Simple Summary
Minor modifications in the structure of living beings are signs of the gradual formation of new species. In addition, studying these changes gives us scientific tools, for example, to know whether the species of one region are different from those of another area. In this work, we aim to show these subtle differences in the cranial characteristics in the populations of bats with extensive distributions in Mexico. We now know that there are differences in the populations of Pteronotus mesoamericanus of the Gulf of Mexico and P. mexicanus of the Pacific.
Abstract
Morphological modifications are a potential mechanism for functional species and phylogenetic diversification. The sella turcica in mammals is a structure associated with the basisphenoid bone and serves as the receptacle for the pituitary gland; however, little is known about the morphological variation that may affect functionality in chiropterans. In this study, we provide morphological and morphometric evidence of differences between populations of Pteronotus mesoamericanus [the Gulf of Mexico] and P. mexicanus [the Pacific Coast] by describing variations in the dimensions of the dorsum sellae and the processus clinoideus caudalis of the sella turcica. We obtained 20 a priori designed measurements of the dorsum of the sella turcica from 243 skulls of both species from various locations in Mexico. The dorsum sellae were found at an average distance of 3.4 mm from the lower edge of the foramen magnum. The dorsum of the sella turcica has a truncated pyramidal shape, with the processus clinoideus caudalis located at the tip of the pyramid. Ten of the measurements obtained were found to be significant for both regions (the Pacific Coast and the Gulf of Mexico). We propose that these measurements be tested in future studies of populations from the Mormoopidae family in the Antilles, Central America, and South America for comparative purposes, and to help distinguish different lineages and functions.
1. Introduction
The taxonomy of mammals has developed around the morphology and morphometry of their skulls and, consequently, their phylogenetic relationships. Kinship is defined based on the shape and dimensions of the skull. It establishes correlations with the environment and possible preferences in dietary habits and other aspects. Furthermore, the skull is subject to phenotypic modifications due to natural selective interbreeding [1,2,3]. Therefore, modifications in morphological characteristics are a potential mechanism for the functional and phylogenetic diversification of species [4].
The sella turcica in mammals, a structure associated with the basisphenoid bone (os basisphenoidale), plays a significant role. Its variations, particularly in the shape and dimensions of the dorsum sellae, are of great interest. The anterior part presents the tubercle sellae, and continuing towards the middle part is the hypophyseal or pituitary fossa (fossa hypophysialis), which in a non-pathological state houses the pituitary gland. The posterior part contains the dorsum sellae, with the posterior clinoid processes (processus clinoideus caudalis) [5].
While the sella turcica’s role as the pituitary gland’s receptacle is known in humans, its functionality in chiropterans remains a mystery. This structure is known to undergo modifications in its shape according to various pituitary gland pathologies and modifications related to anatomical and dental conditions in humans [6]. Therefore, future studies should focus on unraveling the sella turcica’s functionality in chiropterans, particularly its potential relationship with the pituitary hormone levels in some bat species.
Pteronotus is widely distributed from western and southeastern Mexico, passing through Central America to Brazil. In Mexico, five species are within the genus: Pteronotus davyi, P. personatus, P. gymnonotus, P. mesoamericanus, and P. mexicanus, with the last two species considered subspecies of P. parnellii, P. p. mesoamericanus, and P. p. mexicanus [7]. Genetic studies show that there are different lineages of P. parnelli across its distribution range, and they propose that the subspecies mexicanus y mesoamericanus be recognized at the species level [8,9,10].
The identification of cryptic species, such as those in the genus Pteronotus, has been a significant achievement. These species, with their subtle differences, have been identified using molecular and genetic tools, bioacoustics, behavior, and ecological requirements [11,12,13]. Therefore, further evidence supporting the differentiation of these cryptic species will provide valuable insights into the evolutionary processes across the various populations within the distribution range of Pteronotus.
The variations in the shape and dimensions of the dorsum sellae in microchiropterans, particularly in P. mexicanus and mesoamericanus, and their relationship with the environment are crucial. These variations could potentially be applied to differentiating populations of the species, establishing the significance of these populations in evolutionary, ecological processes, and most importantly, conservation strategies for the species. This underscores the urgency and importance of our work in understanding and preserving these species.
