Next Article in Journal
Effect of Paper Sludge and Dendromass on Properties of Phytomass Pellets
Previous Article in Journal
A Data-Driven Approach of Takagi-Sugeno Fuzzy Control of Unknown Nonlinear Systems
Previous Article in Special Issue
Effect of Passive Support of the Spinal Muscles on the Biomechanics of a Lumbar Finite Element Model
 
 
Font Type:
Arial Georgia Verdana
Font Size:
Aa Aa Aa
Line Spacing:
Column Width:
Background:
Article

Development of a Knee Actuated Exoskeletal Gait Orthosis for Paraplegic Patients with Incomplete Spinal Cord Injury: A Single Case Study

Rehabilitation Engineering Research Institute, Incheon 21419, Korea
*
Author to whom correspondence should be addressed.
Appl. Sci. 2021, 11(1), 58; https://doi.org/10.3390/app11010058
Submission received: 23 November 2020 / Revised: 16 December 2020 / Accepted: 19 December 2020 / Published: 23 December 2020
(This article belongs to the Special Issue Robotic Systems for Biomedical Applications)

Abstract

Gait training for paraplegic patients is effective in preventing various complications due to prolonged sitting. In these patients, the use of powered exoskeletal-gait-orthosis (EGO) consumes lower energy than traditional training methods using non-powered EGO, such as a reciprocating-gait-orthosis (RGO). Thus, long-term training is possible and effective in increasing the activity level of the trunk muscles. However, more than 60% of paraplegic patients have incomplete injuries with residual function, which is inversely related to the functional role of the orthosis. We hypothesized that the gait ability in incomplete paraplegia could be improved by knee joint activation, and we developed a lightweight knee-actuated EGO (KAEGO). We verified its effectiveness in one patient with an incomplete spinal cord injury by comparing the metabolic cost of transport (COT) measured by a six minute walk test to a traditional non-powered EGO. We found that with increasing assist torque to the knee joint, the COT decreased by up to 24.5%, and the gait performance, including walking speed and travel distance, significantly improved up to 37% compared to that of the non-powered EGO. Future studies should verify the KAEGO system’s effectiveness in a larger number of patients with various injury levels.

1. Introduction

Due to the loss of sensory and motor functions of the lower extremities, paraplegic patients often suffer from various complications, such as a decrease in various organs’ functions, including the bladder, nerve and muscle atrophy, cardiovascular, and musculoskeletal diseases. As a rehabilitation treatment for such patients, muscular contractures are minimized, and secondary medical conditions caused by prolonged sitting such as osteoporosis, bedsores, and organ function decline can be improved through standing or regular gait training using a hip–knee–ankle–foot orthosis (HKAFO) or reciprocating-gait-orthosis (RGO) [1,2,3,4].
However, the frequency and duration of training are very important for recovering gait ability in paraplegic patients. Training using a traditional mechanical orthosis requires high energy, making it difficult to train for long periods. As a result, improving the chronic effects of spinal cord injury (SCI) becomes harder [1].
A new treatment strategy that uses an exoskeleton system assisting each joint with electric motors has made promising developments. In particular, walk training was possible for approximately 20–50 min with the HKAFO or RGO, increasing up to 2 h by wearing the powered exoskeleton system [1].
It is also known that the trunk muscle plays an important role in maintaining a sitting or standing position [5]. To increase the activity of these muscles, overground gait training using an exoskeleton robot system appeared more efficient than Lokomat, which repeatedly trains a pre-defined joint trajectory on a treadmill [6].
Figure 1a shows fully powered exoskeleton robots such as the Exso, Rewalk, and HAL, which have been developed to assist daily life activities such as standing, walking, and climbing stairs in paralyzed patients. They are also classified as Class II medical devices by the U.S. Food and Drug Administration (FDA). However, in real-life environments, these robots are very unstable for climbing stairs and have limitations in their wearability because they are heavy and bulky [7]. Additionally, more than 60% of SCI patients are neurologically incomplete [8]. For such incomplete paraplegic patients with some residual muscles, the AAN (assist as needed) [9] approach may be useful. In particular, as the number of residual muscles increases, the functions to be assisted by the orthosis decreases, reducing the size of the exoskeletal gait orthosis (EGO) system [8].
Figure 1b shows an under-actuated exoskeleton system that supports loads and assists in walking using a kinetic energy storage function, and is mainly used to aid the user’s power in industrial sites [9,10]. Figure 1c shows the phoenix developed by Suitx [11] for gait rehabilitation. It has a hip-actuated-exoskeletal-gait orthosis (HAEGO), in which a motor assists only the hip joint, and a mechanical clutch is applied to the knee joint. It does not support higher functions such as climbing stairs, but basic movements, including sitting/standing/walking, are possible. Weighing 12.25 kg, it is lightweight and modular, with the advantage that the patients can wear it by themselves in a wheelchair.
The human knee joint plays an important role in performing most daily activities, such as sitting, standing, and walking. In particular, when the range of the knee’s motion is limited during walking, the patient’s metabolic cost increases because unnatural movements such as hip elevation are accompanied by compensation [12]. Yu et al. have reported that the foot swing acceleration of the active knee joint system is larger than that of the active hip joint system in the swing section after toe-off [13]. Based on these findings, the following two hypotheses were established. Firstly, by assisting the force that accelerates the body forward while walking through knee joint actuation, the user’s metabolic cost can be reduced, and the walking speed can be improved. Secondly, in general, a crutch is an assistive weight-bearing device for propulsion by patients using their arms when walking, but it causes pain in the arms and shoulders with a large energy expenditure [14,15]. Therefore, if the propulsion force is assisted by knee actuation, it is expected that the shoulder and hand pain will be reduced by lowering the dependence on the crutches.
In this study, based on the above hypotheses, a lightweight knee-actuated-exoskeletal-gait orthosis (KAEGO) was developed, as shown in Figure 1d, and applied to an SCI patient with incomplete paraplegia. In addition, to verify the proposed hypotheses, a six minute walking test was performed using the KAEGO system. The metabolic cost, walking speed, and travel distance using the KAEGO were compared with those using a non-powered EGO.
Compared to a non-powered EGO, the use of the KAEGO system improved the overall gait performance, including walking speed, distance, and metabolic cost, with increasing assist torque applied to the knee joint. Based on these results, we are confident that the lightweight and inexpensive partial assistive exoskeleton system can be effectively utilized for gait rehabilitation in incomplete paraplegic patients. In the future, we plan to verify the effectiveness of the proposed system in different injury levels and a larger number of patients.
The remainder of this paper is structured as follows. Section 2 describes the configuration of the KAEGO system, sensor structure, classification of the gait mode, control model, and experimental protocol. Section 3 analyzes the results of the walking experiment, and Section 4 reviews the validity of the proposed hypotheses based on the experimental results.

