Educational Mismatch and Workers’ Fertility Intentions: Evidence from China
Abstract
:1. Introduction
1.1. Income Channel
1.2. Psychological Channel
1.3. Career Development Channel
2. Methods
2.1. Participants
2.2. Instruments
2.2.1. Educational Mismatch
2.2.2. Fertility Intention
2.3. Data Collection Procedure
2.4. Data Analysis
3. Results
3.1. Model
3.2. Baseline Regression
3.3. Robustness Test
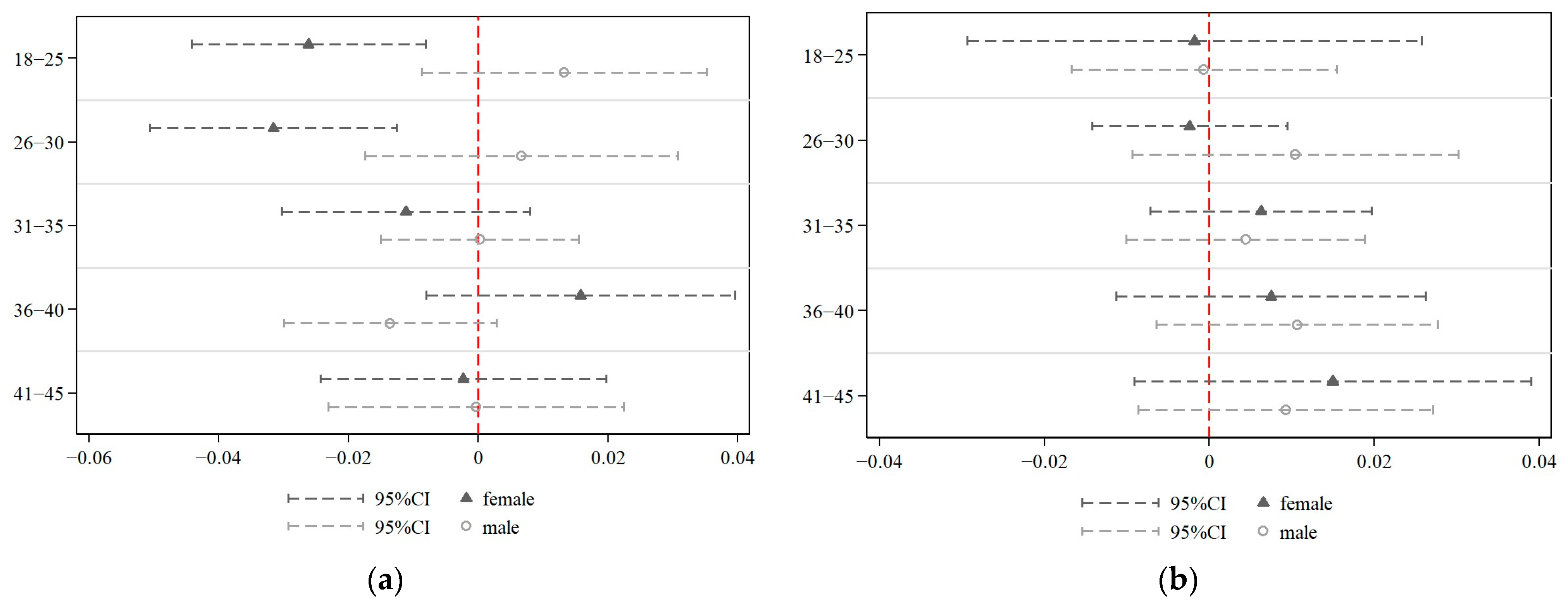
3.3.1. Discussion about Age Differences
3.3.2. Discussion about Measurement Error
- Dummy variables. We transform the explanatory variable from the continuous variable of educational mismatch years to the 0–1 dummy variable of whether it is undereducated/overeducated. After substituting dummy variables, the results in columns (1)–(2) of Table 3 are consistent with those for continuous variables.
- Mode method. Furthermore, we replace the educational mismatch measured by the mean method with the measurement of the mode method for verification. The results in columns (3)–(4) of Table 3 confirm that undereducation has a negative impact on the fertility intentions of women.
3.3.3. Discussion about the Omitted Variable Bias
- Traditional gender norms. Gender norms can significantly influence both women’s labor participation and childbearing behaviors. On one hand, traditional gender norms often dictate that women should assume greater responsibilities for household work rather than engaging in productive labor. On the other hand, these norms emphasize the importance of family continuity, placing a significant burden on women for reproduction. The decline in fertility intentions among undereducated women can be attributed to the increasingly egalitarian gender norms. These changing norms encourage women to pursue higher positions within the workplace, potentially leading them to prioritize their careers over childbearing. The CFPS survey asked, “How important are family and reproduction, scored from 1–5?” We introduce this answer as the proxy of the views on traditional gender norms.
- Fertility status. Current fertility status may influence both employment choices and future fertility intentions. Previous studies have shown that when women have children to care for, they tend to be overeducated in order to balance their family and career [53]. In addition, the experience of parenthood may influence fertility intentions [54]. Both qualitative and quantitative research has shown that the physical and socio-psychological experiences of childbearing and childrearing, particularly the subjective well-being associated with the first birth, play an important role in predicting future fertility plans [55,56]. We therefore introduce fertility status into the model.
- Migration status. Migration status can also be an omitted variable in the benchmark regression. Workers often migrate in search of better job prospects, especially in the face of the rapid expansion of the market economy and accelerated urbanization. There are more opportunities for migrant workers to advance their careers in the place of relocation. Nevertheless, ensuring equitable access to public resources and services for the migrant population remains a challenge, which may contribute to lower fertility intentions among this group. To eliminate the interference brought by migration, we further control the relevant variables in the benchmark model.
- In Table 4, columns (1) and (5), (2) and (6), and (3) and (7) present the results considering the traditional gender norm, fertility status, and migration status, respectively. Columns (4) and (8) of Table 4 are the results considering the above omitted variables at the same time. As shown in Table 4, the traditional gender norm and fertility experience can indeed significantly improve workers’ fertility intentions. However, after controlling for the above variables, the effect of undereducation on women aged 18–35 is still significant.
3.3.4. An IV Model
3.3.5. Propensity Score Matching
3.4. Mechanism Analysis
3.5. Heterogeneity Analysis
4. Discussion
4.1. Effect of Educational Mismatch on Workers’ Fertility Intentions
4.2. Mechanism for the Effect of Educational Mismatch on Workers’ Fertility Intentions
4.3. Heterogeneous Effects on Different Groups
4.4. Limitations
5. Conclusions
Author Contributions
Funding
Institutional Review Board Statement
Informed Consent Statement
Data Availability Statement
Conflicts of Interest
Appendix A
| Eastern Region | Central Region | Western Region | ||||
|---|---|---|---|---|---|---|
| <1980 | ≥1980 | <1980 | ≥1980 | <1980 | ≥1980 | |
| Heads of government agencies and public institutions | 11.73 | 14.43 | 12.16 | 14.70 | 11.54 | 14.40 |
| CEO | 9.23 | 11.91 | 9.21 | 11.33 | 7.77 | 11.06 |
| Technical staff | 12.28 | 15.06 | 12.76 | 14.50 | 11.61 | 14.10 |
| Medical staff | 12.39 | 14.44 | 11.94 | 14.46 | 12.36 | 13.61 |
| Economic and commercial staff | 13.16 | 14.38 | 12.72 | 14.38 | 12.60 | 13.87 |
| Financial staff | 12.11 | 14.50 | 12.56 | 13.93 | 11.89 | 13.52 |
| Legal professional | 15.33 | 16.00 | 15.25 | 15.83 | 14.71 | 15.75 |
| Teaching staff | 13.99 | 14.35 | 13.75 | 13.87 | 14.24 | 14.69 |
| Arts and sports professionals | 11.23 | 13.94 | 10.91 | 13.84 | 8.80 | 13.41 |
| Administrative staff | 11.73 | 14.11 | 12.84 | 13.83 | 12.41 | 13.96 |
| Security and fire service personnel | 8.24 | 11.20 | 9.64 | 11.66 | 8.35 | 11.84 |
| Post and telecommunications worker | 10.65 | 12.01 | 11.32 | 12.38 | 7.50 | 10.91 |
| Other office worker | 9.33 | 12.70 | 9.49 | 11.71 | 9.86 | 10.67 |
| Salesperson | 9.03 | 11.30 | 9.00 | 10.90 | 7.85 | 10.50 |
| Warehouse personnel | 9.40 | 10.99 | 9.61 | 10.58 | 8.71 | 10.36 |
| Catering service staff | 7.24 | 9.29 | 7.45 | 8.98 | 6.47 | 8.34 |
| Tourism and entertainment service personnel | 8.57 | 10.23 | 7.97 | 10.40 | 7.92 | 9.85 |
| Transportation service personnel | 10.12 | 12.33 | 8.40 | 12.52 | 8.44 | 11.97 |
| Social service worker | 7.33 | 10.64 | 7.79 | 10.34 | 6.69 | 9.32 |
| Planting industry production personnel | 5.35 | 8.08 | 5.07 | 8.02 | 4.03 | 6.13 |
| Forestry production and wildlife protection personnel | 5.07 | 7.34 | 6.29 | 9.57 | 7.22 | 6.00 |
| Animal husbandry production personnel | 6.13 | 7.61 | 6.11 | 8.48 | 4.73 | 8.75 |
| Fishery production personnel | 5.07 | 7.15 | 6.53 | 8.00 | 7.95 | 12.75 |
| Geological exploration and mineral extraction personnel | 8.80 | 12.00 | 8.35 | 10.33 | 6.63 | 10.21 |
| Metal smelting personnel | 8.72 | 10.96 | 9.95 | 9.75 | 9.47 | 10.25 |
| Chemical product manufacturing personnel | 8.39 | 12.53 | 9.48 | 11.88 | 6.00 | 10.87 |
| Machinery and equipment manufacturing personnel | 7.73 | 10.29 | 8.76 | 9.27 | 8.52 | 8.91 |
| Mechanical and electrical product assembly worker | 7.68 | 9.98 | 7.91 | 10.20 | 8.83 | 9.46 |
| Mechanical equipment repair personnel | 9.26 | 10.71 | 9.01 | 10.68 | 7.89 | 9.14 |
| Electrical equipment installation, operation, maintenance and power supply personnel | 9.33 | 11.28 | 10.28 | 9.55 | 9.04 | 9.98 |
| Electronic component and equipment manufacturing, assembly, troubleshooting and maintenance worker | 6.56 | 9.43 | 7.65 | 9.91 | 9.30 | 9.24 |
| Rubber and plastic product manufacturing worker | 6.29 | 9.07 | 7.35 | 9.48 | 6.20 | 8.90 |
| Textile, knitting, printing and dyeing worker | 6.07 | 8.02 | 6.58 | 8.38 | 8.37 | 8.60 |
| Cutting, sewing and leather and fur product processing and manufacturing worker | 6.88 | 7.69 | 6.79 | 8.38 | 6.18 | 7.67 |