This article aims to provide morphological and morphometric evidence of the differences among the cryptic species P. mexicanus and mesoamericanus. By describing the variations in the dimensions of the dorsum sellae and the processus clinoideus caudals of the sella turcica across different collection sites in Mexico, we hope to contribute significantly to the understanding of these species and their conservation.
2. Materials and Methods
A search for information was conducted without chronological restrictions of the specialized literature on the skulls of Pteronotus mexicanus, mesoamericanus, and other chiropterans to verify whether there are any records of variations in the structures described herein in national or international publications in Web of Science, Google Scholar, Latindex, and SciELO, using the following keywords in both Spanish and English: silla turca, sella turcica, morphology, cranial anatomy, and basicranial anatomy, all in combination with the terms bat, chiropteran, the species name, its synonyms, and the name of the family Mormoopidae.
2.1. Specimen Review
Twenty measurements designed for the sella turcica were taken from 243 skulls of P. mexicanus and mesoamericanus, including 105 male and 138 female specimens. The collection sites for these specimens cover most of the species distribution area in Mexico (Figure 1; Appendix A Table A1). Additionally, to verify whether a developed or at least distinguishable dorsum sellae exists and its shape in other bat species, the skulls of 25 other chiropteran species were examined (although no measurements of the dorsum were made for these species). This review included three species phylogenetically related to P. mexicanus and mesoamericanus: P. fulvus, P. psilotis, and Mormoops magalophylla.
Figure 1.
Localities where specimens of both species of Pteronotus were recorded.
The 243 specimens were organized by region within Mexico, resulting in 150 speci-mens from the Mexican Pacific region and 77 specimens from the Gulf of Mexico region. For this analysis, specimens from the Petén and Yucatán regions were included in the Gulf of Mexico region analysis. Specimens from the Sierra Madre del Sur and Eje Volcáni-co regions were excluded from the analysis due to sample size limitations. They have not yet undergone a genetic analysis that distinguishes them according to one of the two populations proposed by López-Wilchis et al. [8]. However, their measurement values are used to assign them to one of the two species.
The museum specimens analyzed are in two scientific collections that house significant numbers of specimens of the species: the Regional Collection of Mammals of the Interdisciplinary Center for Regional Research and Development, the Oaxaca Unit, of the National Polytechnic Institute (OAX.MA.026.0497), and the Collection of the Center for Biological Research of the Northeast, S.C. (CIBNOR).
2.2. Photographs
Images were taken using a CANON EOS REBEL XS® camera with an RMS® microscope objective adapter, to which an AmScope 4X Planachromatic® objective was attached. The camera was mounted on a Zouminy® micrometer screw stage and placed on a four-way sliding control rail for macrofocusing by Bewinner®, with all components fixed to a steel plate separated from the work surface by synthetic rubber to reduce vibration. Each P. mexicanus and mesoamericanus skull was mounted on a stem inside a lightbox for photography and positioned in a front-occipital view towards the objective lens, focusing the interior through the foramen magnum in orthogonal projection (Figure 2). The anatomical terminology used to describe the structure followed the Veterinary Anatomical Nomenclature [14].
Figure 2.
(a) Device for obtaining macrophotography and (b) occipital view of a Pteronotus skull mounted on a metal rod. The focus was on the interior through the foramen magnum.
2.3. Measurements
Ad hoc measurements were to be reproducible for the dorsum sellae and the processus clinoideus caudalis. The measurements were taken using ImageJ software, version 1.53k [15], with a scale attached to the image. A diagram of the 15 measured lengths and three angles, along with their descriptions, is shown in Figure 3, Table 1.
Figure 3.
Schematic of recorded lengths and angles of the dorsum sellae and processus clinoideus caudalis (a,b) indicating where the dorsum sellae is the edge of the foramen magnum in the ventral view of the skull (the thin black arrow indicates the site of the synchondrosis) (c). For a description of the measurements, see Table 1.
Table 1.
Description of the measurements used for the dorsum sellae and processus clinoideus caudalis.
A Mann–Whitney U test analysis was applied using SPSS V.21 [16] to identify differences between the distributions of the Pacific and Gulf of Mexico populations.
3. Results
3.1. General Description
The morphological variation in the sella turcica in P. mexicanus and mesoamericanus is a comprehensive study, present in all 243 skulls examined and measured. It starts from the floor of the skull, formed by the basioccipital bone, which is generally broad in mammals and is between the tympanic bullae. Uniquely, the basioccipital bone in the species under study narrows forward (Figure 3c) until it is as narrow as less than half of the proximal end to the foramen magnum.
