Structure, Magnetic Property, Surface Morphology, and Surface Energy of Co40Fe40V10B10 Films on Si(100) Substrate
Abstract
1. Introduction
2. Materials and Methods
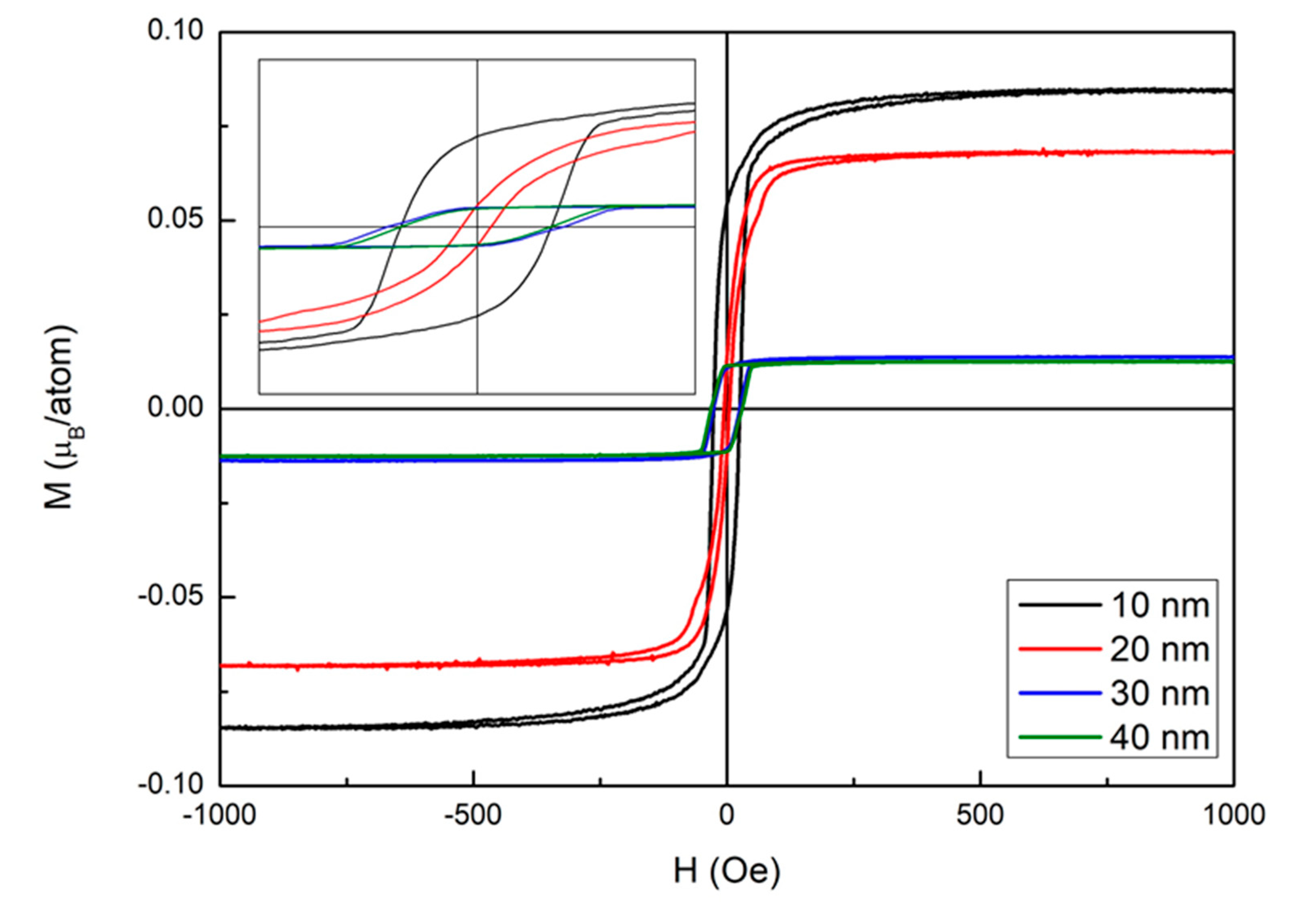
3. Results
4. Conclusions
Author Contributions
Funding
Conflicts of Interest
References
- Ohshima, N.; Sato, H.; Kanai, S.; Llandro, J.; Fukami, S.; Matsukura, F.; Ohno, H. Current-induced magnetization switching in a nano-scale CoFeB-MgO magnetic tunnel junction under in-plane magnetic field. AIP Adv. 2017, 7, 055927. [Google Scholar] [CrossRef]
- Siripongsakul, T.; Naganuma, H.; Kovacs, A.; Kohn, A.; Oogane, M.; Ando, Y. Observation of single-spin transport in an island-shaped CoFeB double magnetic tunnel junction prepared by magnetron sputtering. Philos. Mag. 2016, 96, 310–319. [Google Scholar] [CrossRef]
- Hamada, T.; Ohno, T.; Maekawa, S. First-principles study of electronic and magnetic structures of CoFeB|Ta and CoFe|TaB heterostructures. Mol. Phys. 2015, 113, 314–318. [Google Scholar] [CrossRef]
- Sun, J.Z. Resistance-area product and size dependence of spin-torque switching efficiency in CoFeB-MgO based magnetic tunnel junctions. Phys. Rev. B. 2017, 96, 064437. [Google Scholar] [CrossRef]
- Lu, J.W.; Chen, E.; Kabir, M.; Stan, M.R.; Wolf, S.A. Spintronics technology: Past, present and future. Int. Mater. Rev. 2016, 61, 456–472. [Google Scholar] [CrossRef]
- Meo, A.; Chureemart, P.; Wang, S.; Chepulskyy, R.; Apalkov, D.; Chantrell, R.W.; Evans, L.R.F. Thermally nucleated magnetic reversal in CoFeB/MgO nanodots. Sci. Rep. 2017, 7, 16729. [Google Scholar] [CrossRef] [PubMed]
- Xiong, R.; Fang, B.; Li, G.; Xiao, Y.; Tang, M.; Li, Z. Electric-field tuning of ferromagnetic resonance in CoFeB/MgO magnetic tunnel junction on a piezoelectric PMN-PT substrate. Appl. Phys. Lett. 2017, 111, 062401. [Google Scholar] [CrossRef]
- Okada, A.; Kanai, S.; Fukami, S.; Sato, H.; Ohno, H. Electric-field effect on the easy cone angle of the easy-cone state in CoFeB/MgO investigated by ferromagnetic resonance. Appl. Phys. Lett. 2018, 112, 172402. [Google Scholar] [CrossRef]
- Cao, J.; Chen, Y.; Jin, T.; Gan, W.; Wang, Y.; Zheng, Y.; Lv, H.; Cardoso, S.; Wei, D.; Lew, W.S. Spin orbit torques induced magnetization reversal through asymmetric domain wall propagation in Ta/CoFeB/MgO structures. Sci. Rep. 2018, 8, 1355–1359. [Google Scholar] [CrossRef]
