Effects of Summer Transhumance of Dairy Cows to Alpine Pastures on Body Condition, Milk Yield and Composition, and Cheese Making Efficiency
Simple Summary
Abstract
1. Introduction
2. Materials and Methods
2.1. Farms, Animals, and Sample Collection
- Individual daily milk yield (MY, kg/d);
- Individual milk samples (2000 mL per cow) collected during the evening milking and immediately refrigerated at 4 °C without preservative;
- Body condition score (BCS), assessed by a skilled operator on the same day as milk sample collection using the technique developed by Edmonson et al. (1989) [18], and expressed on a scale from 1 (thin) to 5 (fat) in increments of 0.25.
2.2. Milk Quality Traits
2.3. Milk Coagulation and Curd Firmness Properties
2.4. Cheese-Making Procedure and Traits
2.5. Statistical Analysis
3. Results
4. Discussion
4.1. Body Condition Score and Milk Yield and Composition
4.2. Milk Coagulation Properties, Curd Firming, and Syneresis
4.3. Cheese Yield and Nutrient Recovery in Curd
5. Conclusions
Author Contributions
Funding
Acknowledgments
Conflicts of Interest
References
- Mack, G.; Walter, T.; Flury, C. Seasonal alpine grazing trends in Switzerland: Economic importance and impact on biotic communities. Environ. Sci. Policy 2013, 32, 48–57. [Google Scholar] [CrossRef]
- Sturaro, E.; Marchiori, E.; Cocca, G.; Penasa, M.; Ramanzin, M.; Bittante, G. Dairy systems in mountainous areas: Farm animal biodiversity, milk production and destination, and land use. Livest. Sci. 2013, 158, 157–168. [Google Scholar] [CrossRef]
- Fuerst-Waltl, B.; Aichhorn, T.; Fuerst, C. Mountain pasturing of rearing stock reduces the culling risk as dairy cows. Animal 2019, 13, 209–212. [Google Scholar] [CrossRef]
- Bovolenta, S.; Corazzin, M.; Saccà, E.; Gasperi, F.; Biasioli, F.; Ventura, W. Performance and cheese quality of Brown cows grazing on mountain pasture fed two different levels of supplementation. Livest. Sci. 2009, 124, 58–65. [Google Scholar] [CrossRef]
- Bergamaschi, M.; Cipolat-Gotet, C.; Stocco, G.; Valorz, C.; Bazzoli, I.; Sturaro, E.; Ramanzin, M.; Bittante, G. Cheese making in highland pastures: Milk technological properties, cream, cheese and ricotta yields, milk nutrient recovery, and products composition. J. Dairy Sci. 2016, 99, 9631–9646. [Google Scholar] [CrossRef] [PubMed]
- Leroy, G.; Hoffmann, I.; From, T.; Hiemstra, S.J.; Gandini, G. Perception of livestock ecosystem services in grazing areas. Animal 2018, 12, 2627–2638. [Google Scholar] [CrossRef] [PubMed]
- Battaglini, L.; Bovolenta, S.; Gusmeroli, F.; Salvador, S.; Sturaro, E. Environmental sustainability of Alpine livestock farms. Ital. J. Anim. Sci. 2014, 13, 431–443. [Google Scholar] [CrossRef]
- Marini, L.; Klimek, S.; Battisti, A. Mitigating the impacts of the decline of traditional farming on mountain landscapes and biodiversity: A case study in the European Alps. Environ. Sci. Policy 2011, 14, 258–267. [Google Scholar] [CrossRef]
- Gandini, G.C.; Villa, E. Analysis of the cultural value of local livestock breeds: A methodology. J. Anim. Breed. Genet. 2003, 120, 1–11. [Google Scholar] [CrossRef]
