Educational Apps and Dog Behavioural Problem Prevention: Associations Between the Zigzag Dog-Training App and Behavioural Problems
Simple Summary
Abstract
1. Introduction
2. Materials and Methods
2.1. Ethics
2.2. Design
2.3. Data Collection
2.4. Data Preparation
2.5. Statistical Analysis
3. Results
3.1. Demographic Information
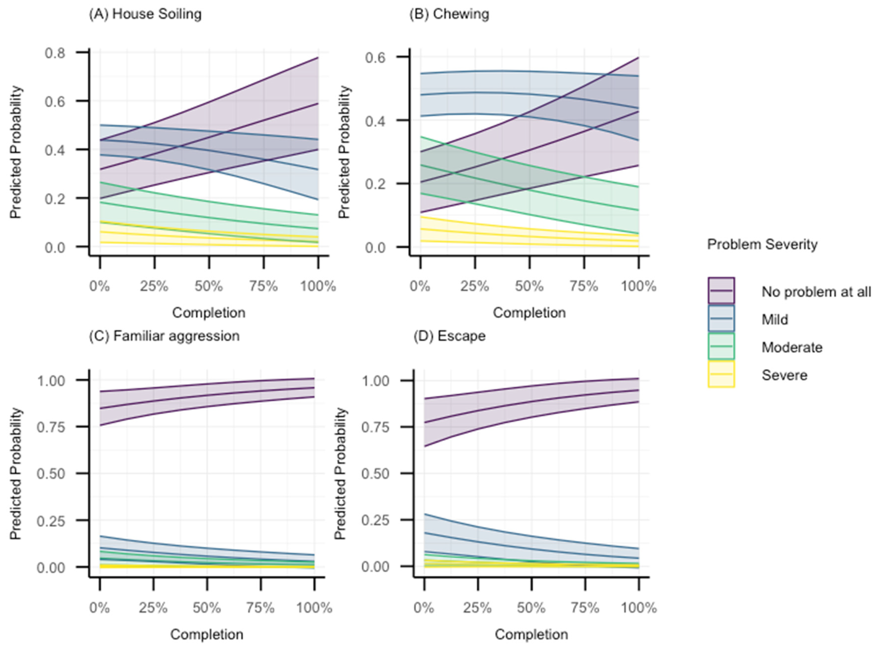
3.2. Behavioural Problems
4. Discussion
5. Conclusions
Supplementary Materials
Author Contributions
Funding
Institutional Review Board Statement
Informed Consent Statement
Data Availability Statement
Conflicts of Interest
References
- Sheppard, G.; Mills, D. Construct Models in Veterinary Behavioural Medicine: Lessons from the Human Experience. Vet. Res. Commun. 2003, 27, 175–191. [Google Scholar] [CrossRef]
- Mills, D.S. Perspectives on assessing the emotional behavior of animals with behavior problems. Curr. Opin. Behav. Sci. 2017, 16, 66–72. [Google Scholar] [CrossRef]
- Mendl, M.; Brooks, J.; Basse, C.; Burman, O.; Paul, E.; Blackwell, E.; Casey, R. Dogs showing separation-related behaviour exhibit a ‘pessimistic’ cognitive bias. Curr. Biol. 2010, 20, R839–R840. [Google Scholar] [CrossRef] [PubMed]
- Diesel, G.; Pfeiffer, D.U.; Brodbelt, D. Factors affecting the success of rehoming dogs in the UK during 2005. Prev. Vet. Med. 2008, 84, 228–241. [Google Scholar] [CrossRef]
- Patronek, G.J.; Glickman, L.T.; Beck, A.M.; McCabe, G.P.; Ecker, C. Risk factors for relinquishment of dogs to an animal shelter. J. Am. Vet. Med. Assoc. 1996, 209, 572–581. [Google Scholar] [CrossRef]
- Kwan, J.Y.; Bain, M.J. Owner Attachment and Problem Behaviors Related to Relinquishment and Training Techniques of Dogs. J. Appl. Anim. Welf. Sci. 2013, 16, 168–183. [Google Scholar] [CrossRef]
- Jensen, J.B.H.; Sandøe, P.; Nielsen, S. Owner-Related Reasons Matter more than Behavioural Problems-A Study of Why Owners Relinquished Dogs and Cats to a Danish Animal Shelter from 1996 to 2017. Animals 2020, 10, 1064. [Google Scholar] [CrossRef]
- Eagan, B.H.; Gordon, E.; Protopopova, A. Reasons for Guardian-Relinquishment of Dogs to Shelters: Animal and Regional Predictors in British Columbia, Canada. Front. Vet. Sci. 2022, 9, 857634. [Google Scholar] [CrossRef]
- Kisley, M.A.; Chung, E.J.; Levitt, H. Investigating the Reasons behind Companion Animal Relinquishment: A Systematic Content Analysis of Shelter Records for Cats and Dogs, 2018–2023. Animals 2024, 14, 2606. [Google Scholar] [CrossRef]
- Lambert, K.; Coe, J.; Niel, L.; Dewey, C.; Sargeant, J.M. A systematic review and meta-analysis of the proportion of dogs surrendered for dog-related and owner-related reasons. Prev. Vet. Med. 2015, 118, 148–160. [Google Scholar] [CrossRef]