The described structure is in the occipital view through the foramen magnum. The dorsum of the sella and its caudal clinoid processes are in the spheno-occipital joint. From the occipital view, the sella turcica is by the auditory bullae. In the ventral view, the sella turcica is after the basioccipital fossa in an anteroposterior direction (Figure 2).
Regarding the skulls reviewed and photographed from other bat species, in addition to P. mexicanus and mesoamericanus, only members of its family [Mormoopidae] exhibited conspicuous dorsum sellae and processus clinoideus caudalis. In contrast, two species from the Phyllostomidae family, Artibeus lituratus [frugivore] and Glossophaga soricina [nectarivore/pollinivore], have small protrusions that are barely perceptible under a stereoscopic microscope (Table 2). The dorsum sellae is truncated pyramidal, with the processus clinoideus caudalis at the pyramid’s apex.
Table 2.
Species reviewed in the Regional Mammal Collection and the Northeast Biological Research Center, S.C., verified the presence of the dorsum sellae or the processus clinoideus caudalis in different species (P: present; N: not present).
3.2. Morphometry
In P. mexicanus and mesoamericanus, spheno-occipital synchondrosis is present. Therefore, the dorsum sellae is at an average distance of 3.4 mm [ranging from 3.25 to 3.5 mm, with a standard deviation of 0.12 mm] from the lower border of the foramen magnum (Figure 3c and Table 3).
Table 3.
Values of the sella turcica measurements of Pteronotus mexicanus and mesoamericanus for all specimens [measurements in mm] [n = 243].
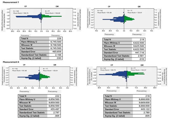
A Mann–Whitney U test for independent samples was conducted at an asymptotic significance level of 0.05. This test rejected the null hypothesis in ten measurements taken from the sella turcica, indicating significant differences between the samples from the biogeographic zones known as the Pacific Coast and the Gulf of Mexico [Figure 4, Appendix A Table A2].

Figure 4.
Graphics of independent-sample Mann–Whitney U test for ten measurements: the Coastal Pacific (CP, in blue) vs. Gulf of Mexico (GM, in green) regions.
Regarding the specimens from Sierra Madre del Sur and the Volcanic Axis, a visual comparison of their measurements versus the average, maximum, and minimum values of each of the regions analyzed achieved the definition that one is within the intervals of the Pacific Coast region with 15 measurements that correspond to the species Pteronotus mexicanus [measurements 2, 3, 4, 8, 9, and 11–20]; two specimens with 12 measurements are within the intervals of P. mesoamericanus [measurements 1,2, 3, 4, 6, 7, 8, 11, 12, 17, 19, and 20]; and finally, the remaining specimens were not defined as belonging to either of the two species.
4. Discussion
Regarding the literature review of books and scientific journals, there were no records concerning the structural variation in the sella turcica as described here for the genera of the Mormopidae family. According to Velazco’s [17] review of the sella turcica in other bat species, Carollia subrufa, Sturnira erythromos, and Uroderma magnirostrum do not possess either the dorsum or these processes. In contrast, the genera Platyrrhinus and Vampyrodes present small, almost imperceptible clinoid processes; however, the dorsum sellae is small and undetectable. There are no measurements in the cited work.
Based on the specimens reviewed, only in the Mormoopidae family does the sella turcica possess an elevated dorsum sellae above the floor of the skull with prominent clinoid processes. The posterior shape of the sella turcica is evident to the observer, much like in other mammals [e.g., Carnivora]. In contrast, in the other bat genera reviewed, the dorsum sellae of the sella turcica is completely reduced. In some cases, only discrete protuberances are discernible, with the area of the spheno-occipital synchondrosis where the sella turcica is being practically smooth [Table 2 and Figure 5a,b].
Figure 5.
(a) Images of the dorsum sellae and posterior clinoid processes in the skulls of other species of the Moormopidae family (Moormops megalophylla, P. fulvus, P. psilotis, and other microchiropterans Glossofaga soricina and Artibeus lituratus). (b) Images of the occipital view in which there is an absence of the dorsum sellae and its clinoid processes in the skulls of Noctilio leporinus, Baliantiopterix plicata, Lasiurus cinereus, and Macrotus waterhoussi. The black line is equivalent to 1 mm.
