Different Gene Expression Response of Polish and Australian Raphidiopsis raciborskii Strains to the Chill/Light Stress
Abstract
1. Introduction
2. Materials and Methods
2.1. Strains
2.2. Experimental Condition
2.3. RNA Isolation and cDNA Synthesis
2.4. Real-Time PCR
2.5. Real-Time PCR Results Analysis
2.6. Statistical Analyses
3. Results
3.1. Growth Pattern
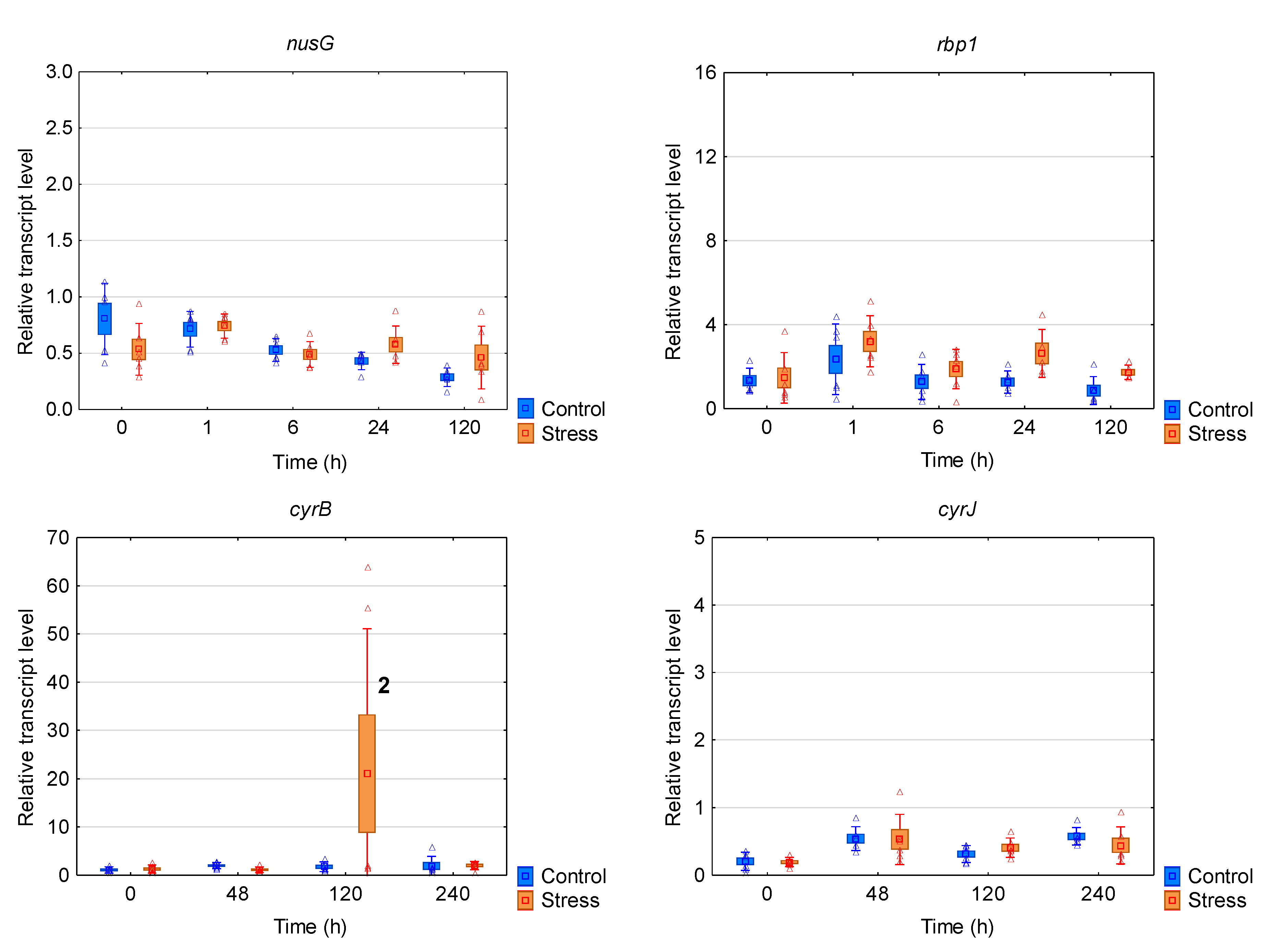
3.2. Gene Expression
4. Discussion
5. Conclusions
Author Contributions
Funding
Conflicts of Interest
References
- Chorus, I.; Bartram, J. Toxic Cyanobacteria in Water: A Guide to Their Public Health Consequences, Monitoring and Management; Chorus, I., Bertram, J., Eds.; E & FN Spon: London, UK, 1999; pp. 1–416. [Google Scholar]
- Burford, M.A.; Beardall, J.; Willis, A.; Orr, P.T.; Magalhaes, V.F.; Rangel, L.M.; Azevedo, S.M.F.O.E.; Neilan, B.A. Understanding the winning strategies used by the bloom-forming cyanobacterium Cylindrospermopsis raciborskii. Harmful Algae 2016, 54, 44–53. [Google Scholar] [CrossRef]
- Burford, M.A.; Willis, A.; Chuang, A.; Man, X.; Orr, P.T. Recent insights into physiological responses to nutrients by the cylindrospermopsin producing cyanobacterium, Cylindrospermopsis raciborskii. J. Ocean. Limnol. 2018, 36, 1032–1039. [Google Scholar] [CrossRef]
- Poniedziałek, B.; Rzymski, P.; Kokociński, M.; Karczewski, J. Toxic potencies of metabolite(s) of non-cylindrospermopsin producing Cylindrospermopsis raciborskii isolated from temperate zone in human white cells. Chemosphere 2015, 120, 608–614. [Google Scholar] [CrossRef]
- Falfushynska, H.; Horyn, O.; Brzozowska, A.; Fedoruk, O.; Buyak, B.; Poznansky, D.; Poniedziałek, B.; Kokociński, M.; Rzymski, P. Is the presence of Central European strains of Raphidiopsis (Cylindrospermopsis) raciborskii a threat to a freshwater fish? An in vitro toxicological study in common carp cells. Aquat. Toxicol. 2019, 206, 105–113. [Google Scholar] [CrossRef]
- Latifi, A.; Ruiz, M.; Zhang, C.C. Oxidative stress in cyanobacteria. FEMS Microbiol. Rev. 2009, 33, 258–278. [Google Scholar] [CrossRef]
- Kovács, A.W.; Présing, M.; Vörös, L. Thermal-dependent growth characteristics for Cylindrospermopsis raciborskii (Cyanoprokaryota) at different light availabilities: Methodological considerations. Aquat. Ecol. 2016, 50, 623–638. [Google Scholar] [CrossRef][Green Version]
- Bonilla, S.; Aubriot, L.; Soares, M.C.S.; Gonzalez-Piana, M.; Fabre, A.; Huszar, V.L.M.; Lurling, M.; Antoniades, D.; Padisak, J.; Kruk, C. What drives the distribution of the bloom-forming cyanobacteria Planktothrix agardhii and Cylindrospermopsis raciborskii? FEMS Microbiol. Ecol. 2012, 79, 594–607. [Google Scholar] [CrossRef]
- Xiao, M.; Willis, A.; Burford, M.A. Differences in cyanobacterial strain responses to light and temperature reflect species plasticity. Harmful Algae 2017, 62, 84–93. [Google Scholar] [CrossRef]