- Bibes, M.; Villegas, J.E.; Barthélémy, A. Ultrathin oxide films and interfaces for electronics and spintronics. Adv. Phys. 2011, 60, 5–84. [Google Scholar]
- Igarashi, J.; Llandro, J.; Sato, H.; Matsukura, F.; Ohno, H. Magnetic-field-angle dependence of coercivity in CoFeB/MgO magnetic tunnel junctions with perpendicular easy axis. Appl. Phys. Lett. 2017, 111, 132407. [Google Scholar] [CrossRef]
- Dohi, T.; Kanai, S.; Matsukura, F.; Ohno, H. Electric-field effect on spin-wave resonance in a nanoscale CoFeB/MgO magnetic tunnel junction. Appl. Phys. Lett. 2017, 111, 072403. [Google Scholar] [CrossRef]
- Lattery, D.M.; Zhang, D.; Zhu, J.; Hang, X.; Wang, J.P.; Wang, X. Low Gilbert Damping Constant in Perpendicularly Magnetized W/CoFeB/MgO Films with High Thermal Stability. Sci. Rep. 2018, 8, 13395–13399. [Google Scholar] [CrossRef] [PubMed]
- Ichikawa, N.; Dohi, T.; Okada, A.; Sato, H.; Fukami, S.; Ohno, H. Non-linear variation of domain period under electric field in demagnetized CoFeB/MgO stacks with perpendicular easy axis. Appl. Phys. Lett. 2018, 112, 202402. [Google Scholar] [CrossRef]
- Huai, Y.; Gan, H.; Wang, Z.; Xu, P.; Hao, X.; Yen, B.K.; Malmhall, R.; Pakala, N.; Wang, C.; Zhang, J.; et al. High performance perpendicular magnetic tunnel junction with Co/Ir interfacial anisotropy for embedded and standalone STT-MRAM applications. Appl. Phys. Lett. 2018, 112, 092402. [Google Scholar] [CrossRef]
- Ikeda, S.; Miura, K.; Yamamoto, H.; Mizunuma, K.; Gan, H.D.; Endo, M.; Kanai, S.; Hayakawa, J.; Matsukura, F.; Ohno, H. A perpendicular-anisotropy CoFeB–MgO magnetic tunnel junction. Nat. Mater. 2010, 9, 721–724. [Google Scholar] [CrossRef] [PubMed]
- Liu, W.J.; Chen, Y.T.; Chang, Y.H.; Chiang, M.R.; Li, W.H.; Tseng, J.Y.; Chi, P.W.; Wu, T.H. Structure and Magnetic Properties of Co40Fe40V20 Thin Films. J. Nanosci. Nanotechnol. 2019, 19, 5974–5978. [Google Scholar] [CrossRef]
- Chen, Y.T.; Chang, Y.H.; Liu, W.J.; Liang, W.C.; Chan, W.H.; Wang, Y.T.; Wu, T.H. Ta and Ru seed layers effect on the magnetic and optical properties of Ru/ Co60Fe20V20 and Ta/Co60Fe20V20 films. J. Magn. Magn. Mater. 2018, 464, 112–115. [Google Scholar] [CrossRef]
