Geospatial Assessment of Karst Spring Water Quality in Northeast Tennessee, USA
Abstract
:1. Introduction
2. Materials and Methods
2.1. Field Data Collection
2.2. Laboratory Analysis
2.3. Statistical and Geostatistical Analysis
3. Results
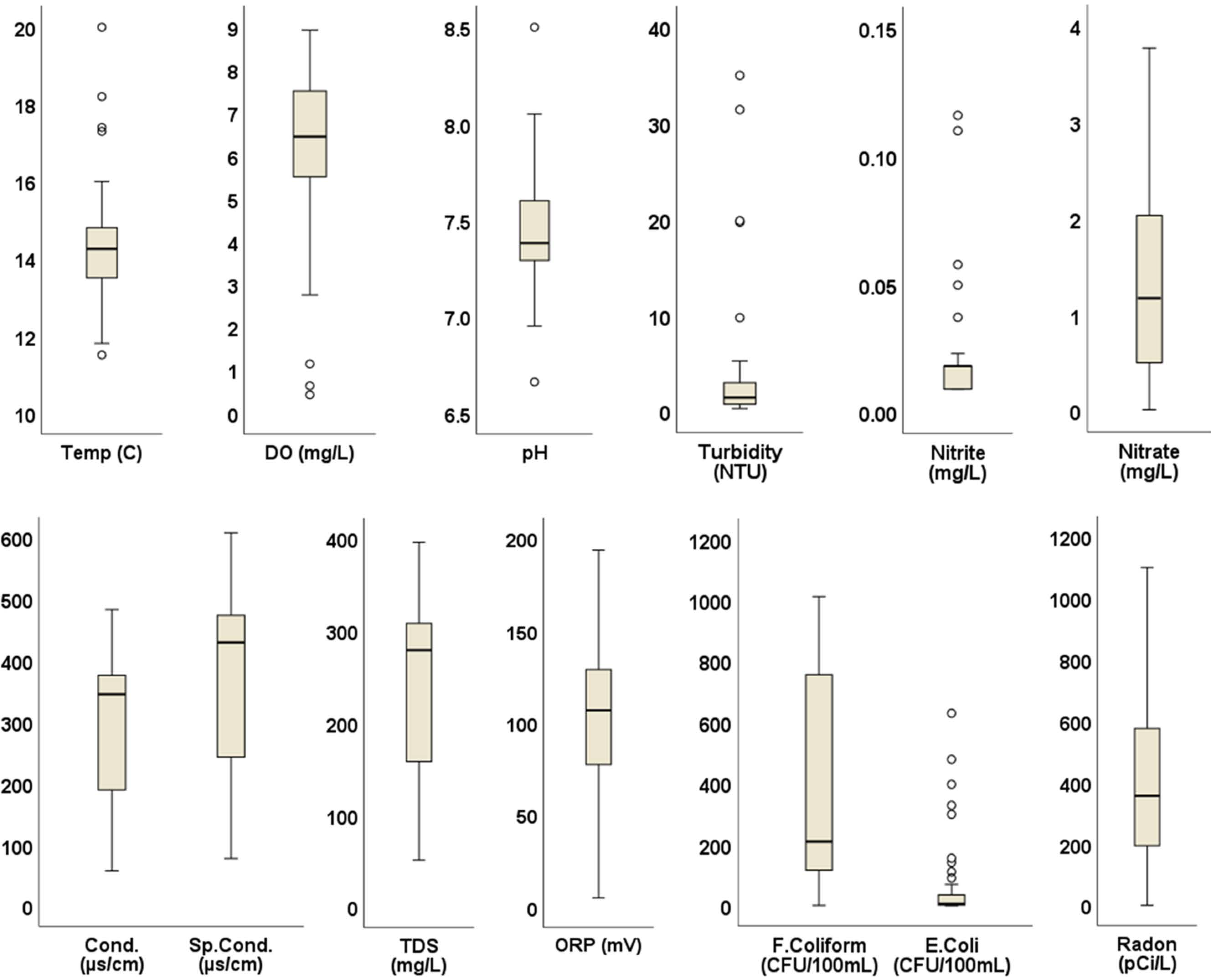
3.1. Descriptive Statistics
3.2. Spatial Autocorrelation
3.3. Kriging and Cokriging of E. coli
3.4. Kriging and Cokriging of Radon
4. Discussion
4.1. Physicochemical Parameters
4.2. Microbial Constituents
4.3. Radioactive Constituent
5. Conclusions
Supplementary Materials
Author Contributions
Funding
Data Availability Statement
Acknowledgments
Conflicts of Interest
References
- United States Agency for International Development (USAID). U.S. Global Water Strategy. Available online: https://www.usaid.gov/what-we-do/water-and-sanitation/us-global-water-strategy (accessed on 10 January 2022).