- Xiao, M.; Hamilton, D.P.; O’Brien, K.R.; Adams, M.P.; Willis, A.; Burford, M.A. Are laboratory growth rate experiments relevant to explaining bloom-forming cyanobacteria distributions at global scale? Harmful Algae 2020, 92, 101732. [Google Scholar] [CrossRef]
- Kaplan-Levy, R.N.; Hadas, O.; Summers, M.L.; Rücker, J.; Sukenik, A. Akinetes: Dormant cells of cyanobacteria. In Dormancy and Resistance in Harsh Environments, Topics in Current Genetics; Lubzens, E., Cerda, J., Clark, M., Eds.; Springer: Berlin, Germany, 2010; Volume 21, pp. 5–27. [Google Scholar]
- Sukenik, A.; Hadas, O.; Kaplan, A.; Quesada, A.; Marine, H.S.; Morgan-kiss, R.M. Invasion of Nostocales (cyanobacteria) to subtropical and temperate freshwater lakes—Physiological, regional, and global driving forces. Front. Microbiol. 2012, 3, 1–9. [Google Scholar] [CrossRef]
- Piccini, C.; Aubriot, L.; Fabre, A.; Amaral, V.; González-Piana, M.; Giani, A.; Figueredo, C.C.; Vidal, L.; Kruk, C.; Bonilla, S. Genetic and eco-physiological differences of South American Cylindrospermopsis raciborskii isolates support the hypothesis of multiple ecotypes. Harmful Algae 2011, 10, 644–653. [Google Scholar] [CrossRef]
- Tan, X.; Zhu, T.; Shen, S.; Yin, C.; Gao, H.; Xu, X. Role of Rbp1 in the acquired chill-light tolerance of cyanobacteria. J. Bacteriol. 2011, 193, 2675–2683. [Google Scholar] [CrossRef] [PubMed]
- Yin, C.; Li, W.; Du, Y.; Kong, R.; Xu, X. Identification of a gene, ccr-1 (sll1242), required for chill-light tolerance and growth at 15 degrees C in Synechocystis sp. PCC 6803. Microbiology 2017, 1, 1261–1267. [Google Scholar]
- Li, W.; Gao, H.; Yin, C.; Xu, X. Identification of a novel thylakoid protein gene involved in cold acclimation in cyanobacteria. Microbiology 2012, 158, 2440–2449. [Google Scholar] [CrossRef] [PubMed]
- Yang, Y.; Yin, C.; Li, W.; Xu, X. α-Tocopherol Is Essential for Acquired Chill-Light Tolerance in the Cyanobacterium Synechocystis sp. Strain PCC 6803. J. Bacteriol. 2008, 190, 1554–1560. [Google Scholar] [CrossRef] [PubMed][Green Version]
- Mehnert, G.; Leunert, F.; Cires, S.; Johnk, K.D.; Rucker, J.; Nixdorf, B.; Wiedner, C. Competitiveness of invasive and native cyanobacteria from temperate freshwaters under various light and temperature conditions. J. Plankton Res. 2010, 32, 1009–1021. [Google Scholar] [CrossRef]
- Rai, A.; Pearson, L.; Kumar, A. Stress Biology of Cyanobacteria: Molecular Mechanisms to Cellular Responses; CRC Press: Boca Raton, FL, USA, 2013; ISBN 9781466504783. [Google Scholar]
- Kokociński, M.; Mankiewicz-Boczek, J.; Jurczak, T.; Spoof, L.; Meriluoto, J.; Rejmonczyk, E.; Hautala, H.; Vehniäinen, M.; Pawełczyk, J.; Soininen, J. Aphanizomenon gracile (Nostocales), a cylindrospermopsin-producing cyanobacterium in Polish lakes. Environ. Sci. Pollut. Res. 2013, 20, 5243–5264. [Google Scholar] [CrossRef]