- Pegram, C.; Gray, C.; Packer, R.M.A.; Richards, Y.; Church, D.B.; Brodbelt, D.C.; O’Neill, D.G. Proportion and risk factors for death by euthanasia in dogs in the UK. Sci. Rep. 2021, 11, 9145. [Google Scholar] [CrossRef] [PubMed]
- Hitchcock, M.; Workman, M.K.; Guthrie, A.P.; Ruple, A.; Feuerbacher, E.N. Factors associated with behavioral euthanasia in pet dogs. Front. Vet. Sci. 2024, 11, 1387076. [Google Scholar] [CrossRef] [PubMed]
- Crosby, J. Anatomy of Dog Bite Injuries. In Dog Bites: A Multidisplinary Perspective; Mills, D., Westgarth, C., Eds.; 5m Publishing: Sheffield, UK, 2017; pp. 229–239. [Google Scholar]
- Polo, G.; Calderón, N.; Clothier, S.; Garcia, R. Understanding dog aggression: Epidemiologic aspects: In memoriam, Rudy de Meester (1953–2012). J. Vet. Behav. 2015, 10, 525–534. [Google Scholar] [CrossRef]
- Watkins, F.; Westgarth, C. Dog Bites from a Public Health Perspective. In Dog Bites: A Multidisciplinary Perspective; Mills, D., Westgarth, C., Eds.; 5m Publishing: Sheffield, UK, 2017. [Google Scholar]
- Barcelos, A.M.; Kargas, N.; Assheton, P.; Maltby, J.; Hall, S.; Mills, D.S. Dog owner mental health is associated with dog behavioural problems, dog care and dog-facilitated social interaction: A prospective cohort study. Sci. Rep. 2023, 13, 21734. [Google Scholar] [CrossRef] [PubMed]
- Buller, K.; Ballantyne, K.C. Living with and loving a pet with behavioral problems: Pet owners’ experiences. J. Vet. Behav. 2020, 37, 41–47. [Google Scholar] [CrossRef]
- Cuijpers, P.; Beekman, A.T.F.; Reynolds, C.F. Preventing Depression: A Global Priority. JAMA 2012, 307, 1033–1034. [Google Scholar] [CrossRef]
- Brand, C.L.; O’Neill, D.G.; Belshaw, Z.; Dale, F.C.; Merritt, B.L.; Clover, K.N.; Tay, M.-X.M.; Pegram, C.L.; Packer, R.M.A. Impacts of Puppy Early Life Experiences, Puppy-Purchasing Practices, and Owner Characteristics on Owner-Reported Problem Behaviours in a UK Pandemic Puppies Cohort at 21 Months of Age. Animals 2024, 14, 336. [Google Scholar] [CrossRef]
- Casey, R.A.; Loftus, B.; Bolster, C.; Richards, G.J.; Blackwell, E.J. Human directed aggression in domestic dogs (Canis familiaris): Occurrence in different contexts and risk factors. Appl. Anim. Behav. Sci. 2014, 152, 52–63. [Google Scholar] [CrossRef]
- Casey, R.A.; Naj-Oleari, M.; Campbell, S.; Mendl, M.; Blackwell, E.J. Dogs are more pessimistic if their owners use two or more aversive training methods. Sci. Rep. 2021, 11, 19023. [Google Scholar] [CrossRef]
- Ziv, G. The effects of using aversive training methods in dogs—A review. J. Vet. Behav. 2017, 19, 50–60. [Google Scholar] [CrossRef]
- Cooper, J.J.; Cracknell, N.; Hardiman, J.; Wright, H.; Mills, D. The Welfare Consequences and Efficacy of Training Pet Dogs with Remote Electronic Training Collars in Comparison to Reward Based Training. PLoS ONE 2014, 9, e102722. [Google Scholar] [CrossRef]
