The Effect of the Expression of the Antiapoptotic BHRF1 Gene on the Metabolic Behavior of a Hybridoma Cell Line
Abstract
1. Introduction
2. Materials and Methods
2.1. Cell Lines and Cell Maintenance
2.2. Culture Medium
2.3. Shake-Flasks Culturing Platform
2.4. Bioreactor and Operational Conditions
2.5. Analytical Methods
2.5.1. Cell Number
2.5.2. Metabolite Concentrations
2.5.3. Product Concentration
2.6. Oxygen Uptake Rate (OUR)
2.7. Estimation of Specific Consumption and Production Rates
2.8. Reduced Genome-Scale Metabolic Model
2.9. Flux Balance Analysis of the Reduced Model
3. Results
3.1. Effect of BHRF1 on Cell Physiology
3.1.1. Noncontrolled Culture Conditions: Shake Flask Cultures
3.1.2. Controlled Bioreactor Cultures
3.2. Effect of BHRF1 on Cell Metabolism: Flux Balance Analysis
4. Discussion
5. Conclusions
Supplementary Materials
Author Contributions
Funding
Institutional Review Board Statement
Informed Consent Statement
Acknowledgments
Conflicts of Interest
References
- Walsh, G. Biopharmaceutical Benchmarks 2018. Nat. Biotechnol. 2018, 36, 1136–1145. [Google Scholar] [CrossRef]
- Grilo, A.L.; Mantalaris, A. The Increasingly Human and Profitable Monoclonal Antibody Market. Trends Biotechnol. 2019, 37, 9–16. [Google Scholar] [CrossRef]
- Estes, S.; Melville, M. Mammalian Cell Line Developments in Speed and Efficiency. In Mammalian Cell Cultures for Biologics Manufacturing; Zhou, W., Kantardjieff, A., Eds.; Advances in Biochemical Engineering/Biotechnology; Springer: Berlin/Heidelberg, Germany, 2013; Volume 139, pp. 11–33. ISBN 978-3-642-54049-3. [Google Scholar]
- Wurm, F.M. Production of Recombinant Protein Therapeutics in Cultivated Mammalian Cells. Nat. Biotechnol. 2004, 22, 1393–1398. [Google Scholar] [CrossRef]
- Hnasko, R.M.; Stanker, L.H. Hybridoma Technology. In ELISA; Hnasko, R., Ed.; Methods in Molecular Biology; Springer: New York, NY, USA, 2015; Volume 1318, pp. 15–28. ISBN 978-1-4939-2741-8. [Google Scholar]
- Coco-Martin, J.M. A Review of Therapeutic Protein Expression by Mammalian Cells. BioProcess Int. 2008, 6, 28. [Google Scholar]
- Arden, N.; Betenbaugh, M.J. Life and Death in Mammalian Cell Culture: Strategies for Apoptosis Inhibition. Trends Biotechnol. 2004, 22, 174–180. [Google Scholar] [CrossRef]
- Zhang, X.; Han, L.; Zong, H.; Ding, K.; Yuan, Y.; Bai, J.; Zhou, Y.; Zhang, B.; Zhu, J. Enhanced Production of Anti-PD1 Antibody in CHO Cells through Transient Co-Transfection with Anti-Apoptotic Genes Bcl-XL and Mcl-1. Bioprocess Biosyst. Eng. 2018, 41, 633–640. [Google Scholar] [CrossRef]