| Food handler | 8.05 | 9.74 | 8.08 | 10.80 | 6.13 | 9.68 |
| Wood processing worker | 7.52 | 8.36 | 7.63 | 8.86 | 5.73 | 8.13 |
| Cement and cement products preparation and processing worker | 6.81 | 9.12 | 7.54 | 9.16 | 6.88 | 8.00 |
| Glass fitter | 6.75 | 9.36 | 7.20 | 8.00 | 4.94 | 9.30 |
| Film and television production worker | 7.75 | 11.00 | 7.50 | 14.00 | 4.50 | 8.40 |
| Printer | 8.89 | 10.82 | 11.25 | 9.90 | 12.00 | 9.30 |
| Craft and arts production worker | 7.06 | 9.12 | 5.33 | 8.29 | 6.96 | 7.68 |
| Engineering construction worker | 7.02 | 8.79 | 6.71 | 8.59 | 6.28 | 8.10 |
| Transport equipment operator and related worker | 8.55 | 9.43 | 8.54 | 9.44 | 7.58 | 8.62 |
| Inspection personnel | 10.00 | 11.83 | 10.03 | 11.23 | 10.63 | 11.23 |
| Other production and transport equipment operator and related worker | 6.66 | 8.75 | 6.78 | 8.27 | 5.16 | 7.62 |
| 1 | 2 | 3 | 4 | 5 | 6 | 7 | 8 | 9 | 10 | 11 | 12 | |
|---|---|---|---|---|---|---|---|---|---|---|---|---|
| intended children | 1 | |||||||||||
| 0.08 | 1 | |||||||||||
| 0.04 | −0.14 | 1 | ||||||||||
| edu | −0.12 | −0.57 | 0.44 | 1 | ||||||||
| gender | 0.04 | −0.03 | 0.09 | −0.04 | 1 | |||||||
| age | 0.07 | 0.03 | 0.02 | −0.23 | 0.04 | 1 | ||||||
| hukou | 0.09 | 0.16 | −0.22 | −0.41 | 0.03 | −0.19 | 1 | |||||
| residence | −0.09 | −0.13 | 0.15 | 0.29 | −0.07 | 0.11 | −0.42 | 1 | ||||
| health status | 0.00 | −0.03 | −0.01 | 0.05 | 0.08 | −0.24 | 0.08 | −0.07 | 1 | |||
| household income | −0.05 | −0.13 | 0.13 | 0.32 | −0.04 | 0.03 | −0.24 | 0.22 | −0.02 | 1 | ||
| employment break | −0.02 | −0.07 | 0.04 | 0.09 | 0.03 | 0.21 | −0.07 | 0.07 | −0.09 | 0.17 | 1 | |
| family size | 0.16 | 0.06 | −0.09 | −0.14 | −0.01 | −0.06 | 0.14 | −0.23 | 0.03 | 0.06 | −0.02 | 1 |
| proportion of old people | −0.01 | −0.02 | 0.00 | −0.04 | 0.01 | 0.12 | −0.03 | −0.01 | −0.02 | 0.00 | 0.01 | 0.20 |
| marital status | 0.06 | 0.04 | −0.02 | −0.17 | −0.06 | 0.53 | −0.08 | 0.06 | −0.14 | 0.05 | 0.14 | 0.12 |
| IQV index | −0.03 | −0.03 | 0.12 | 0.14 | −0.04 | −0.01 | −0.12 | 0.10 | 0.01 | 0.08 | 0.04 | −0.06 |
| views on gender norms | 0.12 | 0.07 | −0.06 | −0.15 | 0.13 | 0.04 | 0.17 | −0.12 | 0.06 | −0.02 | 0.14 | 0.11 |
| fertility status | 0.12 | 0.06 | −0.05 | −0.23 | −0.03 | 0.59 | −0.05 | 0.03 | −0.15 | 0.05 | 0.17 | 0.22 |
| migration | −0.01 | 0.00 | 0.02 | 0.06 | −0.01 | −0.08 | 0.02 | 0.08 | 0.02 | 0.08 | −0.05 | −0.13 |
| wage | −0.03 | −0.12 | 0.14 | 0.27 | 0.20 | 0.08 | −0.16 | 0.13 | 0.01 | 0.38 | 0.20 | −0.07 |
| household savings | −0.06 | −0.08 | 0.08 | 0.19 | −0.01 | 0.02 | −0.10 | 0.15 | −0.04 | 0.28 | 0.14 | −0.10 |
| job satisfaction | −0.01 | −0.02 | −0.01 | 0.10 | −0.03 | 0.00 | −0.03 | 0.01 | 0.13 | 0.10 | 0.07 | −0.01 |
| subjective well-being | −0.02 | −0.05 | −0.01 | 0.08 | −0.05 | −0.07 | −0.03 | 0.02 | 0.21 | 0.10 | −0.03 | 0.06 |
| willing to promotion | −0.01 | −0.08 | 0.08 | 0.30 | 0.05 | −0.23 | −0.09 | 0.04 | 0.06 | 0.10 | 0.02 | −0.03 |
| employment type | −0.09 | −0.03 | 0.06 | 0.16 | −0.03 | −0.10 | −0.10 | 0.02 | 0.01 | −0.01 | −0.02 | −0.07 |
| 13 | 14 | 15 | 16 | 17 | 18 | 19 | 20 | 21 | 22 | 23 | 24 | |
| proportion of old people | 1 | |||||||||||
| marital status | 0.02 | 1 | ||||||||||
| IQV index | 0.02 | −0.03 | 1 | |||||||||
| views on gender norms | 0.00 | 0.02 | −0.04 | 1 | ||||||||
| fertility status | 0.00 | 0.72 | −0.06 | 0.05 | 1 | |||||||
| migration | −0.06 | −0.01 | 0.04 | −0.01 | −0.05 | 1 | ||||||
| wage | −0.02 | 0.06 | 0.03 | 0.06 | 0.05 | 0.09 | 1 | |||||
| household savings | −0.01 | −0.01 | 0.04 | 0.03 | 0.00 | 0.04 | 0.17 | 1 | ||||
| job satisfaction | −0.01 | 0.01 | 0.05 | 0.09 | 0.00 | 0.00 | 0.11 | 0.05 | 1 | |||
| subjective well-being | −0.02 | 0.00 | 0.01 | 0.04 | 0.02 | 0.00 | 0.02 | 0.03 | 0.20 | 1 | ||
| willing to promotion | −0.03 | −0.15 | 0.05 | −0.01 | −0.17 | 0.02 | 0.14 | 0.09 | 0.09 | 0.06 | 1 | |
| employment type | 0.01 | −0.10 | −0.08 | −0.04 | −0.12 | 0.02 | 0.10 | 0.08 | −0.04 | −0.01 | 0.13 | 1 |
| Variables | 18–35 | 36–50 | |||
|---|---|---|---|---|---|
| All | Female | Male | Female | Male | |
| (1) | (2) | (3) | (4) | (5) | |
| Panel A | |||||
| 0.0008 | −0.0092 ** | 0.0088 | 0.0089 | −0.0082 | |
| (0.0032) | (0.0040) | (0.0088) | (0.0060) | (0.0105) | |
| −0.0043 | −0.0090 ** | −0.0102 | −0.0011 | −0.0010 | |
| (0.0027) | (0.0041) | (0.0069) | (0.0049) | (0.0067) | |
| gender | 0.0434 *** | ||||
| (0.0099) | |||||
| hukou | 0.0368 | 0.0016 | −0.0161 | 0.1207 *** | 0.0407 * |
| (0.0230) | (0.0209) | (0.0749) | (0.0290) | (0.0217) | |
| age | 0.0062 *** | 0.0131 *** | 0.0062 *** | 0.0085 *** | 0.0029 |
| (0.0008) | (0.0015) | (0.0021) | (0.0021) | (0.0019) | |
| residence | −0.0181 | −0.0023 | −0.0303 | 0.0042 | −0.0276 |
| (0.0128) | (0.0176) | (0.0240) | (0.0245) | (0.0232) | |
| health status | 0.0050 | 0.0242 *** | 0.0069 | 0.0040 | −0.0098 |
| (0.0048) | (0.0075) | (0.0091) | (0.0126) | (0.0066) | |
| household income | 0.0054 | 0.0116 | 0.0105 | 0.0043 | −0.0142 |
| (0.0066) | (0.0096) | (0.0129) | (0.0113) | (0.0125) | |
| employment break | 0.0078 | 0.0053 | 0.0098 | 0.0132 | −0.0139 |
| (0.0145) | (0.0185) | (0.0200) | (0.0190) | (0.0289) | |
| family size | 0.0280 *** | 0.0233 *** | 0.0156 * | 0.0415 *** | 0.0475 *** |
| (0.0040) | (0.0064) | (0.0088) | (0.0107) | (0.0078) | |
| proportion of old people | −0.1330 *** | −0.1742 ** | −0.0699 | −0.3242 *** | −0.0051 |
| (0.0453) | (0.0658) | (0.1612) | (0.0784) | (0.0794) | |
| marital status—married | 0.1049 *** | 0.0357 | 0.1205 *** | 0.3100 | 0.3875 *** |
| (0.0173) | (0.0255) | (0.0141) | (0.1846) | (0.0903) | |
| marital status—divorced | −0.0229 | −0.0778 | −0.0212 | 0.2339 | 0.2186 * |
| (0.0344) | (0.0661) | (0.0482) | (0.1781) | (0.1121) | |
| IQV index | 0.0211 | −0.4135 | 0.2792 | −0.0043 | −0.0093 |
| (0.1582) | (0.3727) | (0.3122) | (0.2608) | (0.2114) | |
| Industry FE | Yes | Yes | Yes | Yes | Yes |
| County FE | Yes | Yes | Yes | Yes | Yes |
| Year FE | Yes | Yes | Yes | Yes | Yes |
| Observations | 14,535 | 3699 | 3852 | 2939 | 3626 |
| R-squared | 0.1997 | 0.2141 | 0.2133 | 0.2944 | 0.2839 |
| Panel B | |||||
| 0.0030 | 0.0007 | 0.0052 | −0.0015 | 0.0043 | |
| (0.0027) | (0.0045) | (0.0052) | (0.0087) | (0.0051) | |
| −0.0020 | −0.0114 *** | −0.0028 | 0.0019 | 0.0019 | |
| (0.0023) | (0.0027) | (0.0043) | (0.0047) | (0.0047) | |
| gender | 0.0473 *** | ||||
| (0.0091) | |||||
| hukou | 0.0418 ** | 0.0067 | 0.0152 | 0.1190 *** | 0.0384 |
| (0.0158) | (0.0213) | (0.0309) | (0.0264) | (0.0227) | |
| age | 0.0059 *** | 0.0128 *** | 0.0061 *** | 0.0093 *** | 0.0005 |
| (0.0008) | (0.0014) | (0.0021) | (0.0019) | (0.0022) | |
| residence | −0.0138 | 0.0152 | −0.0176 | −0.0225 | −0.0385 |
| (0.0123) | (0.0182) | (0.0216) | (0.0302) | (0.0228) | |
| health status | 0.0050 | 0.0183 ** | 0.0098 | 0.0005 | −0.0038 |
| (0.0041) | (0.0067) | (0.0097) | (0.0140) | (0.0067) | |
| household income | 0.0079 | 0.0151 * | −0.0015 | 0.0206 | −0.0085 |
| (0.0066) | (0.0086) | (0.0164) | (0.0154) | (0.0129) | |
| employment break | 0.0109 | 0.0318 | −0.0103 | 0.0235 | −0.0178 |
| (0.0146) | (0.0223) | (0.0241) | (0.0174) | (0.0258) | |
| family size | 0.0276 *** | 0.0201 ** | 0.0181 ** | 0.0370 *** | 0.0452 *** |
| (0.0031) | (0.0081) | (0.0074) | (0.0116) | (0.0080) | |
| proportion of old people | −0.1029 ** | −0.1053 | −0.0652 | −0.2742 *** | −0.0049 |
| (0.0442) | (0.0710) | (0.1568) | (0.0797) | (0.0640) | |
