Metal-Printing Defined Thermo-Optic Tunable Sampled Apodized Waveguide Grating Wavelength Filter Based on Low Loss Fluorinated Polymer Material
Abstract
Featured Application
Abstract
1. Introduction
2. Sampled Apodized Grating Waveguide Structure and Design
2.1. Design Principle of Sampled Apodized Waveguide Grating
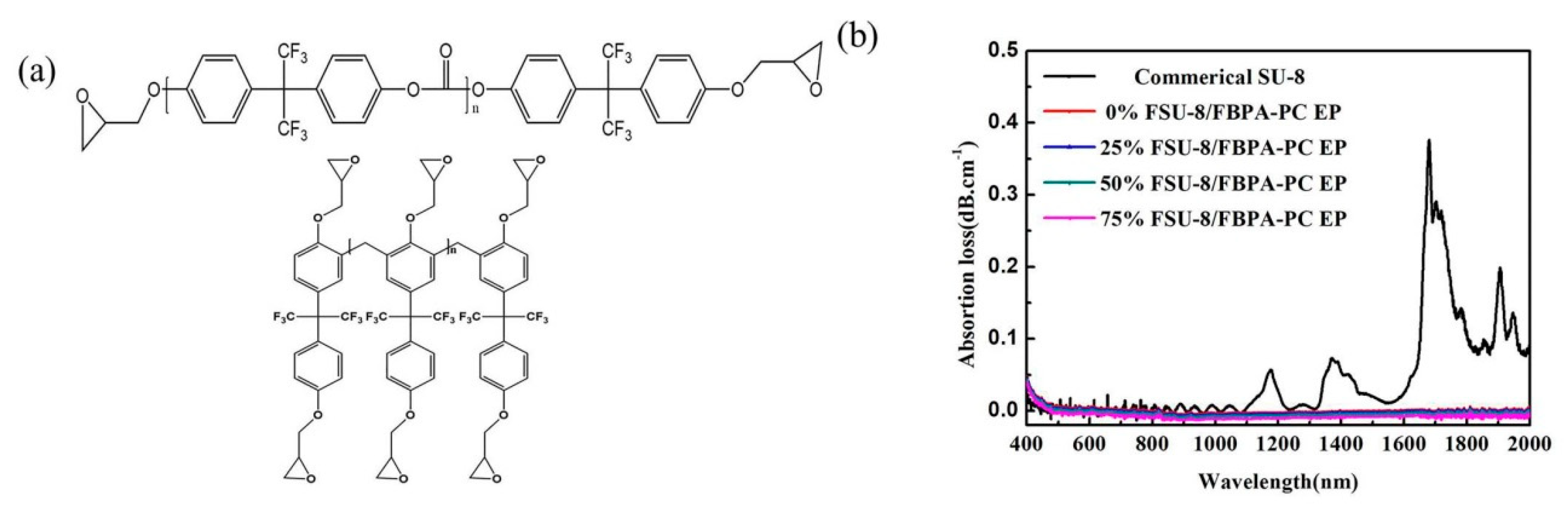
2.2. Waveguide Material
2.3. Optical Modes Analysis
2.4. Lateral Shift Apodized Waveguide Grating Design
2.5. Apodized Sampled Waveguide Grating Design
3. Experimental Results and Discussion
4. Conclusions
Author Contributions
Funding
Conflicts of Interest
References
- Su, H.P.; Jun, K.S.; Joonoh, P.; Hak, K.L.; Jin, S.S.; Min, C.O. Transmission type tunable wavelength filters based on polymer waveguide Bragg reflectors. Opt. Commun. 2016, 362, 96–100. [Google Scholar]
- Cooper, P.A.; Carpenter, L.G.; Holmes, C.; Sima, C.; Gates, J.C.; Smith, P.G.R. Power-efficiency enhanced thermally tunable Bragg grating for silica-on-silicon photonics. IEEE Photonics J. 2015, 7, 7800411. [Google Scholar] [CrossRef]
- Wang, Q.; Yue, Y.; Jon, A. Compensation of limited bandwidth and nonlinearity for coherent transponder. Appl. Sci. 2019, 9, 1758. [Google Scholar] [CrossRef]
- Yue, Y.; Wang, Q.; Yao, J.; Jason, O.N.; Daniel, P.; Jon, A. 400GbE technology demonstration using CFP8 pluggable modules. Appl. Sci. 2018, 8, 2055. [Google Scholar] [CrossRef]
- Wang, K.; Ampalavanapillai, N.; Christina, L.; Elaine, W.; Kamal, A.; Li, H.T.; Efstratios, S. High-speed indoor optical wireless communication system employing a silicon integrated photonic circuit. Opt. Lett. 2018, 43, 3132–3135. [Google Scholar] [CrossRef]
- Li, M.; Chen, X.X.; Fujii, T.; Yoshitaka, K.; Li, H.P.; Painchaud, Y. Multiwavelength fiber laser based on the utilization of a phase-shifted phase-only sampled fiber Bragg grating. Opt. Lett. 2009, 34, 1717–1719. [Google Scholar] [CrossRef]
- Jia, X.F.; Wang, L.J.; Zhuo, N.; Guan, Y.J.; Niu, S.H.; Zhang, J.C.; Zhai, S.Q.; Liu, J.Q.; Liu, S.M.; Liu, F.Q.; et al. Design and fabrication of a quantum cascade laser with a chirped sampling grating. OSA Contin. 2019, 2, 1783–1790. [Google Scholar] [CrossRef]
- Yael, S.; Alexander, B.; Boris, L.; Baruch, F. Tuning, selecting and switching wavelengths in lasers with chirped and sampled fiber Bragg gratings by high-order mode-locking. Opt. Commun. 2019, 431, 151–157. [Google Scholar]
- Wu, Q.; Chong, X.Y.; Kui, R.W.; Xiang, J.X.; Xu, W.; Zhi, H.Y. The control of channel numbers with equation reflectivity of sinc-sampled fiber Bragg gratings. Opt. Commun. 2004, 233, 83–88. [Google Scholar] [CrossRef]
