Fling-Step Recovering from Near-Source Waveforms Database
Abstract
1. Introduction
2. What eBASCO Does and What Problems It Solves
- Cut of the uncorrected accelerometric waveform
- Sampling of the Time Correction Points
- Tri-Linear Detrending of the velocity
- Selection of the best solution
3. Fling-Step Containing Waveforms and Comparison with GPS Data
4. Results
4.1. Comparison with Standard Processing Schemes
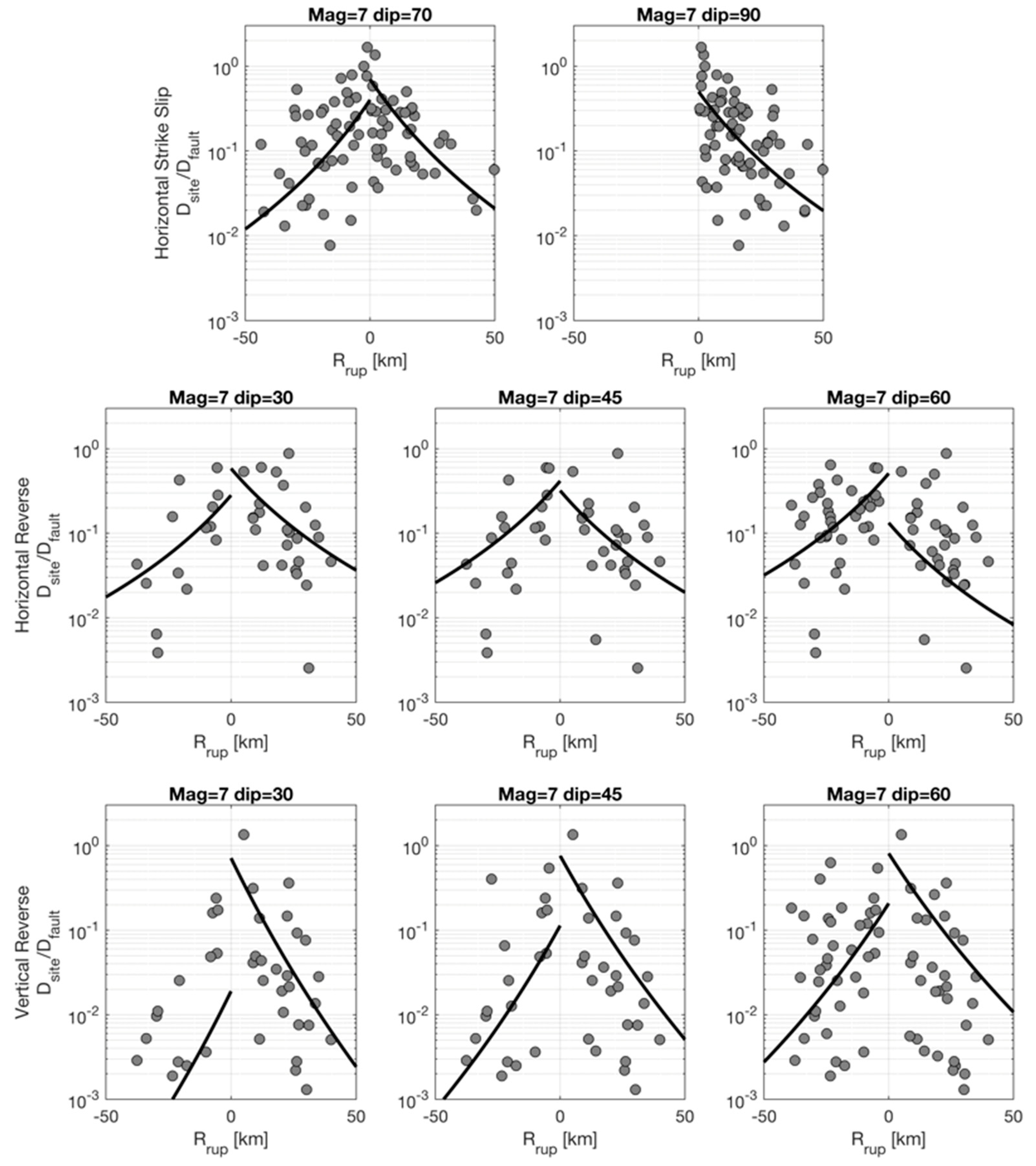
4.2. Comparison with Attenuation Models
5. Discussion
Supplementary Materials
Author Contributions
Funding
Data Availability Statement
Acknowledgments
Conflicts of Interest
Appendix A
| Usage Example: Python eBASCO.py [Options] | |||
| Usage Example: Python eBASCO.py --ifile = [INPUT_DIR]/IT.CLO.00.HG.EMSC-20161026_0000095.h5 --ofldr = [OUTPUT_DIR] --t1 = 5 --t2 = 20 --t3 = 20 --eps = 0.25 --mfst = 1.5 --mfnd = 2.0 --ca = 0 --cz = 0 --ta = 5 --he = 35 --hn = 35 --hz = 35 --fo = 2 | |||
| Options | Description | Default | Format |
| --ifile | ASDF file containing the waveforms to be processed | str | |
| --ofldr | Destination folder for the eBASCO output | str | |
| --t1 | number of T1 correction points samples | 5 | int |
| --t2 | number of T2 correction points samples | 20 | int |
| --t3 | number of T3 correction points samples | 20 | int |
| --eps | maximum threshold of the relative difference between acceleration in T1 and T2 correction points before and after the eBASCO processing | 0.25 | float |
| --mfst | multiplier factor to cut the beginning of the waveform on the base of the energy criterion. Firstly the significative duration T90 of the seismic motion is calculated on the base of the normalized Arias Intensity I(t) between in the time interval t2 − t1, where I(t1) = 0.05 and I(t2) = 0.95; after that the cut at the beginning is set at the time t1 − mfst × T90 | 1.5 | float |
| --mfnd | multiplier factor to cut the beginning of the waveform on the base of the energy criterion. Firstly the significative duration T90 of the seismic motion is calculated on the base of the normalized Arias Intensity I(t) in the time interval t2 − t1, where I(t1) = 0.05 and I(t2) = 0.95; after that the cut at the beginning is set at the time t1 − mfnd × T90 | 2.0 | float |
| --ca | seconds to cut from the beginning of the waveforms; ca is used only if different from the default value, otherwise eBASCO use the energy criterion to cut the strong-phase of motion between the 5% and the 95% of the energy release | 0 | float |
| cz | seconds to cut from the end of the waveforms; cz is used only if different from the default value, otherwise eBASCO use the energy criterion to cut the strong-phase of motion between the 5% and the 95% of the energy release | 0 | float |