- Zheng, C.; Li, X.; Shull, R.D.; Chen, P.J.; Pong, P.W.T. Comprehensive noise characterisation of magnetic tunnel junction sensors for optimising sensor performance and temperature detection. Mater. Res. Innov. 2015, 19, 553–557. [Google Scholar] [CrossRef]
- Morón, C.; Cabrera, C.; Morón, A.; Garcia, A.; González, M. Magnetic sensors based on amorphous ferromagnetic materials: A review. Sensors 2015, 15, 28340–28366. [Google Scholar] [CrossRef]
- Kantar, E. Composition, temperature and geometric dependent hysteresis behaviours in Ising-type segmented nanowire with magnetic and diluted magnetic, and its soft/hard magnetic characteristics. Philos. Mag. B 2017, 97, 431–450. [Google Scholar] [CrossRef]
- Chen, C.W. Metallurgy and Magnetic Properties of an Fe-Co-V Alloy. J. Appl. Phys. 1961, 32, S348–S355. [Google Scholar] [CrossRef]
- George, E.P.; Gubbi, A.N.; Baker, I.; Robertson, L. Mechanical properties of soft magnetic FeCo alloysMater. Sci. Eng. A 2002, 329, 325–333. [Google Scholar] [CrossRef]
- Ma, K.; Chung, T.S.; Good, R.J. Surface energy of thermotropic liquid crystalline polyesters and polyesteramide. J. Polym. Sci. 1998, 36, 2327–2337. [Google Scholar] [CrossRef]
- Owens, D.K.; Wendt, R.C. Estimation of the surface free energy of polymers. J. Appl. Polym. Sci. 1969, 13, 1741–1747. [Google Scholar] [CrossRef]
- Kaelble, D.H.; Uy, K.C. A Reinterpretation of Organic Liquid-Polytetrafluoroethylene Surface Interactions. J. Adhens. 1970, 2, 50–60. [Google Scholar] [CrossRef]
- Maruyama, S.; Kurashige, T.; Matsumoto, S.; Yamaguchi, Y.; Kimura, T. Liquid droplet in contact with a solid surface. Microscale Thermophys. Eng. 1998, 2, 49–62. [Google Scholar]
- Cullity, B.D. Elements of X-ray Diffraction, 2nd ed.; Addison-Wesley: Boston, MA, USA, 1978. [Google Scholar]
- Ghaferi, Z.; Sharafi, S.; Bahrololoom, M.E. The role of electrolyte pH on phase evolution and magnetic properties of CoFeW codeposited films. Appl. Sur. Sci. 2016, 375, 35–41. [Google Scholar] [CrossRef]
- Ikeda, H.; Iwai, M.; Nakajima, D.; Kikuchi, T.; Natsui, S.; Sakaguchi, N.; Suzuki, R.O. Nanostructural characterization of ordered gold particle arrays fabricated via aluminum anodizing, sputter coating, and dewetting. Appl. Sur. Sci. 2019, 465, 747–753. [Google Scholar] [CrossRef]