| marital status—married | 0.1039 *** | 0.0148 | 0.1436 *** | 0.3275 * | 0.2640 ** |
| (0.0157) | (0.0308) | (0.0210) | (0.1668) | (0.0991) | |
| marital status—divorced | −0.0597 | −0.1025 | −0.0265 | 0.2085 | 0.0827 |
| (0.0393) | (0.0686) | (0.0418) | (0.1740) | (0.1416) | |
| IQV index | −0.0884 | −0.5004 * | −0.0189 | −0.2514 | 0.0771 |
| (0.1551) | (0.2740) | (0.2920) | (0.2747) | (0.2099) | |
| Industry FE | Yes | Yes | Yes | Yes | Yes |
| County FE | Yes | Yes | Yes | Yes | Yes |
| Year FE | Yes | Yes | Yes | Yes | Yes |
| Observations | 15,830 | 3854 | 4437 | 2983 | 4095 |
| R-squared | 0.1879 | 0.2060 | 0.1912 | 0.2761 | 0.2675 |
| Variables | Dummy Variables | Mode Method | ||
|---|---|---|---|---|
| Female | Male | Female | Male | |
| (1) | (2) | (3) | (4) | |
| Panel A | ||||
| −0.0318 * | 0.0220 | |||
| (0.0182) | (0.0446) | |||
| −0.0152 ** | −0.0018 | |||
| (0.0054) | (0.0099) | |||
| −0.0079 * | −0.0124 * | −0.0154 *** | −0.0194 ** | |
| (0.0043) | (0.0061) | (0.0037) | (0.0090) | |
| hukou | 0.0029 | −0.0189 | −0.0128 | −0.0602 |
| (0.0212) | (0.0734) | (0.0253) | (0.1006) | |
| age | 0.0132 *** | 0.0061 *** | 0.0141 *** | 0.0047 * |
| (0.0015) | (0.0021) | (0.0024) | (0.0023) | |
| residence | −0.0021 | −0.0301 | −0.0007 | −0.0443 |
| (0.0176) | (0.0240) | (0.0214) | (0.0265) | |
| health status | 0.0246 *** | 0.0069 | 0.0250 ** | 0.0001 |
| (0.0076) | (0.0092) | (0.0094) | (0.0108) | |
| household income | 0.0112 | 0.0108 | 0.0211 | −0.0027 |
| (0.0094) | (0.0129) | (0.0123) | (0.0143) | |
| employment break | 0.0053 | 0.0094 | −0.0066 | −0.0019 |
| (0.0185) | (0.0202) | (0.0189) | (0.0205) | |
| family size | 0.0236 *** | 0.0155 * | 0.0186 ** | 0.0202 * |
| (0.0065) | (0.0088) | (0.0076) | (0.0106) | |
| proportion of old people | −0.1758 ** | −0.0692 | −0.2017 *** | −0.0503 |
| (0.0652) | (0.1608) | (0.0670) | (0.1637) | |
| marital status—married | 0.0363 | 0.1200 *** | 0.0519 * | 0.1557 *** |
| (0.0254) | (0.0133) | (0.0295) | (0.0204) | |
| marital status—divorced | −0.0769 | −0.0216 | −0.0525 | 0.0318 |
| (0.0664) | (0.0486) | (0.0900) | (0.0873) | |
| IQV index | −0.4534 | 0.3284 | 0.0158 | 0.5215 |
| (0.3664) | (0.3218) | (0.3836) | (0.4818) | |
| Industry FE | Yes | Yes | Yes | Yes |
| County FE | Yes | Yes | Yes | Yes |
| Year FE | Yes | Yes | Yes | Yes |
| Observations | 3699 | 3852 | 2833 | 2824 |
| R-squared | 0.2137 | 0.2131 | 0.2308 | 0.2367 |
| Panel B | ||||
| 0.0017 | 0.0209 | |||
| (0.0186) | (0.0211) | |||
| 0.0026 | 0.0053 | |||
| (0.0035) | (0.0036) | |||
| −0.0113 *** | −0.0022 | −0.0105 *** | −0.0043 | |
| (0.0030) | (0.0041) | (0.0034) | (0.0044) | |
| hukou | 0.0067 | 0.0155 | 0.0037 | 0.0043 |
| (0.0213) | (0.0309) | (0.0267) | (0.0338) | |
| age | 0.0128 *** | 0.0063 *** | 0.0111 *** | 0.0067 *** |
| (0.0014) | (0.0021) | (0.0016) | (0.0022) | |
| residence | 0.0152 | −0.0176 | 0.0225 | −0.0175 |
| (0.0182) | (0.0216) | (0.0174) | (0.0217) | |
| health status | 0.0183 ** | 0.0100 | 0.0280 *** | 0.0126 |
| (0.0067) | (0.0097) | (0.0055) | (0.0103) | |
| household income | 0.0151 * | −0.0017 | 0.0129 | 0.0108 |
| (0.0085) | (0.0164) | (0.0098) | (0.0185) | |
| employment break | 0.0318 | −0.0102 | 0.0213 | −0.0043 |
| (0.0223) | (0.0241) | (0.0209) | (0.0225) | |
| family size | 0.0201 ** | 0.0181 ** | 0.0182 * | 0.0205 ** |
| (0.0081) | (0.0074) | (0.0089) | (0.0079) | |
| proportion of old people | −0.1053 | −0.0652 | −0.1112 * | −0.1023 |
| (0.0712) | (0.1566) | (0.0629) | (0.1696) | |
| marital status—married | 0.0148 | 0.1433 *** | 0.0030 | 0.1551 *** |
| (0.0309) | (0.0208) | (0.0365) | (0.0231) | |
| marital status—divorced | −0.1025 | −0.0267 | −0.0695 | 0.0065 |
| (0.0686) | (0.0414) | (0.0589) | (0.0640) | |
| IQV index | −0.4979 * | −0.0178 | −0.7465 ** | −0.2074 |
| (0.2717) | (0.2900) | (0.3212) | (0.3646) | |
| Industry FE | Yes | Yes | Yes | Yes |
| County FE | Yes | Yes | Yes | Yes |
| Year FE | Yes | Yes | Yes | Yes |
| Observations | 3854 | 4437 | 3260 | 3881 |
| R-squared | 0.2060 | 0.1911 | 0.2144 | 0.1953 |
| Variables | Female | Male | ||||||
|---|---|---|---|---|---|---|---|---|
| (1) | (2) | (3) | (4) | (5) | (6) | (7) | (8) | |
| Panel A | ||||||||
| −0.0087 * | −0.0090 ** | −0.0088 ** | −0.0081 * | 0.0094 | 0.0089 | 0.0115 | 0.0122 | |
| (0.0043) | (0.0039) | (0.0038) | (0.0039) | (0.0088) | (0.0089) | (0.0104) | (0.0104) | |
| −0.0063 | −0.0081 * | −0.0092 ** | −0.0063 | −0.0074 | −0.0097 | −0.0113 | −0.0083 | |
| (0.0040) | (0.0042) | (0.0039) | (0.0040) | (0.0067) | (0.0070) | (0.0085) | (0.0086) | |
| 0.0370 *** | 0.0281 *** | 0.0512 *** | 0.0463 *** | |||||
| (0.0061) | (0.0065) | (0.0083) | (0.0098) | |||||
| 0.0732 ** | 0.0744 ** | 0.0585 | 0.0474 | |||||
| (0.0300) | (0.0268) | (0.0338) | (0.0292) | |||||
| 0.0242 | 0.0259 | −0.0244 | −0.0222 | |||||
| (0.0371) | (0.0364) | (0.0466) | (0.0446) | |||||
| hukou | 0.0028 | 0.0000 | −0.0062 | −0.0063 | −0.0250 | −0.0184 | −0.0434 | −0.0530 |
| (0.0210) | (0.0211) | (0.0243) | (0.0246) | (0.0740) | (0.0745) | (0.0788) | (0.0775) | |
| age | 0.0131 *** | 0.0115 *** | 0.0117 *** | 0.0101 *** | 0.0069 *** | 0.0051 ** | 0.0071 ** | 0.0069 ** |
| (0.0015) | (0.0018) | (0.0021) | (0.0025) | (0.0022) | (0.0022) | (0.0026) | (0.0029) | |
| residence | −0.0044 | −0.0033 | −0.0060 | −0.0079 | −0.0295 | −0.0311 | −0.0381 | −0.0376 |
| (0.0171) | (0.0183) | (0.0147) | (0.0147) | (0.0247) | (0.0239) | (0.0237) | (0.0242) | |
| health status | 0.0195 ** | 0.0244 *** | 0.0193 *** | 0.0167 ** | 0.0007 | 0.0069 | 0.0124 | 0.0067 |
| (0.0079) | (0.0076) | (0.0065) | (0.0074) | (0.0085) | (0.0091) | (0.0107) | (0.0099) | |
| household income | 0.0113 | 0.0122 | 0.0102 | 0.0099 | 0.0119 | 0.0113 | 0.0238 | 0.0264 |
| (0.0089) | (0.0102) | (0.0162) | (0.0167) | (0.0120) | (0.0130) | (0.0159) | (0.0154) | |
| employment break | 0.0053 | 0.0038 | −0.0197 | −0.0215 | 0.0060 | 0.0083 | 0.0120 | 0.0062 |
| (0.0178) | (0.0193) | (0.0216) | (0.0224) | (0.0189) | (0.0198) | (0.0188) | (0.0189) | |
| family size | 0.0230 *** | 0.0209 *** | 0.0200 *** | 0.0174 *** | 0.0149 | 0.0135 | 0.0112 | 0.0089 |
| (0.0059) | (0.0059) | (0.0062) | (0.0055) | (0.0091) | (0.0089) | (0.0083) | (0.0086) | |
| proportion of old people | −0.1634 ** | −0.1651 ** | −0.1486 *** | −0.1319 ** | −0.0612 | −0.0551 | −0.0382 | −0.0144 |
| (0.0662) | (0.0687) | (0.0483) | (0.0496) | (0.1632) | (0.1613) | (0.1536) | (0.1547) | |
| marital status—married | 0.0281 | −0.0120 | 0.0324 | −0.0223 | 0.1162 *** | 0.0810 ** | 0.1072 *** | 0.0742 ** |
| (0.0258) | (0.0380) | (0.0282) | (0.0371) | (0.0137) | (0.0305) | (0.0174) | (0.0298) | |
| marital status—divorced | −0.0679 | −0.1282 * | −0.0679 | −0.1151 | −0.0072 | −0.0578 | 0.0054 | −0.0103 |
| (0.0655) | (0.0628) | (0.0765) | (0.0734) | (0.0541) | (0.0410) | (0.0532) | (0.0566) | |
| IQV index | −0.3963 | −0.4398 | −0.5374 | −0.5617 | 0.2864 | 0.2867 | 0.0124 | 0.0358 |
| (0.3425) | (0.3590) | (0.3848) | (0.3492) | (0.3061) | (0.3129) | (0.2260) | (0.2207) | |
| Industry FE | Yes | Yes | Yes | Yes | Yes | Yes | Yes | Yes |
| County FE | Yes | Yes | Yes | Yes | Yes | Yes | Yes | Yes |
| Year FE | Yes | Yes | Yes | Yes | Yes | Yes | Yes | Yes |
| Observations | 3698 | 3699 | 3320 | 3319 | 3852 | 3852 | 3331 | 3331 |
| R-squared | 0.2207 | 0.2155 | 0.2172 | 0.2226 | 0.2207 | 0.2138 | 0.2298 | 0.2366 |
| Panel B | ||||||||
| 0.0008 | 0.0010 | −0.0010 | −0.0004 | 0.0048 | 0.0052 | 0.0073 | 0.0066 | |