| ta | percentage of the signal length to set the time window at the beginning of the waveform where a cosine taper will be applied | 5 | float |
| he | cutoff frequency of the low-pass Butterworth filter (first component) | 35 | float |
| hn | cutoff frequency of the low-pass Butterworth filter (second component) | 35 | float |
| hz | cutoff frequency of the low-pass Butterworth filter (third component) | 35 | float |
| fo | Butterworth filter order | 2 | float |
| Placeholders | Description | Example |
|---|---|---|
| net_code | code associated to the recording network according to the International Federation of Seismograph Network (http://www.fdsn.org (accessed on 29 December 2020)) | IT |
| station_code | 3 to 5 characters to identify the recording station | CLO |
| location_code | 0 to 2 characters to identify a specific recording instrument at a station; Note that double-zeros are always replaced by empty strings | 00 |
| channel_code | 3 digits to indicate the band code, the instrument code (N, L, G for accelerometer), and the orientation code (e.g., Z, N, E for the specific orientation Vertical, North-Shout, East-West or Z, 2, 3 for generic orthogonal orientation) | hnn |
| event_id | alphanumeric code to identify the seismic event | emsc_20161026_0000095 |
| file_type | 2 to 3 characters to indicate the ground motion parameter of time series (ACC: acceleration; VEL: velocity; DIS: displacement) or 5% damped response spectra (SA: acceleration; SD: displacement) | acc |
| processing_type | 2 characters to indicate the type of data processing (CV: acceleration ConVerted in physical units; MP or AP: acceleration Manually or Automatically processed using the workflow proposed in Ref. [5]; MB or AB: acceleration Manually or Automatically processed by means eBASCO | cv |
Appendix B


References
- Massa, M.; Pacor, F.; Luzi, L.; Bindi, D.; Milana, G.; Sabetta, F.; Gorini, A.; Marcucci, S. The ITalian ACcelerometric Archive (ITACA): Processing of strong-motion data. Bull. Earthq. Eng. 2009, 8, 1175–1187. [Google Scholar] [CrossRef]
- Boore, D.M.; Bommer, J.J. Processing of strong-motion accelerograms: Needs, options and consequences. Soil Dyn. Earthq. Eng. 2005, 25, 93–115. [Google Scholar] [CrossRef]
- Akkar, S.; Bommer, J.J. Influence of long-period filter cut-off on elastic spectral displacements. Earthq. Eng. Struct. Dyn. 2006, 35, 1145–1165. [Google Scholar] [CrossRef]
- Douglas, J.; Boore, D.M. High-frequency filtering of strong-motion records. Bull. Earthq. Eng. 2010, 9, 395–409. [Google Scholar] [CrossRef]