- Kianicka, S.; Knab, L.; Buchecker, M. Maiensäss–Swiss Alpine summer farms—An element of cultural heritage between conservation and further development: A qualitative case study. Int. J. Herit. Stud. 2010, 16, 486–507. [Google Scholar] [CrossRef]
- Daugstad, K.; Kirchengast, C. Authenticity and the pseudo-backstage of agri-tourism. Ann. Tour. Res. 2013, 43, 170–191. [Google Scholar] [CrossRef]
- Coppa, M.; Ferlay, A.; Monsallier, F.; Verdier-Metz, I.; Pradel, P.; Didienne, R.; Farruggia, A.; Montel, M.C.; Martin, B. Milk fatty acid composition and cheese texture and appearance from cows fed hay or different grazing systems on upland pastures. J. Dairy Sci. 2011, 94, 1132–1145. [Google Scholar] [CrossRef] [PubMed]
- Bergamaschi, M.; Bittante, G. Detailed fatty acid profile of milk, cheese, ricotta and by products, from cows grazing summer highland pastures. J. Dairy Res. 2017, 84, 329–338. [Google Scholar] [CrossRef] [PubMed]
- Bergamaschi, M.; Bittante, G. From milk to cheese: Evolution of flavor fingerprint of milk, cream, curd, whey, ricotta, scotta, and ripened cheese obtained during summer Alpine pasture. J. Dairy Sci. 2018, 101, 3918–3934. [Google Scholar] [CrossRef]
- Leiber, F.; Kreuzer, M.; Leuenberger, H.; Wettstein, H.R. Contribution of diet type and pasture conditions to the influence of high altitude grazing on intake, performance and composition and renneting of the milk of cows. Anim. Res. 2006, 55, 37–53. [Google Scholar] [CrossRef]
- Zendri, F.; Ramanzin, M.; Cipolat-Gotet, C.; Sturaro, E. Variation of milk coagulation properties, cheese yield, and nutrients recovery in curd of cows of different breeds before, during and after transhumance to highland summer pastures. J. Dairy Res. 2017, 84, 39–48. [Google Scholar] [CrossRef] [PubMed]
- Orlandi, D.; Clementel, F.; Scartezzini, F.; Floris, A. Caratterizzazione e Cartografia dei Pascoli di Una Malga Alpina (Malga Juribello-Trento); Comunicazioni di Ricerca ISAFA: Trento, Italy, 2000. [Google Scholar]
- Edmonson, A.J.; Lean, I.J.; Weaver, L.D.; Farver, T.; Webster, G. A body condition scoring chart for Holstein dairy cows. J. Dairy Sci. 1989, 72, 68–78. [Google Scholar] [CrossRef]
- ISO-IDF (International Organization for Standardization and International Dairy Federation). Milk and Milk Products—Determination of Nitrogen Content—Part 1: Kjeldahl Principle and Crude Protein Calculation; International Standard ISO 8968-1 and IDF; ISO: Geneva, Switzerland; Brussels, Belgium, 2014. [Google Scholar]
- ISO-IDF (International Organization for Standardization and International Dairy Federation). Milk—Determination of Fat Content; International Standard ISO 1211 and IDF; ISO: Geneva, Switzerland; Brussels, Belgium, 2010. [Google Scholar]
- ISO-IDF (International Organization for Standardization and International Dairy Federation). Milk—Determination of Lactose Content—Enzymatic Method Using Difference in pH; International Standard ISO 26462:2010 and IDF; ISO: Geneva, Switzerland; Brussels, Belgium, 2010. [Google Scholar]
