Hydrodynamic Simulation of the Semi-Submersible Wind Float by Investigating Mooring Systems in Irregular Waves
Abstract
1. Introduction
2. Mathematical Model
2.1. Structure of Semi-Submersibles
2.2. Coordinate System
2.3. Potential Flow Theory
2.3.1. Linear Potential Flow Theory
2.3.2. Second-Order Wave Excitation Force
2.4. Mooring System Modelling
2.4.1. Quasi-Static Mooring Model
2.4.2. Dynamic Mooring Model
2.5. Six-DOF Motion Equations
2.6. Meshing
3. Mooring Line Properties
4. Results and Discussion
4.1. Analysis of Hydrodynamic Coefficients
4.2. Wave Spectrum
4.3. Load Case
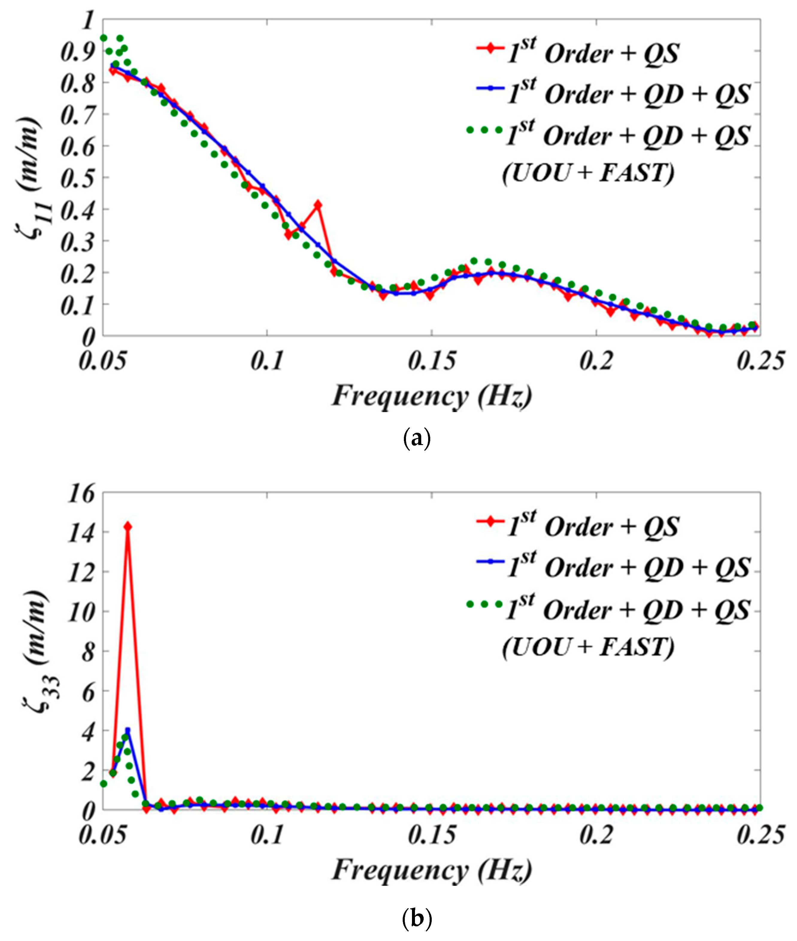
4.4. The Effect of Quadratic Damping
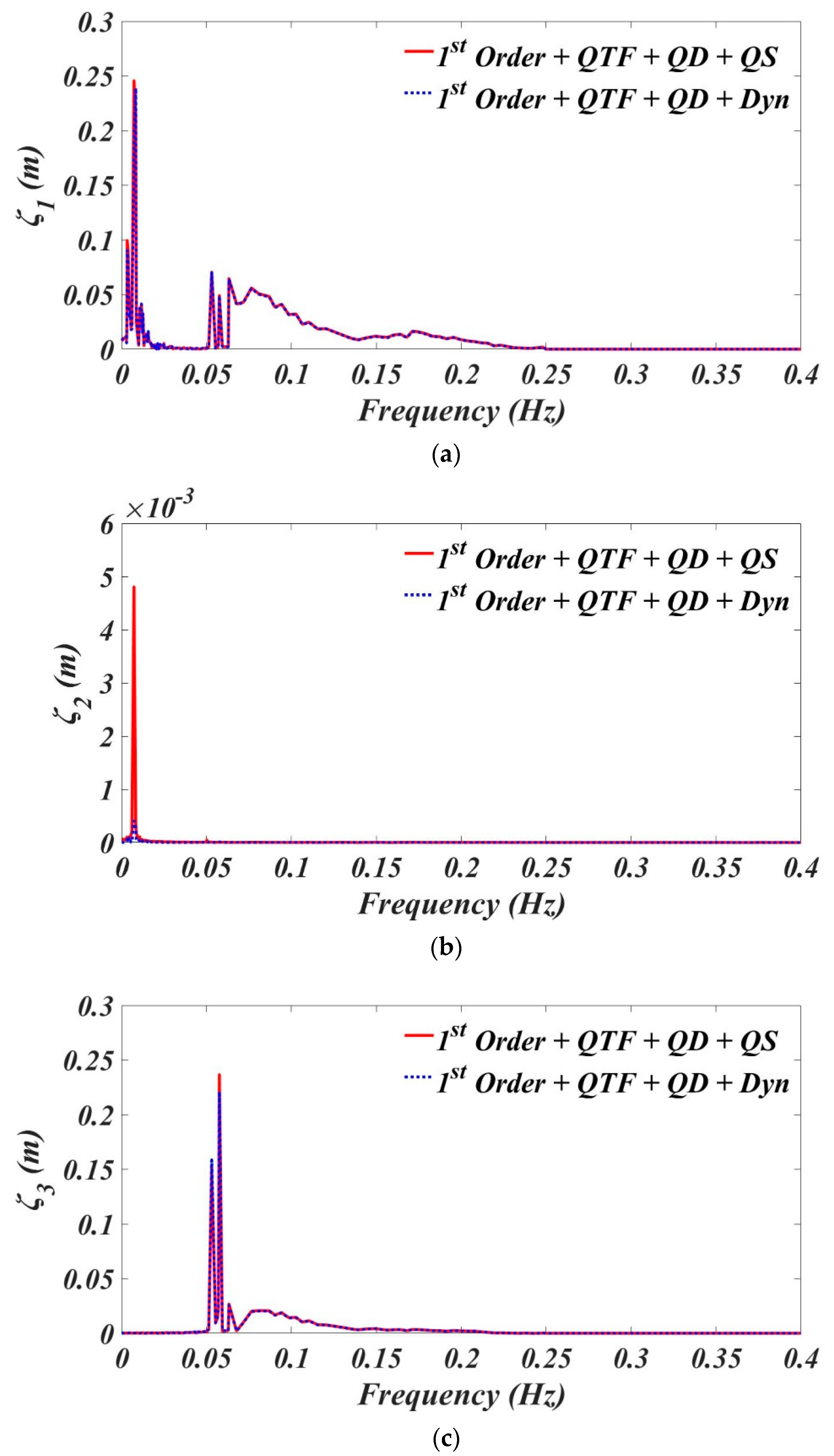
4.5. The Effect of the Second-Order Wave Exciting Force
4.6. The Effect of Mooring Model
4.7. The Effect of Wave Heading Angle
5. Conclusions
- By mean of the grid-independence test, the simulation results of hydrodynamic coefficients for the semi-submersible FOWT are generally in good agreement with the ones by the WAMIT.
- In addition to agreeing well with the UOU data, it is found that the quadratic damping has the most considerable contribution to the computation of the heave RAO compared with the surge and the pitch RAOs.
- According to the analysis of the slow-drift wave forces, the QTFs are found to have great contributions to the horizontal motion responses in the surge, the sway, and the yaw modes, but have little influence on the vertical motion responses in the heave, the roll and the pitch modes.
- Regarding the mooring effect, the 6-DOF motion responses in the frequency domain indicate that the estimation of the MSQS approach is close to the result of the LM approach. Nevertheless, the LM approach predicts more evident tension responses than the MSQS approach.
- The variation of the wave heading angles has a tiny influence on the heave motion, whereas it is highly correlated with the slow-drift forces in the surge, the sway, and the yaw modes.
- In a future study, the damage cases of a broken mooring line and the flooding of a single column will be considered to investigate system behaviors in extreme sea states.