- Paolucci, R.; Pacor, F.; Puglia, R.; Ameri, G.; Cauzzi, C.; Massa, M. Record processing in ITACA, the new Italian strong-motion database. In Earthquake Data in Engineering Seismology: Predictive Models, Data Management and Networks; Akkar, S., Gülkan, P., van Eck, T., Eds.; Springer: Dordrecht, The Netherlands, 2011; pp. 99–113. ISBN 978-94-007-0151-9. (printed version); 978-94-007-0152-6 (e-book version). [Google Scholar]
- Puglia, R.; Russo, E.; Luzi, L.; D’Amico, M.; Felicetta, C.; Pacor, F.; Lanzanó, G. Strong-motion processing service: A tool to access and analyse earthquakes strong-motion waveforms. Bull. Earthq. Eng. 2018, 16, 2641–2651. [Google Scholar] [CrossRef]
- Somerville, P.G. Engineering characterization of near fault ground motions. In Proceedings of the 2005 NZSEE Conference, Taupo, New Zealand, 11–13 March 2005; pp. 1–8. [Google Scholar]
- Kamai, R.; Abrahamson, N.; Graves, R. Adding Fling Effects to Processed Ground-Motion Time Histories. Bull. Seism. Soc. Am. 2014, 104, 1914–1929. [Google Scholar] [CrossRef]
- D’Amico, M.; Felicetta, C.; Schiappapietra, E.; Pacor, F.; Gallovič, F.; Paolucci, R.; Puglia, R.; Lanzano, G.; Sgobba, S.; Luzi, L. Fling Effects from Near-Source Strong-Motion Records: Insights from the 2016 Mw 6.5 Norcia, Central Italy, Earthquake. Seism. Res. Lett. 2018, 90, 659–671. [Google Scholar] [CrossRef]
- Boore, D.M. Effect of Baseline Corrections on Displacements and Response Spectra for Several Recordings of the 1999 Chi-Chi, Taiwan, Earthquake. Bull. Seism. Soc. Am. 2004, 91, 1199–1211. [Google Scholar] [CrossRef]
- Graves, R.W. Processing Issues for Near Source Strong Motion Recordings. In Proceedings of the COSMOS Workshop on Strong-Motion Record Processing, Richmond, CA, USA, 26–27 May 2004. [Google Scholar]
- Wang, R.; Schurr, B.; Milkereit, C.; Shao, Z.; Jin, M. An Improved Automatic Scheme for Empirical Baseline Correction of Digital Strong-Motion Records. Bull. Seism. Soc. Am. 2011, 101, 2029–2044. [Google Scholar] [CrossRef]
- Inbal, A.; Ziv, A. Automatic Extraction of Permanent Ground Offset from Near-Field Accelerograms: Algorithm, Validation, and Application to the 2004 Parkfield Earthquake. Bull. Seism. Soc. Am. 2020, 110, 2638–2646. [Google Scholar] [CrossRef]
- Akkar, S.; Boore, D.M. On Baseline Corrections and Uncertainty in Response Spectrafor Baseline Variations Commonly Encounteredin Digital Accelerograph Records. Bull. Seism. Soc. Am. 2009, 99, 1671–1690. [Google Scholar] [CrossRef]
- Wu, S.-L.; Nozu, A.; Nagasaka, Y. Accuracy of Near-Fault Fling-Step Displacements Estimated Using the Discrete Wavenumber Method. Bull. Seism. Soc. Am. 2020, 1–12. [Google Scholar] [CrossRef]
- Dhanya, J.; Raghukanth, S.T.G. Probabilistic Fling Hazard Map of India and Adjoined Regions. J. Earthq. Eng. 2020, 1–25. [Google Scholar] [CrossRef]