2. Materials & Methods

2.1. System Configuration of KAEGO

The system configuration of KAEGO developed in this study is shown in Figure 2. It consists of a high-level controller that manages the left and right gait phases from sensor information and a low-level controller that is mounted on each knee actuator module for torque control of the knee. The main controller, sensor, and knee actuator can be easily separated into modules; therefore it is designed to be converted into a non-powered exoskeleton orthosis if necessary. The hip joint is coupled to the waist brace by a bearing with low friction. The adduction/abduction and intra/extra rotation of the hip joint is limited, allowing the patient to move the hip joint forward stably or backward by the upper body motion using an elbow crutch. The waist brace was made of urethane foam to match the patient’s body shape, and its weight was minimized using a carbon composite material. The pelvic link was designed to be detachable from the hip joint. If the pelvic link is connected to the hip joint, the exoskeleton system can be used like an RGO.

2.2. Knee Actuator Module Design

Based on a normal person’s clinical gait analysis, the torque required for the knee joint in one gait cycle is approximately 40 Nm and 15 Nm in the stance and swing sections, respectively [12]. In a paraplegic patient wearing an EGO, crutches are used to walk, which distribute the load on the knee joint during walking. Therefore, the load on the knee joint in this patient will be lower than in a normal person. In this study, to minimize the system’s volume and weight, the actuator output was designed to cover the swing section at a maximum of 20 Nm, and an electric brake was also built in to prevent falls in cases of emergency. Figure 3 shows the developed knee actuation module, and the design specifications are shown in Table 1.
The low-level motion controller is an integrated control module that includes a motor driver and various sensor interfaces and performs torque control of the knee actuation module. In addition, it acts as a sensor interface that transmits the knee and hip joint angle measured from the potentiometer and the inertial measurement unit (IMU), the ground reaction force (GRF) sensor signal, and the motion status parameters of the actuator to the high-level controller through the controller area network (CAN) interface.

2.3. Human Machine Synchronization

In exoskeleton system research, the technology used for motion synchronization with the wearer is very important in terms of the gait training effect and metabolic cost. For accurate motion synchronization, it is necessary to accurately and quickly recognize the wearer’s motion and force, but the generalized human–robot interfacing technology has not yet been developed [13]. For the exoskeleton system to respond more flexibly and rapidly, predicting the joint’s movement in advance is necessary. Among several studies, methods using electromyogram (EMG) [7] or electroencephalography (EEG) [16] signals are representative. However, the muscular EMG signal detector is inconvenient to wear because the sensor is attached to the skin surface, and the method using EEG is still in the research stage and is being developed by various sensor combinations [13].
In this study, motion synchronization between the exoskeleton system and the user was achieved, as shown in Figure 4. While the exoskeleton system detects the user’s intention of walking by using complex sensors such as the ground reaction force (GRF) and IMU sensors, the wearer recognizes the operation state of the exoskeleton system by a buzzer sound and visual feedback. Using this synchronization technique, users can more easily adapt to the motion of the exoskeleton system.

2.4. GRF Sensor Design

In the exoskeleton system, the GRF sensor is related to the wearer’s gait pattern and is widely used because it can directly detect the presence or absence of contact between the foot and the ground [12]. As shown in Figure 5, we developed a GRF sensor module with three load cells attached to the rear foot, mid-foot, and forefoot areas to detect changes in heel contact, mid-stance, and toe-off. The toe and heel signals were designed to have a temporal deviation according to the ground condition around the mid-sensor. For example, on flat ground, the heel signal was temporally ahead of the mid, but when going up a slope, the toe signal was temporally ahead of the mid. The load-cell sensor applied to measure GRF was a half-bridge type low-cost sensor that could measure up to 50 kg each and had repeatability of 0.05 FS.

