Temperature, Nitrogen, and Carbon Constraints on Growth and Metabolism of Regional Microalgae Strains
Abstract
1. Introduction
2. Materials and Methods
2.1. Microalgal Isolates
2.2. Growth Curves and Temperature Optima
2.3. Imaging
2.4. Identification
2.5. Experiment Design
2.6. Determination of Algal Biomass, and Content of Proteins, Carbohydrates, Lipids, and Chlorophyll a and b
2.7. Statistical Analysis
3. Results
3.1. Morphological Characterization, Growth Parameters, and Molecular Identification of Algal Isolates
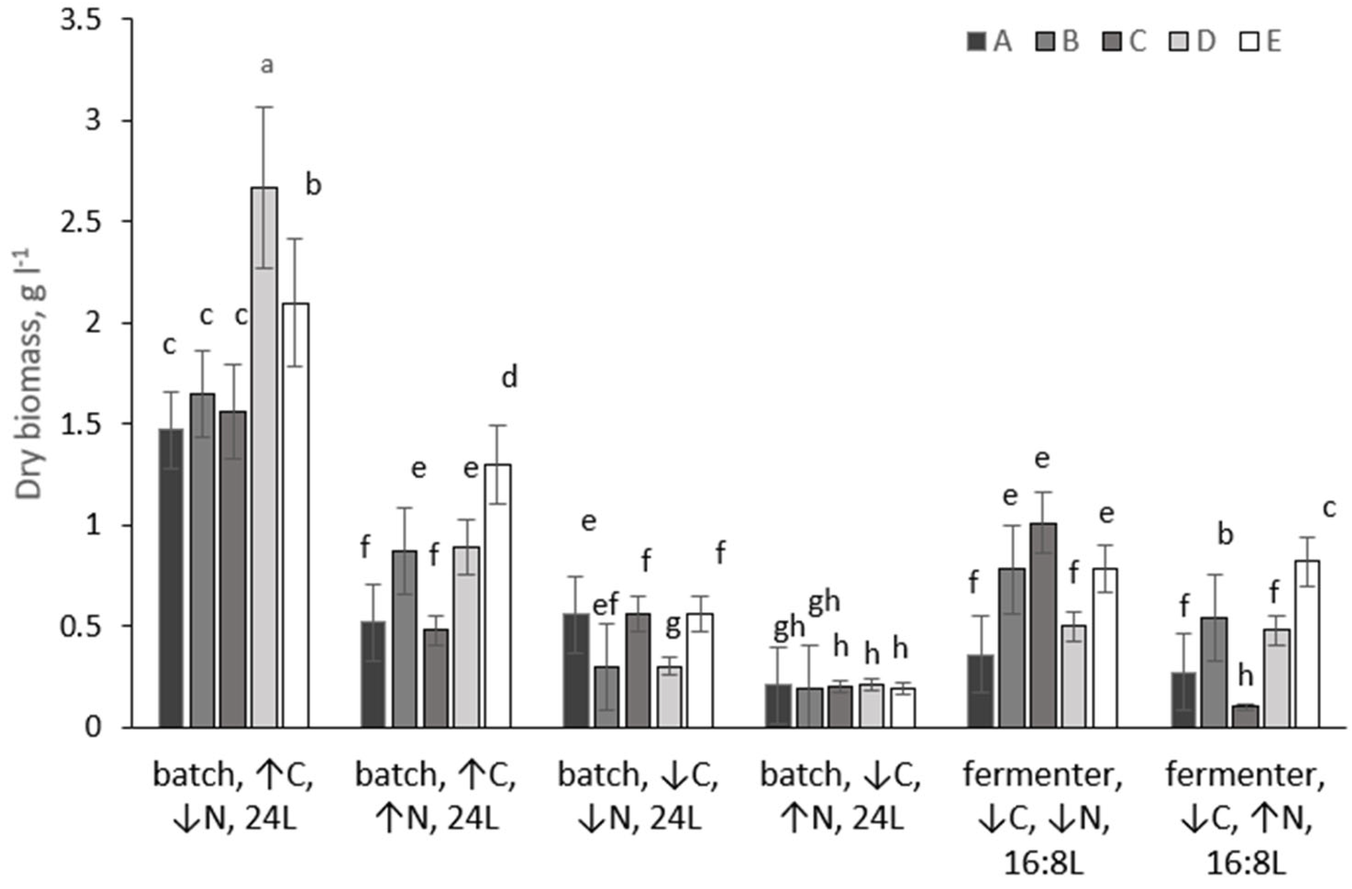
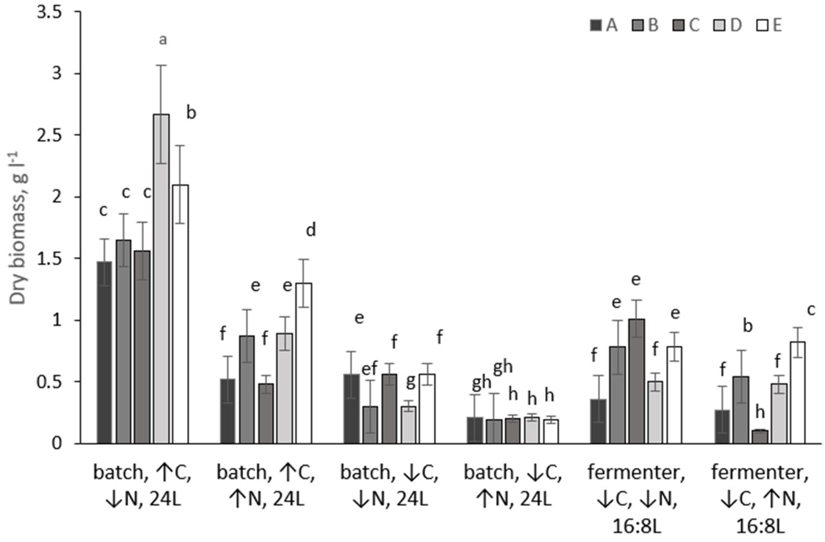
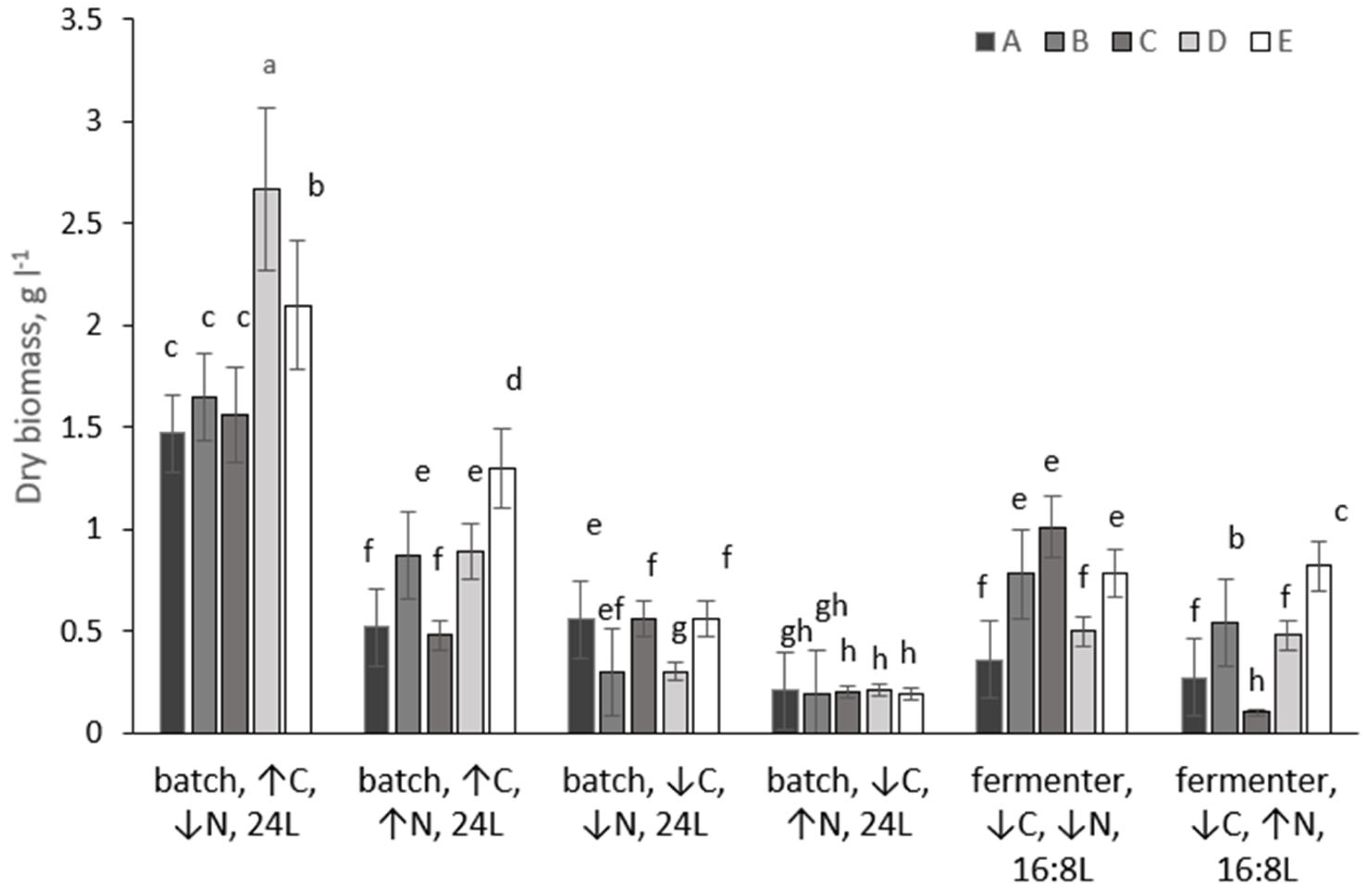
3.2. Microalgal Biomass Accumulation
3.3. Protein, Carbohydrate, and Lipid Content in Dry Microalgal Biomass
3.4. Chlorophyll Content
4. Discussion
4.1. Characteristics of the Isolates
4.2. Biomass Yield Patterns
4.3. Composition Shifts in Microalgal Dry Biomass
4.4. Bioprocess Relevance and Application Outlook of the Isolated Strains
5. Conclusions
Supplementary Materials
Author Contributions
Funding
Data Availability Statement
Conflicts of Interest
Abbreviations
| PPM | parts per million |
| PBR | photobioreactor |
| CAPEX | capital expenditure |
| OD | optical density |
| nm | nanometer |
| PCR | polymerase chain reaction |
| dNTPs | deoxyribonucleotide triphosphates |
| U | units |
| µL | microliter |
| ddH2O | double-distilled water |
| NO3− | nitrate |
| NH4+ | ammonium |
| DW | dry weight |
| PBS | phosphate-buffered saline |
| rpm | revolutions per minute |
| pp | percentage points |
| TAG | triacylglycerol |
| CO2 | carbon dioxide |
| CRediT | Contributor Roles Taxonomy |
| g L−1 | grams per liter |
| mg L−1 | milligrams per liter |
| µg L−1 | micrograms per liter |
| h | hour(s) |
| min | minute(s) |
| s | second(s) |
References
- NOAA Climate.gov. Climate Change: Atmospheric Carbon Dioxide. Available online: https://www.climate.gov/news-features/understanding-climate/climate-change-atmospheric-carbon-dioxide (accessed on 9 September 2025).