- Yamazaki, T.; Ikeda, N.; Tawara, H.; Sato, M. Investigation of composition uniformity of MoSix sputtering films based on measurement of angular distribution of sputtered atoms. Thin Solid Films 1993, 235, 71–75. [Google Scholar] [CrossRef]
- Sakita, A.M.P.; Passamani, E.C.; Kumar, H.; Cornejo, D.R.; Fugivara, C.S.; Noce, R.D.; Benedetti, A.V. Influence of current density on crystalline structure and magnetic properties of electrodeposited Co-rich CoNiW alloys. Mater. Chem. Phys. 2013, 141, 576–581. [Google Scholar] [CrossRef]
- Mehrizi, S.; Sohi, M.H.; Ebrahimi, S.A.S. Study of microstructure and magnetic properties of electrodeposited nanocrystalline CoFeNiCu thin films. Surf. Coat. Technol. 2011, 205, 4757–4763. [Google Scholar] [CrossRef]
- Sharifati, A.; Sharafi, S. Structure and magnetic properties of mechanically alloyed (Fe70Co30)91Cu9 powder. Mater. Des. 2012, 36, 35–40. [Google Scholar] [CrossRef]
- Khajepour, M.; Sharafi, S. Structural and magnetic properties of nanostructured Fe50(Co50)–6.5 wt% Si powder prepared by high energy ball milling. J. Alloys Compd. 2011, 509, 7729–7737. [Google Scholar] [CrossRef]
- Xu, S.T.; Ma, Y.Q.; Zheng, G.H.; Dai, Z.X. Simultaneous effects of surface spins: Rarely large coercivity, high remanence magnetization and jumps in the hysteresis loops observed in CoFe2O4 nanoparticles. Nanoscale 2015, 7, 6520–6526. [Google Scholar] [CrossRef]
- Muroi, M.; Street, R.; McCormick, P.G.; Amighian, J. Magnetic properties of ultrafine MnFe2O4 powders prepared by mechanochemical processing. Phys. Rev. B 2001, 63, 184414. [Google Scholar] [CrossRef]
- Yang, S.Y.; Chien, J.J.; Wang, W.C.; Yu, C.Y.; Hing, N.S.; Hong, H.E.; Hong, C.Y.; Yang, H.C.; Chang, C.F.; Lin, H.Y. Magnetic nanoparticles for high-sensitivity detection on nucleicacidsvia superconducting quantum-interference device basedimmunomagnetic reduction assay. J. Magn. Magn. Mater. 2011, 323, 681–685. [Google Scholar] [CrossRef]
- Chen, Y.T.; Xie, S.M.; Jheng, H.Y. The low-frequency alternative-current magnetic susceptibility and electrical properties of Si(100)/Fe40Pd40B20(X Å)/ZnO(500 Å) and Si(100)/ZnO(500 Å)/Fe40Pd40B20(Y Å) systems. J. Appl. Phys. 2013, 113, 17B303. [Google Scholar] [CrossRef]
- Choe, G.; Steinback, M. Surface roughness effects on magnetoresistive and magnetic properties of NiFe thin films. J. Appl. Phys. 1999, 85, 5777–5779. [Google Scholar] [CrossRef]