2.5. Gait Mode Estimation and Finite State Machine Design

In general, walking can be divided into stance and swing sections. In a normal person, walking is clinically divided into several stages, as needed [12]. In this study, to develop a simple and predictable gait control protocol, as shown in Figure 6, the gait mode was classified into four functional modes (SWF: swing flexion, SWE: swing extension, STF: stance flexion, and STE: stance extension).
The patient wearing the EGO first moves the center of gravity to the opposite leg for walking and then uses the trunk muscles to create a hip movement to move the leg. Therefore, the patient’s walking intention can be predicted by the movement of the center of gravity and the hip’s motion.
As shown in Equation (1), the differential values ( G R F d i f f ) of the left and right GRF sensors were extracted to detect the movement of the center of gravity, and the average values ( G R F M H ) of the mid-sensor ( G R F m i d ) and heel-sensor ( G R F h e e l ) were applied as differential data.
G R F d i f f =   G R F M H L   G R F M H R
Figure 7 shows the KAEGO’s finite state machine for gait control developed in this study. The initial state was set to the STE mode, and the knee actuator was driven with high impedance to keep the patient in a standing position.
SWF (mode 1) is the first step in a gait cycle, and when the gait controller detects the patient’s gait intention, it generates a patient-specific knee flexion torque, and a buzzer notifies the patient that the gait mode is switched to swing mode. In addition, the knee angle ( θ k n e e ) is controlled in real-time so as to not exceed the reference value, and when the change in knee angular velocity ( d θ k n e e ) decreases below the reference value, it is switched to the SWE (mode 2). In this mode, a patient-specific extension torque is applied to the knee actuator to extend the flexed knee.
STF (mode 3) is a preparatory step for the impact when the foot touches the ground and is switched when the knee is fully extended or heel contact ( G R F h e e l ) is detected. At this time, the knee actuator acts as a mechanical spring or damper and is driven to minimize the impact applied to the knee joint when contacting the heel.
STE (mode 4) is a mid-stance section, as shown in Figure 5b, where the knee is fully extended, and the sole is parallel to the ground. In this mode, one gait cycle is completed, and if the controller detects the patient’s intention to walk again, the state is switched to SWF, and a new gait cycle is started.

2.6. Control Model

General position-based control is a method that forces the system to follow a specified trajectory. However, a high output torque is required for the system to track motion without dynamic interaction with the user [17]. In contrast, impedance control is a suitable control method for systems that require interaction with the wearer and is widely applied to the development of various rehabilitation assistance systems such as powered knee prostheses and exoskeleton systems [10,13,17]. The more residual muscles the wearer has, the less the load that the exoskeleton system needs to assist, allowing the selection of a low-power actuator, thereby reducing the volume and weight of the system.
Based on previous studies, the output torque required for the knee joint can be expressed as a simple piecewise passive impedance function of linear spring (k) and damping (d) terms (Figure 8) [17,18]. In this study, the output torque τ o u t was defined as a simple passive impedance model composed of user-customized torque τ c u and passive impedance terms, as shown in Equation (2) below, to generate a negative torque in the stance mode and active torque in the swing mode. The user customized load torque changes according to the patient’s body condition and the degree of gait training; mathematical modeling was practically impossible. Therefore, the knee torque profiles for flexion and extension of each gait phase were experimentally set. The user customized torque profile is shown in Figure 8b. Table 2 shows the maximum user-customized load torque and impedance coefficients for each gait mode applied to the 6 min walk test. The mechanical friction of the knee joint was simplified by the Coulomb friction coefficient ( c k ), and the variation in the friction torque according to the angular velocity was ignored.
τ o u t = τ c u + k θ θ e + d θ ˙ +   c k s g n ( θ ˙ ) ,
where θ is the knee angle and θ e is the equilibrium knee angle at each gait mode.

2.7. Experimental Protocol

To verify the effectiveness of the KAEGO system for gait rehabilitation, a 6 min walking test was conducted on one paraplegic patient with incomplete SCI. For the subject’s safety, the experiment was conducted based on guidelines (RERI-IRB-200318-2), pre-approved by the Rehabilitation Engineering Research Institute ethics committee. The patient consented to participate in the study, which was conducted under the guidance of a professional therapist.
The patient who participated in the experiment had been training with the non-powered EGO (RGO) for many years, so he adapted quickly to the new KAEGO system. He was, therefore, a suitable subject for the comparative evaluation of KAEGO with the non-powered orthosis. The characteristics of the subject have been summarized in Table 3.
KAEGO was manufactured by installing two knee actuation modules and a control module with a battery in the non-powered EGO that the subject had been using for training. Accordingly, the weight of KAEGO was 13.85 kg, which was approximately 5.5 kg higher than that of the non-powered orthosis.
The 6 min walking test is widely used to evaluate the physical activity in patients by comparing their metabolic consumption [1,19]. In this study, a walking test was conducted under three conditions: (i) wearing non-powered EGO vs. KAEGO; (ii) setting the knee-assisting torque to approximately 25% (5 Nm); and (iii) approximately 100% (20 Nm) of the rated torque. The detailed user customized torque data for the gait experiment are defined in Table 4. The changes in metabolic cost, walking speed, and the distance traveled in patients with these three EGOs were compared. Before the experiment, the participant trained for 60 min per session, three sessions a week, and for at least 10 sessions to adapt to each system. In addition, a preliminary test was conducted once on the day of the experiment so that the participant could fully understand the protocol. The equipment used in the experiment was K4b2 (Cosmed, Roma Italy) [20], which was used to calculate the metabolic cost by measuring the subject’s oxygen consumption (VO2) and heart rate (HR), as shown in Figure 9a. Figure 9b shows the 60 m track around which the patient walked at a comfortable speed for 6 min and measured the walking energy efficiency. Each experiment was conducted three times.
The metabolic cost of transport (COT) while walking has been applied to quantitatively evaluate the walking efficiency of patients with incomplete SCI and wearing the proposed exoskeleton system [10]. This metabolic COT quantifies the energy required to move an individual or object from one place to another and is widely used as a method for evaluating human walking efficiency [21]. It is calculated by normalizing the total energy to the distance traveled and the total weight. The total energy consumed in the 6 min walking experiment was calculated by measuring the calorie consumption and converting it to energy for 3 min after the stabilization period. The total weight was 81.95 kg, including the patient’s weight, laboratory equipment, and the exoskeleton system. The distance walked was calculated using the average walking speed for 3 min to measure the total energy.