- Casablancas, A.; Gámez, X.; Lecina, M.; Solà, C.; Cairó, J.J.; Gòdia, F. Comparison of Control Strategies for Fed-Batch Culture of Hybridoma Cells Based on on-Line Monitoring of Oxygen Uptake Rate, Optical Cell Density and Glucose Concentration. J. Chem. Technol. Biotechnol. 2013, 88, 1680–1689. [Google Scholar] [CrossRef]
- Smolke, C.D. The Metabolic Pathway Engineering Handbook: Fundamentals; CRC Press: Boca Raton, FL, USA; Taylor: London, UK; Francis: New York, NY, USA, 2010; ISBN 978-1-4398-0296-0. [Google Scholar]
- Henry, M.N.; MacDonald, M.A.; Orellana, C.A.; Gray, P.P.; Gillard, M.; Baker, K.; Nielsen, L.K.; Marcellin, E.; Mahler, S.; Martínez, V.S. Attenuating Apoptosis in Chinese Hamster Ovary Cells for Improved Biopharmaceutical Production. Biotechnol. Bioeng. 2020, 117, 1187–1203. [Google Scholar] [CrossRef] [PubMed]
- Vives, J.; Juanola, S.; Cairo, J.J. Metabolic Engineering of Apoptosis in Cultured Animal Cells: Implications for the Biotechnology Industry. Metab. Eng. 2003, 9, 124–132. [Google Scholar] [CrossRef]
- Fussenegger, M.; Fassnacht, D.; Schwartz, R.; Zanghi, J.A.; Graf, M.; Bailey, J.E.; Pörtner, R. Regulated Overexpression of the Survival Factor Bcl-2 in CHO Cells Increases Viable Cell Density in Batch Culture and Decreases DNA Release in Extended Fixed-Bed Cultivation. Cytotechnology 2000, 32, 45–61. [Google Scholar] [CrossRef] [PubMed]
- Mastrangelo, A.J.; Hardwick, J.M.; Zou, S.; Betenbaugh, M.J. Part II. Overexpression of Bcl-2 Family Members Enhances Survival of Mammalian Cells in Response to Various Culture Insults. Biotechnol. Bioeng. 2000, 67, 10. [Google Scholar] [CrossRef]
- Simpson, N.H.; Milner, A.E.; Al-Rubeai, M. Prevention of Hybridoma Cell Death by Bcl-2 during Suboptimal Culture Conditions. Biotechnol. Bioeng. 1997, 54, 1–16. [Google Scholar] [CrossRef]
- Tey, B.T.; Singh, R.P.; Piredda, L.; Piacentini, M.; Al-Rubeai, M. Influence of Bcl-2 on Cell Death during the Cultivation of a Chinese Hamster Ovary Cell Line Expressing a Chimeric Antibody. Biotechnol. Bioeng. 2000, 68, 13. [Google Scholar] [CrossRef]
- Majors, B.S.; Betenbaugh, M.J.; Pederson, N.E.; Chiang, G.G. Mcl-1 Overexpression Leads to Higher Viabilities and Increased Production of Humanized Monoclonal Antibody in Chinese Hamster Ovary Cells. Biotechnol. Prog. 2009, 25, 8. [Google Scholar] [CrossRef] [PubMed]