- Ali, A.K.A.; Shook, G.E. An optimum transformation for somatic cell concentration in Milk 1. J. Dairy Sci. 1980, 63, 487–490. [Google Scholar] [CrossRef]
- Stocco, G.; Cipolat-Gotet, C.; Bobbo, T.; Cecchinato, A.; Bittante, G. Breed of cow and herd productivity affect milk composition and modeling of coagulation, curd firming, and syneresis. J. Dairy Sci. 2017, 100, 129–145. [Google Scholar] [CrossRef]
- McMahon, D.J.; Brown, R.J. Evaluation of formagraph for comparing rennet solutions. J. Dairy Sci. 1982, 65, 1639–1642. [Google Scholar] [CrossRef]
- Bittante, G.; Contiero, B.; Cecchinato, A. Prolonged observation and modelling of milk coagulation curd firming, and syneresis. Int. Dairy J. 2013, 29, 115–123. [Google Scholar] [CrossRef]
- Stocco, G.; Cipolat-Gotet, C.; Gasparotto, V.; Cecchinato, A.; Bittante, G. Breed of cow and herd productivity affect milk nutrient recovery in curd, and cheese yield, efficiency and daily production. Animal 2018, 12, 434–444. [Google Scholar] [CrossRef]
- Linn, J.G. Factors affecting the composition of milk from dairy cows. In National Research Council. Designing Foods: Animal Product Options in the Marketplace; The National Academies Press: Washington, DC, USA, 1988; pp. 224–241. [Google Scholar]
- Schepers, A.J.; Lam, T.J.G.M.; Schykken, Y.H.; Wilmink, J.B.; Hanekamp, W.J. Estimation of variance components for somatic cell counts to determine thresholds for uninfected quarters. J. Dairy Sci. 1997, 80, 1833–1840. [Google Scholar] [CrossRef]
- Zendri, F.; Ramanzin, M.; Bittante, G.; Sturaro, E. Transhumance of dairy cows to highland summer pastures interacts with breed to influence body condition, milk yield and quality. Ital. J. Anim. Sci. 2016, 15, 481–491. [Google Scholar] [CrossRef]
- Berry, N.R.; Sutter, F.; Bruckmaier, R.M.; Blum, J.W.; Kreuzer, M. Limitations of high alpine grazing conditions for early lactating cows: Effects of energy and protein supplementation. Anim. Sci. 2001, 73, 149–162. [Google Scholar] [CrossRef]
- Leiber, F.; Kreuzer, M.; Jörg, B.; Leuenberger, H. Contribution of altitude and Alpine origin of forage to the influence of Alpine sojourn of cows on intake, nitrogen conversion, metabolic stress and milk synthesis. Anim. Sci. 2004, 78, 451–466. [Google Scholar] [CrossRef]
- Niero, G.; Koczura, M.; De Marchi, M.; Currò, S.; Kreuzer, M.; Turille, G.; Berard, J. Are cheese-making properties of dual purpose cattle impaired by highland grazing? A case study using Aosta Red Pied cows. Ital. J. Anim Sci. 2018, 17, 827–834. [Google Scholar] [CrossRef]
- Bugaud, C.; Buchin, S.; Coulon, J.B.; Hauwuy, A.; Dupont, D. Influence of the nature of alpine pastures on plasmin activity, fatty acid and volatile compound composition of milk. Lait 2001, 81, 401–414. [Google Scholar] [CrossRef]
- Leiber, F.; Nigg, D.; Kunz, C.; Scheeder, M.R.L.; Wettstein, H.R.; Kreuzer, M. Protein composition, plasmin activity and cheese-making properties of cow’s milk produced at two altitudes from hay of lowland and high-alpine origin. J. Dairy Res. 2005, 72, 65–74. [Google Scholar] [CrossRef]