- Chisti, Y. Biodiesel from microalgae. Biotechnol. Adv. 2007, 25, 294–306. [Google Scholar] [CrossRef]
- Gayathri, R.; Mahboob, S.; Govindarajan, M.; Al-Ghanim, K.A.; Ahmed, Z.; Al-Mulhm, N.; Vodovnik, M.; Vijayalakshmi, S.; Gayathri, R.; Mahboob, S.; et al. A review on biological carbon sequestration: A sustainable solution for a cleaner air environment, less pollution and lower health risks. J. King Saud Univ. Sci. 2021, 33, 101282. [Google Scholar] [CrossRef]
- de Morais, M.G.; Costa, J.A.V. Biofixation of carbon dioxide by Spirulina sp. and Scenedesmus obliquus cultivated in a three-stage serial tubular photobioreactor. J. Biotechnol. 2007, 129, 439–445. [Google Scholar] [CrossRef] [PubMed]
- Singh, U.B.; Ahluwalia, A.S. Microalgae: A promising tool for carbon sequestration. Mitig. Adapt. Strateg. Glob. Change 2013, 18, 73–95. [Google Scholar] [CrossRef]
- Nwoba, E.G.; Parlevliet, D.A.; Laird, D.W.; Alameh, K.; Moheimani, N.R. Pilot-scale self-cooling microalgal closed photobioreactor for biomass production and electricity generation. Algal Res. 2020, 45, 101731. [Google Scholar] [CrossRef]
- Qin, J.; Jia, M.; Sun, J. Examining the effects of elevated CO2 on the growth kinetics of two microalgae, Skeletonema dohrnii (Bacillariophyceae) and Heterosigma akashiwo (Raphidophyceae). Front. Mar. Sci. 2024, 11, 1347029. [Google Scholar] [CrossRef]
- Wang, H.; Nche-Fambo, F.A.; Yu, Z.; Chen, F. Using microalgal communities for high CO2-tolerant strain selection. Algal Res. 2018, 35, 253–261. [Google Scholar] [CrossRef]
- Truong, T.Q.; Park, Y.J.; Winarto, J.; Huynh, P.K.; Moon, J.; Bin Choi, Y.; Song, D.G.; Koo, S.Y.; Kim, S.M. Understanding the Impact of Nitrogen Availability: A Limiting Factor for Enhancing Fucoxanthin Productivity in Microalgae Cultivation. Mar. Drugs 2024, 22, 93. [Google Scholar] [CrossRef]
- Chunzhuk, E.A.; Grigorenko, A.V.; Kiseleva, S.V.; Chernova, N.I.; Ryndin, K.G.; Kumar, V.; Vlaskin, M.S. The Influence of Elevated CO2 Concentrations on the Growth of Various Microalgae Strains. Plants 2023, 12, 2470. [Google Scholar] [CrossRef]
- Cheregi, O.; Ekendahl, S.; Engelbrektsson, J.; Strömberg, N.; Godhe, A.; Spetea, C. Microalgae biotechnology in Nordic countries—The potential of local strains. Physiol. Plant. 2019, 166, 438. [Google Scholar] [CrossRef]
- Chauton, M.S.; Forbord, S.; Mäkinen, S.; Sarno, A.; Slizyte, R.; Mozuraityte, R.; Standal, I.B.; Skjermo, J. Sustainable resource production for manufacturing bioactives from micro- and macroalgae: Examples from harvesting and cultivation in the Nordic region. Physiol. Plant. 2021, 173, 495–506. [Google Scholar] [CrossRef] [PubMed]
- Pilot Scale Microalgae Cultivation|ScienceDirect. Available online: https://www.sciencedirect.com/book/9780323959629/pilot-scale-microalgae-cultivation (accessed on 10 September 2025).
- Gaurav, K.; Neeti, K.; Singh, R. Microalgae-based biodiesel production and its challenges and future opportunities: A review. Green Technol. Sustain. 2024, 2, 100060. [Google Scholar] [CrossRef]
- Kurpan, D.; Cardeiras, R.; Bagnoud-Velásquez, M.; Dubois, S.; Lecoultre, N.; Gindro, K.; Wahl, F.; Brahier, A.B. Isolation, characterization, and maintenance of native Swiss microalgae for biotechnological prospection. Sci. Rep. 2025, 15, 25573. [Google Scholar] [CrossRef] [PubMed]
- Sajjadi, B.; Chen, W.Y.; Raman, A.A.A.; Ibrahim, S. Microalgae lipid and biomass for biofuel production: A comprehensive review on lipid enhancement strategies and their effects on fatty acid composition. Renew. Sustain. Energy Rev. 2018, 97, 200–232. [Google Scholar] [CrossRef]
- Tibbetts, S.M.; Milley, J.E.; Lall, S.P. Chemical composition and nutritional properties of freshwater and marine microalgal biomass cultured in photobioreactors. J. Appl. Phycol. 2015, 27, 1109–1119. [Google Scholar] [CrossRef]
- Gao, B.; Hong, J.; Chen, J.; Zhang, H.; Hu, R.; Zhang, C. The growth, lipid accumulation and adaptation mechanism in response to variation of temperature and nitrogen supply in psychrotrophic filamentous microalga Xanthonema hormidioides (Xanthophyceae). Biotechnol. Biofuels Bioprod. 2023, 16, 12. [Google Scholar] [CrossRef]
- Wu, L.F.; Chen, P.C.; Lee, C.M. The effects of nitrogen sources and temperature on cell growth and lipid accumulation of microalgae. Int. Biodeterior. Biodegrad. 2013, 85, 506–510. [Google Scholar] [CrossRef]
- Malakootian, M.; Hatami, B.; Dowlatshahi, S.; Rajabizadeh, A. Optimization of culture media for lipid production by Nannochloropsis oculata for Biodiesel production. Environ. Health Eng. Manag. J. 2015, 2, 141–147. [Google Scholar]
- Comparison of Various Growth Media Composition for Physio-Biochemical Parameters of Biodiesel Producing Microalgal Species (Chlorococcum aquaticum, Scenedesmus obliquus, Nannochloropsis oculata and Chlorella pyrenoidosa). Available online: https://www.researchgate.net/publication/353903262_Comparison_of_various_growth_media_composition_for_physio-biochemical_parameters_of_biodiesel_producing_microalgal_species_Chlorococcum_aquaticum_Scenedesmus_obliquus_Nannochloropsis_oculata_and_Chlor (accessed on 10 September 2025).