- Plan, L.; Kuschnig, G.; Stadler, H. Case Study: Klaffer Spring—The major spring of the Vienna water supply (Austria). In Groundwater Hydrology of Springs, Engineering, Theory, Management, and Sustainability; Elsevier: Oxford, UK, 2010; p. 567. ISBN 978-1-85617-502-9. [Google Scholar]
- Sun, P.-C.P.; Criner, J.H.; Poole, J.L. Large Springs of East Tennessee; U.S. Government Printing Office: Washington, DC, USA, 1963.
- Stevanovic, Z. Utilization and regulation of springs. In Groundwater Hydrology of Springs. Engineering, Theory, Management, and Sustainability; Elsevier: Amsterdam, The Netherlands, 2010; p. 567. ISBN 978-1-85617-502-9. [Google Scholar]
- Dieter, C.; Maupin, M.; Caldwell, R.; Harris, M.; Ivahnenko, T.; Lovelace, J.K. Estimated Use of Water in the United States in 2015; U.S. Geological Survey: Reston, VA, USA, 2018; p. 23.
- Centers for Disease Control and Prevention Private Ground Water Wells. Available online: https://www.cdc.gov/healthywater/drinking/private/wells/index.html#one (accessed on 23 September 2021).
- Brahana, J.V.; Bradley, W. Preliminary Delineation and Description of the Regional Aquifers of Tennessee—The Central Basin Aquifer System; U.S. Geological Survey: Nashville, TN, USA, 1986.
- Tennessee Department of Environment and Conservation. Protection of Potable Water Supplies in Tennessee Watersheds; Tennessee Department of Environment and Conservation: Nashville, TN, USA, 2021.
- CDC-SafeWatch Safe Water for Community Health. Available online: https://www.cdc.gov/nceh/ehs/safe-watch/index.html (accessed on 14 March 2021).
- Beni, R.; Guha, S.; Hawrami, S. Drinking Water Disparities in Tennessee: The Origins and Effects of Toxic Heavy Metals. J. Geosci. Environ. Prot. 2019, 7, 135–146. [Google Scholar] [CrossRef] [Green Version]
- Kresic, N.; Stevanovic, Z. Groundwater Hydrology of Springs: Engineering, Theory, Management, and Sustainability; Kresic, N., Stevanovic, Z., Eds.; Elsevier: Burlington, MA, USA, 2010; ISBN 9781856175029. [Google Scholar]
- Williams, M.A.; Vondracek, B. Spring distributions and relationships with land cover and hydrogeologic strata in a karst landscape in Winona County, Minnesota, USA. Carbonates Evaporites 2010, 25, 333–347. [Google Scholar] [CrossRef]
- Gvozdetskii, N. Occurrence of karst phenomena on the globe and problems of their typology. Earth Res. 1967, 7, 98–127. [Google Scholar]
- White, W.B. Geomorphology and Hydrology of Karst Terrains; Oxford University Press: Oxford, UK, 1988; ISBN 9780195044447. [Google Scholar]
- Wu, Q.; Xing, L.; Zhou, W. Utilization and protection of large karst springs in China. In Groundwater Hydrology of Springs Engineering, Theory, Management, and Sustainability; Elsevier: Amsterdam, The Netherlands, 2010; p. 567. ISBN 978-1-85617-502-9. [Google Scholar]
- USGS Karst Aquifers. Available online: https://www.usgs.gov/mission-areas/water-resources/science/karst-aquifers?qt-science_center_objects=0#qt-science_center_objects (accessed on 1 November 2021).