3. Experimental Results

3.1. Knee Joint Motion Control

Figure 10 shows the real-time data for 4 s in the walking test with the maximum knee assist torque set to 100% of the rating. The data confirmed that the proposed gait assist control protocol was well performed. The vertical lines ➀ and ➁ indicate the timing of switching to the right and left swing mode (SWF), respectively. The transition from the stance to the swing session was determined based on the movement of the center of gravity and the hip joint position. The movement of the center of gravity was recognized from the differential signal between the left and right GRF (MH). The pre-defined flexion and extension torque of the knee joint, based on the patient’s condition in the swing session, are represented by ➂ and ➃, respectively.
Figure 11 shows the normalization of the 12 steps on the left and right obtained for approximately 24 s during the walking experiment. The control and sensor data are expressed as the mean and standard deviation based on one walking cycle, and the shaded area on the vertical line indicates the mean and standard deviation at the time of switching to the walking mode.
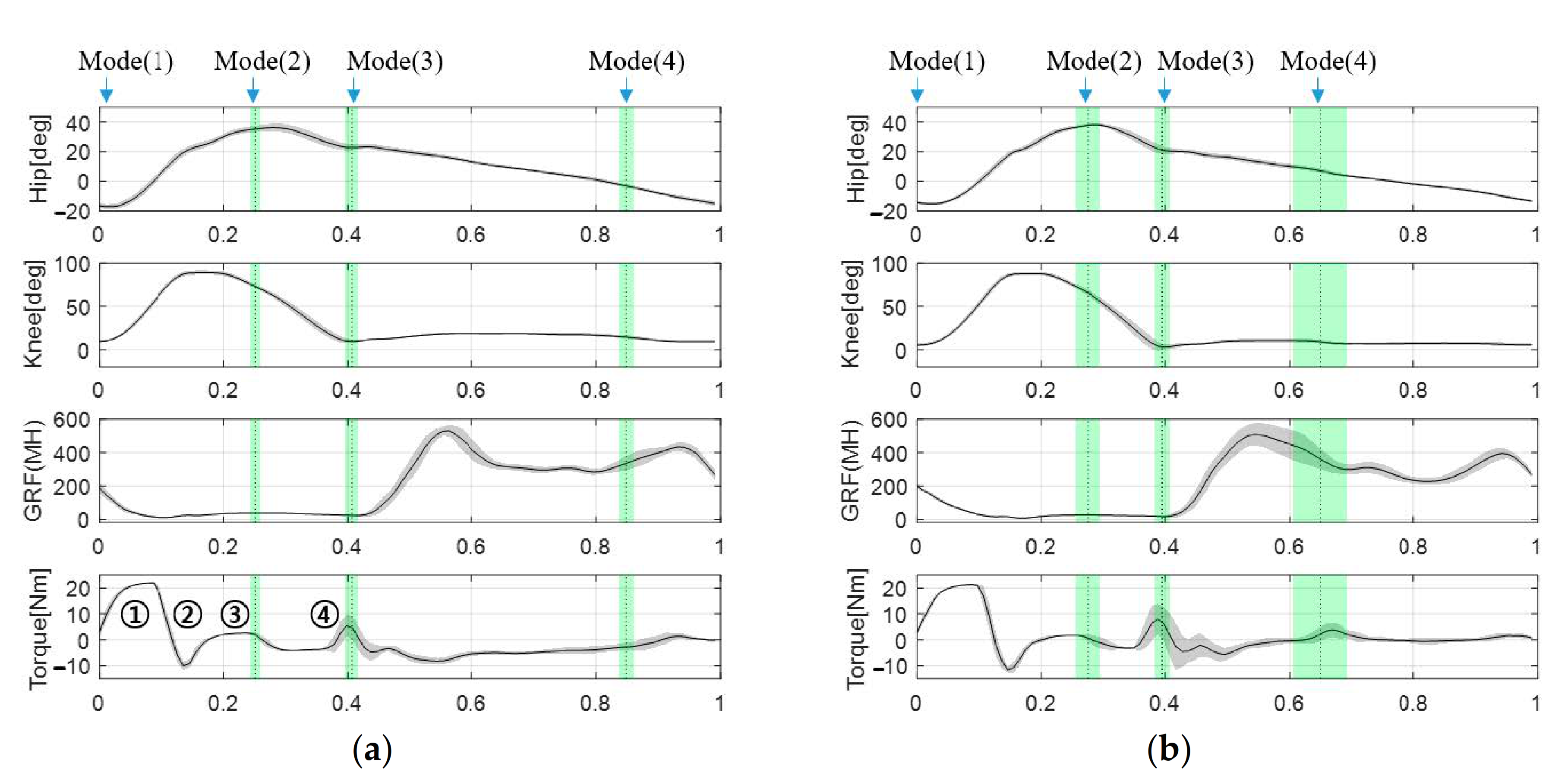
During one left and right walking cycle, the sensor and control state changes were almost the same, indicating that the patient wearing KAEGO was very stable and walked with similar stride lengths. Numbers ➀ and ➂ represent the flexion and extension torque according to the control protocol in the swing session, respectively, and ➁ and ➃ represent the damping torque when the knee joint exceeds the limit angle in flexion and extension motion, respectively.