- Kateryna Maltseva, Y.M.; Maltsev, Y.; Maltseva, K.; Khmelnytskyi, B. Fatty acids of microalgae: Diversity and applications. Rev. Environ. Sci. Bio/Technol. 2021, 20, 515–547. [Google Scholar] [CrossRef]
- Bazdar, E.; Roshandel, R.; Yaghmaei, S.; Mardanpour, M.M. The effect of different light intensities and light/dark regimes on the performance of photosynthetic microalgae microbial fuel cell. Bioresour. Technol. 2018, 261, 350–360. [Google Scholar] [CrossRef]
- Esteves, A.F.; Gonçalves, A.L.; Vilar, V.J.P.; Pires, J.C.M. Is it possible to shape the microalgal biomass composition with operational parameters for target compound accumulation? Biotechnol. Adv. 2025, 79, 108493. [Google Scholar] [CrossRef]
- Jabri, H.A.; Taleb, A.; Touchard, R.; Saadaoui, I.; Goetz, V.; Pruvost, J. Cultivating Microalgae in Desert Conditions: Evaluation of the Effect of Light-Temperature Summer Conditions on the Growth and Metabolism of Nannochloropsis QU130. Appl. Sci. 2021, 11, 3799. [Google Scholar] [CrossRef]
- Adamczyk, M.; Lasek, J.; Skawińska, A. CO2 Biofixation and Growth Kinetics of Chlorella vulgaris and Nannochloropsis gaditana. Appl. Biochem. Biotechnol. 2016, 179, 1248–1261. [Google Scholar] [CrossRef] [PubMed]
- Ren, H.-Y.; Liu, B.-F.; Ma, C.; Zhao, L.; Ren, N.-Q. A new lipid-rich microalga Scenedesmus sp. strain R-16 isolated using Nile red staining: Effects of carbon and nitrogen sources and initial pH on the biomass and lipid production. Biotechnol. Biofuels 2013, 6, 143. [Google Scholar] [CrossRef] [PubMed]
- Kong, W.; Kong, J.; Feng, S.; Yang, T.; Xu, L.; Shen, B.; Bi, Y.; Lyu, H. Cultivation of microalgae–bacteria consortium by waste gas–waste water to achieve CO2 fixation, wastewater purification and bioproducts production. Biotechnol. Biofuels Bioprod. 2024, 17, 26. [Google Scholar] [CrossRef]
- Ashour, M.; Mansour, A.T.; Alkhamis, Y.A.; Elshobary, M. Usage of Chlorella and diverse microalgae for CO2 capture—Towards a bioenergy revolution. Front. Bioeng. Biotechnol. 2024, 12, 1387519. [Google Scholar] [CrossRef]
- Shekh, A.; Sharma, A.; Schenk, P.M.; Kumar, G.; Mudliar, S. Microalgae cultivation: Photobioreactors, CO2 utilization, and value-added products of industrial importance. J. Chem. Technol. Biotechnol. 2022, 97, 1064–1085. [Google Scholar] [CrossRef]
- Sushchenko, R.Z.; Nikulin, V.Y.; Bagmet, V.B.; Nikulin, A.Y. Molecular genetic and morphological characteristics of Micractinium thermotolerans and M. inermum (Trebouxiophyceae, Chlorophyta) from pyroclastic deposits of the Kamchatka Peninsula (Russia). Vavilovskii Zhurnal Genet. Sel. 2024, 28, 706–715. [Google Scholar] [CrossRef]
- Kryvenda, A.; Tischner, R.; Steudel, B.; Griehl, C.; Armon, R.; Friedl, T. Testing for terrestrial and freshwater microalgae productivity under elevated CO2 conditions and nutrient limitation. BMC Plant Biol. 2023, 23, 27. [Google Scholar] [CrossRef]
- Merrett, M.J.; Nimer, N.A.; Dong, L.F. The utilization of bicarbonate ions by the marine microalga Nannochloropsis oculata (Droop) Hibberd. Plant Cell Environ. 1996, 19, 478–484. [Google Scholar] [CrossRef]
- van Hille, R.; Fagan, M.; Bromfield, L.; Pott, R. A modified pH drift assay for inorganic carbon accumulation and external carbonic anhydrase activity in microalgae. J. Appl. Phycol. 2013, 26, 377–385. [Google Scholar] [CrossRef]
- Kan, Y.; Pan, J. A one-shot solution to bacterial and fungal contamination in the green alga Chlamydomonas Reinhardtii culture by using an antibiotic cocktail. J. Phycol. 2010, 46, 1356–1358. [Google Scholar] [CrossRef]
- Mustapa, M.; Sallehudin, N.J.; Mohamed, M.; Noor, N.M.; Raus, R. Decontamination of Chlorella sp. culture using antibiotics and antifungal cocktail treatment. ARPN J. Eng. Appl. Sci. 2016, 11, 104–109. [Google Scholar]
- Turner, M. Microalgae—biotechnology and microbiology. J. Exp. Mar. Bio. Ecol. 1994, 183, 300–301. [Google Scholar] [CrossRef]
- Morales, M.; Sánchez, L.; Revah, S. The impact of environmental factors on carbon dioxide fixation by microalgae. FEMS Microbiol. Lett. 2018, 365, fnx262. [Google Scholar] [CrossRef]
- Khaw, Y.S.; Khong, N.M.H.; Shaharuddin, N.A.; Yusoff, F.M. A simple 18S rDNA approach for the identification of cultured eukaryotic microalgae with an emphasis on primers. J. Microbiol. Methods 2020, 172, 105890. [Google Scholar] [CrossRef]