- Dziga, D.; Tokodi, N.; Drobac, D.; Kokociński, M.; Antosiak, A.; Puchalski, J.; Strzałka, W.; Madej, M.; Svirčev, Z.; Meriluoto, J. The Effect of a combined hydrogen peroxide-MlrA treatment on the phytoplankton community and microcystin concentrations in a mesocosm experiment in Lake Ludoš. Toxins 2019, 11, 725. [Google Scholar] [CrossRef]
- Luo, X.; Li, J.; Chang, T.; Yang, X.; Zhao, Y.Y.; Xu, Y.; He, H.; Zhao, Y.Y.; Yang, X.; Zhao, Y.Y.; et al. Stable reference gene selection for RT-qPCR analysis in Synechococcus elongatus PCC 7942 under abiotic stresses. Biomed Res. Int. 2019, 2019, 7630601. [Google Scholar] [CrossRef]
- Xiao, M.; Hamilton, D.P.; Chuang, A.; Burford, M.A. Intra-population strain variation in phosphorus storage strategies of the freshwater cyanobacterium Raphidiopsis raciborskii. FEMS Microbiol. Ecol. 2020, 96. [Google Scholar] [CrossRef]
- Amaral, V.; Bonilla, S.; Aubriot, L. Growth optimization of the invasive cyanobacterium Cylindrospermopsis raciborskii in response to phosphate fluctuations. Eur. J. Phycol. 2014, 49, 134–141. [Google Scholar] [CrossRef]
- Bonilla, S.; González-Piana, M.; Soares, M.C.S.; Huszar, V.L.M.; Becker, V.; Somma, A.; Marinho, M.M.; Kokociński, M.; Dokulil, M.; Antoniades, D.; et al. The success of the cyanobacterium Cylindrospermopsis raciborskii in freshwaters is enhanced by the combined effects of light intensity and temperature. J. Limnol. 2016, 75, 606–617. [Google Scholar] [CrossRef]
- Sinha, R.; Pearson, L.A.; Davis, T.W.; Burford, M.A.; Orr, P.T.; Neilan, B.A. Increased incidence of Cylindrospermopsis raciborskii in temperate zones—Is climate change responsible? Water Res. 2012, 46, 1408–1419. [Google Scholar]
- Dokulil, M.T. Vegetative survival of Cylindrospermopsis raciborskii (Cyanobacteria) at low temperature and low light. Hydrobiologia 2016, 764, 241–247. [Google Scholar] [CrossRef]
- Bolius, S.; Wiedner, C.; Weithoff, G. Low invasion success of an invasive cyanobacterium in a chlorophyte dominated lake. Sci. Rep. 2019, 9, 8297. [Google Scholar] [CrossRef]
- Ryan, C.N.; Thomas, M.K.; Litchman, E. The effects of phosphorus and temperature on the competitive success of an invasive cyanobacterium. Aquat. Ecol. 2017, 51, 463–472. [Google Scholar] [CrossRef]
- Thomas, M.K.; Litchman, E. Effects of temperature and nitrogen availability on the growth of invasive and native cyanobacteria. Hydrobiologia 2016, 763, 357–369. [Google Scholar] [CrossRef]
- Kokociński, M.; Gągała, I.; Jasser, I.; Karosienė, J.; Kasperovičienė, J.; Kobos, J.; Koreivienė, J.; Soininen, J.; Szczurowska, A.; Woszczyk, M.; et al. Distribution of invasive Cylindrospermopsis raciborskii in the East-Central Europe is driven by climatic and local environmental variables. FEMS Microbiol. Ecol. 2017, 93. [Google Scholar] [CrossRef]