Author Contributions
Funding
Acknowledgments
Conflicts of Interest
References
- Bilgili, M.; Yasar, A.; Simsek, E. Offshore wind power development in Europe and its comparison with onshore counterpart. Renew. Sustain. Energy Rev. 2011, 15, 905–915. [Google Scholar] [CrossRef]
- Esteban, M.D.; Diez, J.J.; López, J.S.; Negro, V. Why offshore wind energy? Renew. Energy 2011, 36, 444–450. [Google Scholar] [CrossRef]
- Butterfield, S.; Musial, W.; Jonkman, J.; Sclavounos, P. Engineering Challenges for Floating Offshore Wind Turbines; National Renewable Energy Lab. (NREL): Golden, CO, USA, 2007. [Google Scholar]
- Newman, J.N. Marine Hydrodynamics; MIT Press: Cambridge, MA, USA, 2018. [Google Scholar]
- Borg, M.; Collu, M.; Kolios, A. Offshore floating vertical axis wind turbines, dynamics modelling state of the art. Part II: Mooring line and structural dynamics. Renew. Sustain. Energy Rev. 2014, 39, 1226–1234. [Google Scholar] [CrossRef]
- Jonkman, J.M. Dynamics Modeling and Loads Analysis of an Offshore Floating Wind Turbine; National Renewable Energy Lab. (NREL): Golden, CO, USA, 2007. [Google Scholar]
- Thomsen, J.B.; Ferri, F.; Kofoed, J.P. Experimental testing of moorings for large floating wave energy converters. In Proceedings of the Progress in Renewable Energies Offshore: Proceedings of the 2nd International Conference on Renewable Energies(RENEW2016), Lisbon, Portugal, 24–26 October 2016. [Google Scholar]
- Masciola, M.; Jonkman, J.; Robertson, A. Implementation of a multisegmented, quasi-static cable model. In Proceedings of the Twenty-Third International Offshore and Polar Engineering Conference, Anchorage, AK, USA, 30 June–5 July 2013. [Google Scholar]
- Hall, M.; Goupee, A. Validation of a lumped-mass mooring line model with DeepCwind semisubmersible model test data. Ocean Eng. 2015, 104, 590–603. [Google Scholar] [CrossRef]
- Lin, Y.-H.; Kao, S.-H.; Yang, C.-H. Investigation of Hydrodynamic Forces for Floating Offshore Wind Turbines on Spar Buoys and Tension Leg Platforms with the Mooring Systems in Waves. Appl. Sci. 2019, 9, 608. [Google Scholar] [CrossRef]
- Robertson, A.; Jonkman, J.; Masciola, M.; Song, H.; Coupee, A.; Coulling, A.; Luan, C. Definition of the Semisubmersible Floating System for Phase II of OC4; Technical Report NREL, TP-5000-60601; National Renewable Energy Laboratory: Golden, CO, USA, 2014. [Google Scholar]
- Pinkster, J.A. Low Frequency Second Order Wave Exciting Forces on Floating Structures. 1980. Available online: https://repository.tudelft.nl/islandora/object/uuid:d6d42e9c-c349-47e5-8d63-5c6454196b04?collection=research (accessed on 13 May 2020).
- Hasselmann, K.; Barnett, T.; Bouws, E.; Carlson, H.; Cartwright, D.; Enke, K.; Ewing, J.; Gienapp, H.; Hasselmann, D.; Kruseman, P.; et al. Measurements of wind-wave growth and swell decay during the Joint North Sea Wave Project (JONSWAP). Ergänzungsheft 8-12 1973. [Google Scholar]
- DNV-RP. C205 Environmental Conditions and Environmental Loads; Det Norske Veritas: Oslo, Norway, 2010. [Google Scholar]
- Cummins, W. The Impulse Response Function and Ship Motions; David Taylor Model Basin: Washington, DC, USA, 1962. [Google Scholar]
- Kim, J.; Shin, H. Model test & numerical simulation of OC4 semi-submersible type floating offshore wind turbine. In Proceedings of the 26th International Ocean and Polar Engineering Conference, Rhodes, Greece, 26 June–2 July 2016. [Google Scholar]
- Tran, T.T.; Kim, D.-H. The coupled dynamic response computation for a semi-submersible platform of floating offshore wind turbine. J. Wind Eng. Ind. Aerodyn. 2015, 147, 104–119. [Google Scholar] [CrossRef]
- Robertson, A.; Jonkman, J.; Vorpahl, F.; Popko, W.; Qvist, J.; Froyd, L.; Chen, X.; Azcona, J.; Uzungoglu, E.; Guedes Soares, C.; et al. Offshore Code Comparison Collaboration, Continuation within IEA Wind Task 30: Phase II Results Regarding a Floating Semisubmersible Wind System; National Renewable Energy Lab. (NREL): Golden, CO, USA, 2014. [Google Scholar]
- Jonkman, J.M.; Buhl, M.L., Jr. FAST User’s Guide; National Renewable Energy Laboratory: Golden, CO, USA, 2005; p. 366. [Google Scholar]