- Sauerwald, T.M.; Oyler, G.A.; Betenbaugh, M.J. Study of Caspase Inhibitors for Limiting Death in Mammalian Cell Culture. Biotechnol. Bioeng. 2003, 81, 12. [Google Scholar] [CrossRef]
- Vives, J.; Juanola, S.; Cairó, J.J.; Prats, E.; Cornudella, L.; Gòdia, F. Protective Effect of Viral Homologues of Bcl-2 on Hybridoma Cells under Apoptosis-Inducing Conditions. Biotechnol. Prog. 2003, 19, 84–89. [Google Scholar] [CrossRef]
- Juanola, S.; Vives, J.; Milián, E.; Prats, E.; Cairó, J.J.; Gòdia, F. Expression of BHRF1 Improves Survival of Murine Hybridoma Cultures in Batch and Continuous Modes. Appl. Microbiol. Biotechnol. 2009. [Google Scholar] [CrossRef]
- Xiong, K.; Marquart, K.F.; la Cour Karottki, K.J.; Li, S.; Shamie, I.; Lee, J.S.; Gerling, S.; Yeo, N.C.; Chavez, A.; Lee, G.M.; et al. Reduced Apoptosis in Chinese Hamster Ovary Cells via Optimized CRISPR Interference. Biotechnol. Bioeng. 2019, 116, 1813–1819. [Google Scholar] [CrossRef] [PubMed]
- Dorai, H.; Kyung, Y.S.; Ellis, D.; Kinney, C.; Lin, C.; Jan, D.; Moore, G.; Betenbaugh, M.J. Expression of Anti-Apoptosis Genes Alters Lactate Metabolism of Chinese Hamster Ovary Cells in Culture. Biotechnol. Bioeng. 2009, 103, 592–608. [Google Scholar] [CrossRef]
- Templeton, N.; Lewis, A.; Dorai, H.; Qian, E.A.; Campbell, M.P.; Smith, K.D.; Lang, S.E.; Betenbaugh, M.J.; Young, J.D. The Impact of Anti-Apoptotic Gene Bcl-2∆ Expression on CHO Central Metabolism. Metab. Eng. 2014, 25, 92–102. [Google Scholar] [CrossRef] [PubMed]
- Martínez-Monge, I.; Albiol, J.; Lecina, M.; Liste-Calleja, L.; Miret, J.; Solà, C.; Cairó, J.J. Metabolic Flux Balance Analysis during Lactate and Glucose Concomitant Consumption in HEK293 Cell Cultures. Biotechnol. Bioeng. 2018. [Google Scholar] [CrossRef] [PubMed]
- Altamirano, C.; Illanes, A.; Becerra, S.; Cairó, J.J.; Gòdia, F. Considerations on the Lactate Consumption by CHO Cells in the Presence of Galactose. J. Biotechnol. 2006, 125, 547–556. [Google Scholar] [CrossRef] [PubMed]
- Zhang, L.; Shen, H.; Zhang, Y. Fed-Batch Culture of Hybridoma Cells in Serum-Free Medium Using an Optimized Feeding Strategy. J. Chem. Technol. Biotechnol. 2004, 79, 171–181. [Google Scholar] [CrossRef]
- Henry, O.; Durocher, Y. Enhanced Glycoprotein Production in HEK-293 Cells Expressing Pyruvate Carboxylase. Metab. Eng. 2011, 13, 499–507. [Google Scholar] [CrossRef] [PubMed][Green Version]
- Chen, K.; Liu, Q.; Xie, L.; Sharp, P.A.; Wang, D.I.C. Engineering of a Mammalian Cell Line for Reduction of Lactate Formation and High Monoclonal Antibody Production. Biotechnol. Bioeng. 2001, 72, 55–61. [Google Scholar] [CrossRef]