- Isa, N.; Guler, N.F. Optimization of reflection spectra for phase-only sampled fiber Bragg gratings. Opt. Commun. 2007, 271, 119–123. [Google Scholar]
- Andreas, S.; Zhang, Z.Y.; Roger, H.; Martin, R. High resolution arrayed-waveguide-gratings in astronomy: Design and fabrication challenges. Photonics 2017, 4, 30. [Google Scholar]
- Yan, S.B.; Li, M.H.; Luo, L.; Ma, K.Z.; Xue, C.Y.; Zhang, W.D. Optimisation design of coupling region based on SOI micro-ring resonator. Micromachines 2015, 6, 151–159. [Google Scholar] [CrossRef]
- Wu, X.P.; Liu, C.L.; Liu, W.; Yuan, Z.L.; Wu, K.Y.; Tang, F.F.; Chen, H.; Liu, W.J.; Yang, L.; Zhang, J.; et al. Monolithic integrated cyclic 64-channel AWG with MZI filters and arrayed vertical reflecting mirrors for WDM-PON application. Appl. Opt. 2019, 58, 8282–8289. [Google Scholar] [CrossRef]
- Liou, C.H.; Wang, F.Y. Design and fabrication of ring resonator spectral response through drop wavelengths selective. Opt. Quant. Electron. 2019, 51, 101. [Google Scholar] [CrossRef]
- Yun, H.; Hammood, M.; Lin, S.; Chrostowski, L.; Jaeger, N.A.F. Broadband flat-top SOI add–drop filters using apodized sub-wavelength grating contradirectional couplers. Opt. Lett. 2019, 44, 4929–4932. [Google Scholar] [CrossRef]
- Sumi, R.; Nandita, D.G.; Bijoy, K.D. Integrated optical linear edge filters using apodized sub-wavelength grating waveguides in SOI. IEEE Photonics Technol. Lett. 2019, 31, 1449–1452. [Google Scholar] [CrossRef]
- Nazmi, A.M.; Nermeen, M.O. Single- and dual-band dispersion compensation unit using apodized chirped fiber Bragg grating. J Comput. Electron. 2018, 17, 349–360. [Google Scholar]
- Ma, M.L.; Chen, Z.T.; Yun, H.; Wang, Y.; Wang, X.; Nicolas, A.F.J.; Lukas, C. Apodized spiral Bragg grating waveguides in silicon-on-insulator. IEEE Photonics Technol. Lett. 2018, 30, 111–114. [Google Scholar] [CrossRef]
- Elzahaby, E.A.; Ishac, K.; Moustafa, H.A. Amendment performance of an apodized tilted fiber Bragg grating for a quasi-distributed-based sensor. Appl. Opt. 2017, 56, 5480–5488. [Google Scholar] [CrossRef]
- Yang, C.; Thalia, D.B.; Ali, Z.K.; Mehdi, B.; Katarzyna, G.; Frederic, Y.G.; Robert, H.; Iñigo, M.F.; Pavel, C.; He, J.J. Experimental demonstration of an apodized-imaging chip-fiber grating coupler for Si3N4 waveguides. Opt. Lett. 2017, 42, 3566–3569. [Google Scholar]