- AVSAB. Position Statement on Humane Dog Training. Available online: https://avsab.org/wp-content/uploads/2021/08/AVSAB-Humane-Dog-Training-Position-Statement-2021.pdf (accessed on 14 November 2024).
- Mendl, M.; Paul, E. Animal affect and decision-making. Neurosci. Biobehav. Rev. 2020, 112, 144–163. [Google Scholar] [CrossRef] [PubMed]
- Mendl, M.; Burman, O.H.P.; Paul, E.S. An integrative and functional framework for the study of animal emotion and mood. Proc. R. Soc. B Biol. Sci. 2010, 277, 2895–2904. [Google Scholar] [CrossRef] [PubMed]
- Paul, E.S.; Sher, S.; Tamietto, M.; Winkielman, P.; Mendl, M.T. Towards a comparative science of emotion: Affect and consciousness in humans and animals. Neurosci. Biobehav. Rev. 2020, 108, 749–770. [Google Scholar] [CrossRef] [PubMed]
- de Castro, A.; Fuchs, D.; Morello, G.; Pastur, S.; de Sousa, L.; Olsson, I. Does training method matter? Evidence for the negative impact of aversive-based methods on companion dog welfare. PLoS ONE 2020, 15, e0225023. [Google Scholar] [CrossRef]
- Zulch, H. Raising Mentally and Emotionally Healthy Pets. In Small Animal Veterinary Psychiatry; Denenberg, S., Ed.; CABI: Wallingford, UK, 2021; pp. 91–105. [Google Scholar]
- Jokinen, O.; Appleby, D.; Sandbacka-Saxén, S.; Appleby, T.; Valros, A. Homing age influences the prevalence of aggressive and avoidance-related behaviour in adult dogs. Appl. Anim. Behav. Sci. 2017, 195, 87–92. [Google Scholar] [CrossRef]
- Puurunen, J.; Hakanen, E.; Salonen, M.K.; Mikkola, S.; Sulkama, S.; Araujo, C.; Lohi, H. Inadequate socialisation, inactivity, and urban living environment are associated with social fearfulness in pet dogs. Sci. Rep. 2020, 10, 3527. [Google Scholar] [CrossRef]
- Hakanen, E.; Mikkola, S.; Salonen, M.; Puurunen, J.; Sulkama, S.; Araujo, C.; Lohi, H. Active and social life is associated with lower non-social fearfulness in pet dogs. Sci. Rep. 2020, 10, 13774. [Google Scholar] [CrossRef]
- González-Martínez, Á.; Martínez, M.F.; Rosado, B.; Luño, I.; Santamarina, G.; Suárez, M.L.; Camino, F.; de la Cruz, L.F.; Diéguez, F.J. Association between puppy classes and adulthood behavior of the dog. J. Vet. Behav. 2019, 32, 36–41. [Google Scholar] [CrossRef]
- Blackwell, E.J.; Twells, C.; Seawright, A.; Casey, R.A. The relationship between training methods and the occurrence of behavior problems, as reported by owners, in a population of domestic dogs. J. Vet. Behav. 2008, 3, 207–217. [Google Scholar] [CrossRef]
- Kutsumi, A.; Nagasawa, M.; Ohta, M.; Ohtani, N. Importance of Puppy Training for Future Behavior of the Dog. J. Vet. Med. Sci. 2013, 75, 141–149. [Google Scholar] [CrossRef]
- Seksel, K.; Mazurski, E.J.; Taylor, A. Puppy socialisation programs: Short and long term behavioural effects. Appl. Anim. Behav. Sci. 1999, 62, 335–349. [Google Scholar] [CrossRef]