- Ameen, H.A. Spring water quality assessment using water quality index in villages of Barwari Bala, Duhok, Kurdistan Region, Iraq. Appl. Water Sci. 2019, 9, 1–12. [Google Scholar] [CrossRef] [Green Version]
- Vesper, D.J.; White, W.B. Metal transport to karst springs during storm flow: An example from Fort Campbell, Kentucky/Tennessee, USA. J. Hydrol. 2003, 276, 20–36. [Google Scholar] [CrossRef]
- Heinz, B.; Birk, S.; Liedl, R.; Geyer, T.; Straub, K.; Andesen, J.; Bester, K.; Kappler, A. Water Quality Deterioration at a Karst Spring (Gallusquelle, Germany) due to combined sewer overflow: Evidence of Bacterial and Micro-pollutant Contamination. Env. Geol. 2009, 57, 797–808. [Google Scholar] [CrossRef]
- Sinreich, M.; Pronk, M.; Kozel, R. Microbiological monitoring and classification of karst springs. Environ. Earth Sci. 2014, 71, 563–572. [Google Scholar] [CrossRef]
- BlackEagle, C.W. Karst science and the geological society of America. GSA Today 2015, 25, 38–41. [Google Scholar]
- Alpha, T.; Galloway, J.P.; Tinsley, J., III. Karst Topography Computer Animations and Paper Model; U.S. Geological Survey: Reston, VA, USA, 1997.
- Zheng, Y.; Kelly, W.R.; Panno, S.V.; Liu, W. Identification of Sources of Fecal Pollution of Karst Waters; Illinois State Water Survey: Champaign, IL, USA, 2013; p. 81. [Google Scholar]
- Moore, H.; Drumm, E. Karst Geology in Tennessee; University of Tennessee: Knoxville, TN, USA, 2018. [Google Scholar]
- Luffman, I.; Manners, J.; Bailey, C.N. Radon in Tennessee residential well water. In Proceedings of the Virtual 2021 Tennessee Water Resources Symposium; Tennessee Section of the American Water Resources Association: Burns, TN, USA, 2021. [Google Scholar]
- Krometis, L.; Patton, H.; Wozniak, A.; Sarver, E. Water scavenging from roadside springs in Appalachia. J. Contemp. Water Res. Educ. 2019, 166, 46–56. [Google Scholar] [CrossRef] [Green Version]
- Knierim, K.J.; Hays, P.D.; Bowman, D. Quantifying the variability in Escherichia coli (E. coli) throughout storm events at a karst spring in northwestern Arkansas, United States. Env. Earth Sci. 2014, 74, 4607–4623. [Google Scholar] [CrossRef]
- McCurdy, P.; Luffman, I.; Joyner, T.A.; Maier, K. Storm sampling to assess inclement weather impacts on water quality in a karst watershed: Sinking Creek, Watauga watershed, East Tennessee. J. Environ. Qual. 2020, 50, 429–440. [Google Scholar] [CrossRef] [PubMed]
- Hardeman, W.D.; Miller, R.A.; Swingle, G.D. Geologic Map of Tennessee; Tennessee Division of Geology: Nashville, TN, USA, 1966.
- Cressler, C.W. Geology and Ground-Water Resources of Gordon, Whitfield, and Murray Counties, Georgia; U.S. Geological Survey: Reston, VA, USA, 1974.