- Lv, H.; Liang, Y.X.; Wu, Z.L.; Han, X.Y.; Morthier, G.; Zhao, M.S. Polymer-based microring resonator with the multimode interference coupler operating at very-near-infrared wavelengths. Appl. Sci. 2019, 9, 2715. [Google Scholar] [CrossRef]
- Kim, S.M.; Park, T.H.; Huang, G.H.; Oh, M.C. Optical waveguide tunable phase delay lines based on the superior thermo-optic effect of polymer. Polymers 2018, 10, 497. [Google Scholar] [CrossRef]
- Xu, Z.Y.; Tao, L.; Sun, X.N. Compact silicon-based TM-pass/TE-divide polarization beam splitter using contra-directional grating couplers assisted by horizontal slot waveguide. Opt. Commun. 2019, 451, 17–22. [Google Scholar] [CrossRef]
- Yang, M.H.; Zheng, P.F.; Hu, G.H.; Zhang, R.H.; Yun, B.F.; Cui, Y.P. A broadband, low-crosstalk and low polarization dependent silicon nitride waveguide crossing based on the multimode-interference. Opt. Commun. 2019, 450, 28–33. [Google Scholar] [CrossRef]
- Konstantinos, P.; Dzianis, S.; Kamel, M.; Siddharth, J.; Francois, L.; Sophie, B.; Dimitrios, K.; Stephane, G.; Luc, L.G.; Tomasz, J.O.; et al. Laterally coupled distributed feedback lasers emitting at 2 μm with quantum dash active region and high-duty-cycle etched semiconductor gratings. J. Appl. Phys. 2017, 121, 053101. [Google Scholar]
- Ritesh, R.C.; Amarachukwu, N.E.; Youngsik, S.; Sang, W.S. Polymer based resonant waveguide grating photonic filter with on-chip thermal tuning. Opt. Commun. 2018, 418, 1–9. [Google Scholar]
- Li, H.W.; Zhai, Y.X.; Zhi, T.; Gui, Y.J.; Xiao, T. Thermal drift investigation of an SOI-based MEMS capacitive sensor with an asymmetric structure. Sensors 2019, 19, 3522. [Google Scholar] [CrossRef]
- Zhang, Z.D.; Ma, L.C.; Gao, F.; Zhang., Y.J.; Tang, J.; Cao, H.L.; Zhang, B.Z.; Wang, J.C.; Yan, S.B.; Xue, C.Y. Plasmonically induced reflection in metal–insulator–metal waveguides with two silver baffles coupled square ring resonator. Chin. Phys. B 2017, 26, 124212. [Google Scholar] [CrossRef]
- Li, C.Y.; An, J.M.; Zhang, J.S.; Wang, L.L.; Li, J.G.; Wang, Y.; Yin, X.J.; Wang, H.J.; Wu, Y.D. 4 × 20 GHz silica-based AWG hybrid integrated receiver optical sub-assemblies. Chin. Opt. Lett. 2018, 16, 060603. [Google Scholar]
- Xu, C.L.; Huang, W.P.; Stern, M.S.; Chaudhuri, S.K. Full-vectorial mode calculations by finite difference method. IEEE Proc. Optoelectron. 1994, 141, 281–286. [Google Scholar] [CrossRef]
- Stern, M.S. Semivectorial polarized finite difference method for optical waveguides with arbitrary index profiles. IEEE Proc. 1988, 135, 56–63. [Google Scholar]
- Erdogan, T. Fiber grating spectra. J. Lightwave Technol. 1997, 15, 1277–1294. [Google Scholar] [CrossRef]