- Wu, Y.; Wu, C.-F. Approximate recovery of coseismic deformation from Taiwan strong-motion records. J. Seism. 2007, 11, 159–170. [Google Scholar] [CrossRef]
- Graizer, G.M. Determination of the true ground displacement by using strong motion records. Izv. Phys. Solid Earth 1979, 15, 875–886. [Google Scholar]
- Iwan, W.D.; Moser, M.A.; Peng, C. Some observations on strong-motion earthquake measurement using a digital accelerograph. Bull. Seismol. Soc. Am. 1985, 75, 1225–1246. [Google Scholar]
- Chen, S.-M.; Loh, C.-H. Estimating Permanent Ground Displacement from Near-Fault Strong-Motion Accelerograms. Bull. Seism. Soc. Am. 2007, 97, 63–75. [Google Scholar] [CrossRef]
- Chao, W.-A.; Wu, Y.; Zhao, L. An automatic scheme for baseline correction of strong-motion records in coseismic deformation determination. J. Seism. 2009, 14, 495–504. [Google Scholar] [CrossRef]
- Rupakhety, R.; Halldórsson, B.; Sigbjörnsson, R. Estimating coseismic deformations from near source strong motion records: Methods and case studies. Bull. Earthq. Eng. 2009, 8, 787–811. [Google Scholar] [CrossRef]
- Burks, L.S.; Baker, J.W. A predictive model for fling-step in near-fault ground motions based on recordings and simulations. Soil Dyn. Earthq. Eng. 2016, 80, 119–126. [Google Scholar] [CrossRef]
- Sgobba, S.; Pacor, F.; Felicetta, C.; Lanzano, G.; D’Amico, M.C.; Russo, E.; Luzi, L. NEar-Source Strong-Motion Flatfile (NESS); Version 2.0; Istituto Nazionale di Geofisica e Vulcanologia (INGV): Milan, Italy, 2021. [CrossRef]
- Krischer, L.; Smith, J.; Lei, W.; Lefebvre, M.; Ruan, Y.; Podhorszki, N.; Tromp, J.; De Andrade, E.S.; Bozdağ, E. An Adaptable Seismic Data Format. Geophys. J. Int. 2016, 207, 1003–1011. [Google Scholar] [CrossRef]
- Avallone, A.; Latorre, D.; Serpelloni, E.; Cavaliere, A.; Herrero, A.; Cecere, G.; D’Agostino, N.; D’Ambrosio, C.; Devoti, R.; Giuliani, R.; et al. Coseismic displacement waveforms for the 2016 August 24 Mw6.0 Amatrice earthquake (central Italy) carried out from high-rate GPS data. Ann. Geophys. 2016, 59, 1–11. [Google Scholar] [CrossRef]
- Bertiger, W.; Desai, S.D.; Haines, B.; Harvey, N.; Moore, A.W.; Owen, S.; Weiss, J.P. Single receiver phase ambiguity resolution with GPS data. J. Geod. 2010, 84, 327–337. [Google Scholar] [CrossRef]
- Herring, T.; King, R.W.; McClusky, S. GAMIT Reference Manual, Release 10.4; Massachussetts Institute of Technology: Cambridge, MA, USA, 2010. [Google Scholar]
- Cauzzi, C.; Faccioli, E. Broadband (0.05 to 20 s) prediction of displacement response spectra based on worldwide digital records. J. Seism. 2008, 12, 453–475. [Google Scholar] [CrossRef]