- Yoon, S.; Konstantinov, K.B. Continuous, Real-Time Monitoring of the Oxygen Uptake Rate (OUR) in Animal Cell Bioreactors. Biotechnol. Bioeng. 1994, 44, 983–990. [Google Scholar] [CrossRef]
- Zhou, W.; Hu, W.-S. On-Line Characterization of a Hybridoma Cell Culture Process. Biotechnol. Bioeng. 1994, 44, 170–177. [Google Scholar] [CrossRef]
- Fontova, A.; Lecina, M.; López-Repullo, J.; Martínez-Monge, I.; Comas, P.; Bragós, R.; Cairó, J.J. A Simplified Implementation of the Stationary Liquid Mass Balance Method for On-Line OUR Monitoring in Animal Cell Cultures. J. Chem. Technol. Biotechnol. 2018, 93. [Google Scholar] [CrossRef]
- Martínez-Monge, I.; Comas, P.; Triquell, J.; Lecina, M.; Casablancas, A.; Cairó, J.J.J. A New Strategy for Fed-Batch Process Control of HEK293 Cell Cultures Based on Alkali Buffer Addition Monitoring: Comparison with O.U.R. Dynamic Method. Appl. Microbiol. Biotechnol. 2018. [Google Scholar] [CrossRef]
- Martínez-Monge, I.; Comas, P.; Triquell, J.; Casablancas, A.; Lecina, M.; Paredes, C.J.; Cairó, J.J. Concomitant Consumption of Glucose and Lactate: A Novel Batch Production Process for CHO Cells. Biochem. Eng. J. 2019, 151, 107358. [Google Scholar] [CrossRef]
- Martínez, V.S.; Dietmair, S.; Quek, L.-E.; Hodson, M.P.; Gray, P.; Nielsen, L.K. Flux Balance Analysis of CHO Cells before and after a Metabolic Switch from Lactate Production to Consumption. Biotechnol. Bioeng. 2013, 110, 660–666. [Google Scholar] [CrossRef]
- Quek, L.-E.; Nielsen, L.K. On the Reconstruction of the Mus Musculus Genome-Scale Metabolic Network Model. In Proceedings of the Genome Informatics 2008, Queensland, Australia, 1–3 December 2008; Genome Informatics Series Volume 21. Imperial College Press: London, UK, 2008; pp. 89–100. [Google Scholar]
- Sheikh, K.; Förster, J.; Nielsen, L.K. Modeling Hybridoma Cell Metabolism Using a Generic Genome-Scale Metabolic Model of Mus Musculus. Biotechnol. Prog. 2005, 21, 112–121. [Google Scholar] [CrossRef]
- Rocha, I.; Maia, P.; Evangelista, P.; Vilaça, P.; Soares, S.; Pinto, J.P.; Nielsen, J.; Patil, K.R.; Ferreira, E.C.; Rocha, M. OptFlux: An Open-Source Software Platform for in Silico Metabolic Engineering. BMC Syst. Biol. 2010, 4, 45. [Google Scholar] [CrossRef] [PubMed]
- Lewis, N.E.; Hixson, K.K.; Conrad, T.M.; Lerman, J.A.; Charusanti, P.; Polpitiya, A.D.; Adkins, J.N.; Schramm, G.; Purvine, S.O.; Lopez-Ferrer, D.; et al. Omic Data from Evolved E. Coli Are Consistent with Computed Optimal Growth from Genome-Scale Models. Mol. Syst. Biol. 2010, 6, 390. [Google Scholar] [CrossRef] [PubMed]