The description of the basisphenoid provided by Simmons and his collaborators [18] indicates that this bone narrows to one-third of the width of the foramen magnum, the dorsum of the sella turcica being at that narrowest site of the basisphenoid. It is likely that the growth of tympanic bullae, mainly located deep within the skull of the family Mormoopidae, causes the narrowing of the width of the basilesphenoid.
From this sample, we can affirm that the presence of the dorsum of the sella turcica in the Mormoopidae family is conspicuous, and its morphology is typical of any mammal. In Pteronotus mexicanus and mesoamericanus, there are various shapes across all populations, and their dimensions vary among populations. Notably, the populations of the Pacific region and those from the Gulf of Mexico region show apparent differences. According to the hypothesis of the family origin, both populations stem from groups that migrated along different routes to the continent from the Antilles. Therefore, this structure should be like the species of this family in the Antilles.
The dorsum of the sella turcica and the clinoid processes in P. mexicanus and mesoamericanus show a wide range of dimensions in the recorded localities in Mexico, where each region has very different environmental conditions. The growth and shape of the sella turcica dorsum may result from pituitary-level responses and, thus, adaptations to the various climates, types of vegetation, and diets of this species within its distribution range in the country. This is supported by the location of the sella turcica in the sellar region. This small area also includes the cavernous sinus and the suprasellar cistern. It houses the pituitary gland, making this region crucial for neurovascular processes and endocrine and optical functions [19].
While our study suggests a potential sympatry zone between P. mexicanus and mesoamericanus, indicated by the specimens from localities in the Sierra Madre del Sur and the Volcanic Axis, it is important to note that this finding is subject to the reservations that the deficiencies of the sample impose. These reservations are crucial to consider for the credibility of our research.
The hormonal activity in the sella turcica area is intense, as it contains the pituitary gland. The posterior lobe of the pituitary is mainly regulated by neurohypophysis, which has axonal projections from hypothalamic neurons [pituicytes], and their endings, known as Herring bodies, serve as hormone reservoirs, such as the antidiuretic hormone [ADH] and oxytocin. This activity is related to changes in the shape and dimensions of the various components of the sella turcica [20,21,22]. Therefore, we consider it important to investigate the hormonal linkage of the shape of the sella turcica in the Mormoopidae family.
In humans, the dimensions of the sella turcica, including its length and diameter, increase with age. This growth rate slows in preschool and then increases considerably during puberty [23]. Afterward, it decreases and eventually ceases at the onset of adulthood. Therefore, the different shapes and dimensions recorded in the collection localities may be related to the ontogenetic development of the mammal species studied here.
This characteristic, consistently present in the skulls of terrestrial mammals but not in flying ones, could be considered a plesiomorphic trait in both species and the Mormoopidae family, potentially signaling their isolation in the past on the Caribbean islands [8].
The measurements for the dorsum of the sella turcica in P. mexicanus and mesoamericanus were explicitly used for this study. For comparative purposes, these measurements should be used in future studies of Mormoopidae species populations from the Antilles, Central America, and South America.
5. Conclusions
This pioneering work unveils, for the first time, the unique characteristics of the dorsum sellae in the skull of a microchiroptera.
The data gathered here not only confirm the existence of differences in the measurements of the dorsum sellae of the populations of the Gulf and Pacific regions in Mexico but also provide support for the division of P. parnelli into two species: P. mesoamericanus [the Gulf region] and P. mexicanus [the Pacific region]. It is crucial to bear in mind the limitations of the sample when interpreting the findings of this study.
Author Contributions
M.A.P.-P.: conceptualization, data curation, formal analysis, funding acquisition, investigation, methodology, validation, and writing—original draft and editing. M.B.-S.: formal analysis, funding acquisition, investigation, supervision, and writing—review and editing. All authors have read and agreed to the published version of the manuscript.
Funding
This project received partial support from the Research and Postgraduate Secretariat [SIP: 20220797] of the Instituto Politécnico Nacional. MAP-P received support from Consejo Nacional de Humanidades, Ciencias y Tecnologías [CONAHCYT], for the doctoral fellowship [CVU 959855].
Institutional Review Board Statement
Not applicable.
Informed Consent Statement
Not applicable.
Data Availability Statement
Further inquiries can be directed to the corresponding authors.