- Tamura, K.; Stecher, G.; Kumar, S. MEGA11: Molecular Evolutionary Genetics Analysis Version 11. Mol. Biol. Evol. 2021, 38, 3022–3027. [Google Scholar] [CrossRef]
- Chen, Y.; Vaidyanathan, S. Simultaneous assay of pigments, carbohydrates, proteins and lipids in microalgae. Anal. Chim. Acta 2013, 776, 31–40. [Google Scholar] [CrossRef]
- Corrêa, P.S.; Morais Júnior, W.G.; Martins, A.A.; Caetano, N.S.; Mata, T.M. Microalgae Biomolecules: Extraction, Separation and Purification Methods. Processes 2021, 9, 10. [Google Scholar] [CrossRef]
- Folch, J.; Lees, M.; Sloane Stanley, G.H. A simple method for the isolation and purification of total lipides from animal tissues. J. Biol. Chem. 1957, 226, 497–509. [Google Scholar] [CrossRef]
- Ritchie, R.J. Consistent sets of spectrophotometric chlorophyll equations for acetone, methanol and ethanol solvents. Photosynth. Res. 2006, 89, 27–41. [Google Scholar] [CrossRef] [PubMed]
- Wellburn, A.R. The Spectral Determination of Chlorophylls a and b, as well as Total Carotenoids, Using Various Solvents with Spectrophotometers of Different Resolution. J. Plant Physiol. 1994, 144, 307–313. [Google Scholar] [CrossRef]
- Uduman, N.; Qi, Y.; Danquah, M.K.; Forde, G.M.; Hoadley, A. Dewatering of microalgal cultures: A major bottleneck to algae-based fuels. J. Renew. Sustain. Energy 2010, 2, 012701. [Google Scholar] [CrossRef]
- Barros, A.I.; Gonçalves, A.L.; Simões, M.; Pires, J.C.M. Harvesting techniques applied to microalgae: A review. Renew. Sustain. Energy Rev. 2015, 41, 1489–1500. [Google Scholar] [CrossRef]
- Béchet, Q.; Shilton, A.; Guieysse, B. Modeling the effects of light and temperature on algae growth: State of the art and critical assessment for productivity prediction during outdoor cultivation. Biotechnol. Adv. 2013, 31, 1648–1663. [Google Scholar] [CrossRef]
- Borowitzka, M.A. High-value products from microalgae-their development and commercialisation. J. Appl. Phycol. 2013, 25, 743–756. [Google Scholar] [CrossRef]
- Patil, L.; Kaliwal, B. Optimization of biomass productivity and carbon dioxide fixation ability by freshwater microalgae scenedesmus bajacalifornicus bbklp-07, a step towards sustainable development. Int. J. Recent Sci. Res. 2017, 8, 16903–16911. [Google Scholar] [CrossRef]
- Rinanti, A.; Kardena, E.; Astuti, D.I.; Dewi, K. Improvement of carbon dioxide removal through artificial light intensity and temperature by constructed green microalgae consortium in a vertical bubble column photobioreactor. Malays. J. Microbiol. 2014, 10, 29–37. [Google Scholar] [CrossRef]
- García-Cubero, R.; Moreno-Fernández, J.; García-González, M. Modelling growth and CO2 fixation by Scenedesmus vacuolatus in continuous culture. Algal Res. 2017, 24, 333–339. [Google Scholar] [CrossRef]
- Koruyucu, A.; Schädler, T.; Gniffke, A.; Mundt, K.; Krippendorf, S.; Urban, P.; Blums, K.; Halim, B.; Brück, T.; Weuster-Botz, D. Energy-Efficient Production of Microchloropsis salina Biomass with High CO2 Fixation Yield in Open Thin-Layer Cascade Photobioreactors. Processes 2024, 12, 1303. [Google Scholar] [CrossRef]
- Khan, T.A.; Liaquat, R.; Dr, Z.; Khoja, A.H.; Bano, A. Biological Carbon Capture, Growth Kinetics and Biomass Composition of Novel Microalgal Species. SSRN Electron. J. 2022, 17, 100982. [Google Scholar] [CrossRef]
- Montoya-Vallejo, C.; Guzmán Duque, F.L.; Quintero Díaz, J.C. Biomass and lipid production by the native green microalgae Chlorella sorokiniana in response to nutrients, light intensity, and carbon dioxide: Experimental and modeling approach. Front. Bioeng. Biotechnol. 2023, 11, 1149762. [Google Scholar] [CrossRef] [PubMed]
- Masojídek, J.; Ranglová, K.; Lakatos, G.E.; Benavides, A.M.S.; Torzillo, G. Variables Governing Photosynthesis and Growth in Microalgae Mass Cultures. Processes 2021, 9, 820. [Google Scholar] [CrossRef]
- Farooq, W. Maximizing Energy Content and CO2 Bio-fixation Efficiency of an Indigenous Isolated Microalga Parachlorella kessleri HY-6 Through Nutrient Optimization and Water Recycling During Cultivation. Front. Bioeng. Biotechnol. 2022, 9, 804608. [Google Scholar] [CrossRef]