- Duxbury, M.; Jackson, J.; Line, S.; Anderson, R. Evaluation of association between retention in the home and attendance at puppy socialization classes. J. Am. Vet. Med. Assoc. 2003, 223, 61–66. [Google Scholar] [CrossRef] [PubMed]
- Griffith, S.F.; Hagan, M.B.; Heymann, P.; Heflin, B.H.; Bagner, D.M. Apps As Learning Tools: A Systematic Review. Pediatrics 2020, 145, e20191579. [Google Scholar] [CrossRef]
- Linardon, J.; Cuijpers, P.; Carlbring, P.; Messer, M.; Fuller-Tyszkiewicz, M. The efficacy of app-supported smartphone interventions for mental health problems: A meta-analysis of randomized controlled trials. World Psychiatry 2019, 18, 325–336. [Google Scholar] [CrossRef]
- Yu, R.; Choi, Y. OkeyDoggy3D: A Mobile Application for Recognizing Stress-Related Behaviours in Companion Dogs Based on Three-Dimensional Pose Estimation Through Deep Learning. Appl. Sci. 2022, 12, 8057. [Google Scholar] [CrossRef]
- Johnson, D.; Chander, M. Demographic and perception studies of a mobile application among dog breeders and owners. J. Ext. Educ. 2021, 33, 6653–6661. [Google Scholar] [CrossRef]
- Choi, C.; Park, S.; Jung, S.; Sim, C. Implementation of a Mobile App for Companion Dog Training using AR and Hand Tracking. J. Korea Inst. Electron. Commun. Sci. 2023, 18, 927–9234. [Google Scholar] [CrossRef]
- RCoreTeam. R: A Language and Environment for Statistical Computing, version 4.1.0; R Foundation for Statistical Computing: Vienna, Austria, 2021.
- Christensen, R. Ordinal: Regression Models for Ordinal Data, 2023.12-4.1; CRAN: 2023. Available online: https://cran.r-project.org/web/packages/ordinal/ (accessed on 1 December 2024).
- Liu, D.; Zhang, H. Residuals and Diagnostics for Ordinal Regression Models: A Surrogate Approach. J. Am. Stat. Assoc. 2018, 113, 845–854. [Google Scholar] [CrossRef]
- Greenwell B, M.A.; Boehmke, B. Sure: Surrogate Residuals for Ordinal General Regression Models, R package version 0.2.0; CRAN: 2017. Available online: https://cran.r-project.org/web/packages/sure/index.html (accessed on 1 December 2024).
- Perneger, T.V. What’s wrong with Bonferroni adjustments. BMJ 1998, 316, 1236–1238. [Google Scholar] [CrossRef]
- Rafi, Z.; Greenland, S. Semantic and cognitive tools to aid statistical science: Replace confidence and significance by compatibility and surprise. BMC Med. Res. Methodol. 2020, 20, 244. [Google Scholar] [CrossRef]
- Lüdecke, D. ggeffects: Tidy Data Frames of Marginal Effects from Regression Models. J. Open Source Softw. 2018, 3, 772. [Google Scholar] [CrossRef]
- Lüdecke, D. ggeffects: Marginal Means And Adjusted Predictions of Regression Models. Available online: https://strengejacke.github.io/ggeffects/articles/ggeffects.html (accessed on 16 November 2024).