Acknowledgments
M.A.P-P. thanks the Universidad Autónoma Benito Juárez de Oaxaca for permission to grant the doctoral scholarship. Thanks to Sergio Ticul Álvarez Castañeda and Mayra de la Paz Cuevas for all the facilities at CIBNOR. M.B.-S. thanks the commission for supporting the Operation and Promotion of Academic Activities [COFAA] and the Researcher Performance Incentive Program [EDI] at the Instituto Politécnico Nacional. M.B.-S. acknowledges the Sistema Nacional de Investigadores [SNI] for its recognition and support.
Conflicts of Interest
The authors declare no conflicts of interest.
Appendix A
Table A1.
The numbers of specimens for the localities used in this study and their geographic locations.
Table A1.
The numbers of specimens for the localities used in this study and their geographic locations.
| Locality | State | Biogeographic Regions (BIOGEO) | Lat. | Lon. | N |
|---|---|---|---|---|---|
| Chamela | Jalisco | Costa del Pacífico | 19.5 | −105.04 | 24 |
| Compostela | Nayarit | Costa del Pacífico | 21.31 | −104.9 | 2 |
| El Venado | Nayarit | Costa del Pacífico | 21.96 | −104.95 | 1 |
| San Blas | Nayarit | Costa del Pacífico | 21.54 | −105.28 | 2 |
| Tepic | Nayarit | Costa del Pacífico | 21.51 | −104.99 | 1 |
| La Venta, Santo Domingo Ingenio | Oaxaca | Costa del Pacífico | 16.53 | −94.84 | 4 |
| Magdalena Tacotepec | Oaxaca | Costa del Pacífico | 16.53 | −95.2 | 2 |
| Pluma Hidalgo | Oaxaca | Costa del Pacífico | 15.9 | −96.45 | 1 |
| San Francisco Huamelula | Oaxaca | Costa del Pacífico | 16.1 | −95.61 | 1 |
| San José de las Flores | Oaxaca | Costa del Pacífico | 16.4 | −97.73 | 2 |
| San Pedro Mixtepec | Oaxaca | Costa del Pacífico | 15.92 | −97.08 | 12 |
| Santa María Petatengo | Oaxaca | Costa del Pacífico | 15.94 | −96.03 | 6 |
| Santiago Jamiltepec | Oaxaca | Costa del Pacífico | 16.24 | −97.77 | 1 |
| Santiago Tetepec | Oaxaca | Costa del Pacífico | 16.3 | −97.65 | 2 |
| Copala | Sinaloa | Costa del Pacífico | 23.42 | −105.91 | 25 |
| Álamos | Sonora | Costa del Pacífico | 27.04 | −109.01 | 40 |
| Mina San Alberto, Mexiquillo | Sonora | Costa del Pacífico | 27.35 | −108.96 | 18 |
| Constitución Mexicana | Oaxaca | Golfo de México | 17.31 | −95.35 | 1 |
| Estación Los Tuxtlas | Veracruz | Golfo de México | 18.59 | −95.08 | 4 |
| Chichen-itza | Yucatán | Yucatán | 20.6 | −88.59 | 7 |
| Ticul-Muna | Yucatán | Yucatán | 20.45 | −89.63 | 14 |
| Ticum | Yucatán | Yucatán | 20.15 | −89.22 | 11 |
| Ayoquezco de Aldama | Oaxaca | Sierra Madre del Sur | 16.67 | −96.87 | 1 |
| San Juan Mazatlán | Oaxaca | Sierra Madre del Sur | 17.71 | −97.89 | 1 |
| San Miguel Cuevas | Oaxaca | Sierra Madre del Sur | 17.26 | −98.01 | 3 |
| San Miguel Piedras | Oaxaca | Sierra Madre del Sur | 17 | −97.23 | 2 |
| San Sebastian de las Grutas | Oaxaca | Sierra Madre del Sur | 16.62 | −96.95 | 7 |
| Tepelmeme, Villa de Morelos | Oaxaca | Sierra Madre del Sur | 18.12 | −97.36 | 1 |
| San José Miahuatlán | Puebla | Eje volcánico | 18.17 | −97.26 | 1 |
| Number of individuals | 243 |
Table A2.
Summary of the Mann–Whitney U hypothesis test for independent samples showing only the measurements where the null hypothesis is rejected.
Table A2.
