Feasibility of Probing the Filler Restructuring in Magnetoactive Elastomers by Ultra-Small-Angle Neutron Scattering
Abstract
1. Introduction
2. Materials and Methods
2.1. Samples
2.2. Measurements
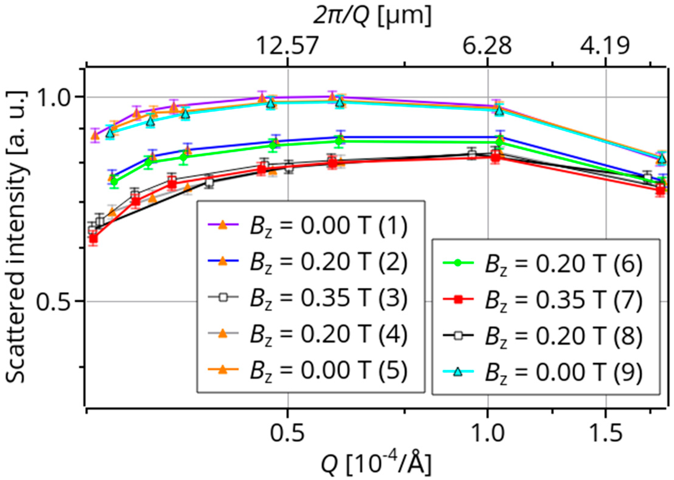
3. Results and Discussion
4. Conclusions and Outlook
Author Contributions
Funding
Data Availability Statement
Acknowledgments
Conflicts of Interest
References
- Filipcsei, G.; Csetneki, I.; Szilágyi, A.; Zrínyi, M. Magnetic Field-Responsive Smart Polymer Composites. In Oligomers–Polymer Composites-Molecular Imprinting; Gong, B., Sanford, A.R., Ferguson, J.S., Eds.; Advances in Polymer Science; Springer: Berlin/Heidelberg, Germany, 2007; pp. 137–189. ISBN 978-3-540-46830-1. [Google Scholar]
- Li, Y.; Li, J.; Li, W.; Du, H. A State-of-the-Art Review on Magnetorheological Elastomer Devices. Smart Mater. Struct. 2014, 23, 123001. [Google Scholar] [CrossRef]
- Ubaidillah; Sutrisno, J.; Purwanto, A.; Mazlan, S.A. Recent Progress on Magnetorheological Solids: Materials, Fabrication, Testing, and Applications. Adv. Eng. Mater. 2015, 17, 563–597. [Google Scholar] [CrossRef]
- Menzel, A.M. Tuned, Driven, and Active Soft Matter. Phys. Rep. 2015, 554, 1–45. [Google Scholar] [CrossRef]
- Odenbach, S. Microstructure and Rheology of Magnetic Hybrid Materials. Arch. Appl. Mech. 2016, 86, 269–279. [Google Scholar] [CrossRef]
- López-López, M.; Durán, J.; Iskakova, L.; Zubarev, A. Mechanics of Magnetopolymer Composites: A Review. J. Nanofluids 2016, 5, 479–495. [Google Scholar] [CrossRef]
- Weeber, R.; Hermes, M.; Schmidt, A.M.; Holm, C. Polymer Architecture of Magnetic Gels: A Review. J. Phys. Condens. Matter 2018, 30, 063002. [Google Scholar] [CrossRef]
- Shamonin, M.; Kramarenko, E.Y. Chapter 7–Highly Responsive Magnetoactive Elastomers. In Novel Magnetic Nanostructures; Domracheva, N., Caporali, M., Rentschler, E., Eds.; Advanced Nanomaterials; Elsevier: Amsterdam, The Netherlands, 2018; pp. 221–245. ISBN 978-0-12-813594-5. [Google Scholar]
- Bastola, A.K.; Paudel, M.; Li, L.; Li, W. Recent Progress of Magnetorheological Elastomers: A Review. Smart Mater. Struct. 2020, 29, 123002. [Google Scholar] [CrossRef]
- Cantera, M.A.; Behrooz, M.; Gibson, R.F.; Gordaninejad, F. Modeling of Magneto-Mechanical Response of Magnetorheological Elastomers (MRE) and MRE-Based Systems: A Review. Smart Mater. Struct. 2017, 26, 023001. [Google Scholar] [CrossRef]
- Abramchuk, S.; Kramarenko, E.; Stepanov, G.; Nikitin, L.V.; Filipcsei, G.; Khokhlov, A.R.; Zrínyi, M. Novel Highly Elastic Magnetic Materials for Dampers and Seals: Part I. Preparation and Characterization of the Elastic Materials. Polym. Adv. Technol. 2007, 18, 883–890. [Google Scholar] [CrossRef]
- Borbáth, T.; Günther, S.; Borin, D.; Gundermann, T.; Odenbach, S. XμCT Analysis of Magnetic Field-Induced Phase Transitions in Magnetorheological Elastomers. Smart Mater. Struct. 2012, 21. [Google Scholar] [CrossRef]
- An, H.-N.; Picken, S.J.; Mendes, E. Direct Observation of Particle Rearrangement during Cyclic Stress Hardening of Magnetorheological Gels. Soft Matter 2012, 8, 11995–12001. [Google Scholar] [CrossRef]
- Schümann, M.; Odenbach, S. In-Situ Observation of the Particle Microstructure of Magnetorheological Elastomers in Presence of Mechanical Strain and Magnetic Fields. J. Magn. Magn. Mater. 2017, 441, 88–92. [Google Scholar] [CrossRef]