- Arhant, C.; Winkelmann, R.; Troxler, J. Chewing behaviour in dogs—A survey-based exploratory study. Appl. Anim. Behav. Sci. 2021, 241, 105372. [Google Scholar] [CrossRef]
- Uccheddu, S.; Acquesta, S.; Furlanello, T. Do you need to chew? A case report on dogs’ behavioural needs. Vet. Rec. Case Rep. 2024, 12, e822. [Google Scholar] [CrossRef]
- Flint, H.E.; Atkinson, M.; Lush, J.; Hunt, A.B.G.; King, T. Long-Lasting Chews Elicit Positive Emotional States in Dogs during Short Periods of Social Isolation. Animals 2023, 13, 552. [Google Scholar] [CrossRef]
- Adams, G.; Clark, W. The Prevalence of Behavioral Problems in Domestic Dogs—A Survey of 105 Dog Owners. Aust. Vet. Pract. 1989, 19, 135–137. [Google Scholar]
- Costa, A.G.; Nielsen, T.; Christley, R.; Hazel, S. The Good, the Bad, the Helpful: Qualitative Exploration of the Australian Puppy-Raising Experience Through Longitudinal Surveys. Anthrozoös 2023, 36, 869–890. [Google Scholar] [CrossRef]
- Wells, D.L.; Hepper, P.G. Prevalence of behaviour problems reported by owners of dogs purchased from an animal rescue shelter. Appl. Anim. Behav. Sci. 2000, 69, 55–65. [Google Scholar] [CrossRef]
- Dangerous Dogs Act 1991. Available online: http://legislation.gov.uk/ukpga/1991/65/data.pdf (accessed on 1 December 2024).
- Blackwell, E.J.; Bradshaw, J.W.S.; Casey, R.A. Fear responses to noises in domestic dogs: Prevalence, risk factors and co-occurrence with other fear related behaviour. Appl. Anim. Behav. Sci. 2013, 145, 15–25. [Google Scholar] [CrossRef]
- Fagundes, A.; Hewison, L.; McPeake, K.; Zulch, H.; Mills, D. Noise Sensitivities in Dogs: An Exploration of Signs in Dogs with and without Musculoskeletal Pain Using Qualitative Content Analysis. Front. Vet. Sci. 2018, 5, 324253. [Google Scholar] [CrossRef]
- Pongrácz, P.; Molnár, C.; Miklósi, Á. Barking in family dogs: An ethological approach. Vet. J. 2010, 183, 141–147. [Google Scholar] [CrossRef]
- Cross, N.J.; Rosenthal, K.; Phillips, C.J.C. Risk factors for nuisance barking in dogs. Aust. Vet. J. 2009, 87, 402–408. [Google Scholar] [CrossRef] [PubMed]
- Meints, K. Children and Dogs—Risks and Effective Dog Bite Prevention. In Dog Bites: A Multidisplinary Perspective; Mills, D., Westgarth, C., Eds.; 5m Publishing: Sheffield, UK, 2017; pp. 390–403. [Google Scholar]
- Starling, M.; Mcgreevy, P. Prevention of Dog Bites—Resources and their Value. In Dog Bites: A Multidiscplinary Perspective; Mills, D., Westgarth, C., Eds.; 5m Publishing: Sheffield, UK, 2017; pp. 381–389. [Google Scholar]
- Mead, R.; Holland, K.E.; Casey, R.A.; Upjohn, M.M.; Christley, R.M. “Do Your Homework as Your Heart Takes over When You Go Looking”: Factors Associated with Pre-Acquisition Information-Seeking among Prospective UK Dog Owners. Animals 2023, 13, 1015. [Google Scholar] [CrossRef] [PubMed]
- Hiby, E.F.; Rooney, N.J.; Bradshaw, J.W.S. Dog training methods: Their use, effectiveness and interaction with behaviour and welfare. Anim. Welf. 2004, 13, 63–69. [Google Scholar] [CrossRef]