Summary of the Mann–Whitney U hypothesis test for independent samples showing only the measurements where the null hypothesis is rejected.
| Measures | Null Hypothesis | Significance |
|---|---|---|
| 1 | The distribution of the dorsum width is the same among BIOGEO categories. | 0.030 |
| 3 | The distribution of the perpendicular height of the left clinoid process is the same among BIOGEO categories. | 0.010 |
| 4 | The distribution of the length of the right clinoid process from the center of width 1 is the same among BIOGEO categories. | 0.005 |
| 5 | The length distribution of the left clinoid process from the center of the width is the same among BIOGEO categories. | 0.005 |
| 7 | The distribution of the base of the left clinoid process is the same between BIOGEO categories. | 0.013 |
| 11 | The width 11 distribution of the right clinoid process is the same between BIOGEO categories. | 0.009 |
| 12 | The width 12 distribution of the left clinoid process is the same between BIOGEO categories. | 0.000 |
| 15 | The width 15 distribution of the left clinoid process is the same between BIOGEO categories. | 0.004 |
| 19 | The length 19 distribution of the right clinoid process from the base of the right clinoid process is the same between BIOGEO categories. | 0.020 |
| 20 | The length 20 distribution of the left clinoid process from the base of the left clinoid process is the same between BIOGEO categories. | 0.009 |
References
- Evin, A.; Baylac, M.; Ruedi, M.; Mucedda, M.; Pons, J.-M. Taxonomy, skull diversity and evolution in a species complex of Myotis Chiroptera:Vespertilionidae: A geometric morphometric appraisal. Biol. J. Linn. Soc. 2008, 95, 529–538. [Google Scholar] [CrossRef]
- Noftz, L.A.; Calede, J.J.M. Multivariate analyses of skull morphology inform the taxonomy and evolution of geomyoid rodents. Curr. Zool. 2023, 69, 456–474. [Google Scholar] [CrossRef] [PubMed]
- Lala, K. Understanding niche construction and phenotypic plasticity as causes of natural selection. Paleontology 2024, 67, 1–10. [Google Scholar] [CrossRef]
- Stanchack, K.E.; Arbour, J.H.; Santana, S.E. Anatomical diversification of a skeletal novelty in bat feet. Evolution 2019, 73, 1591–1603. [Google Scholar] [CrossRef] [PubMed]
- Infante Contreras, C. Fundamentos para la Evaluación del Crecimiento, Desarrollo y Función Craneofacial; Universidad Nacional de Colombia: Bogotá, Colombia, 2009; Available online: https://repositorio.unal.edu.co/bitstream/handle/unal/2386/9789584442864.08.pdf (accessed on 9 July 2023).
- Magat, S.G.; Sener, O. Morphometric analysis of the sella turcica in Turkish individuals with different dentofacial skeletal patterns. Folia Morphol. 2018, 77, 543–550. [Google Scholar] [CrossRef] [PubMed]
- Ramírez-Pulido, J.; González-Ruiz, N.; Gardner, A.L.; Arroyo-Cabrales, J. List of Recent Land Mammals of Mexico; Biodiversity Heritage Library: Washington, DC, USA, 2014; Volume 63, pp. 1–69. [Google Scholar]
- López-Wilchis, R.; Flores-Romero, M.; Guevara-Chumacero, L.M.; Serrato-Díaz, A.; Díaz-Larrea, J.; Salgado-Mejia, F.; Ibañez, C.; Salles, L.O.; Juste, J. Evolutionary scenarios associated with the Pteronotus parnellii cryptic species-complex (Chiroptera: Mormoopidae). Acta Chiropterologica 2016, 18, 91–116. [Google Scholar] [CrossRef]
- Pavan, A.C.; Marroig, G. Integrating multiple evidences in taxonomy: Species diversity and phylogeny of mustached bats (Mormoopidae: Pteronotus). J. Mol. Evol. 2016, 103, 184–198. [Google Scholar] [CrossRef] [PubMed]
- Pavan, A.C.; Marroig, G. Timing and patterns of diversification in the Neotropical bat genus Pteronotus (Mormoopidae). Mol. Phylogenetics Evol. 2017, 108, 61–69. [Google Scholar] [CrossRef] [PubMed]