- Zemp, M.; Leuenberger, H.; Künzi, N.; Blum, W. Influence of high altitude grazing on productive and physiological traits of dairy cows. I. Influence on milk production and body weight. J. Anim. Breed Genet. 1989, 106, 278–288. [Google Scholar] [CrossRef]
- Christen, R.E.; Kunz, P.L.; Langhans, W.; Leuenberger, H.; Sutter, F.; Kreuzer, M. Productivity, requirements and efficiency of feed and nitrogen utilization of grass-fed early lactating cows exposed to high Alpine conditions. J. Anim. Physiol. Anim. Nutr. 1996, 76, 22–35. [Google Scholar] [CrossRef]
- Romanzin, A.; Corazzin, M.; Piasentier, E.; Bovolenta, S. Effect of rearing system (mountain pasture vs. indoor) of Simmental cows on milk composition and Montasio cheese characteristics. J. Dairy Res. 2013, 80, 390–399. [Google Scholar] [CrossRef] [PubMed]
- Romanzin, A.; Corazzin, M.; Piasentier, E.; Bovolenta, S. Concentrate supplement modifies the feeding behavior of simmental cows grazing in two high mountain pastures. Animals 2018, 8, 76. [Google Scholar] [CrossRef]
- Cecchinato, A.; Cipolat-Gotet, C.; Casellas, J.; Penasa, M.; Rossoni, A.; Bittante, G. Genetic analysis of rennet coagulation time, curd-firming rate, and curd firmness assessed over an extended testing period using mechanical and near-infrared instruments. J. Dairy Sci. 2013, 96, 50–62. [Google Scholar] [CrossRef] [PubMed]
- Bittante, G.; Cipolat-Gotet, C.; Malchiodi, F.; Sturaro, E.; Tagliapietra, F.; Schiavon, S.; Cecchinato, A. Effect of dairy farming system, herd, season, parity and days in milk on modeling of the coagulation, curd firming and syneresis of bovine milk. J. Dairy Sci. 2015, 98, 2759–2774. [Google Scholar] [CrossRef]
- Malchiodi, F.; Cecchinato, A.; Penasa, M.; Cipolat-Gotet, C.; Bittante, G. Milk quality, coagulation properties, and curd firmness modeling of purebred Holsteins and first- and second-generation crossbred cows from Swedish Red, Montbéliarde, and Brown Swiss bulls. J. Dairy Sci. 2014, 97, 4530–4541. [Google Scholar] [CrossRef]
- Bovolenta, S.; Ventura, W.; Piasentier, E.; Malossini, F. Supplementation of dairy cows grazing an alpine pasture: Effect of concentrate level on milk production, body condition and rennet coagulation properties. Ann. Zootech. 1998, 47, 169–178. [Google Scholar] [CrossRef]
- Cipolat-Gotet, C.; Cecchinato, A.; De Marchi, M.; Bittante, G. Factors affecting variation of different measures of cheese yield and milk nutrients recovery from an individual model cheese-manufacturing process. J. Dairy Sci. 2013, 96, 7966–7979. [Google Scholar] [CrossRef]




| Traits | Variables | Mean ± SD | Month × Treatment | COV | Cow | RMSE 1 | P-Value of TREND | ||
|---|---|---|---|---|---|---|---|---|---|
| L | Q | C | |||||||
| BCS and milk traits | BCS | 3.09 ± 0.21 | 5.83 ** | 25.88 ** | 2 | 0.14 | 0.39 | 0.70 | 0.39 |
| Milk yield, kg/d | 25.71 ± 8.04 | 6.09 ** | 4.51 * | 32 | 3.32 | <0.0001 | 0.07 | 0.37 | |
| Fat, % | 3.89 ± 0.72 | 4.70 ** | 0.48 | 8 | 0.46 | 0.002 | 0.05 | 0.10 | |
| Protein, % | 3.78 ± 0.31 | 25.06 ** | 5.63 * | 53 | 0.13 | <0.0001 | 0.06 | 0.81 | |
| Lactose, % | 5.01 ± 0.21 | 5.57 ** | 6.53 * | 57 | 0.10 | 0.0005 | 0.38 | 0.50 | |