3.2. Walking Metabolic COT Estimation

Table 5, Table 6 and Table 7 summarize the results of the comparison of metabolic COT between the non-powered EGO, KAEGO (25% rated power), and KAEGO (100% rated power).
Compared to the non-powered EGO in Table 5, the metabolic COT for walking decreased by approximately 16.3% when assisted with 25% of the rated torque and about 24.5% when 100% of the rated torque was applied. As shown in Table 6 and Table 7, when 25% and 100% of the rated torque was applied, the distance traveled increased by 9.8% and 37%, respectively.
Compared to the non-powered EGO, VO2 increased when the assist torque was set to 100% of the rating but decreased at 25% of the rated torque. These findings suggest the role of external factors other than the KAEGO. However, when the proposed exoskeleton system was worn, the heart rate increased by up to 7.8%.

4. Discussion

In this study, we hypothesized that the metabolic cost associated with walking would decrease and walking speed would increase based on the knee joint activation. To verify this hypothesis, a modular knee actuator installed in a non-powered EGO was developed. A walking metabolic cost test demonstrated the effectiveness of the proposed system in one SCI patient with incomplete paraplegia.
We found that when the KAEGO was worn, VO2 and HR showed a small increase, but the distance traveled and walking speed increased significantly. The COT, which indicates the overall energy consumption, decreased by up to 24.5% as the knee assist torque increased. As compare Table 5 and Table 7, despite an increase in weight of 5.5 kg compared to the non-powered EGO, the user’s COT decreased by up to 24%, and the travel distance increased by up to 37%. These findings confirm that the proposed KAEGO system improves the walking energy efficiency in patients with incomplete paraplegia.
The increase in the patient’s HR is presumed to be due to the increase in the weight of the exoskeleton system and the limited freedom of the knee joint due to incomplete synchronization [10]. In addition, because the knee assist torque generates a large motion, a higher level of concentration is required to maintain gait balance, which could be the cause for the increase in the patient’s HR.
The study participant was a 40-year-old man who could walk with a non-powered EGO but was only able to train for less than 20 min per session due to muscle pain in the wrist and shoulder caused by the use of an elbow crutch. However, when using the KAEGO, he felt his dependence on the elbow crutch was reduced due to the knee motion assist, reducing the wrist and shoulder pain. This met the second hypothesis we proposed. As a result, he could train for double the time or more, without much difficulty. In particular, when wearing the non-powered EGO, the patient had to maintain the tension of the residual muscles at all times to prevent sudden flexion of the knee joint in the stance section. However, because KAEGO prevents sudden flexion, the patient felt more stable in the standing position.
In conclusion, the KAEGO is a lightweight and efficient exoskeleton system that is effective in improving gait and rehabilitation of incomplete SCI patients, but has limitations that can only be applied to patients with high trunk muscle activity and voluntary hip motion. In this case, the application of a pelvic-link like RGO can also be considered as a way to supplement the limitations of KAEGO. Additionally, the developed exoskeleton system is not for daily life, but only for gait rehabilitation training, and the training has to be performed under the guidance of at least one professional therapist.
In the follow-up study, an objective evaluation of the changes in the overall gait balance, upper trunk muscle activity, and the elbow crutch’s influence is necessary through 3D gait analysis. In addition, the effectiveness of the proposed system should be further verified in multiple patients with various injury levels.

Author Contributions

Conceptualization, Y.H. and J.-W.L.; methodology, Y.H. and J.-W.L.; software, Y.H. and S.-J.H.; validation, Y.H., H.-S.C. and S.-J.H.; investigation, S.-J.H.; data curation, H.-J.C. and H.-S.C.; writing—original draft preparation, Y.H. and H.-S.C.; writing—review and editing, H.-J.C. and H.-S.C.; visualization, C.-Y.K.; supervision, H.-S.C.; project administration, G.-S.K. All authors have read and agreed to the published version of the manuscript.

Funding

This work was supported by the Korea Medical Device Development Fund grant funded by the Korea government (the Ministry of Science and ICT, the Ministry of Trade, Industry and Energy, the Ministry of Health & Welfare, Republic of Korea, the Ministry of Food and Drug Safety) (Project Number: 202013B01).

Conflicts of Interest

The authors declare no conflict of interest.