- Ruangsomboon, S. Effects of different media and nitrogen sources and levels on growth and lipid of green microalga Botryococcus braunii KMITL and its biodiesel properties based on fatty acid composition. Bioresour. Technol. 2015, 191, 377–384. [Google Scholar] [CrossRef]
- Metin, U.; Altınbaş, M. Evaluating Ammonia Toxicity and Growth Kinetics of Four Different Microalgae Species. Microorganisms 2024, 12, 1542. [Google Scholar] [CrossRef]
- Salbitani, G.; Carfagna, S. Ammonium Utilization in Microalgae: A Sustainable Method for Wastewater Treatment. Sustainability 2021, 13, 956. [Google Scholar] [CrossRef]
- Glibert, P.M.; Wilkerson, F.P.; Dugdale, R.C.; Raven, J.A.; Dupont, C.L.; Leavitt, P.R.; Parker, A.E.; Burkholder, J.M.; Kana, T.M. Pluses and minuses of ammonium and nitrate uptake and assimilation by phytoplankton and implications for productivity and community composition, with emphasis on nitrogen-enriched conditions. Limnol. Oceanogr. 2016, 61, 165–197. [Google Scholar] [CrossRef]
- Lachmann, S.C.; Mettler-Altmann, T.; Wacker, A.; Spijkerman, E. Nitrate or ammonium: Influences of nitrogen source on the physiology of a green alga. Ecol. Evol. 2019, 9, 1070–1082. [Google Scholar] [CrossRef]
- Fernández, P.A.; Roleda, M.Y.; Leal, P.P.; Hurd, C.L. Seawater pH, and not inorganic nitrogen source, affects pH at the blade surface of Macrocystis pyrifera: Implications for responses of the giant kelp to future oceanic conditions. Physiol. Plant. 2017, 159, 107–119. [Google Scholar] [CrossRef]
- Ho, S.H.; Chen, C.Y.; Chang, J.S. Effect of light intensity and nitrogen starvation on CO2 fixation and lipid/carbohydrate production of an indigenous microalga Scenedesmus obliquus CNW-N. Bioresour. Technol. 2012, 113, 244–252. [Google Scholar] [CrossRef]
- Li, C.T.; Trigani, K.; Zuñiga, C.; Eng, R.; Chen, E.; Zengler, K.; Betenbaugh, M.J. Examining the impact of carbon dioxide levels and modulation of resulting hydrogen peroxide in Chlorella vulgaris. Algal Res. 2021, 60, 102492. [Google Scholar] [CrossRef]
- Markou, G.; Nerantzis, E. Microalgae for high-value compounds and biofuels production: A review with focus on cultivation under stress conditions. Biotechnol. Adv. 2013, 31, 1532–1542. [Google Scholar] [CrossRef]
- Morales, M.; Aflalo, C.; Bernard, O. Microalgal lipids: A review of lipids potential and quantification for 95 phytoplankton species. Biomass Bioenergy 2021, 150, 106108. [Google Scholar] [CrossRef]
- Wang, X.; Fosse, H.K.; Li, K.; Chauton, M.S.; Vadstein, O.; Reitan, K.I. Influence of nitrogen limitation on lipid accumulation and EPA and DHA content in four marine microalgae for possible use in aquafeed. Front. Mar. Sci. 2019, 6, 435318. [Google Scholar] [CrossRef]
- Maltsev, Y.; Maltseva, K.; Kulikovskiy, M.; Maltseva, S. Influence of Light Conditions on Microalgae Growth and Content of Lipids, Carotenoids, and Fatty Acid Composition. Biology 2021, 10, 1060. [Google Scholar] [CrossRef] [PubMed]
- Kato, Y.; Oyama, T.; Inokuma, K.; Vavricka, C.J.; Matsuda, M.; Hidese, R.; Satoh, K.; Oono, Y.; Chang, J.S.; Hasunuma, T.; et al. Enhancing carbohydrate repartitioning into lipid and carotenoid by disruption of microalgae starch debranching enzyme. Commun. Biol. 2021, 4, 450. [Google Scholar] [CrossRef]
- Li, X.; Li, W.; Zhai, J.; Wei, H. Effect of nitrogen limitation on biochemical composition and photosynthetic performance for fed-batch mixotrophic cultivation of microalga Spirulina platensis. Bioresour. Technol. 2018, 263, 555–561. [Google Scholar] [CrossRef]
- Richmond, A. Handbook of Microalgal Culture. In Handbook of Microalgal Culture: Biotechnology and Applied Phycology; Blackwell Publishing Ltd.: Oxford, UK, 2003. [Google Scholar] [CrossRef]
- Masojídek, J.; Torzillo, G.; Koblízek, M. Photosynthesis in Microalgae. In Handbook of Microalgal Culture: Applied Phycology and Biotechnolog, 2nd ed.; Wiley: Hoboken, NJ, USA, 2013; pp. 21–36. [Google Scholar] [CrossRef]
- Geider, R.J.; MacIntyre, H.L.; Kana, T.M. Dynamic model of phytoplankton growth and acclimation: Responses of the balanced growth rate and the chlorophyll a:carbon ratio to light, nutrient-limitation and temperature. Mar. Ecol. Prog. Ser. 1997, 148, 187–200. [Google Scholar] [CrossRef]