| SCS (somatic cell score) | 3.49 ± 1.62 | 2.72 * | 7.38 * | 36 | 1.03 | 0.002 | 0.32 | 0.95 | |
| Single-point MCP 2 | RCT, min | 21.99 ± 5.80 | 8.54 ** | 13.95 ** | 21 | 3.34 | <0.0001 | 0.002 | 0.64 |
| k20, min | 4.53 ± 1.57 | 5.65 ** | 2.28 | 40 | 0.99 | 0.003 | 0.05 | 0.70 | |
| a30, mm | 30.14 ± 16.44 | 8.11 ** | 8.32 ** | 26 | 9.43 | 0.002 | 0.01 | 0.57 | |
| a45, mm | 42.43 ± 9.14 | 14.00 ** | 0.19 | 40 | 5.12 | 0.002 | 0.01 | 0.79 | |
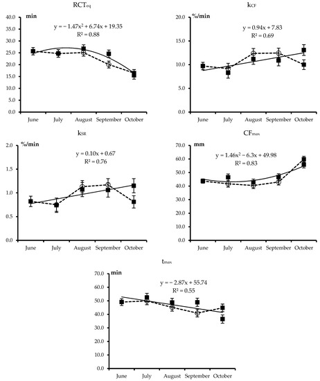
| CFt parameters 3 | RCTeq, min | 22.77 ± 5.70 | 9.47 ** | 14.47 ** | 20 | 3.21 | <0.0001 | 0.001 | 0.68 |
| kCF, %/min | 10.74 ± 3.14 | 3.12 * | 15.09 ** | 25 | 2.19 | 0.004 | 0.72 | 0.20 | |
| kSR, %/min | 0.96 ± 0.38 | 2.50 * | 10.35 ** | 30 | 0.27 | 0.03 | 0.35 | 0.42 | |
| CFmax, mm | 46.29 ± 7.80 | 17.21 ** | 1.29 | 46 | 4.02 | 0.001 | 0.001 | 0.76 | |
| tmax, min | 46.36 ± 8.94 | 3.90 ** | 14.22 ** | 23 | 6.00 | 0.001 | 0.12 | 0.19 | |
| %CY, % | Curd | 16.06 ± 1.82 | 2.37 * | 5.05 * | 17 | 1.46 | 0.03 | 0.72 | 0.18 |
| Solids in curd | 6.62 ± 0.70 | 4.80 ** | 0.54 | 24 | 0.44 | 0.001 | 0.06 | 0.11 | |
| Water in curd | 9.44 ± 1.42 | 2.40 * | 1.13 | 33 | 1.08 | 0.11 | 0.74 | 0.25 | |
| REC, % | Fat | 83.18 ± 4.35 | 0.69 | 1.43 | 19 | 0.64 | 0.23 | 0.82 | 0.84 |
| Protein | 78.61 ± 1.67 | 2.98 * | 40.11 ** | 54 | 0.41 | 0.37 | 0.19 | 0.08 | |
| Solids | 50.34 ± 3.39 | 6.88 ** | 0.67 | 32 | 2.04 | 0.01 | 0.16 | 0.09 | |
| Daily yield of curd | dCY, kg/d | 4.16 ± 1.30 | 3.81 ** | 1.05 | 32 | 0.68 | 0.06 | 0.43 | 0.14 |
© 2019 by the authors. Licensee MDPI, Basel, Switzerland. This article is an open access article distributed under the terms and conditions of the Creative Commons Attribution (CC BY) license (http://creativecommons.org/licenses/by/4.0/).
Share and Cite
Saha, S.; Amalfitano, N.; Sturaro, E.; Schiavon, S.; Tagliapietra, F.; Bittante, G.; Carafa, I.; Franciosi, E.; Gallo, L. Effects of Summer Transhumance of Dairy Cows to Alpine Pastures on Body Condition, Milk Yield and Composition, and Cheese Making Efficiency. Animals 2019, 9, 192. https://doi.org/10.3390/ani9040192
Saha S, Amalfitano N, Sturaro E, Schiavon S, Tagliapietra F, Bittante G, Carafa I, Franciosi E, Gallo L. Effects of Summer Transhumance of Dairy Cows to Alpine Pastures on Body Condition, Milk Yield and Composition, and Cheese Making Efficiency. Animals. 2019; 9(4):192. https://doi.org/10.3390/ani9040192
Chicago/Turabian StyleSaha, Sudeb, Nicolò Amalfitano, Enrico Sturaro, Stefano Schiavon, Franco Tagliapietra, Giovanni Bittante, Ilaria Carafa, Elena Franciosi, and Luigi Gallo. 2019. "Effects of Summer Transhumance of Dairy Cows to Alpine Pastures on Body Condition, Milk Yield and Composition, and Cheese Making Efficiency" Animals 9, no. 4: 192. https://doi.org/10.3390/ani9040192
APA StyleSaha, S., Amalfitano, N., Sturaro, E., Schiavon, S., Tagliapietra, F., Bittante, G., Carafa, I., Franciosi, E., & Gallo, L. (2019). Effects of Summer Transhumance of Dairy Cows to Alpine Pastures on Body Condition, Milk Yield and Composition, and Cheese Making Efficiency. Animals, 9(4), 192. https://doi.org/10.3390/ani9040192