- Recknagel, F.; Zohary, T.; Rücker, J.; Orr, P.T.; Castelo, C.; Nixdorf, B.; Max, M.M. Causal relationships of Raphidiopsis (formerly Cylindrospermopsis) dynamics with water temperature and N:P-ratios: A meta-analysis across lakes with different climates based on inferential modelling. Harmful Algae 2019, 84, 222–232. [Google Scholar] [CrossRef]
- Briand, J.-F.; Leboulanger, C.; Humbert, J.-F.; Bernard, C.; Dufour, P. Cylindrospermopsis raciborskii (cyanobacteria) invasion at mid-latitudes: Selection, wide physiological tolerance or global warming? J. Phycol. 2004, 40, 231–238. [Google Scholar] [CrossRef]
- Antunes, J.T.; Leão, P.N.; Vasconcelos, V.M. Cylindrospermopsis raciborskii: Review of the distribution, phylogeography, and ecophysiology of a global invasive species. Front. Microbiol. 2015, 6. [Google Scholar] [CrossRef] [PubMed]
- Pierangelini, M.; Stojkovic, S.; Orr, P.T.; Beardall, J. Photo-acclimation to low light—Changes from growth to antenna size in the cyanobacterium Cylindrospermopsis raciborskii. Harmful Algae 2015, 46, 11–17. [Google Scholar] [CrossRef]
- Wu, Z.; Shi, J.; Li, R. Comparative studies on photosynthesis and phosphate metabolism of Cylindrospermopsis raciborskii with Microcystis aeruginosa and Aphanizomenon flos-aquae. Harmful Algae 2009, 8, 910–915. [Google Scholar] [CrossRef]
- Mehnert, G.; Rücker, J.; Nicklisch, A.; Leunert, F.; Wiedner, C. Effects of thermal acclimation and photoacclimation on lipophilic pigments in an invasive and a native cyanobacterium of temperate regions. Eur. J. Phycol. 2012, 47, 182–192. [Google Scholar] [CrossRef]
- Tang, Q.; Tan, X.; Xu, X. Effects of a type-II RNA-binding protein on fatty acid composition in Synechocystis sp. PCC 6803. Chin. Sci. Bull. 2010, 55, 2416–2421. [Google Scholar] [CrossRef]
- Jeamton, W.; Mungpakdee, S.; Sirijuntarut, M.; Prommeenate, P.; Cheevadhanarak, S.; Tanticharoen, M.; Hongsthong, A. A combined stress response analysis of Spirulina platensis in terms of global differentially expressed proteins, and mRNA levels and stability of fatty acid biosynthesis genes. FEMS Microbiol. Lett. 2008, 281, 121–131. [Google Scholar] [CrossRef]
- Inoue, N.; Taira, Y.; Emi, T.; Yamane, Y.; Kashino, Y.; Koike, H.; Satoh, K. Acclimation to the Growth Temperature and the High-Temperature Effects on Photosystem II and Plasma Membranes in a Mesophilic Cyanobacterium, Synechocystis sp. PCC6803. Plant Cell Physiol. 2001, 42, 1140–1148. [Google Scholar] [CrossRef]
- Boehm, M.; Yu, J.; Krynicka, V.; Barker, M.; Tichy, M.; Komenda, J.; Nixon, P.J.; Nield, J. Subunit organization of a Synechocystis hetero-oligomeric thylakoid FtsH complex involved in Photosystem II repair. Plant Cell 2012, 24, 3669–3683. [Google Scholar] [CrossRef]
- Bonisteel, E.M.; Turner, B.E.; Murphy, C.D.; Melanson, J.; Duff, M.; Beardsall, B.D.; Xu, K.; Campbell, D.A.; Id, A.M.C. Strain specific differences in rates of Photosystem II repair in picocyanobacteria correlate to differences in FtsH protein levels and isoform expression patterns. PLoS ONE 2018, 13, e0209115. [Google Scholar] [CrossRef]