| (0.0045) | (0.0045) | (0.0050) | (0.0049) | (0.0053) | (0.0051) | (0.0055) | (0.0056) | |
| −0.0081 *** | −0.0106 *** | −0.0119 *** | −0.0081 *** | −0.0004 | −0.0023 | −0.0049 | −0.0017 | |
| (0.0024) | (0.0027) | (0.0028) | (0.0027) | (0.0044) | (0.0043) | (0.0057) | (0.0057) | |
| 0.0451 *** | 0.0369 *** | 0.0495 *** | 0.0454 *** | |||||
| (0.0076) | (0.0083) | (0.0090) | (0.0101) | |||||
| 0.0544 * | 0.0560 * | 0.0539 * | 0.0622 * | |||||
| (0.0308) | (0.0298) | (0.0289) | (0.0323) | |||||
| 0.0238 | 0.0201 | −0.0154 | −0.0165 | |||||
| (0.0329) | (0.0326) | (0.0399) | (0.0387) | |||||
| hukou | 0.0086 | 0.0058 | −0.0024 | −0.0011 | 0.0050 | 0.0139 | −0.0136 | −0.0239 |
| (0.0221) | (0.0214) | (0.0228) | (0.0234) | (0.0292) | (0.0308) | (0.0323) | (0.0306) | |
| age | 0.0127 *** | 0.0115 *** | 0.0111 *** | 0.0097 *** | 0.0068 *** | 0.0050 ** | 0.0070 *** | 0.0063 ** |
| (0.0014) | (0.0017) | (0.0017) | (0.0021) | (0.0022) | (0.0023) | (0.0024) | (0.0027) | |
| residence | 0.0123 | 0.0142 | 0.0064 | 0.0039 | −0.0182 | −0.0182 | −0.0191 | −0.0200 |
| (0.0174) | (0.0181) | (0.0139) | (0.0136) | (0.0217) | (0.0214) | (0.0215) | (0.0213) | |
| health status | 0.0117 * | 0.0186 ** | 0.0140 * | 0.0092 | 0.0038 | 0.0098 | 0.0138 | 0.0081 |
| (0.0067) | (0.0066) | (0.0075) | (0.0067) | (0.0094) | (0.0097) | (0.0121) | (0.0117) | |
| household income | 0.0160 * | 0.0155 * | 0.0166 | 0.0171 | −0.0011 | −0.0009 | 0.0151 | 0.0169 |
| (0.0080) | (0.0088) | (0.0138) | (0.0140) | (0.0162) | (0.0165) | (0.0135) | (0.0133) | |
| employment break | 0.0322 | 0.0305 | 0.0172 | 0.0155 | −0.0141 | −0.0120 | −0.0115 | −0.0181 |
| (0.0222) | (0.0229) | (0.0276) | (0.0285) | (0.0230) | (0.0241) | (0.0230) | (0.0224) | |
| family size | 0.0192 ** | 0.0180 ** | 0.0172 ** | 0.0145 ** | 0.0167 ** | 0.0159 ** | 0.0143 * | 0.0101 |
| (0.0074) | (0.0077) | (0.0071) | (0.0064) | (0.0077) | (0.0070) | (0.0073) | (0.0070) | |
| proportion of old people | −0.0895 | −0.0990 | −0.1092 ** | −0.0902 * | −0.0541 | −0.0513 | −0.0147 | 0.0148 |
| (0.0702) | (0.0732) | (0.0493) | (0.0505) | (0.1591) | (0.1540) | (0.1659) | (0.1650) | |
| marital status—married | 0.0047 | −0.0184 | 0.0119 | −0.0304 | 0.1387 *** | 0.1091 *** | 0.1385 *** | 0.0962 *** |
| (0.0320) | (0.0404) | (0.0317) | (0.0417) | (0.0194) | (0.0289) | (0.0232) | (0.0291) | |
| marital status—divorced | −0.0918 | −0.1365 ** | −0.0903 | −0.1211 | −0.0174 | −0.0574 | −0.0162 | −0.0402 |
| (0.0673) | (0.0624) | (0.0834) | (0.0787) | (0.0468) | (0.0407) | (0.0553) | (0.0603) | |
| IQV index | −0.4450 * | −0.5135 * | −0.6547 ** | −0.6283 ** | 0.0069 | −0.0155 | −0.3011 | −0.2560 |
| (0.2565) | (0.2705) | (0.2610) | (0.2482) | (0.2884) | (0.2919) | (0.3047) | (0.3054) | |
| Industry FE | Yes | Yes | Yes | Yes | Yes | Yes | Yes | Yes |
| County FE | Yes | Yes | Yes | Yes | Yes | Yes | Yes | Yes |
| Year FE | Yes | Yes | Yes | Yes | Yes | Yes | Yes | Yes |
| Observations | 3854 | 3854 | 3451 | 3451 | 4437 | 4437 | 3825 | 3825 |
| R-squared | 0.2152 | 0.2069 | 0.2099 | 0.2171 | 0.1983 | 0.1916 | 0.1988 | 0.2059 |
| Variables | 18–35 | 36–50 | |||
|---|---|---|---|---|---|
| All | Female | Male | Female | Male | |
| (1) | (2) | (3) | (4) | (5) | |
| Panel A | |||||
| 0.0375 | −0.0651 *** | 0.0376 | 0.0026 | −0.0227 | |
| (0.0246) | (0.0146) | (0.0771) | (0.0596) | (0.0476) | |
| 0.0121 | −0.0336 *** | 0.0022 | −0.0043 | −0.0082 | |
| (0.0116) | (0.0084) | (0.0312) | (0.0290) | (0.0249) | |
| gender | 0.0469 *** | ||||
| (0.0092) | |||||
| hukou | 0.0531 * | −0.0181 | 0.0000 | 0.1161 ** | 0.0348 |
| (0.0276) | (0.0233) | (0.0703) | (0.0440) | (0.0330) | |
| age | 0.0080 *** | 0.0117 *** | 0.0068 ** | 0.0082 ** | 0.0022 |
| (0.0015) | (0.0022) | (0.0024) | (0.0037) | (0.0025) | |
| residence | −0.0204 | −0.0074 | −0.0318 | 0.0050 | −0.0252 |
| (0.0126) | (0.0160) | (0.0237) | (0.0250) | (0.0223) | |
| health status | 0.0063 | 0.0233 *** | 0.0071 | 0.0049 | 0.0099 |
| (0.0046) | (0.0073) | (0.0094) | (0.0129) | (0.0068) | |
| household income | 0.0013 | 0.0159 | 0.0084 | 0.0062 | −0.0117 |
| (0.0071) | (0.0099) | (0.0155) | (0.0171) | (0.0147) | |
| employment break | 0.0081 | 0.0024 | 0.0125 | 0.0135 | −0.0136 |
| (0.0143) | (0.0181) | (0.0191) | (0.0172) | (0.0295) | |
| family size | 0.0284 *** | 0.0205 *** | 0.0156 | 0.0412 *** | 0.0466 *** |
| (0.0039) | (0.0062) | (0.0095) | (0.0106) | (0.0076) | |
| proportion of old people | −0.1245 ** | −0.1767 ** | −0.0723 | −0.3229 *** | −0.0015 |
| (0.0450) | (0.0706) | (0.1622) | (0.0927) | (0.0845) | |
| marital status—married | 0.1072 *** | 0.0330 | 0.1213 *** | 0.3103 | 0.3942 *** |
| (0.0177) | (0.0247) | (0.0137) | (0.1854) | (0.0887) | |
| marital status—divorced | −0.0208 | −0.0748 | −0.0229 | 0.2363 | 0.2300 * |
| (0.0339) | (0.0634) | (0.0449) | (0.1925) | (0.1147) | |
| IQV index | −0.1152 | −0.1664 | 0.0902 | 0.0773 | 0.1101 |
| (0.1981) | (0.5417) | (0.7741) | (0.2467) | (0.2892) | |
| First-stage | |||||
| 7.4118 *** | 8.2680 *** | 7.5607 *** | 8.6787 *** | 7.6972 *** | |
| (0.9073) | (1.4122) | (1.5857) | (1.2210) | (0.9190) | |
| −0.0025 | −0.0058 | −0.0012 | −0.0079 ** | −0.0010 | |
| 0.0015 | (0.0049) | (0.0020) | (0.0040) | (0.0010) | |
| Industry FE | Yes | Yes | Yes | Yes | Yes |
| County FE | Yes | Yes | Yes | Yes | Yes |
| Year FE | Yes | Yes | Yes | Yes | Yes |
| F statistic | 34.06 | 17.68 | 14.18 | 26.98 | 46.38 |
| Hanse J p value | 0.252 | 0.190 | 0.506 | 0.181 | 0.493 |
| Observations | 14,488 | 3685 | 3841 | 2927 | 3615 |
| Panel B | |||||
| −0.0130 | 0.0331 | −0.0010 | 0.0342 | 0.0212 | |
| (0.0172) | (0.0196) | (0.0509) | (0.0583) | (0.0299) | |
| 0.0048 | −0.0250 *** | 0.0000 | −0.0104 | −0.0071 | |
| (0.0081) | (0.0081) | (0.0249) | (0.0194) | (0.0176) | |
| gender | 0.0521 *** | ||||
| (0.0102) | |||||
| hukou | 0.0419 ** | 0.0045 | 0.0167 | 0.1113 *** | 0.0384 |
| (0.0154) | (0.0218) | (0.0292) | (0.0279) | (0.0222) | |
| age | 0.0066 *** | 0.0118 *** | 0.0064 ** | 0.0088 *** | −0.0000 |
| (0.0011) | (0.0016) | (0.0029) | (0.0020) | (0.0023) | |
| residence | −0.0161 | 0.0155 | −0.0184 | −0.0221 | −0.0382 |
| (0.0118) | (0.0192) | (0.0213) | (0.0283) | (0.0233) | |
| health status | 0.0051 | 0.0190 *** | 0.0099 | 0.0011 | 0.0038 |
| (0.0042) | (0.0061) | (0.0105) | (0.0138) | (0.0069) | |
| household income | 0.0072 | 0.0170 * | −0.0029 | 0.0224 | −0.0075 |
| (0.0068) | (0.0084) | (0.0176) | (0.0165) | (0.0112) | |
| employment break | 0.0105 | 0.0331 | −0.0096 | 0.0196 | −0.0172 |
| (0.0142) | (0.0203) | (0.0233) | (0.0167) | (0.0266) | |
| family size | 0.0271 *** | 0.0196 ** | 0.0177 ** | 0.0380 *** | 0.0446 *** |
| (0.0030) | (0.0079) | (0.0076) | (0.0117) | (0.0074) | |
| proportion of old people | −0.1024 ** | −0.1035 | −0.0705 | −0.2855 *** | −0.0052 |
| (0.0428) | (0.0706) | (0.1567) | (0.0896) | (0.0668) | |
| marital status—married | 0.1060 *** | 0.0166 | 0.1426 *** | 0.3292 * | 0.2726 ** |
| (0.0156) | (0.0294) | (0.0218) | (0.1613) | (0.0963) | |
| marital status—divorced | −0.0576 | −0.0906 | −0.0286 | 0.2094 | 0.0954 |
| (0.0384) | (0.0705) | (0.0401) | (0.1689) | (0.1430) | |
| IQV index | −0.0307 | −0.6008 | 0.0224 | −0.3553 | 0.1558 |
| (0.1207) | (0.4523) | (0.3176) | (0.4729) | (0.2262) | |
| First-stage | |||||
| −8.223 *** | −8.3849 *** | −10.9730 *** | −7.6270 *** | −10.8952 *** | |
| (1.0988) | (1.3708) | (1.8974) | (1.4940) | (1.2600) | |
| 0.0041 *** | 0.0100 | 0.0027 * | 0.0066 ** | 0.0011 | |
| (0.0015) | (0.0074) | (0.0014) | (0.0027) | (0.0016) | |