- Sheahan, N.T.; Zukin, J.G. Developing spring water under the proposed FDA rules. Prof. Geol. 1993, 30, 9–11. [Google Scholar]
- Kelly, W.R.; Panno, S.V.; Hackley, K.C.; Martinsek, A.T.; Krapac, I.G.; Weibel, C.P.; Storment, E.C. Bacteria Contamination of Groundwater in a Mixed Land-Use Karst Region. Water Qual. Expo. Health 2009, 1, 69–78. [Google Scholar] [CrossRef]
- Johnson, T.B.; McKay, L.D.; Layton, A.C.; Jones, S.W.; Johnson, G.C.; Cashdollar, J.L.; Dahling, D.R.; Villegas, L.F.; Fout, G.S.; Williams, D.E.; et al. Viruses and Bacteria in Karst and Fractured Rock Aquifers in East Tennessee, USA. Ground Water 2011, 49, 98–110. [Google Scholar] [CrossRef]
- Bunnell, J.E.; Finkelman, R.B.; Centeno, J.A.; Selinus, O. Medical Geology: A globally emerging discipline. Geol. Acta 2007, 5, 273–281. [Google Scholar] [CrossRef]
- Da Silva Rangel Neto, R.; Luz, L.D.; Aguiar Junior, T.R. Springs’ Water Quality Assessment in Areas with Different Degrees of Forest Conservation: A Study in Tropical Climate Basins. Water Air Soil Pollut. 2020, 231, 227. [Google Scholar] [CrossRef]
- Barakat, A.; Meddah, R.; Afdali, M.; Touhami, F. Physicochemical and microbial assessment of spring water quality for drinking supply in Piedmont of Béni-Mellal Atlas (Morocco). Phys. Chem. Earth 2018, 104, 39–46. [Google Scholar] [CrossRef]
- Panno, S.V.; Hackley, K.C.; Hwang, H.H.; Kelly, W.R. Determination of the sources of nitrate contamination in karst springs using isotopic and chemical indicators. Chem. Geol. 2001, 179, 113–128. [Google Scholar] [CrossRef]
- Panno, S.V.; Kelly, W.R. Nitrate and herbicide loading in two groundwater basins of Illinois’ sinkhole plain. J. Hydrol. 2004, 290, 229–242. [Google Scholar] [CrossRef]
- All, J.; Wulff, A.; Iovanna, A. Using geoinformatics to examine residential radon vulnerability. Southeast. Geogr. 2008, 48, 97–109. [Google Scholar]
- Cho, S.Y.; Koo, M.H.; Cho, B.W.; Jung, Y.Y.; Oh, Y.H. Factors controlling the spatial and temporal variability in groundwater 222Rn and U levels. Water 2019, 11, 1796. [Google Scholar] [CrossRef] [Green Version]
- Seminsky, K.Z.; Seminsky, K.K. Radon concentration in groundwater sources of the Baikal region (East Siberia, Russia). Appl. Geochem. 2019, 111, 104446. [Google Scholar] [CrossRef]
- Vinson, D.S.; Vengosh, A.; Hirschfeld, D.; Dwyer, G.S. Relationships between radium and radon occurrence and hydrochemistry in fresh groundwater from fractured crystalline rocks, North Carolina (USA). Chem. Geol. 2009, 260, 159–171. [Google Scholar] [CrossRef] [Green Version]
- King, P.B.; Neuman, R.B.; Hadley, J.B. Geology of the Great Smoky Mountains National Park, Tennessee and North Carolina; U.S. Geological Survey: Reston, VA, USA, 1968.
- World Health Organization. WHO Handbook on Indoor Radon. A public Health Perspective; WHO: Geneva, Switzerland, 2009. [Google Scholar]
- Hem, J.D. Study and Interpretation of the Chemical Characteristics of Natural Water; U.S. Geological Survey: Reston, VA, USA, 1985.
- Hwang, J.; Kim, T.; Kim, H.; Cho, B.; Lee, S. Predictive radon potential mapping in groundwater: A case study in Yongin, Korea. Environ. Earth Sci. 2017, 76, 515. [Google Scholar] [CrossRef]
- TDEC Tennessee Radon Program. Available online: https://www.tn.gov/environment/program-areas/opsp-policy-and-sustainable-practices/community-programs-and-services/radon.html (accessed on 7 November 2021).
- National Academy of Science. Risk Assessment of Radon in Drinking Water; National Academy of Science: Washington, DC, USA, 1999. [Google Scholar]
- USEPA. Report to Congress: Radon in Drinking Water Regulations; USEPA: Washington, DC, USA, 2012.
- Gao, Y.; Gibson, N.; Burnham, T.; Evanshen, B. Water chemistry and quality changes in the Rockhouse Cave system, Carter County, Tennessee. In Proceedings of the Sixteenth Tennessee Water Resources Symposium, Burns, TN, USA, 19 April 2006. [Google Scholar]
- Fridell, Z.T.; Luffman, I.E.; Whitelaw, M. Groundwater Source Assessment of The Rock House Springshed, Carter County, TN. In Proceedings of the 2015 Tennessee Water Resources Symposium, Burns, TN, USA, 1–3 April 2015. [Google Scholar]
- Burnham, T.; Luffman, I.; Whitelaw, M.; Gao, Y. Assessing structural control on groundwater flow in the Morrell Cave springshed, Sullivan County, Tennessee. Spec. Pap. Geol. Soc. Am. 2016, 516, 151–164. [Google Scholar]
- Hollyday, E.F.; Smith, M.A. Large Springs in the Valley and Ridge Province in Tennessee; U.S. Geological Survey: Nashville, TN, USA, 1990.
