|---|
| Prediction | 32.72 | 73.61 | 45.31 |
| Annotation | 43.67 | 78.89 | 56.22 |
Publisher’s Note: MDPI stays neutral with regard to jurisdictional claims in published maps and institutional affiliations. |
© 2021 by the authors. Licensee MDPI, Basel, Switzerland. This article is an open access article distributed under the terms and conditions of the Creative Commons Attribution (CC BY) license (https://creativecommons.org/licenses/by/4.0/).
Share and Cite
Zhou, X.; Ling, Z.; Hu, Y.; Dai, L. Sequence-to-Sequence Acoustic Modeling with Semi-Stepwise Monotonic Attention for Speech Synthesis. Appl. Sci. 2021, 11, 10475. https://doi.org/10.3390/app112110475
Zhou X, Ling Z, Hu Y, Dai L. Sequence-to-Sequence Acoustic Modeling with Semi-Stepwise Monotonic Attention for Speech Synthesis. Applied Sciences. 2021; 11(21):10475. https://doi.org/10.3390/app112110475
Chicago/Turabian StyleZhou, Xiao, Zhenhua Ling, Yajun Hu, and Lirong Dai. 2021. "Sequence-to-Sequence Acoustic Modeling with Semi-Stepwise Monotonic Attention for Speech Synthesis" Applied Sciences 11, no. 21: 10475. https://doi.org/10.3390/app112110475
APA StyleZhou, X., Ling, Z., Hu, Y., & Dai, L. (2021). Sequence-to-Sequence Acoustic Modeling with Semi-Stepwise Monotonic Attention for Speech Synthesis. Applied Sciences, 11(21), 10475. https://doi.org/10.3390/app112110475