| Industry FE | Yes | Yes | Yes | Yes | Yes |
| County FE | Yes | Yes | Yes | Yes | Yes |
| Year FE | Yes | Yes | Yes | Yes | Yes |
| F statistic | 28.55 | 35.89 | 17.23 | 13.09 | 37.53 |
| Hanse J p value | 0.227 | 0.290 | 0.313 | 0.281 | 0.797 |
| Observations | 15,755 | 3828 | 4419 | 2969 | 4078 |
| Variables | lnWage | lnSaving | Job_sat | Wellbing | Prom | Prom_adm | Prom_tech |
|---|---|---|---|---|---|---|---|
| (1) | (2) | (3) | (4) | (5) | (6) | (7) | |
| 0.0285 * | 0.0331 | −0.0011 | −0.0125 | 0.0222 *** | 0.0137 | 0.0138 ** | |
| (0.0148) | (0.0697) | (0.0117) | (0.0192) | (0.0061) | (0.0080) | (0.0062) | |
| 0.0518 *** | 0.0628 | −0.0042 | 0.0168 | 0.0396 *** | 0.0182 *** | 0.0255 *** | |
| (0.0068) | (0.0710) | (0.0049) | (0.0204) | (0.0055) | (0.0048) | (0.0068) | |
| hukou | −0.0438 | 0.1631 | −0.0760 ** | −0.1078 | −0.0429 | −0.0687 ** | −0.0274 |
| (0.0491) | (0.3268) | (0.0352) | (0.0859) | (0.0330) | (0.0319) | (0.0472) | |
| age | 0.0348 *** | 0.0275 | −0.0104 * | −0.0151 * | −0.0022 | −0.0054 ** | 0.0009 |
| (0.0107) | (0.0254) | (0.0053) | (0.0080) | (0.0026) | (0.0021) | (0.0028) | |
| residence | −0.0299 | 0.7235 * | −0.0433 ** | −0.0410 | −0.0289 | −0.0183 | −0.0293 |
| (0.0540) | (0.3544) | (0.0205) | (0.0754) | (0.0279) | (0.0231) | (0.0293) | |
| health status | 0.0648 *** | 0.1477 | 0.1057 *** | 0.4002 *** | 0.0040 | 0.0084 | 0.0106 |
| (0.0146) | (0.0900) | (0.0141) | (0.0480) | (0.0079) | (0.0107) | (0.0091) | |
| household income | 0.2005 *** | 1.3507 *** | 0.0655 *** | 0.1341 ** | 0.0211 | 0.0060 | 0.0170 |
| (0.0450) | (0.1896) | (0.0183) | (0.0497) | (0.0122) | (0.0141) | (0.0150) | |
| employment break | 0.1267 ** | 0.3399 | −0.0496 | −0.0606 | −0.0178 | 0.0103 | −0.0126 |
| (0.0493) | (0.2791) | (0.0313) | (0.0517) | (0.0297) | (0.0252) | (0.0329) | |
| family size | −0.0069 | −0.2782 *** | −0.0153 | 0.0173 | −0.0036 | −0.0036 | −0.0058 |
| (0.0167) | (0.0764) | (0.0117) | (0.0252) | (0.0050) | (0.0064) | (0.0047) | |
| proportion of old people | −0.0207 | 0.7383 | −0.0646 | −0.2353 | 0.0892 | 0.0656 | 0.0061 |
| (0.0832) | (1.1938) | (0.1298) | (0.2097) | (0.0603) | (0.0749) | (0.0700) | |
| marital status—married | −0.1585 ** | 0.1278 | 0.1045 * | 0.0860 | −0.0522 | −0.0341 | −0.0792 * |
| (0.0558) | (0.2175) | (0.0599) | (0.0983) | (0.0376) | (0.0291) | (0.0389) | |
| marital status—divorced | −0.0570 | −1.5227 ** | 0.3988 *** | −1.1026 ** | 0.1209 | 0.1343 | 0.1841 * |
| (0.1133) | (0.6526) | (0.0865) | (0.3927) | (0.1005) | (0.1045) | (0.0984) | |
| IQV index | 1.2213 | −2.4240 | 0.0582 | −0.2848 | 0.5929 | 1.5164 *** | −0.4233 |
| (0.7678) | (5.3424) | (0.4385) | (0.9470) | (0.5002) | (0.4517) | (0.7328) | |
| Industry FE | Yes | Yes | Yes | Yes | Yes | Yes | Yes |
| County FE | Yes | Yes | Yes | Yes | Yes | Yes | Yes |
| Year FE | Yes | Yes | Yes | Yes | Yes | Yes | Yes |
| Observations | 2595 | 2421 | 3699 | 3699 | 2373 | 2373 | 2373 |
| R-squared | 0.3458 | 0.2360 | 0.1597 | 0.1595 | 0.2290 | 0.1757 | 0.1951 |
| Variables | Low_edu | High_edu | Low_income | Middle_income | High_income |
|---|---|---|---|---|---|
| (1) | (2) | (3) | (4) | (5) | |
| −0.0201 *** | 0.0001 | −0.0295 *** | −0.0073 | 0.0009 | |
| (0.0052) | (0.0263) | (0.0080) | (0.0079) | (0.0073) | |
| −0.0294 *** | 0.0061 | −0.0134 | −0.0154 * | −0.0050 | |
| (0.0080) | (0.0081) | (0.0080) | (0.0078) | (0.0059) | |
| hukou | −0.0024 | 0.0110 | −0.0993 * | 0.0598 | 0.0014 |
| (0.0528) | (0.0318) | (0.0567) | (0.0572) | (0.0273) | |
| age | 0.0108 *** | 0.0129 *** | 0.0137 ** | 0.0113 *** | 0.0147 *** |
| (0.0024) | (0.0034) | (0.0058) | (0.0037) | (0.0033) | |
| residence | 0.0306 * | −0.0212 | −0.0332 | 0.0157 | −0.0080 |
| (0.0158) | (0.0260) | (0.0407) | (0.0251) | (0.0231) | |
| health status | 0.0173 | 0.0239 * | 0.0303 | 0.0089 | 0.0330 ** |
| (0.0113) | (0.0130) | (0.0209) | (0.0103) | (0.0121) | |
| household income | 0.0196 | −0.0105 | −0.0455 | 0.1730 ** | 0.0405 |
| (0.0150) | (0.0158) | (0.0284) | (0.0764) | (0.0516) | |
| employment break | −0.0263 | 0.0344 | 0.0055 | 0.0268 | −0.0012 |
| (0.0304) | (0.0275) | (0.0347) | (0.0320) | (0.0310) | |
| family size | 0.0170 ** | 0.0343 *** | 0.0133 | 0.0450 *** | 0.0231 ** |
| (0.0079) | (0.0094) | (0.0108) | (0.0131) | (0.0107) | |
| proportion of old people | −0.1786 ** | −0.1399 | −0.3551 ** | −0.2017 | −0.1007 |
| (0.0645) | (0.1138) | (0.1608) | (0.1677) | (0.1546) | |
| marital status—married | 0.0475 | 0.0328 | 0.0813 | 0.0019 | 0.0401 |
| (0.0366) | (0.0345) | (0.0731) | (0.0437) | (0.0364) | |
| marital status—divorced | −0.0341 | −0.1483 | −0.0309 | −0.0015 | −0.0889 |
| (0.0904) | (0.1179) | (0.1184) | (0.1507) | (0.1429) | |
| IQV index | 0.2397 | −1.3294 * | −0.4861 | −0.1254 | −0.3043 |
| (0.4046) | (0.6888) | (0.6451) | (0.5827) | (0.4496) | |
| Industry FE | Yes | Yes | Yes | Yes | Yes |
| County FE | Yes | Yes | Yes | Yes | Yes |
| Year FE | Yes | Yes | Yes | Yes | Yes |
| Observations | 1762 | 1865 | 835 | 1083 | 1644 |
| R-squared | 0.2677 | 0.2208 | 0.3349 | 0.3331 | 0.2489 |
| Variables | Self-employed | Employed | Public_sector | Private_sector | |
| (6) | (7) | (8) | (9) | ||
| 0.0213 * | −0.0107 ** | 0.0177 | −0.0134 *** | ||
| (0.0105) | (0.0041) | (0.0220) | (0.0045) | ||
| 0.0159 * | −0.0087 | 0.0089 | −0.0111 ** | ||
| (0.0087) | (0.0054) | (0.0117) | (0.0047) | ||
| hukou | 0.1123 | −0.0073 | 0.0431 | −0.0167 | |
| (0.0991) | (0.0236) | (0.0590) | (0.0275) | ||
| age | 0.0201 *** | 0.0128 *** | 0.0173 ** | 0.0123 *** | |
| (0.0061) | (0.0018) | (0.0079) | (0.0022) | ||
| residence | 0.0547 | −0.0114 | −0.0082 | −0.0182 | |
| (0.0562) | (0.0182) | (0.0486) | (0.0193) | ||
| health status | 0.0483 | 0.0190 * | 0.0791 *** | 0.0038 | |
| (0.0316) | (0.0092) | (0.0269) | (0.0108) | ||
| household income | 0.0414 | 0.0073 | 0.0541 | 0.0045 | |
| (0.0331) | (0.0105) | (0.0424) | (0.0099) | ||
| employment break | −0.0130 | 0.0092 | −0.0626 | 0.0169 | |
| (0.0377) | (0.0201) | (0.0436) | (0.0220) | ||
| family size | 0.0262 ** | 0.0220 ** | 0.0258 * | 0.0231 ** | |
| (0.0117) | (0.0085) | (0.0140) | (0.0095) | ||
| proportion of old people | −0.4119 * | −0.1304 * | −0.0808 | −0.0957 | |
| (0.1911) | (0.0724) | (0.1953) | (0.0769) | ||
| marital status—married | −0.0437 | 0.0446 | 0.0767 | 0.0282 | |
| (0.0868) | (0.0276) | (0.0570) | (0.0298) | ||
| marital status—divorced | −0.2458 | −0.0621 | −0.1046 | −0.0595 | |
| (0.3250) | (0.0625) | (0.2596) | (0.0564) | ||
| IQV index | −2.6165 ** | −0.1432 | −0.5567 | −0.2544 | |
| (0.9618) | (0.4225) | (0.8738) | (0.5581) | ||
| Industry FE | Yes | Yes | Yes | Yes | |
| County FE | Yes | Yes | Yes | Yes | |
| Year FE | Yes | Yes | Yes | Yes | |
| Observations | 525 | 3107 | 655 | 2382 | |
| R-squared | 0.3759 | 0.2087 | 0.3265 | 0.2378 |
References
- Morgan, S.P. Is Low Fertility a Twenty-First-Century Demographic Crisis? Demography 2003, 40, 589–603. [Google Scholar] [CrossRef]
- Liepmann, H. The Impact of a Negative Labor Demand Shock on Fertility—Evidence from the Fall of the Berlin Wall. Labour Econ. 2018, 54, 210–224. [Google Scholar] [CrossRef]
- Lindo, J.M. Are Children Really Inferior Goods?: Evidence from Displacement-Driven Income Shocks. J. Hum. Resour. 2010, 45, 301–327. [Google Scholar] [CrossRef]
- Zhang, C.; Li, T. Culture, Fertility and the Socioeconomic Status of Women. China Econ. Rev. 2017, 45, 279–288. [Google Scholar] [CrossRef]