- Li, G.; Xiao, W.; Yang, T.; Lyu, T. Optimization and Process Effect for Microalgae Carbon Dioxide Fixation Technology Applications Based on Carbon Capture: A Comprehensive Review. C 2023, 9, 35. [Google Scholar] [CrossRef]
- Dickman, E.M.; Vanni, M.J.; Horgan, M.J. Interactive effects of light and nutrients on phytoplankton stoichiometry. Oecologia 2006, 149, 676–689. [Google Scholar] [CrossRef]
- Cervera-Mata, A.; Navarro-Alarcón, M.; Rufián-Henares, J.Á.; Pastoriza, S.; Montilla-Gómez, J.; Delgado, G. Phytotoxicity and chelating capacity of spent coffee grounds: Two contrasting faces in its use as soil organic amendment. Sci. Total Environ. 2020, 717, 137247. [Google Scholar] [CrossRef]
- Fadeyi, O.; Dzantor, K.; Adeleke, E. Assessment of Biomass Productivities of Chlorella vulgaris and Scenedesmus obliquus in Defined Media and Municipal Wastewater at Varying Concentration of Nitrogen. J. Water Resour. Prot. 2016, 8, 217–225. [Google Scholar] [CrossRef]
- de Marchin, T.; Erpicum, M.; Franck, F. Photosynthesis of Scenedesmus obliquus in outdoor open thin-layer cascade system in high and low CO2 in Belgium. J. Biotechnol. 2015, 215, 2–12. [Google Scholar] [CrossRef]
- Oliveira, C.Y.B.; Oliveira, C.D.L.; Prasad, R.; Ong, H.C.; Araujo, E.S.; Shabnam, N.; Gálvez, A.O. A multidisciplinary review of Tetradesmus obliquus: A microalga suitable for large-scale biomass production and emerging environmental applications. Rev. Aquac. 2021, 13, 1594–1618. [Google Scholar] [CrossRef]
- AL-Mashhadani, M.K.H.; Khudhair, E.M. Cultivation of Chlorella vulgaris Using Airlift Photobioreactor Sparged with 5%CO2 -Air as a Biofixing Process. J. Eng. 2017, 23, 22–41. [Google Scholar] [CrossRef]
- Hu, Q.; Sommerfeld, M.; Jarvis, E.; Ghirardi, M.; Posewitz, M.; Seibert, M.; Darzins, A. Microalgal triacylglycerols as feedstocks for biofuel production: Perspectives and advances. Plant J. 2008, 54, 621–639. [Google Scholar] [CrossRef] [PubMed]
- Rodolfi, L.; Zittelli, G.C.; Bassi, N.; Padovani, G.; Biondi, N.; Bonini, G.; Tredici, M.R. Microalgae for oil: Strain selection, induction of lipid synthesis and outdoor mass cultivation in a low-cost photobioreactor. Biotechnol. Bioeng. 2009, 102, 100–112. [Google Scholar] [CrossRef] [PubMed]
- Barouh, N.; Wind, J.; Chuat, V.; Gagnaire, V.; Valence, F.; Bourlieu-Lacanal, C.; Subileau, M. Variations in Chlorella lipid content in commercial and in-lab produced biomass. OCL 2024, 31, 9. [Google Scholar] [CrossRef]
- Becker, E.W. Micro-algae as a source of protein. Biotechnol. Adv. 2007, 25, 207–210. [Google Scholar] [CrossRef]
- Dragone, G.; Fernandes, B.D.; Abreu, A.P.; Vicente, A.A.; Teixeira, J.A. Nutrient limitation as a strategy for increasing starch accumulation in microalgae. Appl. Energy 2011, 88, 3331–3335. [Google Scholar] [CrossRef]



| Variant Description | |||||
|---|---|---|---|---|---|
| Variant Name | Reactor (Mixing) | CO2 Sparging and Approximate Concentration | Nitrogen, Concentration and Form | Light | Variant Name Used on the Figures |
| batch, high C, low N, constant illumination | batch (trough bubbling) | by pure CO2 (4%) | 0.346 g L−1 (NO3−) | continuous | batch, ↑C, ↓N, 24 L |
| batch, high C, high N, constant illumination | batch (trough bubbling) | by pure CO2 (4%) | 0.6 g L−1 (NO3− and NH4+) | continuous | batch, ↑C, ↑N, 24 L |
| batch, low C, low N, constant illumination | batch (trough bubbling) | by air (0.04%) | 0.346 g L−1 (NO3−) | continuous | batch, ↓C, ↓N, 24 L |
| batch, low C, high N, constant illumination | batch (trough bubbling) | by air (0.04%) | 0.6 g L−1 (NO3− and NH4+) | continuous | batch, ↓C, ↑N, 24 L |
| fermenter, low C, low N, 16:8 light/dark regime | fermenter (constant, mechanical) | by air (0.04%) | 0.346 g L−1 (NO3−) | 16:08 | fermenter, ↓C, ↓N, 16:8 L |
| fermenter, low C, high N, 16:8 light/dark regime | fermenter (constant, mechanical) | by air (0.04%) | 0.6 g L−1 (NO3− and NH4+) | 16:08 | fermenter, ↓C, ↑N, 16:8 L |
| Strain | Growth Characteristics | Micrograph | Temperature Optimum (°C) | The Dry Mass Photo | ||
|---|---|---|---|---|---|---|
| Time to Reach the Plateau, Days | Specific Growth Rates (μ), Days−1 | Doubling Time, Days | ||||