- Dablander, F. An Introduction to Causal Inference. PsyArXiv 2020. [Google Scholar] [CrossRef]




| Variable | N (%) | |
|---|---|---|
| Owner’s gender | Female | 321 (87.5) |
| Male | 42 (11.4) | |
| Non-binary/third gender | 3 (0.8) | |
| Prefer not to say | 1 (0.3) | |
| Owner’s age | 18–25 | 41 (11.2) |
| Owner’s age | 26–35 | 91 (24.8) |
| 36–45 | 62 (16.9) | |
| 46–55 | 61 (16.6) | |
| 56–65 | 70 (19.1) | |
| 66+ | 42 (11.4) | |
| Country | United Kingdom | 230 (62.7) |
| Country | Australia | 7 (1.9) |
| New Zealand | 2 (0.5) | |
| South Africa | 4 (1.1) | |
| United States | 92 (25.1) | |
| Other | 31 (8.4) | |
| Missing | 1 (0.3) | |
| Owners that have had dogs before | Yes | 260 (70.8) |
| Owners that have had dogs before | No | 82 (22.3) |
| Missing | 25 (6.8) |
| Variables | N (%) | |
|---|---|---|
| Where puppy was from | Bred myself | 9 (2.5) |
| Family/friend | 48 (13.1) | |
| Found abandoned | 6 (1.6) | |
| Private breeder | 240 (65.4) | |
| Shelter/rescue centre | 23 (6.3) | |
| Other | 16 (4.4) | |
| Missing | 25 (6.8) | |
| Puppy’s sex and neuter status | Male entire | 180 (49) |
| Female entire | 127 (34.6) | |
| Male neutered | 21 (5.7) | |
| Female neutered | 19 (5.2) | |
| Missing | 20 (5.4) | |
| Puppies with ongoing health issues | Yes | 20 (5.4) |
| No | 322 (87.7) | |
| Missing | 25 (6.8) | |
| Period puppies are left alone on an average day | Never | 103 (28.1) |
| 1–2 h | 134 (36.5) | |
| 2–4 h | 68 (18.5) | |
| 4–6 h | 32 (8.7) | |
| 6–8 h | 3 (0.8) | |
| 8–10 h | 2 (0.5) | |
| 10–12 h | 0 (0) | |
| More than 12 h | 0 (0) | |
| Missing | 25 (6.8) |
| Behaviour Problem Question | Short Term | “No Problem at All” | “Mild” | “Moderate” | “Severe” | Missing |
|---|---|---|---|---|---|---|
| Does your puppy have an issue with chewing? | Chewing | 77 (21.0) | 154 (42.0) | 70 (19.1) | 14 (3.8) | 52 (14.2) |
| Does your puppy have an issue with play biting? | Play.biting | 77 (21.0) | 129 (35.2) | 85 (23.2) | 24 (6.5) | 52 (14.2) |
| Does your puppy have an issue with house soiling? | House.soiling | 137 (37.3) | 118 (32.2) | 45 (12.3) | 15 (4.1) | 52 (14.2) |
| Does your puppy have an issue with aggression (growling, snarling, snapping, or biting outside of play) towards human family members or close friends? | Familiar.agg | 268 (73.0) | 32 (8.7) | 14 (3.8) | 1 (0.3) | 52 (14.2) |
| Does your puppy have an issue with aggression (growling, snarling, snapping, or biting outside of play)towards strangers? | Unfamiliar.agg | 278 (75.8) | 31 (8.5) | 4 (1.1) | 1 (0.3) | 53 (14.4) |
| Does your puppy have an issue with aggression (growling, snarling, snapping, or biting outside of play) to other dogs? | Conspecific.agg | 269 (73.3) | 35 (9.5) | 7 (1.9) | 2 (0.5) | 54 (14.7) |
| Does your puppy have an issue with jumping up? | Jumping | 65 (17.7) | 149 (40.6) | 79 (21.5) | 20 (5.5) | 54 (14.7) |