- Droste, P.; Miebach, S.; Niedenführ, S.; Wiechert, W.; Nöh, K. Visualizing Multi-Omics Data in Metabolic Networks with the Software Omix—A Case Study. Biosystems 2011, 105, 154–161. [Google Scholar] [CrossRef] [PubMed]
- Quek, L.-E.; Dietmair, S.; Krömer, J.O.; Nielsen, L.K. Metabolic Flux Analysis in Mammalian Cell Culture. Metab. Eng. 2010, 12, 161–171. [Google Scholar] [CrossRef] [PubMed]
- McKeehan, W.L. Glutaminolysis in Animal Cells. In Carbohydrate Metabolism in Cultured Cells; Springer: New York, NY, USA, 1986; ISBN 978-1-4684-7679-8. [Google Scholar]
- Mulukutla, B.C.; Gramer, M.; Hu, W.-S. On Metabolic Shift to Lactate Consumption in Fed-Batch Culture of Mammalian Cells. Metab. Eng. 2012, 14, 138–149. [Google Scholar] [CrossRef]
- Yang, M.; Butler, M. Effects of Ammonia on CHO Cell Growth, Erythropoietin Production, and Glycosylation. Biotechnol. Bioeng. 2000, 68, 370–380. [Google Scholar] [CrossRef]
- Milián, E.; Prats, E.; Cairó, J.J.; Gòdia, F.; Vives, J. BHRF1 Exerts an Antiapoptotic Effect and Cell Cycle Arrest via Bcl-2 in Murine Hybridomas. J. Biotechnol. 2015, 209, 58–67. [Google Scholar] [CrossRef]
- Majors, B.S.; Betenbaugh, M.J.; Chiang, G.G. Links between Metabolism and Apoptosis in Mammalian Cells: Applications for Anti-Apoptosis Engineering. Metab. Eng. 2007, 9, 317–326. [Google Scholar] [CrossRef] [PubMed]
- Hartley, F.; Walker, T.; Chung, V.; Morten, K. Mechanisms Driving the Lactate Switch in Chinese Hamster Ovary Cells. Biotechnol. Bioeng. 2018, 115, 1890–1903. [Google Scholar] [CrossRef] [PubMed]
- Zagari, F.; Jordan, M.; Stettler, M.; Broly, H.; Wurm, F.M. Lactate Metabolism Shift in CHO Cell Culture: The Role of Mitochondrial Oxidative Activity. New Biotechnol. 2013, 30, 238–245. [Google Scholar] [CrossRef] [PubMed]
- Zheng, J. Energy Metabolism of Cancer: Glycolysis versus Oxidative Phosphorylation (Review). Oncol. Lett. 2012, 4, 1151–1157. [Google Scholar] [CrossRef] [PubMed]
- Schantz, P.G.; Sjöberg, B.; Svedenhag, J. Malate-Aspartate and Alpha-Glycerophosphate Shuttle Enzyme Levels in Human Skeletal Muscle: Methodological Considerations and Effect of Endurance Training. Acta Physiol. Scand. 1986, 128, 397–407. [Google Scholar] [CrossRef]
- Robergs, R.A.; Ghiasvand, F.; Parker, D. Biochemistry of Exercise-Induced Metabolic Acidosis. Am. J. Physiol. Regul. Integr. Comp. Physiol. 2004, 287, R502–R516. [Google Scholar] [CrossRef]