References

  1. Miller, L.E.; Zimmermann, A.K.; Herbert, W.G. Clinical effectiveness and safety of powered exoskeleton-assisted walking in patients with spinal cord injury: Systematic review with meta-analysis. Med. Devices Évid. Res. 2016, 9, 455–466. [Google Scholar] [CrossRef] [PubMed]
  2. Baunsgaard, C.B.; Nissen, U.V.; Brust, A.K.; Frotzler, A.; Ribeill, C.; Kalke, Y.-B.; León, N.; Gómez, B.; Samuelsson, K.; Antepohl, W.; et al. Exoskeleton gait training after spinal cord injury: An exploratory study on secondary health conditions. J. Rehabil. Med. 2018, 50, 806–813. [Google Scholar] [CrossRef] [PubMed]
  3. Sun, J.-L.; Zhong, S.-Z.; Ouyang, Y.-T.; Tang, D.; Xian, Q.-L. Beneficial effects of reciprocating gait orthosis on bladder and bowel functions in paraplegia patients. J. South. Med. Univ. 2008, 28, 1019–1021. [Google Scholar]
  4. Hicks, A.L.; Ginis, K.A.M.; Pelletier, C.A.; Ditor, D.S.; Foulon, B.; Wolfe, D.L. The effects of exercise training on physical capacity, strength, body composition and functional performance among adults with spinal cord injury: A systematic review. Spinal Cord 2011, 49, 1103–1127. [Google Scholar] [CrossRef] [PubMed]
  5. Chen, C.-L.; Yeung, K.-T.; Bih, L.-I.; Wang, C.-H.; Chen, M.-I.; Chien, J.-C. The relationship between sitting stability and functional performance in patients with paraplegia. Arch. Phys. Med. Rehabil. 2003, 84, 1276–1281. [Google Scholar] [CrossRef]
  6. Alamro, R.A.; Chisholm, A.E.; Williams, A.M.M.; Carpenter, M.G.; Lam, T. Overground walking with a robotic exoskeleton elicits trunk muscle activity in people with high-thoracic motor-complete spinal cord injury. J. Neuroeng. Rehabil. 2018, 15, 109. [Google Scholar] [CrossRef] [PubMed]
  7. Nitschke, J.; Kuhn, D.; Fischer, K.; Röhl, K. Comparison of the Usability of the ReWalk, Ekso and HAL Exoskeletons in a Clinical Setting. Orthop. Tech. 2014, 9, 22–26. [Google Scholar]
  8. Auberger, R.; Russold, M.F.; Riener, R.; Dietl, H. Patient Motion Using a Computerized Leg Brace in Everyday Locomotion Tasks. IEEE Trans. Med Robot. Bionics 2019, 1, 106–114. [Google Scholar] [CrossRef]
  9. Cao, J.; Xie, S.; Das, R.; Zhu, G.L. Control strategies for effective robot assisted gait rehabilitation: The state of art and future prospects. Med. Eng. Phys. 2014, 36, 1555–1566. [Google Scholar] [CrossRef] [PubMed]
  10. Walsh, C.J.; Endo, K.; Herr, H.M. A quasi-passive leg exoskeleton for load-carrying augmentation. Int. J. Hum. Robot. 2007, 4, 487–506. [Google Scholar] [CrossRef]
  11. PHOENIX Medical Exoskeleton. Available online: https://www.suitx.com/phoenix-medical-exoskeleton (accessed on 23 December 2020).
  12. Chen, B.; Zi, B.; Wang, Z.; Qin, L.; Liao, W.-H. Knee exoskeletons for gait rehabilitation and human performance augmentation: A state-of-the-art. Mech. Mach. Theory 2019, 134, 499–511. [Google Scholar] [CrossRef]
  13. Yu, S.N.; Lee, H.; Kim, W.; Han, C. Development of an underactuated exoskeleton for effective walking and load-carrying assist. Adv. Robot. 2016, 30, 535–551. [Google Scholar] [CrossRef]
  14. Bradley, S.M.; Hernandez, C.R. Geriatric assistive devices. Am. Fam. Physician 2011, 84, 405–411. [Google Scholar]
  15. Common Problems with Crutches and What to Do about Them. Available online: https://iwalk-free.com/blog/common-problems-with-crutches/ (accessed on 23 December 2020).
  16. Rajasekaran, V.; Lopez-Larraz, E.; Trincado-Alonso, F.; Aranda, J.; Montesano, L.; Del Ama, A.J.; Pons, J.L. Volition-adaptive control for gait training using wearable exoskeleton: Preliminary tests with incomplete spinal cord injury individuals. J. Neuroeng. Rehabil. 2018, 15, 1–15. [Google Scholar] [CrossRef] [PubMed]
  17. Sup, F.; Bohara, A.; Goldfarb, M. Design and Control of a Powered Transfemoral Prosthesis. Int. J. Robot. Res. 2008, 27, 263–273. [Google Scholar] [CrossRef] [PubMed]
  18. Sup, F.C.; Varol, H.A.; Mitchell, J.; Withrow, T.J.; Goldfarb, M. Design and control of an active electrical knee and ankle prosthesis. In Proceedings of the 2008 2nd IEEE RAS & EMBS International Conference on Biomedical Robotics and Biomechatronics, Scottsdale, AZ, USA, 19–22 October 2008; Volume 2008, pp. 523–528. [Google Scholar]
  19. ATS Committee on Proficiency Standards for Clinical Pulmonary Function Laboratories ATS Statement: Guidelines for the Six-Minute Walk Test. Am. J. Respir. Crit. Care Med. 2002, 166, 111–117. [CrossRef] [PubMed]
  20. McLaughlin, J.E.; King, G.A.; Howley, E.T.; Bassett, J.D.R.; Ainsworth, B.E. Validation of the COSMED K4 b2 Portable Metabolic System. Int. J. Sports Med. 2001, 22, 280–284. [Google Scholar] [CrossRef] [PubMed]
  21. Cost of Transport. Available online: https://en.wikipedia.org/wiki/Cost_of_transport (accessed on 23 December 2020).
Figure 1. A brief classification of powered exoskeleton gait orthosis systems: (a) Fully powered exoskeleton with hip knee or hip knee ankle actuation; (b) Quasi passive exoskeleton with actuated or damped knee joint where the hip and ankle joint are connected with spring components; (c) Hip actuated exoskeletal gait orthosis with a clutch or damped knee joint; and (d) Knee actuated exoskeletal gait orthosis with passive hip joint.
Figure 1. A brief classification of powered exoskeleton gait orthosis systems: (a) Fully powered exoskeleton with hip knee or hip knee ankle actuation; (b) Quasi passive exoskeleton with actuated or damped knee joint where the hip and ankle joint are connected with spring components; (c) Hip actuated exoskeletal gait orthosis with a clutch or damped knee joint; and (d) Knee actuated exoskeletal gait orthosis with passive hip joint.
Applsci 11 00058 g001
Figure 2. The system configuration of the knee activated exoskeletal gait orthosis. (a,b) is the front and rear side view of the developed orthosis system respectively. The control system consists of high level and low level controllers. The gait phase is controlled by a high level controller and detailed control signals are generated by low level controllers. The developed system can be used like a reciprocating-gait-orthosis (RGO) by using the pelvic-link. (c) shows a paraplegic patient perform gait training wearing the developed system.
Figure 2. The system configuration of the knee activated exoskeletal gait orthosis. (a,b) is the front and rear side view of the developed orthosis system respectively. The control system consists of high level and low level controllers. The gait phase is controlled by a high level controller and detailed control signals are generated by low level controllers. The developed system can be used like a reciprocating-gait-orthosis (RGO) by using the pelvic-link. (c) shows a paraplegic patient perform gait training wearing the developed system.
Applsci 11 00058 g002
Figure 3. The developed knee actuation module. (a) Mechanical design of the knee actuator, and (b) the manufactured actuator module and low-level motion controller with sensor interface.