- Cauzzi, C.; Faccioli, E.; Vanini, M.; Bianchini, A. Updated predictive equations for broadband (0.01–10 s) horizontal response spectra and peak ground motions, based on a global dataset of digital acceleration records. Bull. Earthq. Eng. 2015, 13, 1587–1612. [Google Scholar] [CrossRef]
- Sgobba, S.; Lanzano, G.; Pacor, F.; Felicetta, C. An Empirical Model to Account for Spectral Amplification of Pulse-Like Ground Motion Records. Geosci. 2020, 11, 15. [Google Scholar] [CrossRef]
- D’Amico, M.C.; Schiappapietra, E.; Felicetta, C.; Sgobba, S.; Pacor, F.; Lanzano, G.; Russo, E.; Luzi, L. NEar-Source Strong-Motion Flatfile from eBASCO (NESS-eBASCO); Version 2.0; Istituto Nazionale di Geofisica e Vulcanologia (INGV): Milan, Italy, 2021. [CrossRef]










| Event ID | Event Name | Territories | Event Date | Lat [°] | Lon [°] | FM | M | # rec |
|---|---|---|---|---|---|---|---|---|
| EMSC-20070716_0000038 | Niigata-Chuetsu Oki | Japan | 16/07/2007 01:13 | 37.56 | 138.61 | TF | 6.6 | 1 |
| EMSC-20080613_0000091 | Iwate–Miyagi Nairiku | Japan | 13/06/2008 23:43 | 39.03 | 140.88 | TF | 6.9 | 12 |
| EMSC-20100903_0000044 | Darfield | New Zealand | 03/09/2010 16:35 | −43.53 | 172.17 | SS | 7.1 | 13 |
| EMSC-20110221_0000047 | Christchurch | New Zealand | 21/02/2011 23:51 | −43.58 | 172.68 | TF | 6.2 | 6 |
| EMSC-20110222_0000004 | Christchurch | New Zealand | 22/02/2011 01:50 | −43.59 | 172.74 | SS | 5.6 | 1 |
| EMSC-20110411_0000023 | Fukushima | Japan | 11/04/2011 08:16 | 36.95 | 140.67 | NF | 6.6 | 7 |
| EMSC-20110613_0000006 | Christchurch | New Zealand | 13/06/2011 02:20 | −43.50 | 172.78 | SS | 6 | 8 |
| EMSC-20140126_0000046 | Kefallonia | Greece | 26/01/2014 13:55 | 38.15 | 20.39 | SS | 6.19 | 1 |
| EMSC-20140401_0000093 | Iquique | Chile | 01/04/2014 23:46 | −19.58 | −70.79 | TF | 8.1 | 5 |
| EMSC-20140524_0000026 | Aegean Sea | Greece | 24/05/2014 09:25 | 40.29 | 25.39 | SS | 6.5 | 2 |
| EMSC-20140824_0000036 | South Napa | United States | 24/08/2014 10:20 | 38.22 | −122.31 | SS | 6.07 | 9 |
| EMSC-20150425_0000021 | Gorkha | Nepal | 25/04/2015 06:11 | 28.28 | 84.79 | TF | 7.8 | 1 |
| EMSC-20160824_0000006 | Accumoli | Italy | 24/08/2016 01:36 | 42.70 | 13.23 | NF | 6 | 7 |
| EMSC-20161026_0000095 | Visso | Italy | 26/10/2016 19:18 | 42.91 | 13.13 | NF | 5.9 | 14 |
| EMSC-20161030_0000029 | Norcia | Italy | 30/10/2016 06:40 | 42.83 | 13.11 | NF | 6.5 | 47 |
| EMSC-20161113_0000048 | Kaikoura | New Zealand | 13/11/2016 11:02 | −42.74 | 173.05 | SS | 8 | 32 |
| EMSC-20170118_0000034 | Capitignano | Italy | 18/01/2017 10:14 | 42.53 | 13.28 | NF | 5.5 | 7 |
| EMSC-20190706_0000043 | Ridgecrest | United States | 06/07/2019 03:19 | 35.79 | −117.58 | SS | 7.1 | 24 |
| EMSC-20201030_0000082 | Aegean Sea | Turkey | 30/10/2020 11:51 | 37.91 | 26.84 | NF | 7 | 1 |
| GR-1986-0006 | Kalamata | Greece | 13/09/1986 17:24 | 37.08 | 22.15 | NF | 5.9 | 1 |