- Prakash, J.; Krishna, P.; Shivaji, S. Sensing and molecular responses to low temperature in cyanobacteria. In Stress Biology of Cyanobacteria; CRC Press: Boca Raton, FL, USA, 2013; pp. 155–170. [Google Scholar]
- Basu, A.; Yap, M.-N.F. Disassembly of the Staphylococcus aureus hibernating 100S ribosome by an evolutionarily conserved GTPase. Proc. Natl. Acad. Sci. USA 2017, 114, E8165–E8173. [Google Scholar] [CrossRef]
- Basu, A.; Yap, M.-N.F. Ribosome hibernation factor promotes Staphylococcal survival and differentially represses translation. Nucleic Acids Res. 2016, 44, 4881–4893. [Google Scholar] [CrossRef] [PubMed]
- Jiang, K.; Xue, Y.; Ma, Y. Identification of N α-acetyl-α-lysine as a probable thermolyte and its accumulation mechanism in Salinicoccus halodurans H3B36. Sci. Rep. 2015, 5, 18518. [Google Scholar] [CrossRef] [PubMed]
- Neshich, I.A.; Kiyota, E.; Arruda, P. Genome-wide analysis of lysine catabolism in bacteria reveals new connections with osmotic stress resistance. ISME J. 2013, 7, 2400–2410. [Google Scholar] [CrossRef] [PubMed]
- De Mello Serrano, G.C.; e Silva Figueira, T.R.; Kiyota, E.; Zanata, N.; Arruda, P. Lysine degradation through the saccharopine pathway in bacteria: LKR and SDH in bacteria and its relationship to the plant and animal enzymes. FEBS Lett. 2012, 586, 905–911. [Google Scholar] [CrossRef]
- Pierangelini, M.; Sinha, R.; Willis, A.; Burford, M.A.; Orr, P.T.; Beardall, J.; Neilan, B.A. Constitutive Cylindrospermopsin Pool Size in Cylindrospermopsis raciborskii under Different Light and CO2 Partial Pressure Conditions. Appl. Environ. Microbiol. 2015, 81, 3069–3076. [Google Scholar] [CrossRef]
- Willis, A.; Adams, M.P.; Chuang, A.W.; Orr, P.T.; O’Brien, K.R.; Burford, M.A. Constitutive toxin production under various nitrogen and phosphorus regimes of three ecotypes of Cylindrospermopsis raciborskii ((Wołoszyńska) Seenayya et Subba Raju). Harmful Algae 2015, 47, 27–34. [Google Scholar] [CrossRef]
- Orr, P.T.; Willis, A.; Burford, M.A. Application of first order rate kinetics to explain changes in bloom toxicity—The importance of understanding cell toxin quotas. J. Oceanol. Limnol. 2018, 36, 1063–1074. [Google Scholar] [CrossRef]
- Vico, P.; Bonilla, S.; Cremella, B.; Aubriot, L.; Iriarte, A.; Piccini, C. Biogeography of the cyanobacterium Raphidiopsis (Cylindrospermopsis) raciborskii: Integrating genomics, phylogenetic and toxicity data. Mol. Phylogenet. Evol. 2020, 148, 106824. [Google Scholar] [CrossRef]
- Willis, A.; Jason, N.; Woodhouse, J.N. Defining cyanobacterial species: Diversity and description through genomics. Crit. Rev. Plant Sci. 2020, 39, 101–124. [Google Scholar] [CrossRef]