Figure 3. The developed knee actuation module. (a) Mechanical design of the knee actuator, and (b) the manufactured actuator module and low-level motion controller with sensor interface.
Applsci 11 00058 g003
Figure 4. The applied human–machine synchronization concept. The exoskeleton system detects human motion using several sensors, but the person can indirectly detect the exoskeleton’s motion by the buzzer sound and visual feedback.
Figure 4. The applied human–machine synchronization concept. The exoskeleton system detects human motion using several sensors, but the person can indirectly detect the exoskeleton’s motion by the buzzer sound and visual feedback.
Applsci 11 00058 g004
Figure 5. The developed GRF sensor module. (a) The sensor configuration with three load cells; and (b) an example of sensor signal outputs and gait mode identification.
Figure 5. The developed GRF sensor module. (a) The sensor configuration with three load cells; and (b) an example of sensor signal outputs and gait mode identification.
Applsci 11 00058 g005
Figure 6. Classification of exoskeleton orthosis gait into four functional modes for level walking.
Figure 6. Classification of exoskeleton orthosis gait into four functional modes for level walking.
Applsci 11 00058 g006
Figure 7. The finite state machine for the developed exoskeletal orthosis gait control. The gait transition starts from the STE (Stance Extension) mode, where θ H i p * is the opposite side hip angle.
Figure 7. The finite state machine for the developed exoskeletal orthosis gait control. The gait transition starts from the STE (Stance Extension) mode, where θ H i p * is the opposite side hip angle.
Applsci 11 00058 g007
Figure 8. Control model for the knee joint. (a) A simple passive impedance model and the joint angle direction, and (b) The user-customized torque profile.
Figure 8. Control model for the knee joint. (a) A simple passive impedance model and the joint angle direction, and (b) The user-customized torque profile.
Applsci 11 00058 g008
Figure 9. The 6 min walking test to compare the metabolic cost between EGO and KAEGO. (a) Walking test for measuring the subject’s oxygen consumption VO2 and heart rate using K4b2, and (b) 60 m track used for the walking test.
Figure 9. The 6 min walking test to compare the metabolic cost between EGO and KAEGO. (a) Walking test for measuring the subject’s oxygen consumption VO2 and heart rate using K4b2, and (b) 60 m track used for the walking test.
Applsci 11 00058 g009
Figure 10. The control and sensor data from the walking test. Shown are the data collected for 4 s in the walking test with the knee output torque set at 100% level: Numbers ➀ and ➁ represent the point at which the left and right gait transitions from stance to swing based on GRF differential signal from the left and right sides. Numbers ➂ and ➃ represent knee flexion and extension torque output in the swing sections of the left and right sides.
Figure 10. The control and sensor data from the walking test. Shown are the data collected for 4 s in the walking test with the knee output torque set at 100% level: Numbers ➀ and ➁ represent the point at which the left and right gait transitions from stance to swing based on GRF differential signal from the left and right sides. Numbers ➂ and ➃ represent knee flexion and extension torque output in the swing sections of the left and right sides.
Applsci 11 00058 g010
Figure 11. Normalized GRF, control torque output, and joint motion variation during a gait cycle. Vertical dotted lines and the shaded area represent the mean and standard deviation of the gait mode transition timing. Numbers ➀➁➂➃ represent flexion torque, damping torque for knee flexion, extension torque, and the damping torque for knee extension, respectively. (a) the left side gait cycle, and (b) the right side gait cycle.
Figure 11. Normalized GRF, control torque output, and joint motion variation during a gait cycle. Vertical dotted lines and the shaded area represent the mean and standard deviation of the gait mode transition timing. Numbers ➀➁➂➃ represent flexion torque, damping torque for knee flexion, extension torque, and the damping torque for knee extension, respectively. (a) the left side gait cycle, and (b) the right side gait cycle.
Applsci 11 00058 g011
Table 1. Specifications of the developed knee actuation module.
Table 1. Specifications of the developed knee actuation module.
ParametersUnitKnee Actuator
Rated motor powerW103
Harmonic gear ratio 51:1
Continuous stall torque (geared)Nm0.39 (19.9)
Range of motiondeg120
Total weightkg2.25
Table 2. Impedance parameters for the four gait modes using the knee-actuated-exoskeletal-gait orthosis (KAEGO).
Table 2. Impedance parameters for the four gait modes using the knee-actuated-exoskeletal-gait orthosis (KAEGO).
ParametersSWFSWESTFSTE
kNm/deg000.720.72
dNms/deg000.1430.143
θ e deg80101010
τ c u Nm(max.)20−500
Table 3. Characteristics of the patient with an incomplete spinal cord injury (SCI).
Table 3. Characteristics of the patient with an incomplete spinal cord injury (SCI).
Gen.AgeHeightWeightInjury LevelASIAOnset
M45163 cm66 kgL1C2004
Table 4. The user customized torque profile definitions for the gait experiment.
Table 4. The user customized torque profile definitions for the gait experiment.
Rising
Time (ms)
Peak
Time (ms)
Falling
Time (ms)
Max.
Torque (Nm)
Min.
Torque (Nm)
25% assist50205052.5
100% assist5015050200.5
Table 5. Metabolic cost estimation following the 6 min walking test wearing non-powered EGO.
Table 5. Metabolic cost estimation following the 6 min walking test wearing non-powered EGO.
TrialCOTVelocity
(m/s)
VO2
(mL/min/Kg)
HR
(bpm)
Distance
Traveled (m)
110.60.4414.9115.9159.4
210.40.4415.2114.3160.3
311.00.4114.8113.3154.4
Mean ± SD10.6 ± 0.20.43 ± 0.0115.0 ± 0.2114.5 ± 1.1158.0 ± 2.6
Table 6. Metabolic cost estimation following the 6 min walking test wearing KAEGO with 25% rated power.
Table 6. Metabolic cost estimation following the 6 min walking test wearing KAEGO with 25% rated power.
TrialCOTVelocity
(m/s)
VO2
(mL/min/Kg)
HR
(bpm)
Distance
Traveled (m)
19.50.4815.8130.5170.3
28.70.4914.4120.8172.3
38.50.5014.3119.1178.0
Mean ± SD8.9 ± 0.40.49 ± 0.0114.8 ± 0.7123.5 ± 5.0173.5 ± 3.3
Table 7. Metabolic cost estimation following the 6 min walking test wearing KAEGO with 100% rated power.
Table 7. Metabolic cost estimation following the 6 min walking test wearing KAEGO with 100% rated power.
TrialCOTVelocity
(m/s)
VO2
(mL/min/Kg)
HR
(bpm)
Distance
Traveled (m)
18.00.5815.0117.7209
28.30.5816.0124.8213.3
37.80.6216.2127.6227
Mean ± SD8.0 ± 0.20.59 ± 0.0215.7 ± 0.5123.4 ± 4.1216.4 ± 7.7
Publisher’s Note: MDPI stays neutral with regard to jurisdictional claims in published maps and institutional affiliations.