| GR-1995-0047 | Aigio | Greece | 15/06/1995 00:15 | 38.40 | 22.27 | NF | 6.5 | 1 |
| INT-UT19990920_174715 | Chi-Chi | Taiwan | 20/09/1999 17:47 | 23.83 | 120.81 | TF | 7.5 | 151 |
| INT-UT19991022_021856 | Chi-Chi | Taiwan | 22/10/1999 02:18 | 23.52 | 120.43 | TF | 6.1 | 6 |
| IR-2003-0041 | Bam | Iran | 26/12/2003 01:56 | 28.98 | 58.36 | SS | 6.5 | 1 |
| IR-2004-0043 | Baladeh | Iran | 28/05/2004 12:38 | 36.32 | 51.59 | TF | 6.4 | 1 |
| IR-2005-0044 | Zarand | Iran | 22/02/2005 02:25 | 30.77 | 56.81 | TF | 6.5 | 3 |
| IT-1976-0027 | Friuli 2nd shock | Italy | 15/09/1976 03:15 | 46.29 | 13.20 | TF | 5.9 | 1 |
| IT-1976-0030 | Friuli 3rd shock | Italy | 15/09/1976 09:21 | 46.30 | 13.17 | TF | 6 | 2 |
| IT-1984-0005 | Abruzzo-Lazio | Italy | 11/05/1984 10:41 | 41.78 | 13.89 | NF | 5.5 | 1 |
| IT-1997-0004 | Umbria-Marche 1st shock | Italy | 26/09/1997 00:33 | 43.02 | 12.89 | NF | 5.7 | 1 |
| IT-1997-0006 | Umbria-Marche 2nd shock | Italy | 26/09/1997 09:40 | 43.03 | 12.86 | NF | 6 | 2 |
| IT-1997-0137 | Umbria-Marche 3th shock | Italy | 14/10/1997 15:23 | 42.93 | 12.93 | NF | 5.6 | 1 |
| IT-2009-0009 | L’Aquila | Italy | 06/04/2009 01:32 | 42.34 | 13.38 | NF | 6.1 | 5 |
| IT-2009-0102 | Cental Italy | Italy | 07/04/2009 17:47 | 42.30 | 13.49 | NF | 5.5 | 7 |
| IT-2012-0008 | Emilia 1st shock | Italy | 20/05/2012 02:03 | 44.90 | 11.26 | TF | 6.1 | 1 |
| IT-2012-0010 | Cavezzo | Italy | 29/05/2012 10:55 | 44.87 | 10.98 | TF | 5.5 | 6 |
| IT-2012-0011 | Emilia 2nd shock | Italy | 29/05/2012 07:00 | 44.84 | 11.07 | TF | 6 | 18 |
| JP-2000-0007 | Tottori | Japan | 06/10/2000 04:30 | 35.28 | 133.35 | SS | 6.6 | 8 |
| JP-2004-0002 | Niigata | Japan | 23/10/2004 08:55 | 37.29 | 138.87 | TF | 6.6 | 11 |
| JP-2004-0003 | Niigata | Japan | 27/10/2004 01:40 | 37.29 | 139.04 | TF | 5.8 | 1 |
| JP-2005-0002 | Fukuoka | Japan | 20/03/2005 01:53 | 33.74 | 130.18 | SS | 6.6 | 1 |
| TK-1999-0077 | Izmit | Turkey | 17/08/1999 00:01 | 40.76 | 29.96 | SS | 7.6 | 10 |
| TK-1999-0294 | Kocaeli | Turkey | 13/09/1999 11:55 | 40.75 | 30.08 | NF | 5.8 | 1 |
| TK-1999-0415 | Düzce | Turkey | 12/11/1999 16:57 | 40.81 | 31.19 | SS | 7.3 | 8 |
| TK-2003-0038 | Bingöl | Turkey | 01/05/2003 00:27 | 39.00 | 40.46 | SS | 6.3 | 1 |
| USGS-iscgem787038 | San Fernando | United States | 09/02/1971 14:00 | 34.40 | −118.43 | TF | 6.7 | 3 |
| USGS-iscgem893168 | Kern County | United States | 21/07/1952 11:52 | 34.99 | −119.02 | TF | 7.3 | 1 |
| USGS-nc51147892 | Parkfield | United States | 28/09/2004 17:15 | 35.82 | −120.37 | SS | 5.9 | 40 |
| USGS-us20005i1a | Kumamoto | Japan | 14/04/2016 15:03 | 32.70 | 130.72 | SS | 6 | 6 |
| USGS-us20005iis | Kumamoto | Japan | 15/04/2016 16:25 | 32.75 | 130.76 | SS | 7 | 31 |