- Gundermann, T.; Cremer, P.; Löwen, H.; Menzel, A.M.; Odenbach, S. Statistical Analysis of Magnetically Soft Particles in Magnetorheological Elastomers. Smart Mater. Struct. 2017, 26, 045012. [Google Scholar] [CrossRef]
- Avdeev, M.V.; Aksenov, V.L. Small-Angle Neutron Scattering in Structure Research of Magnetic Fluids. Phys. Uspekhi 2010, 53, 971. [Google Scholar] [CrossRef]
- Odenbach, S.; Schwahn, D.; Stierstadt, K. Evidence for Diffusion-Induced Convection in Ferrofluids from Small-Angle Neutron Scattering. Z. Für Phys. B Condens. Matter 1995, 96, 567–569. [Google Scholar] [CrossRef]
- Aksenov, V.; Avdeev, M.; Balasoiu, M.; Rosta, L.; Török, G.; Vekas, L.; Bica, D.; Garamus, V.; Kohlbrecher, J. SANS Study of Concentration Effect in Magnetite/Oleic Acid/Benzene Ferrofluid. Appl. Phys. A 2002, 74, s943–s944. [Google Scholar] [CrossRef]
- Pop, L.M.; Hilljegerdes, J.; Odenbach, S.; Wiedenmann, A. The Microstructure of Ferrofluids and Their Rheological Properties. Appl. Organomet. Chem. 2004, 18, 523–528. [Google Scholar] [CrossRef]
- Balasoiu, M.; Craus, M.L.; Plestil, J.; Haramus, V.; Erhan, R.; Lozovan, M.; Kuklin, A.I.; Bica, I. Microstructure of Magnetite Doped Elastomers Investigated by SAXS and SANS. 2008, 11. Available online: https://www.researchgate.net/publication/242829586_Microstructure_of_magnetite_doped_elastomers_investigated_by_SAXS_and_SANS (accessed on 12 May 2021).
- Balasoiu, M.; Craus, M.L.; Anitas, E.M.; Bica, I.; Plestil, J.; Kuklin, A.I. Microstructure of Stomaflex Based Magnetic Elastomers. Phys. Solid State 2010, 52, 917–921. [Google Scholar] [CrossRef]
- Balasoiu, M.; Lebedev, V.T.; Orlova, D.N.; Bica, I.; Raikher, Y.L. SANS Investigation of a Ferrofluid Based Silicone Elastomer Microstructure. J. Phys. Conf. Ser. 2012, 351, 012014. [Google Scholar] [CrossRef]
- Balasoiu, M.; Lebedev, V.T.; Raikher, Y.L.; Bica, I.; Bunoiu, M. The Implicit Effect of Texturizing Field on the Elastic Properties of Magnetic Elastomers Revealed by SANS. J. Magn. Magn. Mater. 2017, 431, 126–129. [Google Scholar] [CrossRef]
- Pyanzina, E.S.; Sánchez, P.A.; Cerdà, J.J.; Sintes, T.; Kantorovich, S.S. Scattering Properties and Internal Structure of Magnetic Filament Brushes. Soft Matter 2017, 13, 2590–2602. [Google Scholar] [CrossRef]
- Borin, D.Y.; Bergmann, C.; Odenbach, S. Characterization of a Magnetic Fluid Exposed to a Shear Flow and External Magnetic Field Using Small Angle Laser Scattering. J. Magn. Magn. Mater. 2020, 497, 165959. [Google Scholar] [CrossRef]
- Zákutná, D.; Graef, K.; Dresen, D.; Porcar, L.; Honecker, D.; Disch, S. In Situ Magnetorheological SANS Setup at Institut Laue-Langevin. Colloid Polym. Sci. 2021, 299, 281–288. [Google Scholar] [CrossRef]
- Sorokin, V.V.; Belyaeva, I.A.; Shamonin, M.; Kramarenko, E.Y. Magnetorheological Response of Highly Filled Magnetoactive Elastomers from Perspective of Mechanical Energy Density: Fractal Aggregates above the Nanometer Scale? Phys. Rev. E 2017, 95, 062501. [Google Scholar] [CrossRef] [PubMed]
- Belyaeva, I.A.; Kramarenko, E.Y.; Shamonin, M. Magnetodielectric Effect in Magnetoactive Elastomers: Transient Response and Hysteresis. Polymer 2017, 127, 119–128. [Google Scholar] [CrossRef]
- Hainbuchner, M.; Villa, M.; Kroupa, G.; Bruckner, G.; Baron, M.; Amenitsch, H.; Seidl, E.; Rauch, H. The New High Resolution Ultra Small-Angle Neutron Scattering Instrument at the High Flux Reactor in Grenoble. J. Appl. Crystallogr. 2000, 33, 851–854. [Google Scholar] [CrossRef]