- Ogden, A.E.; Brown, T.L.; Hamilton, K.G. Delineation of wellhead protection areas for municipal used springs of Eastern Tennessee 1990; Research Project Technical Completion Report #124; Tennessee Water Resources Research Center, The University of Tennessee: Knoxville, TN, USA, 1990. [Google Scholar]
- USEPA. How’s my Waterway. Available online: mywaterway.epa.gov (accessed on 17 November 2021).
- US Federal Government. US Climate Resilience Toolkit Climate Explorer. Available online: https://crt-climate-explorer.nemac.org (accessed on 22 March 2022).
- Tennessee Climate Office Tennessee Climatology. Available online: https://www.etsu.edu/cas/geosciences/tn-climate/tn-climatology.php (accessed on 1 March 2022).
- Lloyd, O.B., Jr.; Lyke, W.I. Hydrologic Atlas 730-K; U.S. Geological Survey: Reston, VA, USA, 1995.
- Tollefson, W.; Joyner, T.A. May 2021 Tennessee State Climate Summary; Tennessee Climate Office, East Tennessee State University: Johnson City, TN, USA, 2021. [Google Scholar]
- Tollefson, W.; Joyner, T.A. June 2021 Tennessee State Climate Summary; Tennessee Climate Office, East Tennessee State University: Johnson City, TN, USA, 2021. [Google Scholar]
- National Research Council. Review of the EPA’s Economic Analysis of Final Water Quality Standards for Nutrients for Lakes and Flowing Waters in Florida; National Academies Press: Washington, DC, USA, 2012; ISBN 0309254930. [Google Scholar]
- Eaton, A.D.; Clesceri, L.S.; Rice, E.W.; Greenberg, A.E.; Franson, M.A.H. Standard Method 7500-Rn, Standard Methods for the Examination of Water and Wastewater; American Public Health Association: Washington, DC, USA, 1996. [Google Scholar]
- Pfaff, J.D. Determination of Inorganic Anions by Ion Chromatography. In Methods for the Determination of Metals in Environmental Samples; Elsevier: Amsterdam, The Netherlands, 1996; pp. 388–417. [Google Scholar] [CrossRef]
- IBM Corp. IBM SPSS Statistics for Windows, Version 25.0; IBM Corp: Armonk, NY, USA, 2017. [Google Scholar]
- Anselin, L.; Syabri, I.; Kho, Y. GeoDa: An Introduction to Spatial Data Analysis. Geogr. Anal. 2006, 38, 5–22. [Google Scholar] [CrossRef]
- Environmental Systems Research Institute (ESRI). ArcGIS Pro: Release 2.8.3; ESRI: Redlands, CA, USA, 2021. [Google Scholar]
- St Laurent, J.; Mazumder, A. The influence of land-use composition on fecal contamination of riverine source water in southern British Columbia. Water Resour. Res. 2012, 48, W00M03. [Google Scholar] [CrossRef] [Green Version]
- Petersen, F.; Hubbart, J.A. Spatial and temporal characterization of Escherichia coli, suspended particulate matter and land use practice relationships in a mixed-land use contemporary watershed. Water 2020, 12, 1228. [Google Scholar] [CrossRef]
- ESRI Performing Cross-Validation and Validation. Available online: https://desktop.arcgis.com/en/arcmap/latest/extensions/geostatistical-analyst/performing-cross-validation-and-validation.htm (accessed on 9 February 2022).
- MRLC Data. Available online: https://www.mrlc.gov/data?f%5B0%5D=category%3Alandcover&f%5B1%5D=region%3Aconus (accessed on 15 February 2022).