| USGS-usp0000w1w | Santa Barbara | United States | 13/08/1978 22:54 | 34.40 | −119.68 | TF | 5.8 | 2 |
| USGS-usp000128g | Coyote Lake | United States | 06/08/1979 17:05 | 37.07 | −121.49 | SS | 5.8 | 3 |
| USGS-usp00013ee | Imperial Valley | Mexico | 15/10/1979 23:16 | 32.64 | −115.31 | NF | 6.5 | 18 |
| USGS-usp000181t | Alberto Oviedo Mota | Mexico | 09/06/1980 03:28 | 32.19 | −115.08 | SS | 6.3 | 1 |
| USGS-usp0001dcq | Westmorland | United States | 26/04/1981 12:09 | 33.10 | −115.62 | SS | 5.9 | 2 |
| USGS-usp0002vtg | North Palm Springs | United States | 08/07/1986 09:20 | 34.00 | −116.61 | TF | 6.7 | 6 |
| USGS-usp0003afe | Superstion Hills | United States | 24/11/1987 13:15 | 33.02 | −115.85 | SS | 6.6 | 1 |
| USGS-usp00040t8 | Loma-Prieta | United States | 18/10/1989 00:04 | 37.04 | −121.88 | TF | 6.9 | 19 |
| USGS-usp000566s | Joshua Tree | United States | 23/04/1992 04:50 | 33.96 | −116.32 | SS | 6.1 | 1 |
| USGS-usp00056e1 | Cape Mendocino | United States | 25/04/1992 18:06 | 40.33 | −124.23 | TF | 7 | 3 |
| USGS-usp00056fp | Cape Mendocino | United States | 26/04/1992 07:41 | 40.43 | −124.57 | SS | 6.5 | 1 |
| USGS-usp00056g0 | Cape Mendocino | United States | 26/04/1992 11:18 | 40.38 | −124.56 | SS | 6.7 | 1 |
| USGS-usp00059sn | Landers | United States | 28/06/1992 11:57 | 34.20 | −116.44 | SS | 7.3 | 1 |
| USGS-usp00066k9 | Northridge | United States | 17/01/1994 12:30 | 34.21 | −118.55 | TF | 6.7 | 12 |
| USGS-usp000bg0m | Denali | United States | 03/11/2002 22:12 | 63.52 | −147.44 | TF | 7.8 | 2 |
Publisher’s Note: MDPI stays neutral with regard to jurisdictional claims in published maps and institutional affiliations. |
© 2021 by the authors. Licensee MDPI, Basel, Switzerland. This article is an open access article distributed under the terms and conditions of the Creative Commons Attribution (CC BY) license (http://creativecommons.org/licenses/by/4.0/).
Share and Cite
Schiappapietra, E.; Felicetta, C.; D’Amico, M. Fling-Step Recovering from Near-Source Waveforms Database. Geosciences 2021, 11, 67. https://doi.org/10.3390/geosciences11020067
Schiappapietra E, Felicetta C, D’Amico M. Fling-Step Recovering from Near-Source Waveforms Database. Geosciences. 2021; 11(2):67. https://doi.org/10.3390/geosciences11020067
Chicago/Turabian StyleSchiappapietra, Erika, Chiara Felicetta, and Maria D’Amico. 2021. "Fling-Step Recovering from Near-Source Waveforms Database" Geosciences 11, no. 2: 67. https://doi.org/10.3390/geosciences11020067
APA StyleSchiappapietra, E., Felicetta, C., & D’Amico, M. (2021). Fling-Step Recovering from Near-Source Waveforms Database. Geosciences, 11(2), 67. https://doi.org/10.3390/geosciences11020067