Share and Cite

MDPI and ACS Style

Heo, Y.; Choi, H.-J.; Hwang, S.-J.; Lee, J.-W.; Kwon, C.-Y.; Cho, H.-S.; Kim, G.-S. Development of a Knee Actuated Exoskeletal Gait Orthosis for Paraplegic Patients with Incomplete Spinal Cord Injury: A Single Case Study. Appl. Sci. 2021, 11, 58. https://doi.org/10.3390/app11010058

AMA Style

Heo Y, Choi H-J, Hwang S-J, Lee J-W, Kwon C-Y, Cho H-S, Kim G-S. Development of a Knee Actuated Exoskeletal Gait Orthosis for Paraplegic Patients with Incomplete Spinal Cord Injury: A Single Case Study. Applied Sciences. 2021; 11(1):58. https://doi.org/10.3390/app11010058

Chicago/Turabian Style

Heo, Yoon, Hyuk-Jae Choi, Seok-Jin Hwang, Jong-Won Lee, Chil-Yong Kwon, Hyeon-Seok Cho, and Gyoo-Suk Kim. 2021. "Development of a Knee Actuated Exoskeletal Gait Orthosis for Paraplegic Patients with Incomplete Spinal Cord Injury: A Single Case Study" Applied Sciences 11, no. 1: 58. https://doi.org/10.3390/app11010058

APA Style

Heo, Y., Choi, H.-J., Hwang, S.-J., Lee, J.-W., Kwon, C.-Y., Cho, H.-S., & Kim, G.-S. (2021). Development of a Knee Actuated Exoskeletal Gait Orthosis for Paraplegic Patients with Incomplete Spinal Cord Injury: A Single Case Study. Applied Sciences, 11(1), 58. https://doi.org/10.3390/app11010058

Note that from the first issue of 2016, this journal uses article numbers instead of page numbers. See further details here.

Article Metrics

Back to TopTop