- USEPA Rules of the Tennessee Department of Environment and Conservation Chapter 0400-40-03 General Water Quality Criteria. Available online: https://www.epa.gov/sites/default/files/2014-12/documents/tn-chapter1200-4-3.pdf (accessed on 20 September 2021).
- Turner, M. Update of Barton Springs Water Quality Data Analysis—Austin, Texas; University of South Florida: Tampa, FL, USA, 2005. [Google Scholar]
- Chen, H.J.; Chang, H. Response of discharge, TSS, and E. coli to rainfall events in urban, suburban, and rural watersheds. Environ. Sci. Processes Impacts 2014, 2014, 16. [Google Scholar] [CrossRef]
- Swenson, H.A.; Baldwin, H.L. A Primer on Water Quality; U.S. Geological Survey: Washington, DC, USA, 1965.
- Minnesota Pollution Control Agency. Turbidity: Description, Impact on Water Quality, Sources, Measures; Minnesota Pollution Control Agency: Saint Paul, MN, USA, 2008; Volume 3.
- Shigut, D.A.; Liknew, G.; Irge, D.D.; Ahmad, T. Assessment of physico-chemical quality of borehole and spring water sources supplied to Robe Town, Oromia region, Ethiopia. Appl. Water Sci. 2017, 7, 155–164. [Google Scholar] [CrossRef]
- Boyer, D.G.; Pasquarell, G.C. Agricultural land use impacts on bacterial water quality in a karst groundwater aquifer. Am. Water Resour. Assoc. 1999, 35, 291–300. [Google Scholar] [CrossRef]
- Mahler, B.J.; Personné, J.C.; Lods, G.F.; Drogue, C. Transport of free and particulate-associated bacteria in karst. J. Hydrol. 2000, 238, 179–193. [Google Scholar] [CrossRef]
- Pronk, M.; Goldscheider, N.; Zopfi, J. Particle-size distribution as indicator for fecal bacteria contamination of drinking water from karst springs. Environ. Sci. Technol. 2007, 41, 8400–8405. [Google Scholar] [CrossRef] [PubMed] [Green Version]
- USGS. Turbidity and Water. Available online: https://www.usgs.gov/special-topics/water-science-school/science/turbidity-and-water?qt-science_center_objects=0#qt-science_center_objects (accessed on 1 November 2021).
- Singh, P.K.; Tiwari, A.K.; Panigary, B.P.; Mahato, M.K. Water quality indices used for water resources vulnerability assessment using GIS technique: A review. Int. J. Earth Sci. Eng. 2013, 6, 1594–1600. [Google Scholar]
- Guenther, P.M.; Hubert, W.A. Factors influencing dissolved oxygen concentrations during winter in small Wyoming reservoirs. Great Basin Nat. 1991, 51, 282–285. [Google Scholar]
- Yellow Springs Instruments. YSI Model 55 Handheld Dissolved Oxygen and Temperature System Operations Manual; Yellow Springs Instruments: Yellow Springs, OH, USA, 1997. [Google Scholar]
- USGS. Dissolved Oxygen V2.1. In National Field Manual for the Collection of Water-Quality Data; U.S. Geological Survey: Washington, DC, USA, 2006. [Google Scholar]
- Clune, J.W.; Cravotta, C.A., III. Drinking Water Health Standards Comparison and Chemical Analysis of Groundwater for 72 Domestic Wells in Bradford County, Pennsylvania, 2016; U.S. Geological Survey: Reston, VA, USA, 2019.
- USEPA. Field Measurement of Oxidation-Reduction Potential. Available online: https://www.epa.gov/sites/default/files/2017-07/documents/field_measurement_of_orp113_af.r2.pdf (accessed on 22 May 2021).
- Ministry of Environment and Natural Resources Oxidation-Reduction Potential (ORP). Available online: https://www.enr.gov.nt.ca/sites/enr/files/oxidation-reduction_potential.pdf (accessed on 12 February 2021).