- Khan, Q.; Wang, S. The Effect of Family Planning Exposure on Fertility Choices and Reproductive Health Care in Rural Pakistan. J. Asian Econ. 2021, 73, 101283. [Google Scholar] [CrossRef]
- Black, S.E.; Devereux, P.J.; Salvanes, K.G. Staying in the Classroom and Out of the Maternity Ward? The Effect of Compulsory Schooling Laws on Teenage Births. Econ. J. 2008, 118, 1025–1054. [Google Scholar] [CrossRef]
- Duncan, G.J.; Hoffman, S.D. The Incidence and Wage Effects of Overeducation. Econ. Educ. Rev. 1981, 1, 75–86. [Google Scholar] [CrossRef]
- Groot, W.; van den Brink, H.M. Overeducation in the Labor Market: A Meta-Analysis. Econ. Educ. Rev. 2000, 19, 149–158. [Google Scholar] [CrossRef]
- Lamo, A.; Messina, J. Formal Education, Mismatch and Wages after Transition: Assessing the Impact of Unobserved Heterogeneity Using Matching Estimators. Econ. Educ. Rev. 2010, 29, 1086–1099. [Google Scholar] [CrossRef]
- Hartog, J. Over-Education and Earnings: Where Are We, Where Should We Go? Econ. Educ. Rev. 2000, 19, 131–147. [Google Scholar] [CrossRef]
- Dudal, P.; Bracke, P. On the Moderation of the Relation between Overeducation and Depressive Symptoms through Labor Market and Macro-Economic Factors. Health Place 2019, 56, 135–146. [Google Scholar] [CrossRef] [PubMed]
- Becker, G.S.; Duesenberry, J.S.; Okun, B. An Economic Analysis of Fertility; Columbia University Press: New York, NY, USA, 1960. [Google Scholar]
- Mills, M.; Rindfuss, R.R.; McDonald, P.; te Velde, E.; on behalf of the ESHRE Reproduction and Society Task Force. Why Do People Postpone Parenthood? Reasons and Social Policy Incentives. Hum. Reprod. Update 2011, 17, 848–860. [Google Scholar] [CrossRef] [PubMed]
- Cigno, A. Intergenerational Transfers without Altruism: Family, market and state. Eur. J. Polit.Econ. 1993, 9, 505–518. [Google Scholar] [CrossRef]
- Leibenstein, H. Economic Backwardness and Economic Growth: Studies in the Theory of Economic Development; Wiley: Hoboken, NJ, USA, 1957. [Google Scholar]
- Guo, R.; Li, H.; Yi, J.; Zhang, J. Fertility, Household Structure, and Parental Labor Supply: Evidence from China. J. Comp. Econ. 2018, 46, 145–156. [Google Scholar] [CrossRef]
- Cools, S.; Strøm, M. Parenthood Wage Penalties in a Double Income Society. Rev. Econ. Househ. 2016, 14, 391–416. [Google Scholar] [CrossRef]
- Chen, C.; Zhao, W.; Chou, S.-Y.; Lien, H.-M. The Effect of Family Size on Parents’ Labor Supply and Occupational Prestige: Evidence from Taiwan and Mainland China. China Econ. Rev. 2021, 66, 101596. [Google Scholar] [CrossRef]
- Sattinger, M. Assignment Models of the Distribution of Earnings. J. Econ. Lit. 1993, 31, 831–880. [Google Scholar]
- Büchel, F. The Effects of Overeducation on Productivity in Germany—the Firms’ Viewpoint. Econ. Educ. Rev. 2002, 21, 263–275. [Google Scholar] [CrossRef]
- Tsang, M.C. The Impact of Underutilization of Education on Productivity: A Case Study of the U.S. Bell Companies. Econ. Educ. Rev. 1987, 6, 239–254. [Google Scholar] [CrossRef]
- Li, G.L.; You, L. Educational Mismatch, Informal Employment and Penalty Effects of Wages. J. Financ. Econ. 2020, 12, 103–118. [Google Scholar] [CrossRef]
- Bauer, T.K. Educational Mismatch and Wages: A Panel Analysis. Econ. Educ. Rev. 2002, 21, 221–229. [Google Scholar] [CrossRef]
- Becker, G.S. Human Capital: A Theoretical and Empirical Analysis with Special Reference to Education, 2nd ed.; Human Behavior and Social Institutions; National Bureau of Economic Research, Distributed by Columbia University Press: New York, NY, USA, 1975; ISBN 978-0-87014-513-1. [Google Scholar]
- Dolton, P.; Vignoles, A. The Incidence and Effects of Overeducation in the U.K. Graduate Labour Market. Econ. Educ. Rev. 2000, 19, 179–198. [Google Scholar] [CrossRef]
- Marioni, L.D.S. Overeducation in the Labour Market: Evidence from Brazil. Educ. Econ. 2021, 29, 53–72. [Google Scholar] [CrossRef]
- Verdugo, R.R.; Verdugo, N.T. The Impact of Surplus Schooling on Earnings: Some Additional Findings. J. Hum. Resour. 1989, 24, 629. [Google Scholar] [CrossRef]
- Barro, R.J.; Becker, G.S. Fertility Choice in a Model of Economic Growth. Econometrica 1989, 57, 481. [Google Scholar] [CrossRef]
- Ogawa, N.; Matsukura, R.; Lee, S.-H. Women’s Changing Work Arrangements, Career Paths, and Marital Fertility in Japan. Adv. Life Course Res. 2020, 46, 100375. [Google Scholar] [CrossRef]
- Ge, S.; Yang, D.T.; Zhang, J. Population Policies, Demographic Structural Changes, and the Chinese Household Saving Puzzle. Eur. Econ. Rev. 2018, 101, 181–209. [Google Scholar] [CrossRef]
- Fleming, C.M.; Kler, P. I’m Too Clever for This Job: A Bivariate Probit Analysis on Overeducation and Job Satisfaction in Australia. Appl. Econ. 2008, 40, 1123–1138. [Google Scholar] [CrossRef]
- Bracke, P.; Pattyn, E.; von dem Knesebeck, O. Overeducation and Depressive Symptoms: Diminishing Mental Health Returns to Education. Sociol. Health Illn. 2013, 35, 1242–1259. [Google Scholar] [CrossRef]
- Ueno, K.; Krause, A. Overeducation, Perceived Career Progress, and Work Satisfaction in Young Adulthood. Res. Soc. Stratif. Mobil. 2018, 55, 51–62. [Google Scholar] [CrossRef]
- Amador, L.B. Education and Competence Mismatches: Job Satisfaction Consequences for Workers; ASEPUMA: Madrid, Spain, 2008. [Google Scholar]
- Becker, G.S. The Economic Approach to Human Behavior; University of Chicago Press: Chicago, IL, USA; London, UK, 1976; ISBN 978-0-226-04112-4. [Google Scholar]
- Zhang, L.; Gowan, M.A.; Treviño, M. Cross-Cultural Correlates of Career and Parental Role Commitment. J. Manag. Psychol. 2014, 29, 736–754. [Google Scholar] [CrossRef]
- Michel, J.S.; Hargis, M.B. Linking Mechanisms of Work–Family Conflict and Segmentation. J. Vocat. Behav. 2008, 73, 509–522. [Google Scholar] [CrossRef]
- Hung, C.-Y. Overeducation and Undereducation in Taiwan. J. Asian Econ. 2008, 19, 125–137. [Google Scholar] [CrossRef]
- Groeneveld, S.; Hartog, J. Overeducation, Wages and Promotions within the Firm. Labour Econ. 2004, 11, 701–714. [Google Scholar] [CrossRef]
- Meroni, E.C.; Vera-Toscano, E. The Persistence of Overeducation among Recent Graduates. Labour Econ. 2017, 48, 120–143. [Google Scholar] [CrossRef]
- Tölke, A.; Diewald, M. Insecurities in Employment and Occupational Careers and Their Impact on the Transition to Fatherhood in Western Germany. Demogr. Res. 2003, 9, 41–68. [Google Scholar] [CrossRef]
- Lucifora, C.; Meurs, D.; Villar, E. The “Mommy Track” in the Workplace. Evidence from a Large French Firm. Labour Econ. 2021, 72, 102035. [Google Scholar] [CrossRef]
- Damelang, A.; Ruf, K. Once Outside, Always Outside? The Link between Overeducation Persistence and Training Systems throughout the Employment Career. Soc. Sci. Res. 2023, 109, 102774. [Google Scholar] [CrossRef]
- Adda, J.; Dustmann, C.; Stevens, K. The Career Costs of Children. J. Polit. Econ. 2017, 125, 293–337. [Google Scholar] [CrossRef]
- Kleven, H.; Landais, C.; Søgaard, J.E. Children and Gender Inequality: Evidence from Denmark. Am. Econ. J. Appl. Econ. 2019, 11, 181–209. [Google Scholar] [CrossRef]
- Rege, M.; Solli, I.F. The Impact of Paternity Leave on Fathers’ Future Earnings. Demography 2013, 50, 2255–2277. [Google Scholar] [CrossRef] [PubMed]
- Capsada-Munsech, Q. Measuring Overeducation: Incidence, Correlation and Overlaps Across Indicators and Countries. Soc. Indic. Res. 2019, 145, 279–301. [Google Scholar] [CrossRef]
- National Standard Full Text Disclosure System. Available online: https://openstd.samr.gov.cn/bzgk/gb/index (accessed on 22 July 2021).