) and lactate (
) concentration of batch cultures run in shake flasks ((A1): parental KB26.5 and (B1): engineered KB26.5-BHRF1). Napierian logarithm of viable cell density versus time (●) ((A2): parental KB26.5 and (B2): engineered KB26.5-BHRF1). Data obtained from duplicate cultures in shake flasks; the error bar corresponds to the standard deviation.
) and lactate (
) concentration of batch cultures run in shake flasks ((A1): parental KB26.5 and (B1): engineered KB26.5-BHRF1). Napierian logarithm of viable cell density versus time (●) ((A2): parental KB26.5 and (B2): engineered KB26.5-BHRF1). Data obtained from duplicate cultures in shake flasks; the error bar corresponds to the standard deviation.
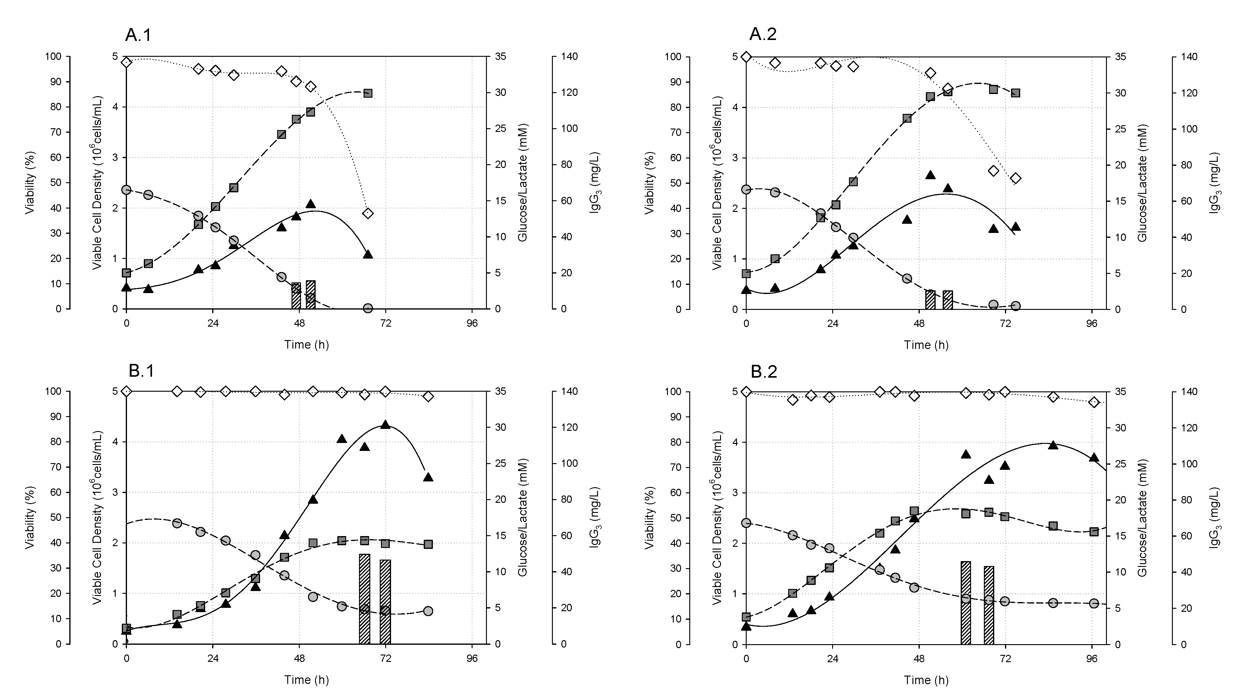
) and lactate (
) and product (bars) concentration of batch cultures. Duplicate cultures are shown for each cell line.
) and lactate (
) and product (bars) concentration of batch cultures. Duplicate cultures are shown for each cell line.




| Parameter (nmol/mg·h−1) | KB26.5 | KB26.5-BHRF1 |
|---|---|---|
| Alanine | 132.493 ± 12.954 | 48.305 ± 4.158 |
| Arginine | −14.726 ± 2.812 | −15.517 ± 8.825 |
| Asparagine | 5.420 ± 1.302 | 3.058 ± 0.681 |
| Aspartic acid | 4.304 ± 6.017 | 0.487 ± 0.801 |
| Biomass | 0.036 ± 0.006 | 0.048 ± 0.007 |
| Cysteine | −5.024 ± 2.111 | −4.825 ± 4.079 |
| Glucose | −933.447 ± 134.567 | −542.206 ± 177.457 |
| Glutamic acid | 7.858 ± 0.265 | 0.841 ± 0.956 |
| Glutamine | −258.541 ± 76.627 | −179.660 ± 122.421 |
| Glycine | −11.597 ± 6.102 | −12.094 ± 6.784 |
| Histidine | −6.744 ± 3.693 | −5.368 ± 3.796 |
| Isoleucine | −24.989 ± 5.918 | −18.098 ± 16.359 |
| Lactate | 1435.500 ± 348.745 | 654.556 ± 34.663 |
| Leucine | −28.854 ± 6.149 | −24.593 ± 17.043 |
| Lysine | −22.759 ± 9.314 | −21.579 ± 17.480 |
| Methionine | −7.315 ± 0.948 | −6.511 ± 4.841 |
| NH4+ | 156.137 ± 11.064 | 85.090 ± 15.910 |
| Phenylalanine | −9.685 ± 2.050 | −10.009 ± 8.848 |
| Proline | 13.080 ± 4.084 | 1.993 ± 8.586 |
| Oxygen | −701.500 ± 160.513 | −674.500 ± 12.021 |
| Serine | −15.150 ± 6.181 | −13.913 ± 11.826 |
| Threonine | −16.883 ± 3.216 | −18.522 ± 18.500 |
| Tryptophan | −2.585 ± 3.297 | −1.078 ± 0.722 |
| Tyrosine | −8.340 ± 1.832 | −8.392 ± 7.974 |
| Valine | −24.539 ± 4.938 | −20.236 ± 18.013 |
| Parameter | KB26.5 | KB26.5-BHRF1 |
|---|---|---|
| µ (h−1) | 0.027 ± 0.001 | 0.048 ± 0.002 |
| td (h) | 25.500 ± 0.928 | 14.560 ± 0.627 |
| qGlu (nmol/(mg·h)) | −802.325 ± 71.750 | −682.100 ± 55.536 |