- Jacobs, D.S.; Eick Geeta, N.; Corrie, M.S.; Matthee, C.A. Cryptic species in an insectivorous bat, Scotophilus dinganii. J. Mammal. 2006, 87, 161–170. [Google Scholar] [CrossRef]
- Santos, H.; Juste, J.; Ibáñez, C.; Palmeirim, J.M.; Godinho, R.; Amorim, F.; Alves, P.; Costa, H.; De Paz, O.; Pérez-Suarez, G.; et al. Influences of ecology and biogeography on shaping the distributions of cryptic species: Three bat tales in Iberia. Biol. J. Linn. Soc. 2014, 112, 150–162. [Google Scholar] [CrossRef]
- Filippi-Codaccioni, O.; Beugin, M.P.; de Vienne, D.M.; Portanier, E.; Fouchet, D.; Kaerle, C.; Muselet, L.; Queney, G.; Petit, E.J.; Regis, C.; et al. Coexistence of two sympatric cryptic bat species in French Guiana: Insights from genetic, acoustic and ecological data. BMC Evol. Biol. 2018, 18, 175. [Google Scholar] [CrossRef] [PubMed]
- International Committee on Veterinary Gross Anatomical Nomenclature. Nomina Anatomica Veterinaria, 6th ed.; Editorial Committee: Hanover, Germany; Ghent, Belgium; Columbia, MO, USA; Rio de Janeiro, Brazil, 2017; p. 12. [Google Scholar]
- Schneider, C.A.; Rasband, W.S.; Eliceiri, K.W. NIH Image to Image J: 25 years of image analysis. Nat. Methods 2012, 9, 671–675. [Google Scholar] [CrossRef] [PubMed]
- IBM Corp. IBM SPSS Statistics for Windows, Version 21.0; IBM Corp: Armonk, NY, USA, 2012. [Google Scholar]
- Velazco, P.M. Morphological Phylogeny of the Bat Genus Platyrrhinus Saussure, 1860 (Chiroptera: Phyllostomidae) with the Description of Four New Species. In FIELDIANA: Zoology, New Series; Field Museum of Natural History: Chicago, IL, USA, 2005; Volume 105, pp. 1–54. [Google Scholar]
- Simmons, N.B.; Conway, T.M. Phylogenetic relationships of mormoopid bats (Chiroptera: Mormoopidae) based on morphological data. Bull. Am. Mus. Nat. Hist. 2001, 258, 1–100. [Google Scholar] [CrossRef]
- Velayudhan, V.; Luttrull, M.D.; Naidich, T.P. Sella Turcica and Pituitary Gland. In Imaging of the Brain; Naidich, T.P., Castillo, M., Cha, S., Smirniotopoulos, J.G., Eds.; Elsevier: Philadelphia, PA, USA, 2013; pp. 272–293. [Google Scholar]
- Kumar, T.S.; Govindraju, P. Relationship between the morphological variation of sella turcica with age and gender: A digital radiographic study. J. Indian Acad. Oral Med. Radiol. 2017, 29, 164–169. [Google Scholar] [CrossRef]
- Nagaraj, T.; Shruthi, R.; James, L.; Keerthi, I.; Balraj, L.; Goswami, R.D. The size and morphology of sella turcica: A lateral cephalometric study. J. Med. Radiol. Pathol. Surg. 2015, 1, 3–7. [Google Scholar] [CrossRef]
- Davis, S.W.; Ellsworth, B.S.; Millan, M.I.P.; Gergics, P.; Schade, V.; Foyouzi, N.; Brinkmeier, M.L.; Mortensen, A.H.; Camper, S.A. Pituitary Gland Development and Disease: From Stem Cell to Hormone Production. Curr. Top. Dev. Biol. 2013, 106, 1–47. [Google Scholar] [PubMed]
- Berger, P.E.; Harwood-Nash, D.C.; Fitz, C.R. The Dorsum Sellae in Infancy and Childhood. Pediat. Radiol. 1976, 4, 214–220. [Google Scholar] [CrossRef] [PubMed]
Disclaimer/Publisher’s Note: The statements, opinions and data contained in all publications are solely those of the individual author(s) and contributor(s) and not of MDPI and/or the editor(s). MDPI and/or the editor(s) disclaim responsibility for any injury to people or property resulting from any ideas, methods, instructions or products referred to in the content. |
© 2025 by the authors. Licensee MDPI, Basel, Switzerland. This article is an open access article distributed under the terms and conditions of the Creative Commons Attribution (CC BY) license (https://creativecommons.org/licenses/by/4.0/).