- Karthikeyan, B.; Lakshmanan, E.; Nair, N.R. Spatial and temporal variation of uranium in a shallow weathered rock aquifer in southern India. J. Earth Syst. Sci. 2011, 120, 911–920. [Google Scholar] [CrossRef] [Green Version]
- Myers, D. Innovations in Monitoring with Water-Quality Sensors with Case Studies on Floods, Hurricanes, and Harmful Algal Blooms. In Separation Science and Technology; Ahuja, S., Ed.; Elsevier: Amsterdam, The Netherlands, 2019; p. 442. ISBN 978-0-12-815730-5. [Google Scholar]
- DeSimone, L.A.; McMahon, P.B.; Rosen, M.R. The Quality of Our Nation’s Waters—Water Quality in Principal Aquifers of the United States, 1991–2010; U.S. Geological Survey: Reston, VA, USA, 2014.
- Edberg, S.C.; Rice, E.W.; Karlin, R.J.; Allen, M.J. Escherichia coli: The best biological drinking water indicator for public health protection. J. Appl. Microbiol. Symp. Suppl. 2000, 88, 106S–116S. [Google Scholar] [CrossRef]
- Pharris, C.; Kittrell, F.W.; Williams, W.C. A Water-Borne Outbreak of Gastroenteritis in a Tennessee Town. Am. J. Public Health Nations Health 1938, 28, 736–740. [Google Scholar] [CrossRef] [Green Version]
- D’Antonio, R.G.; Winn, R.E.; Taylor, J.P.; Gustafson, T.L.; Current, W.L.; Rhodes, M.M.; Gary, G.W., Jr.; Zajac, R. A waterborne outbreak of cryptosporidiosis in normal hosts. Ann. Intern. Med. 1985, 103, 886–888. [Google Scholar] [CrossRef] [PubMed]
- Beaudeau, P.; de Valk, H.; Vaillant, V.; Mannschott, C.; Tillier, C.; Mouly, D.; Ledrans, M. Lessons learned from ten investigations of waterborne gastroenteritis outbreaks, France, 1998–2006. J. Water Health 2008, 6, 491–503. [Google Scholar] [CrossRef] [PubMed] [Green Version]
- Weiskel, P.K.; Howes, B.L.; Heufelder, G.R. Coliform contamination of a coastal embayment: Sources and transport pathways. Environ. Sci. Technol. 1996, 30, 1872–1881. [Google Scholar] [CrossRef]
- Scott, T.M.; Rose, J.B.; Jenkins, T.M.; Farrah, S.R.; Lukasik, J. Microbial source tracking: Current methodology and future directions. Appl. Environ. Microbiol. 2002, 68, 5796–5803. [Google Scholar] [CrossRef] [Green Version]
- Shanks, O.C.; Atikovic, E.; Blackwood, A.D.; Lu, J.; Noble, R.T.; Domingo, J.S.; Seifring, S.; Sivaganesan, M.; Haugland, R. Quantitative PCR for detection and enumeration of genetic markers of bovine fecal pollution. Appl. Environ. Microbiol. 2008, 74, 745–752. [Google Scholar] [CrossRef] [Green Version]
- Centers for Disease Control and Prevention E. coli 0157:H7 and Drinking Water from Private Wells. Available online: https://www.cdc.gov/healthywater/drinking/private/wells/disease/e_coli.html (accessed on 14 September 2021).
- Johnson, G.C. Water Quality of Springs in the Valley and Ridge Physiographic Province in the Upper Tennessee River Basin; U.S. Geological Survey: Reston, VA, USA, 2002.
- Arwenyo, B.; Wasswa, J.; Nyeko, M.; Kasozi, G.N. The impact of septic systems density and nearness to spring water points, on water quality. Afr. J. Environ. Sci. Technol. 2017, 11, 11–18. [Google Scholar] [CrossRef] [Green Version]
- USEPA. How Your Septic System Can Impact Nearby Water Sources. Available online: https://www.epa.gov/septic/how-your-septic-system-can-impact-nearby-water-sources (accessed on 6 October 2021).
- Luffman, I.; Tran, L. Risk Factors for E. coli O157 and Cryptosporidiosis Infection in Individuals in the Karst Valleys of East Tennessee, USA. Geosciences 2014, 4, 202–218. [Google Scholar] [CrossRef] [Green Version]
- USEPA. EPA’s Map of Radon Zones Tennessee; USEPA: Washington, DC, USA, 1993.