- Zubarev, A.; Chirikov, D.; Borin, D.; Stepanov, G. Hysteresis of the Magnetic Properties of Soft Magnetic Gels. Soft Matter 2016, 12. [Google Scholar] [CrossRef]
- Barrett, M.; Deschner, A.; Embs, J.P.; Rheinstädter, M.C. Chain Formation in a Magnetic Fluid under the Influence of Strong External Magnetic Fields Studied by Small Angle Neutron Scattering. Soft Matter 2011, 7, 6678–6683. [Google Scholar] [CrossRef]
- Romeis, D.; Toshchevikov, V.; Saphiannikova, M. Elongated Micro-Structures in Magneto-Sensitive Elastomers: A Dipolar Mean Field Model. Soft Matter 2016, 12, 9364–9376. [Google Scholar] [CrossRef] [PubMed]
- Snarskii, A.A.; Zorinets, D.; Shamonin, M.; Kalita, V.M. Theoretical Method for Calculation of Effective Properties of Composite Materials with Reconfigurable Microstructure: Electric and Magnetic Phenomena. Phys. A Stat. Mech. Appl. 2019, 535, 122467. [Google Scholar] [CrossRef]
- Snarskii, A.A.; Shamonin, M.; Yuskevich, P.; Saveliev, D.V.; Belyaeva, I.A. Induced anisotropy in composite materials with reconfigurable microstructure: Effective medium model with movable percolation threshold. Phys. A Stat. Mech. Appl. 2020, 560, 125170. [Google Scholar] [CrossRef]
- Pipich, V. Magnetic-Field-Induced Structural Changes in Compliant Magnetorheological Elastomers. Private Communication, 2018. [Google Scholar]
- Stepanov, G.V.; Borin, D.Y.; Raikher, Y.L.; Melenev, P.V.; Perov, N.S. Motion of Ferroparticles Inside the Polymeric Matrix in Magnetoactive Elastomers. J. Phys. Condens. Matter 2008, 20, 204121. [Google Scholar] [CrossRef] [PubMed]
- Bodnaruk, A.V.; Brunhuber, A.; Kalita, V.M.; Kulyk, M.M.; Kurzweil, P.; Snarskii, A.A.; Lozenko, A.F.; Ryabchenko, S.M.; Shamonin, M. Magnetic Anisotropy in Magnetoactive Elastomers, Enabled by Matrix Elasticity. Polymer 2019, 162, 63–72. [Google Scholar] [CrossRef]






| Sample | Mass Fraction of Fe, % | Volume Fraction of Fe, % |
|---|---|---|
| Matrix | 0 | 0 |
| MAE10 | 10 | 1.3 |
| MAE30 | 30 | 4.9 |
| MAE80 | 80 | 32.4 |
Publisher’s Note: MDPI stays neutral with regard to jurisdictional claims in published maps and institutional affiliations. |
© 2021 by the authors. Licensee MDPI, Basel, Switzerland. This article is an open access article distributed under the terms and conditions of the Creative Commons Attribution (CC BY) license (https://creativecommons.org/licenses/by/4.0/).
Share and Cite
Belyaeva, I.A.; Klepp, J.; Lemmel, H.; Shamonin, M. Feasibility of Probing the Filler Restructuring in Magnetoactive Elastomers by Ultra-Small-Angle Neutron Scattering. Appl. Sci. 2021, 11, 4470. https://doi.org/10.3390/app11104470
Belyaeva IA, Klepp J, Lemmel H, Shamonin M. Feasibility of Probing the Filler Restructuring in Magnetoactive Elastomers by Ultra-Small-Angle Neutron Scattering. Applied Sciences. 2021; 11(10):4470. https://doi.org/10.3390/app11104470
Chicago/Turabian StyleBelyaeva, Inna A., Jürgen Klepp, Hartmut Lemmel, and Mikhail Shamonin. 2021. "Feasibility of Probing the Filler Restructuring in Magnetoactive Elastomers by Ultra-Small-Angle Neutron Scattering" Applied Sciences 11, no. 10: 4470. https://doi.org/10.3390/app11104470
APA StyleBelyaeva, I. A., Klepp, J., Lemmel, H., & Shamonin, M. (2021). Feasibility of Probing the Filler Restructuring in Magnetoactive Elastomers by Ultra-Small-Angle Neutron Scattering. Applied Sciences, 11(10), 4470. https://doi.org/10.3390/app11104470