- McGuinness, S. Overeducation in the Labour Market. J. Econ. Surv. 2006, 20, 387–418. [Google Scholar] [CrossRef]
- Mueller, J.H.; Schuessler, K.F.; Costner, H.L. Statistical Reasoning in Sociology, 3rd ed.; Houghton Mifflin: Boston, MA, USA, 1977; ISBN 978-0-395-24417-3. [Google Scholar]
- Hayford, S.R. The Evolution of Fertility Expectations over the Life Course. Demography 2009, 46, 765–783. [Google Scholar] [CrossRef] [PubMed]
- Korpi, T.; Tåhlin, M. Educational Mismatch, Wages, and Wage Growth: Overeducation in Sweden, 1974–2000. Labour Econ. 2009, 16, 183–193. [Google Scholar] [CrossRef]
- Fleming, C.M.; Kler, P. Female Overeducation, Job Satisfaction and the Impact of Children at Home in Australia. Econ. Anal. Policy 2014, 44, 143–155. [Google Scholar] [CrossRef]
- Luppi, F. When Is the Second One Coming? The Effect of Couple’s Subjective Well-Being Following the Onset of Parenthood. Eur. J. Popul. 2016, 32, 421–444. [Google Scholar] [CrossRef]
- Newman, L. How Parenthood Experiences Influence Desire for More Children in Australia: A Qualitative Study. J. Popul. Res. 2008, 25, 1–27. [Google Scholar] [CrossRef]
- Margolis, R.; Myrskylä, M. Parental Well-Being Surrounding First Birth as a Determinant of Further Parity Progression. Demography 2015, 52, 1147–1166. [Google Scholar] [CrossRef]
- Acemoglu, D.; Restrepo, P. The Race between Man and Machine: Implications of Technology for Growth, Factor Shares, and Employment. Am. Econ. Rev. 2018, 108, 1488–1542. [Google Scholar] [CrossRef]
- Kountouris, Y. Higher Education and Fertility: Evidence from Reforms in Greece. Econ. Educ. Rev. 2020, 79, 102059. [Google Scholar] [CrossRef]
- Brand, J.E.; Davis, D. The Impact of College Education on Fertility: Evidence for Heterogeneous Effects. Demography 2011, 48, 863–887. [Google Scholar] [CrossRef] [PubMed]
- Berniell, I.; Berniell, L.; de la Mata, D.; Edo, M.; Marchionni, M. Gender Gaps in Labor Informality: The Motherhood Effect. J. Dev. Econ. 2021, 150, 102599. [Google Scholar] [CrossRef]
- Adserà, A. Changing Fertility Rates in Developed Countries. The Impact of Labor Market Institutions. J. Popul. Econ. 2004, 17, 17–43. [Google Scholar] [CrossRef]
- Nielsen, H.S.; Simonsen, M.; Verner, M. Does the Gap in Family-Friendly Policies Drive the Family Gap? Scand. J. Econ. 2004, 106, 721–744. [Google Scholar] [CrossRef]
- Okun, B.S.; Oliver, A.L.; Khait-Marelly, O. The Public Sector, Family Structure, and Labor Market Behavior: Jewish Mothers in Israel. Work. Occup. 2007, 34, 174–204. [Google Scholar] [CrossRef]


| Variable | Mean | Std | Min | Max |
|---|---|---|---|---|
| Intended number of children | 1.82 | 0.64 | 0 | 12 |
| Degree of undereducation | 0.54 | 1.77 | 0 | 14.11 |
| Degree of overeducation | 0.81 | 1.91 | 0 | 11.27 |
| Years of educational attainment | 10.55 | 3.85 | 0 | 22 |
| Gender (male = 1, female = 0) | 0.55 | 0.50 | 0 | 1 |
| Age | 34.73 | 8.72 | 18 | 50 |
| Hukou (rural hukou = 1, urban hukou = 0) | 0.63 | 0.48 | 0 | 1 |
| Residence (urban = 1, rural = 0) | 0.64 | 0.48 | 0 | 1 |
| Health status (score of 1–5) | 2.66 | 1.06 | 1 | 5 |
| Marital status (unmarried = 1; married = 2; divorced = 3) | 1.86 | 0.43 | 1 | 3 |
| Employment break (yes = 1, no = 0) | 0.29 | 0.46 | 0 | 1 |
| Family size | 4.19 | 1.83 | 1 | 10 |
| The proportion of household members aged 65 | 0.07 | 0.14 | 0 | 0.86 |
| Total household income (log) | 10.96 | 0.87 | 0 | 15.27 |
| IQV index | 0.86 | 0.03 | 0.75 | 0.96 |
| Views on traditional gender norms (score of 1–5) | 3.39 | 1.45 | 1 | 5 |
| Fertility status (have children = 1, childless = 0) | 0.75 | 0.43 | 0 | 1 |
| Migration (migration across city = 1, else = 0) | 0.11 | 0.31 | 0 | 1 |
| Wage (log) | 10.26 | 0.89 | 0 | 13.64 |
| Household savings (log) | 7.04 | 5.03 | 0 | 15.43 |
| Job satisfaction (score of 1–5) | 3.52 | 0.83 | 1 | 5 |
| Subjective well-being (score of 0–10) | 7.60 | 2 | 0 | 10 |
| Willing to promotion (yes = 1, no = 0) | 0.58 | 0.49 | 0 | 1 |
| Employment type (employed = 1, self-employed = 0) | 0.80 | 0.40 | 0 | 1 |
| Variables | 18–35 | 36–50 | |||
|---|---|---|---|---|---|
| All | Female | Male | Female | Male | |
| (1) | (2) | (3) | (4) | (5) | |
| Panel A | |||||
| 0.0008 | −0.0092 ** | 0.0088 | 0.0089 | −0.0082 | |
| (0.0032) | (0.0040) | (0.0088) | (0.0060) | (0.0105) | |
| −0.0043 | −0.0090 ** | −0.0102 | −0.0011 | −0.0010 | |
| (0.0027) | (0.0041) | (0.0069) | (0.0049) | (0.0067) | |
| Controls | Yes | Yes | Yes | Yes | Yes |
| Industry FE | Yes | Yes | Yes | Yes | Yes |
| County FE | Yes | Yes | Yes | Yes | Yes |
| Year FE | Yes | Yes | Yes | Yes | Yes |
| Observations | 14,535 | 3699 | 3852 | 2939 | 3626 |
| R-squared | 0.1997 | 0.2141 | 0.2133 | 0.2944 | 0.2839 |
| Panel B | |||||
| 0.0030 | 0.0007 | 0.0052 | −0.0015 | 0.0043 | |
| (0.0027) | (0.0045) | (0.0052) | (0.0087) | (0.0051) | |
| −0.0020 | −0.0114 *** | −0.0028 | 0.0019 | 0.0019 | |
| (0.0023) | (0.0027) | (0.0043) | (0.0047) | (0.0047) | |
| Controls | Yes | Yes | Yes | Yes | Yes |
| Industry FE | Yes | Yes | Yes | Yes | Yes |
| County FE | Yes | Yes | Yes | Yes | Yes |
| Year FE | Yes | Yes | Yes | Yes | Yes |
| Observations | 15,830 | 3854 | 4437 | 2983 | 4095 |
| R-squared | 0.1879 | 0.2060 | 0.1912 | 0.2761 | 0.2675 |
| Variables | Dummy Variables | Mode Method | ||
|---|---|---|---|---|
| Female | Male | Female | Male | |
| (1) | (2) | (3) | (4) | |
| Panel A | ||||
| −0.0318 * | 0.0220 | |||
| (0.0182) | (0.0446) | |||
| −0.0152 ** | −0.0018 | |||
| (0.0054) | (0.0099) | |||
| −0.0079 * | −0.0124 * | −0.0154 *** | −0.0194 ** | |
| (0.0043) | (0.0061) | (0.0037) | (0.0090) | |
| Controls | Yes | Yes | Yes | Yes |
| Industry FE | Yes | Yes | Yes | Yes |
| County FE | Yes | Yes | Yes | Yes |
| Year FE | Yes | Yes | Yes | Yes |
| Observations | 3699 | 3852 | 2833 | 2824 |
| R-squared | 0.2137 | 0.2131 | 0.2308 | 0.2367 |
| Panel B | ||||
| 0.0017 | 0.0209 | |||
| (0.0186) | (0.0211) | |||
| 0.0026 | 0.0053 | |||
| (0.0035) | (0.0036) | |||
| −0.0113 *** | −0.0022 | −0.0105 *** | −0.0043 | |
| (0.0030) | (0.0041) | (0.0034) | (0.0044) | |
| Controls | Yes | Yes | Yes | Yes |
| Industry FE | Yes | Yes | Yes | Yes |
| County FE | Yes | Yes | Yes | Yes |
| Year FE | Yes | Yes | Yes | Yes |
| Observations | 3854 | 4437 | 3260 | 3881 |
| R-squared | 0.2060 | 0.1911 | 0.2144 | 0.1953 |
| Variables | Female | Male | ||||||
|---|---|---|---|---|---|---|---|---|
| (1) | (2) | (3) | (4) | (5) | (6) | (7) | (8) | |
| Panel A | ||||||||
| −0.0087 * | −0.0090 ** | −0.0088 ** | −0.0081 * | 0.0094 | 0.0089 | 0.0115 | 0.0122 | |
| (0.0043) | (0.0039) | (0.0038) | (0.0039) | (0.0088) | (0.0089) | (0.0104) | (0.0104) | |
| −0.0063 | −0.0081 * | −0.0092 ** | −0.0063 | −0.0074 | −0.0097 | −0.0113 | −0.0083 | |
| (0.0040) | (0.0042) | (0.0039) | (0.0040) | (0.0067) | (0.0070) | (0.0085) | (0.0086) | |
| 0.0370 *** | 0.0281 *** | 0.0512 *** | 0.0463 *** | |||||
| (0.0061) | (0.0065) | (0.0083) | (0.0098) | |||||
| 0.0732 ** | 0.0744 ** | 0.0585 | 0.0474 | |||||
| (0.0300) | (0.0268) | (0.0338) | (0.0292) | |||||
| 0.0242 | 0.0259 | −0.0244 | −0.0222 | |||||
| (0.0371) | (0.0364) | (0.0466) | (0.0446) | |||||
| Controls | Yes | Yes | Yes | Yes | Yes | Yes | Yes | Yes |
| Industry FE | Yes | Yes | Yes | Yes | Yes | Yes | Yes | Yes |
| County FE | Yes | Yes | Yes | Yes | Yes | Yes | Yes | Yes |
| Year FE | Yes | Yes | Yes | Yes | Yes | Yes | Yes | Yes |