- Bhatia, G.; Srivastava, A.; Srivastava, C.P. Effect of ion irradiation on magnetic property of exchange coupled interfacial structures of Fe/NiO and NiO/Fe on Si substrates. Radiat. Eff. Defects Solids 2014, 169, 529–537. [Google Scholar]
- Kong, S.H.; Okamoto, T.; Nakagawa, S. [Ni-Fe/Si] double seedlayer with low surface energy for Fe-Co-B soft magnetic underlayer with high Hk for perpendicular magnetic recording media. IEEE Trans. Magn. 2004, 40, 2389–2391. [Google Scholar] [CrossRef]
- Porter, D.A.; Easterling, K.E. Phase Transformations in Metals and Alloy, 2nd ed.; CRC Press: London, UK, 1992. [Google Scholar]









| CoFeVB (nm) | Co (at%) | Fe (at%) | V (at%) |
|---|---|---|---|
| 10 | 32.02 | 33.66 | 34.32 |
| 20 | 32.44 | 32.92 | 34.64 |
| 30 | 30.51 | 31.75 | 37.74 |
| 40 | 20.52 | 29.61 | 49.87 |
© 2020 by the authors. Licensee MDPI, Basel, Switzerland. This article is an open access article distributed under the terms and conditions of the Creative Commons Attribution (CC BY) license (http://creativecommons.org/licenses/by/4.0/).
Share and Cite
Ou, S.-L.; Liu, W.-J.; Chang, Y.-H.; Chen, Y.-T.; Wang, Y.-T.; Li, W.-H.; Tseng, J.-Y.; Wu, T.-H.; Chi, P.-W.; Chu, C.-L. Structure, Magnetic Property, Surface Morphology, and Surface Energy of Co40Fe40V10B10 Films on Si(100) Substrate. Appl. Sci. 2020, 10, 449. https://doi.org/10.3390/app10020449
Ou S-L, Liu W-J, Chang Y-H, Chen Y-T, Wang Y-T, Li W-H, Tseng J-Y, Wu T-H, Chi P-W, Chu C-L. Structure, Magnetic Property, Surface Morphology, and Surface Energy of Co40Fe40V10B10 Films on Si(100) Substrate. Applied Sciences. 2020; 10(2):449. https://doi.org/10.3390/app10020449
Chicago/Turabian StyleOu, Sin-Liang, Wen-Jen Liu, Yung-Huang Chang, Yuan-Tsung Chen, Yu-Tang Wang, Wei-Hsuan Li, Jiun-Yi Tseng, Te-Ho Wu, Po-Wei Chi, and Chun-Lin Chu. 2020. "Structure, Magnetic Property, Surface Morphology, and Surface Energy of Co40Fe40V10B10 Films on Si(100) Substrate" Applied Sciences 10, no. 2: 449. https://doi.org/10.3390/app10020449
APA StyleOu, S.-L., Liu, W.-J., Chang, Y.-H., Chen, Y.-T., Wang, Y.-T., Li, W.-H., Tseng, J.-Y., Wu, T.-H., Chi, P.-W., & Chu, C.-L. (2020). Structure, Magnetic Property, Surface Morphology, and Surface Energy of Co40Fe40V10B10 Films on Si(100) Substrate. Applied Sciences, 10(2), 449. https://doi.org/10.3390/app10020449