| A | 8 | 0.267 | 2.60 | ![]() | ![]() | ![]() |
| B | 8 | 0.254 | 2.73 | ![]() | ![]() | ![]() |
| C | 12 | 0.236 | 2.94 | ![]() | ![]() | ![]() |
| D | 10 | 0.236 | 2.94 | ![]() | ![]() | ![]() |
| E | 9 | 0.182 | 3.82 | ![]() | ![]() | ![]() |
| Strain | Variant | Proteins, % | Lipids, % | Carbohydrates, % |
|---|---|---|---|---|
| A | batch, ↑C, ↓N, 24 L | 22.91 ± 2.54 | 43.65 ± 10.31 | 13.64 ± 1.31 |
| batch, ↑C, ↑N, 24 L | 15.62 ± 5.17 | 42.71 ± 6.07 | 14.87 ± 4.07 | |
| batch, ↓C, ↓N, 24 L | 15.52 ± 3.40 | 43.56 ± 3.47 | 13.48 ± 3.47 | |
| batch, ↓C, ↑N, 24 L | 17.31 ± 4.00 | 43.65 ± 5.40 | 35.48 ± 5.40 | |
| fermenter, ↓C, ↓N, 16:8 L | 20.61 ± 5.95 | 41.01 ± 2.37 | 15.90 ± 2.37 | |
| fermenter, ↓C, ↑N, 16:8 L | 17.00 ± 7.29 | 36.00 ± 2.33 | 15.00 ± 2.33 | |
| B | batch, ↑C, ↓N, 24 L | 20.72 ± 8.85 | 41.11 ± 15.29 | 12.62 ± 3.29 |
| batch, ↑C, ↑N, 24 L | 21.87 ± 3.30 | 43.90 ± 11.17 | 8.04 ± 1.17 | |
| batch, ↓C, ↓N, 24 L | 18.43 ± 4.50 | 44.00 ± 3.21 | 29.34 ± 3.21 | |
| batch, ↓C, ↑N, 24 L | 18.29 ± 5.40 | 45.45 ± 5.60 | 28.52 ± 5.60 | |
| fermenter, ↓C, ↓N, 16:8 L | 18.00 ± 1.58 | 59.20 ± 11.52 | 21.59 ± 4.52 | |
| fermenter, ↓C, ↑N, 16:8 L | 18.40 ± 1.85 | 55.45 ± 1.20 | 18.85 ± 1.20 | |
| C | batch, ↑C, ↓N, 24 L | 16.70 ± 1.69 | 61.20 ± 2.30 | 20.97 ± 2.30 |
| batch, ↑C, ↑N, 24 L | 14.67 ± 2.14 | 32.56 ± 9.22 | 16.05 ± 3.22 | |
| batch, ↓C, ↓N, 24 L | 16.66 ± 4.10 | 54.00 ± 4.10 | 26.42 ± 4.10 | |
| batch, ↓C, ↑N, 24 L | 16.38 ± 3.80 | 45.45 ± 6.70 | 25.67 ± 6.70 | |
| fermenter, ↓C, ↓N, 16:8 L | 18.09 ± 3.96 | 25.28 ± 3.07 | 24.35 ± 3.07 | |
| fermenter, ↓C, ↑N, 16:8 L | 17.00 ± 1.85 | 25.00 ± 1.20 | 22.00 ± 1.20 | |
| D | batch, ↑C, ↓N, 24 L | 16.83 ± 2.36 | 44.60 ± 1.34 | 16.39 ± 1.34 |
| batch, ↑C, ↑N, 24 L | 15.62 ± 3.04 | 42.71 ± 7.08 | 14.87 ± 7.08 | |
| batch, ↓C, ↓N, 24 L | 15.92 ± 4.20 | 52.00 ± 5.60 | 25.77 ± 5.60 | |
| batch, ↓C, ↑N, 24 L | 15.71 ± 3.60 | 45.91 ± 7.10 | 27.58 ± 3.10 | |
| fermenter, ↓C, ↓N, 16:8 L | 23.91 ± 2.13 | 60.70 ± 12.15 | 10.39 ± 2.15 | |
| fermenter, ↓C, ↑N, 16:8 L | 24.19 ± 2.49 | 54.55 ± 7.70 | 9.07 ± 7.70 | |
| E | batch, ↑C, ↓N, 24 L | 18.80 ± 1.85 | 45.29 ± 1.98 | 12.81 ± 1.98 |
| batch, ↑C, ↑N, 24 L | 18.97 ± 2.65 | 40.80 ± 2.09 | 16.56 ± 2.09 | |
| batch, ↓C, ↓N, 24 L | 15.45 ± 3.10 | 49.60 ± 3.80 | 23.68 ± 3.80 | |
| batch, ↓C, ↑N, 24 L | 17.92 ± 2.50 | 47.52 ± 4.10 | 26.80 ± 4.10 | |
| fermenter, ↓C, ↓N, 16:8 L | 20.80 ± 3.40 | 41.83 ± 14.09 | 11.42 ± 1.09 | |
| fermenter, ↓C, ↑N, 16:8 L | 19.44 ± 3.88 | 41.67 ± 14.03 | 11.39 ± 1.53 |
Disclaimer/Publisher’s Note: The statements, opinions and data contained in all publications are solely those of the individual author(s) and contributor(s) and not of MDPI and/or the editor(s). MDPI and/or the editor(s) disclaim responsibility for any injury to people or property resulting from any ideas, methods, instructions or products referred to in the content. |
© 2026 by the authors. Licensee MDPI, Basel, Switzerland. This article is an open access article distributed under the terms and conditions of the Creative Commons Attribution (CC BY) license.
Share and Cite
Galieva, G.; El Rawas, M.; Khlebova, D.; Selivanovskaya, S.; Galitskaya, P. Temperature, Nitrogen, and Carbon Constraints on Growth and Metabolism of Regional Microalgae Strains. Environments 2026, 13, 73. https://doi.org/10.3390/environments13020073
Galieva G, El Rawas M, Khlebova D, Selivanovskaya S, Galitskaya P. Temperature, Nitrogen, and Carbon Constraints on Growth and Metabolism of Regional Microalgae Strains. Environments. 2026; 13(2):73. https://doi.org/10.3390/environments13020073
Chicago/Turabian StyleGalieva, Gulnaz, Mariam El Rawas, Darya Khlebova, Svetlana Selivanovskaya, and Polina Galitskaya. 2026. "Temperature, Nitrogen, and Carbon Constraints on Growth and Metabolism of Regional Microalgae Strains" Environments 13, no. 2: 73. https://doi.org/10.3390/environments13020073
APA StyleGalieva, G., El Rawas, M., Khlebova, D., Selivanovskaya, S., & Galitskaya, P. (2026). Temperature, Nitrogen, and Carbon Constraints on Growth and Metabolism of Regional Microalgae Strains. Environments, 13(2), 73. https://doi.org/10.3390/environments13020073
