- Jonkman, J. Influence of control on the pitch damping of a floating wind turbine. In Proceedings of the 46th AIAA Aerospace Sciences Meeting and Exhibit, Reno, NV, USA, 7–10 January 2008; p. 1306. [Google Scholar]
- Shin, H.; Kim, B.; Dam, P.T.; Jung, K. Motion of OC4 5MW semi-Submersible offshore wind turbine in irregular waves. In Proceedings of the ASME 2013 32nd International Conference on Ocean, Offshore and Arctic Engineering, Nantes, France, 9–14 June 2013. [Google Scholar]
- Robertson, A.; Jonkman, J.; Vorpahl, F.; Popko, W.; Qvist, J.; Frøyd, L.; Chen, X.; Azcona, J.; Uzunoglu, E.; Guedes Soares, C.; et al. Offshore code comparison collaboration continuation within IEA wind task 30: Phase II results regarding a floating semisubmersible wind system. In Proceedings of the ASME 2014 33rd International Conference on Ocean, Offshore and Arctic Engineering, San Francisco, CA, USA, 8–13 June 2014. [Google Scholar]
- Chuang, Z.; Liu, S.; Lu, Y. Influence of second order wave excitation loads on coupled response of an offshore floating wind turbine. Int. J. Nav. Archit. Ocean Eng. 2020, 12, 367–375. [Google Scholar] [CrossRef]
- Masciola, M.; Robertson, A.; Jonkman, J.; Coulling, A.; Goupee, A. Assessment of the importance of mooring dynamics on the global response of the DeepCwind floating semisubmersible offshore wind turbine. In Proceedings of the 23rd International Offshore and Polar Engineering Conference, Anchorage, AK, USA, 30 June–4 July 2013. [Google Scholar]






















| Mesh Properties | Value | Unit |
|---|---|---|
| Maximum Element Size | 1.5 | m |
| Maximum Allowed Frequency | 0.449 | Hz |
| Diffracting Nodes | 9220 | N/A |
| Diffracting Elements | 9227 | N/A |
| Mooring Line Properties | Value | Unit |
|---|---|---|
| Number of mooring lines | 3 | N/A |
| Angle between adjacent lines | 120 | degree |
| Depth to anchors below SWL | 200 | m |
| Depth to fairleads below SWL | 14 | m |
| Radius to anchors from platform centerline | 837.6 | m |
| Radius to fairleads from platform centerline | 40.868 | m |
| Unstretched mooring line length | 835.5 | m |
| Mooring line diameter | 0.0766 | m |
| Equivalent mooring line mass density | 113.35 | kg/m |
| Equivalent mooring line extensional stiffness | 753.6 | MN |
| Case Name | Model Description | Wave Heading |
|---|---|---|
| UOU | 1st Order + QD + QS | 0° |
| LC1 | 1st Order + QS | 0° |
| LC2 | 1st Order + QD + QS | 0° |
| LC3 | 1st Order + QD + QS + QTF | 0° |
| LC4 | 1st Order + QD + Dyn + QTF | 0° |
| LC5 | 1st Order + QD + Dyn + QTF | 30° |
| LC6 | 1st Order + QD + Dyn + QTF | 60° |
| LC7 | 1st Order + QD + Dyn + QTF | 90° |
| Mode | Surge | Sway | Heave | Roll | Pitch | Yaw |
|---|---|---|---|---|---|---|
| 1.25E6 | 0.95E6 | 3.88E6 | 3.35E10 | 3.35E10 | 1.15E10 | |
| (Unit) | (Ns2/m2) | (Ns2/m2) | (Ns2/m2) | (Nms2/rad2) | (Nms2/rad2) | (Nms2/rad2) |
© 2020 by the authors. Licensee MDPI, Basel, Switzerland. This article is an open access article distributed under the terms and conditions of the Creative Commons Attribution (CC BY) license (http://creativecommons.org/licenses/by/4.0/).
Share and Cite
Lin, Y.-H.; Yang, C.-H. Hydrodynamic Simulation of the Semi-Submersible Wind Float by Investigating Mooring Systems in Irregular Waves. Appl. Sci. 2020, 10, 4267. https://doi.org/10.3390/app10124267
Lin Y-H, Yang C-H. Hydrodynamic Simulation of the Semi-Submersible Wind Float by Investigating Mooring Systems in Irregular Waves. Applied Sciences. 2020; 10(12):4267. https://doi.org/10.3390/app10124267
Chicago/Turabian StyleLin, Yu-Hsien, and Cheng-Hao Yang. 2020. "Hydrodynamic Simulation of the Semi-Submersible Wind Float by Investigating Mooring Systems in Irregular Waves" Applied Sciences 10, no. 12: 4267. https://doi.org/10.3390/app10124267
APA StyleLin, Y.-H., & Yang, C.-H. (2020). Hydrodynamic Simulation of the Semi-Submersible Wind Float by Investigating Mooring Systems in Irregular Waves. Applied Sciences, 10(12), 4267. https://doi.org/10.3390/app10124267