| Observations | 3698 | 3699 | 3320 | 3319 | 3852 | 3852 | 3331 | 3331 |
| R-squared | 0.2207 | 0.2155 | 0.2172 | 0.2226 | 0.2207 | 0.2138 | 0.2298 | 0.2366 |
| Panel B | ||||||||
| 0.0008 | 0.0010 | −0.0010 | −0.0004 | 0.0048 | 0.0052 | 0.0073 | 0.0066 | |
| (0.0045) | (0.0045) | (0.0050) | (0.0049) | (0.0053) | (0.0051) | (0.0055) | (0.0056) | |
| −0.0081 *** | −0.0106 *** | −0.0119 *** | −0.0081 *** | −0.0004 | −0.0023 | −0.0049 | −0.0017 | |
| (0.0024) | (0.0027) | (0.0028) | (0.0027) | (0.0044) | (0.0043) | (0.0057) | (0.0057) | |
| 0.0451 *** | 0.0369 *** | 0.0495 *** | 0.0454 *** | |||||
| (0.0076) | (0.0083) | (0.0090) | (0.0101) | |||||
| 0.0544 * | 0.0560 * | 0.0539 * | 0.0622 * | |||||
| (0.0308) | (0.0298) | (0.0289) | (0.0323) | |||||
| 0.0238 | 0.0201 | −0.0154 | −0.0165 | |||||
| (0.0329) | (0.0326) | (0.0399) | (0.0387) | |||||
| Controls | Yes | Yes | Yes | Yes | Yes | Yes | Yes | Yes |
| Industry FE | Yes | Yes | Yes | Yes | Yes | Yes | Yes | Yes |
| County FE | Yes | Yes | Yes | Yes | Yes | Yes | Yes | Yes |
| Year FE | Yes | Yes | Yes | Yes | Yes | Yes | Yes | Yes |
| Observations | 3854 | 3854 | 3451 | 3451 | 4437 | 4437 | 3825 | 3825 |
| R-squared | 0.2152 | 0.2069 | 0.2099 | 0.2171 | 0.1983 | 0.1916 | 0.1988 | 0.2059 |
| Variables | 18–35 | 36–50 | |||
|---|---|---|---|---|---|
| All | Female | Male | Female | Male | |
| (1) | (2) | (3) | (4) | (5) | |
| Panel A | |||||
| 0.0375 | −0.0651 *** | 0.0376 | 0.0026 | −0.0227 | |
| (0.0246) | (0.0146) | (0.0771) | (0.0596) | (0.0476) | |
| 0.0121 | −0.0336 *** | 0.0022 | −0.0043 | −0.0082 | |
| (0.0116) | (0.0084) | (0.0312) | (0.0290) | (0.0249) | |
| First-stage | |||||
| 7.4118 *** | 8.2680 *** | 7.5607 *** | 8.6787 *** | 7.6972 *** | |
| (0.9073) | (1.4122) | (1.5857) | (1.2210) | (0.9190) | |
| −0.0025 | −0.0058 | −0.0012 | −0.0079 ** | −0.0010 | |
| 0.0015 | (0.0049) | (0.0020) | (0.0040) | (0.0010) | |
| Controls | Yes | Yes | Yes | Yes | Yes |
| Industry FE | Yes | Yes | Yes | Yes | Yes |
| County FE | Yes | Yes | Yes | Yes | Yes |
| Year FE | Yes | Yes | Yes | Yes | Yes |
| F statistic | 34.06 | 17.68 | 14.18 | 26.98 | 46.38 |
| Hanse J p value | 0.252 | 0.190 | 0.506 | 0.181 | 0.493 |
| Observations | 14488 | 3685 | 3841 | 2927 | 3615 |
| Panel B | |||||
| −0.0130 | 0.0331 | −0.0010 | 0.0342 | 0.0212 | |
| (0.0172) | (0.0196) | (0.0509) | (0.0583) | (0.0299) | |
| 0.0048 | −0.0250 *** | 0.0000 | −0.0104 | −0.0071 | |
| (0.0081) | (0.0081) | (0.0249) | (0.0194) | (0.0176) | |
| First-stage | |||||
| −8.223 *** | −8.3849 *** | −10.9730 *** | −7.6270 *** | −10.8952 *** | |
| (1.0988) | (1.3708) | (1.8974) | (1.4940) | (1.2600) | |
| 0.0041 *** | 0.0100 | 0.0027 * | 0.0066 ** | 0.0011 | |
| (0.0015) | (0.0074) | (0.0014) | (0.0027) | (0.0016) | |
| Controls | Yes | Yes | Yes | Yes | Yes |
| Industry FE | Yes | Yes | Yes | Yes | Yes |
| County FE | Yes | Yes | Yes | Yes | Yes |
| Year FE | Yes | Yes | Yes | Yes | Yes |
| F statistic | 28.55 | 35.89 | 17.23 | 13.09 | 37.53 |
| Hanse J p value | 0.227 | 0.290 | 0.313 | 0.281 | 0.797 |
| Observations | 15755 | 3828 | 4419 | 2969 | 4078 |
| Variables | Treated | Controls | Diff | S.E. | T Value | |
|---|---|---|---|---|---|---|
| Unmatched | 2.0454 | 1.8426 | 0.2028 | 0.0248 | 8.19 | |
| 1.7112 | 1.8317 | −0.1205 | 0.0188 | −6.41 | ||
| K-nearest neighbor matching (1:1) | 1.9269 | 2.1582 | −0.2313 | 0.0860 | −2.69 *** | |
| 1.7131 | 1.7320 | −0.0189 | 0.0306 | −0.62 | ||
| K-nearest neighbor matching (1:4) | 1.9269 | 2.1095 | −0.1826 | 0.0606 | −3.01 *** | |
| 1.7131 | 1.7203 | −0.0072 | 0.0255 | −0.28 | ||
| Radius matching | 1.9269 | 2.1917 | −0.2649 | 0.0505 | −5.25 *** | |
| 1.7131 | 1.7287 | −0.0156 | 0.0226 | −0.69 | ||
| Local linear regression matching | 1.9267 | 2.1358 | −0.2088 | 0.0860 | −2.43 *** | |
| 1.7131 | 1.7317 | −0.0186 | 0.0306 | −0.61 | ||
| Kernel matching | 1.9269 | 2.1851 | −0.2583 | 0.0506 | −5.11 *** | |
| 1.7131 | 1.7291 | −0.0160 | 0.0226 | −0.71 |
| Variables | lnWage | lnSaving | Job_sat | Wellbing | Prom | Prom_adm | Prom_tech |
|---|---|---|---|---|---|---|---|
| (1) | (2) | (3) | (4) | (5) | (6) | (7) | |
| 0.0285 * | 0.0331 | −0.0011 | −0.0125 | 0.0222 *** | 0.0137 | 0.0138 ** | |
| (0.0148) | (0.0697) | (0.0117) | (0.0192) | (0.0061) | (0.0080) | (0.0062) | |
| 0.0518 *** | 0.0628 | −0.0042 | 0.0168 | 0.0396 *** | 0.0182 *** | 0.0255 *** | |
| (0.0068) | (0.0710) | (0.0049) | (0.0204) | (0.0055) | (0.0048) | (0.0068) | |
| Controls | Yes | Yes | Yes | Yes | Yes | Yes | Yes |
| Industry FE | Yes | Yes | Yes | Yes | Yes | Yes | Yes |
| County FE | Yes | Yes | Yes | Yes | Yes | Yes | Yes |
| Year FE | Yes | Yes | Yes | Yes | Yes | Yes | Yes |
| Observations | 2595 | 2421 | 3699 | 3699 | 2373 | 2373 | 2373 |
| R-squared | 0.3458 | 0.2360 | 0.1597 | 0.1595 | 0.2290 | 0.1757 | 0.1951 |
| Variables | Low_edu | High_edu | Low_income | Middle_income | High_income |
|---|---|---|---|---|---|
| (1) | (2) | (3) | (4) | (5) | |
| −0.0201 *** | 0.0001 | −0.0295 *** | −0.0073 | 0.0009 | |
| (0.0052) | (0.0263) | (0.0080) | (0.0079) | (0.0073) | |
| −0.0294 *** | 0.0061 | −0.0134 | −0.0154 * | −0.0050 | |
| (0.0080) | (0.0081) | (0.0080) | (0.0078) | (0.0059) | |
| Controls | Yes | Yes | Yes | Yes | Yes |
| Industry FE | Yes | Yes | Yes | Yes | Yes |
| County FE | Yes | Yes | Yes | Yes | Yes |
| Year FE | Yes | Yes | Yes | Yes | Yes |
| Observations | 1762 | 1865 | 835 | 1083 | 1644 |
| R-squared | 0.2677 | 0.2208 | 0.3349 | 0.3331 | 0.2489 |
| Variables | Self-employed | Employed | Public_sector | Private_sector | |
| (6) | (7) | (8) | (9) | ||
| 0.0213 * | −0.0107 ** | 0.0177 | −0.0134 *** | ||
| (0.0105) | (0.0041) | (0.0220) | (0.0045) | ||
| 0.0159 * | −0.0087 | 0.0089 | −0.0111 ** | ||
| (0.0087) | (0.0054) | (0.0117) | (0.0047) | ||
| Controls | Yes | Yes | Yes | Yes | |
| Industry FE | Yes | Yes | Yes | Yes | |
| County FE | Yes | Yes | Yes | Yes | |
| Year FE | Yes | Yes | Yes | Yes | |
| Observations | 525 | 3107 | 655 | 2382 | |
| R-squared | 0.3759 | 0.2087 | 0.3265 | 0.2378 |
Disclaimer/Publisher’s Note: The statements, opinions and data contained in all publications are solely those of the individual author(s) and contributor(s) and not of MDPI and/or the editor(s). MDPI and/or the editor(s) disclaim responsibility for any injury to people or property resulting from any ideas, methods, instructions or products referred to in the content. |
© 2023 by the authors. Licensee MDPI, Basel, Switzerland. This article is an open access article distributed under the terms and conditions of the Creative Commons Attribution (CC BY) license (https://creativecommons.org/licenses/by/4.0/).
Share and Cite
Zhang, Z.; Zhao, N.; Liao, W.; Chen, H. Educational Mismatch and Workers’ Fertility Intentions: Evidence from China. Behav. Sci. 2023, 13, 837. https://doi.org/10.3390/bs13100837
Zhang Z, Zhao N, Liao W, Chen H. Educational Mismatch and Workers’ Fertility Intentions: Evidence from China. Behavioral Sciences. 2023; 13(10):837. https://doi.org/10.3390/bs13100837
Chicago/Turabian StyleZhang, Zizhe, Nan Zhao, Wanqing Liao, and Hounan Chen. 2023. "Educational Mismatch and Workers’ Fertility Intentions: Evidence from China" Behavioral Sciences 13, no. 10: 837. https://doi.org/10.3390/bs13100837
APA StyleZhang, Z., Zhao, N., Liao, W., & Chen, H. (2023). Educational Mismatch and Workers’ Fertility Intentions: Evidence from China. Behavioral Sciences, 13(10), 837. https://doi.org/10.3390/bs13100837