- Alexandre, D.S.; Nezih, B.; Yves, P.; Sophie, L. Apodized silicon-on-Insulator Bragg gratings. IEEE Photonics Technol. Lett. 2012, 24, 1033–1035. [Google Scholar]
- Tian, L.; Wang, F.; Wu, Y.D.; Yi, Y.J.; Sun, X.Q.; Zhang, D.M. Polymer/silica hybrid integration add-drop filter based on grating-assisted contradirectional coupler. Opt. Lett. 2018, 43, 2348–2351. [Google Scholar] [CrossRef]
- Nikolai, N.K.; Sunil, M.; Michaela, B.; Zeeshan, A. On-chip silicon waveguide Bragg grating photonic temperature sensor. Opt. Lett. 2015, 40, 3934–3936. [Google Scholar]
- Jin, S.S.; Tea, H.P.; Woo, S.C.; Chang, H.L.; Sang, Y.S.; Min, C.O. Tunable channel-drop filters consisting of polymeric Bragg reflectors and a mode sorting asymmetric X-junction. Opt. Express 2015, 23, 17223–17228. [Google Scholar]












| Mixture | FSU-8 Composition (wt. %) | Tg (°C) | TdC (°C) | TdD (°C) |
|---|---|---|---|---|
| 0 | 155.7 | 270.7 | 294.9 | |
| FSU-8 | 25 | 158.4 | 277.7 | 302.9 |
| 50 | 161.9 | 261.4 | 300.3 | |
| 75 | 156.0 | 271.8 | 300.0 |
© 2019 by the authors. Licensee MDPI, Basel, Switzerland. This article is an open access article distributed under the terms and conditions of the Creative Commons Attribution (CC BY) license (http://creativecommons.org/licenses/by/4.0/).
Share and Cite
Wang, J.; Chen, C.; Wang, C.; Wang, X.; Yi, Y.; Sun, X.; Wang, F.; Zhang, D. Metal-Printing Defined Thermo-Optic Tunable Sampled Apodized Waveguide Grating Wavelength Filter Based on Low Loss Fluorinated Polymer Material. Appl. Sci. 2020, 10, 167. https://doi.org/10.3390/app10010167
Wang J, Chen C, Wang C, Wang X, Yi Y, Sun X, Wang F, Zhang D. Metal-Printing Defined Thermo-Optic Tunable Sampled Apodized Waveguide Grating Wavelength Filter Based on Low Loss Fluorinated Polymer Material. Applied Sciences. 2020; 10(1):167. https://doi.org/10.3390/app10010167
Chicago/Turabian StyleWang, Jihou, Changming Chen, Chunxue Wang, Xibin Wang, Yunji Yi, Xiaoqiang Sun, Fei Wang, and Daming Zhang. 2020. "Metal-Printing Defined Thermo-Optic Tunable Sampled Apodized Waveguide Grating Wavelength Filter Based on Low Loss Fluorinated Polymer Material" Applied Sciences 10, no. 1: 167. https://doi.org/10.3390/app10010167
APA StyleWang, J., Chen, C., Wang, C., Wang, X., Yi, Y., Sun, X., Wang, F., & Zhang, D. (2020). Metal-Printing Defined Thermo-Optic Tunable Sampled Apodized Waveguide Grating Wavelength Filter Based on Low Loss Fluorinated Polymer Material. Applied Sciences, 10(1), 167. https://doi.org/10.3390/app10010167