| qLac (nmol/(mg·h)) | 1337.750 ± 175.857 | 663.780 ± 13.831 |
| YGlu/X (mmol/L)/(106 cell/mL) | 14.515 ± 0.120 | 4.645 ± 0.007 |
| YLac/X (mmol/L)/(106 cell/mL) | 24.265 ± 1.039 | 5.035 ± 1.704 |
| VCDmax (106 cell/mL) | 1.79 ± 0.30 | 3.92 ± 0.03 |
| Parameter | KB26.5 | KB26.5-BHRF1 |
|---|---|---|
| µ (h−1) | 0.036 ± 0.006 | 0.048 ± 0.007 |
| td (h) | 19.823 ± 3.588 | 14.593 ± 2.001 |
| qGlu (nmol/(mg·h)) | −933.447 ± 134.567 | −542.206 ± 177.457 |
| qLac (nmol/(mg·h)) | 1435.500 ± 348.745 | 654.556 ± 34.663 |
| YGlu/X (mmol/L)/(106 cell/mL) | 8.805 ± 0.361 | 3.735 ± 0.346 |
| YLac/X (mmol/L)/(106 cell/mL) | 14.010 ± 0.665 | 4.730 ± 1.160 |
| VCDmax (106 cell/mL) | 2.34 ± 0.39 | 3.93 ± 0.01 |
| IgG3,max (mg/L) | 12.90 ± 3.82 | 47.70 ± 2.69 |
| qP (µg/(106 cell·h)) | 0.24 ± 0.08 | 0.48 ± 0.02 |
| VP ((µg/L)/h) | 252.12 ± 74.63 | 750.22 ± 0.85 |
Publisher’s Note: MDPI stays neutral with regard to jurisdictional claims in published maps and institutional affiliations. |
© 2021 by the authors. Licensee MDPI, Basel, Switzerland. This article is an open access article distributed under the terms and conditions of the Creative Commons Attribution (CC BY) license (https://creativecommons.org/licenses/by/4.0/).
Share and Cite
Martínez-Monge, I.; Comas, P.; Catalán-Tatjer, D.; Prat, J.; Casablancas, A.; Paredes, C.; Lecina, M.; Cairó, J.J. The Effect of the Expression of the Antiapoptotic BHRF1 Gene on the Metabolic Behavior of a Hybridoma Cell Line. Appl. Sci. 2021, 11, 6258. https://doi.org/10.3390/app11146258
Martínez-Monge I, Comas P, Catalán-Tatjer D, Prat J, Casablancas A, Paredes C, Lecina M, Cairó JJ. The Effect of the Expression of the Antiapoptotic BHRF1 Gene on the Metabolic Behavior of a Hybridoma Cell Line. Applied Sciences. 2021; 11(14):6258. https://doi.org/10.3390/app11146258
Chicago/Turabian StyleMartínez-Monge, Iván, Pere Comas, David Catalán-Tatjer, Jordi Prat, Antoni Casablancas, Carlos Paredes, Martí Lecina, and Jordi Joan Cairó. 2021. "The Effect of the Expression of the Antiapoptotic BHRF1 Gene on the Metabolic Behavior of a Hybridoma Cell Line" Applied Sciences 11, no. 14: 6258. https://doi.org/10.3390/app11146258
APA StyleMartínez-Monge, I., Comas, P., Catalán-Tatjer, D., Prat, J., Casablancas, A., Paredes, C., Lecina, M., & Cairó, J. J. (2021). The Effect of the Expression of the Antiapoptotic BHRF1 Gene on the Metabolic Behavior of a Hybridoma Cell Line. Applied Sciences, 11(14), 6258. https://doi.org/10.3390/app11146258