- Cheng, K.H.; Luo, X.; Jiao, J.J.; Yu, S. Delineating E. coli occurrence and transport in the sandy beach groundwater system by radon-222. J. Hazard. Mater. 2022, 431, 128618. [Google Scholar] [CrossRef] [PubMed]







| Water Quality Parameters | Laboratory/Instrument Method |
|---|---|
| Temperature (°C) Dissolved oxygen (mg/L) pH Turbidity (NTU) Conductivity (µs/cm) Specific conductance (µs/cm) Total dissolved solids [TDS] (mg/L) Oxidation reduction potential [ORP] (mV) | YSI ProDSS-2 626870-2 multiparameter water quality meter (with GPS) |
| Nitrite (mg/L) Nitrate (mg/L) | Method 300_M |
| Fecal coliform (CFU/100 mL) E. coli (CFU/100 mL) | Standard Methods 9223 B (Enzyme Substrate) |
| Radon (pCi/L) | Method 7500-RN(B) |
| Parameter | Min | Max | Median | 25th Percentile | 75th Percentile | EPA and TDEC * Standards |
|---|---|---|---|---|---|---|
| Temp (°C) | 11.5 | 20.0 | 14.25 | 13.50 | 14.83 | <30.5 * |
| DO (mg/L) | 0.42 | 8.93 | 6.44 | 5.51 | 7.51 | >5 |
| pH | 6.66 | 8.50 | 7.38 | 7.29 | 7.60 | 6.6–8.5 |
| Turbidity (NTU) | 0.30 | 35.0 | 1.44 | 0.74 | 3.018 | 1–5 |
| Conductivity (µs/cm) | 57.7 | 483.0 | 345.15 | 189.05 | 377.98 | <800 |
| Specific cond. (µs/cm) | 77.7 | 608.0 | 429.55 | 242.23 | 473.60 | |
| TDS (mg/L) | 51 | 396 | 279 | 157.50 | 308.00 | <500 |
| ORP (mV) | −50.8 | 652.7 | 106.65 | 77.03 | 129.78 | <250 |
| Nitrite (mg/L) | 0.009 | 0.116 | 0.018 | 0.0091 | 0.018 | <1 |
| Nitrate (mg/L) | 0.011 | 3.77 | 1.17 | 0.49 | 2.04 | <10 |
| Fecal coliform (CFU/100 mL) | 1.0 | 1011.2 | 209.8 | 114.05 | 784.30 | |
| E. coli (CFU/100 mL) | <1 | 629.4 | 5.75 | 1.00 | 26.08 | <1 |
| Radon (pCi/L) | 0.0 | 1100.0 | 356.5 | 193.00 | 577.50 | <300 |
| Kriging | Cokriging | |
|---|---|---|
| Root mean square standardized | 0.194 | 0.161 |
| Mean standardized | 0.023 | 0.0018 |
| Average standard error | 787.1 | 773.7 |
Publisher’s Note: MDPI stays neutral with regard to jurisdictional claims in published maps and institutional affiliations. |
© 2022 by the authors. Licensee MDPI, Basel, Switzerland. This article is an open access article distributed under the terms and conditions of the Creative Commons Attribution (CC BY) license (https://creativecommons.org/licenses/by/4.0/).
Share and Cite
Fashina, L.; Luffman, I.; Joyner, T.A.; Nandi, A. Geospatial Assessment of Karst Spring Water Quality in Northeast Tennessee, USA. Geosciences 2022, 12, 303. https://doi.org/10.3390/geosciences12080303
Fashina L, Luffman I, Joyner TA, Nandi A. Geospatial Assessment of Karst Spring Water Quality in Northeast Tennessee, USA. Geosciences. 2022; 12(8):303. https://doi.org/10.3390/geosciences12080303
Chicago/Turabian StyleFashina, Lukman, Ingrid Luffman, T. Andrew Joyner, and Arpita Nandi. 2022. "Geospatial Assessment of Karst Spring Water Quality in Northeast Tennessee, USA" Geosciences 12, no. 8: 303. https://doi.org/10.3390/geosciences12080303
APA StyleFashina, L., Luffman, I., Joyner, T. A., & Nandi, A. (2022). Geospatial Assessment of Karst Spring Water Quality in Northeast Tennessee, USA. Geosciences, 12(8), 303. https://doi.org/10.3390/geosciences12080303