- Willis, A.; Chuang, A.W.; Dyhrman, S.; Burford, M.A. Differential expression of phosphorus acquisition genes in response to phosphorus stress in two Raphidiopsis raciborskii strains. Harmful Algae 2019, 82, 19–25. [Google Scholar] [CrossRef]






| Target Gene | Primer Name | Primer Sequence (5′-3′) |
|---|---|---|
| prs | prs_Rr1qF | CGAGTCCTGGCTATGGATTTAC |
| prs_Rr1qR | CAGTAAGACTGGCGAACCATAA | |
| rnpA | rnpA_Rr1qF | TCACCTGCACTCCTCTTCTA |
| rnpA_Rr1qR | TGCGAACCACTGCTCTTT | |
| asd | asd_Cyl1qF | TCTTCCCTATCCTCTGGCTTTC |
| asd_Cyl1qR | CCGGGTTTCGTTGACCATTT | |
| ccr2 | ccr2_Cyl1qF | TTCATACTCTTCCCGCTGTTG |
| ccr2_Cyl1qR | CAAGTTCTACTGGTGTTAGG | |
| cyrB | cyrB_2qF | GCCTGAGTACCTATCTGCTTAAC |
| cyrB_2qR | AGCCTGAAACTGCTCCATATC | |
| cyrJ | cyrJ_2qF | AGTAATCCCGCCTGTCATAGA |
| cyrJ_2qR | ACTGAGCATTGTCTCGGTAAAC | |
| desA | desA_Cyl1qF | GTGGCATCCCATAAGAGTAGAAG |
| desA_Cyl1qR | CAGTGCCCAATAGAACCTATCC | |
| fabZ | fabZ_Cyl1qF | GGGTTCTAATCGTGGAAGCTATG |
| fabZ_Cyl1qR | CGAAACCGCACTTTGTCAATAC | |
| ftsH | ftsH_Cyl1qF | GTCAGTATTGGCCCTGGTAATAG |
| ftsH_Cyl1qR | GTCCGTAGGTCATTCTGGTATTG | |
| hflX | hflX_Cyl1qF | CGGTTATTGGTGAGGGTAAGG |
| hflX_Cyl1qR | CGTACTTGAGCGGGTGATAAATC | |
| nusG | nusG_Cyl1qF | GACATGGCTACGGGTGATAAG |
| nusG_Cyl1qR | CCTTTCTGGCGACACTTCA | |
| rbp1 | rbp1_Cyl1qF | GTTAAACGGGTTCAAATTCCCAC |
| rbp1_Cyl1qR | CAATCGCTGCAGTTTCTTCTTC |
© 2020 by the authors. Licensee MDPI, Basel, Switzerland. This article is an open access article distributed under the terms and conditions of the Creative Commons Attribution (CC BY) license (http://creativecommons.org/licenses/by/4.0/).
Share and Cite
Antosiak, A.; Tokodi, N.; Maziarz, R.; Kokociński, M.; Brzozowska, A.; Strzałka, W.; Banaś, A.K.; Willis, A.; Dziga, D. Different Gene Expression Response of Polish and Australian Raphidiopsis raciborskii Strains to the Chill/Light Stress. Appl. Sci. 2020, 10, 5437. https://doi.org/10.3390/app10165437
Antosiak A, Tokodi N, Maziarz R, Kokociński M, Brzozowska A, Strzałka W, Banaś AK, Willis A, Dziga D. Different Gene Expression Response of Polish and Australian Raphidiopsis raciborskii Strains to the Chill/Light Stress. Applied Sciences. 2020; 10(16):5437. https://doi.org/10.3390/app10165437
Chicago/Turabian StyleAntosiak, Adam, Nada Tokodi, Robert Maziarz, Mikołaj Kokociński, Agnieszka Brzozowska, Wojciech Strzałka, Agnieszka Katarzyna Banaś, Anusuya Willis, and Dariusz Dziga. 2020. "Different Gene Expression Response of Polish and Australian Raphidiopsis raciborskii Strains to the Chill/Light Stress" Applied Sciences 10, no. 16: 5437. https://doi.org/10.3390/app10165437
APA StyleAntosiak, A., Tokodi, N., Maziarz, R., Kokociński, M., Brzozowska, A., Strzałka, W., Banaś, A. K., Willis, A., & Dziga, D. (2020). Different Gene Expression Response of Polish and Australian Raphidiopsis raciborskii Strains to the Chill/Light Stress. Applied Sciences, 10(16), 5437. https://doi.org/10.3390/app10165437