| Does your puppy have an issue with car travel? | Car.travel | 210 (57.2) | 80 (21.8) | 15 (4.1) | 8 (2.2) | 54 (14.7) |
| Does your puppy have an issue with chasing others or moving objects? | Chasing | 177 (48.2) | 99 (27.0) | 31 (8.5) | 6 (1.6) | 54 (14.7) |
| Does your puppy have an issue with digging? | Digging | 171 (46.5) | 101 (27.5) | 32 (8.7) | 7 (1.9) | 56 (15.3) |
| Does your puppy have an issue with being alone? | Being.alone | 129 (35.2) | 102 (27.8) | 57 (15.5) | 23 (6.3) | 56 (15.3) |
| Does your puppy have an issue with noise fear? | Noise.fear | 194 (52.9) | 96 (26.2) | 17 (4.6) | 4 (1.1) | 56 (15.3) |
| Does your puppy have an issue with barking? | Barking | 148 (40.3) | 118 (32.2) | 37 (10.1) | 8 (2.2) | 56 (15.3) |
| Does your puppy have an issue with food stealing? | Food.stealing | 196 (53.4) | 75 (20.4) | 30 (8.2) | 10 (2.7) | 56 (15.3) |
| Does your puppy have an issue with escaping? | Escaping | 258 (70.3) | 43 (11.7) | 7 (1.9) | 3 (0.8) | 56 (15.3) |
| Do you have an issue with your puppy being overactive? | Overactive | 141 (38.4) | 128 (34.9) | 35 (9.5) | 7 (1.9) | 56 (15.3) |
| Does your puppy have an issue with growling, snapping, or biting to protect something (like food, toys, bed, etc.) | Resource.agg | 266 (72.5) | 34 (9.3) | 8 (2.2) | 3 (0.8) | 56 (15.3) |
| Does your puppy have an issue with separation-related problems during the day? | Separation.during.day | 155 (42.2) | 104 (28.3) | 33 (9.0) | 19 (5.2) | 56 (15.3) |
| Does your puppy appear to freeze up in fear or avoid specific things while outside? | Fear.outside | 224 (61.0) | 63 (17.2) | 15 (4.1) | 5 (1.4) | 60 (16.4) |
| Does your puppy have an issue with disturbing you while you sleep at night? | Sleep.disturbance | 228 (62.1) | 69 (18.8) | 7 (1.9) | 3 (0.8) | 60 (16.4) |
| Does your puppy appear to have an issue with frustration, i.e., resisting being restrained or struggling to cope when they cannot access something that they want? | Frustration | 175 (47.7) | 95 (25.9) | 30 (8.2) | 7 (1.9) | 60 (16.4) |
| Breed | No Training | Zigzag | Breed | No Training | Zigzag |
|---|---|---|---|---|---|
| Labrador Retriever | 16 | 20 | Staffordshire Bull Terrier | 5 | 2 |
| Cocker Spaniel | 17 | 12 | Crossbreed | 2 | 4 |
| Cockapoo | 15 | 10 | Whippet | 2 | 4 |
| Missing Breed Data | 5 | 17 | Goldendoodle | 3 | 2 |
| Mixed Breed | 10 | 5 | Minature Schnauzer | 2 | 3 |
| Border Collie | 7 | 6 | West Highland White Terrier | 3 | 2 |
| Cavapoo | 6 | 3 | Beagle | 3 | 1 |
| German Shepherd Dog | 2 | 7 | Chihuahua | 2 | 2 |
| Golden Retriever | 4 | 5 | Yorkshire Terrier | 4 | 0 |
| Siberian Husky | 5 | 4 | Fox Terrier Wire | 0 | 4 |
| Dachshund Minature Smooth Haired | 4 | 4 | American Pitbull Terrier | 3 | 0 |
| English Springer Spaniel | 3 | 5 | Cavapoochon | 1 | 2 |
| Other | 4 | 4 | Chow Chow | 2 | 1 |
| French Bulldog | 6 | 1 | Maltipoo | 3 | 0 |
| Labradoodle | 3 | 4 | Rottweiler | 3 | 0 |
| Shih Tzu | 4 | 3 |
Disclaimer/Publisher’s Note: The statements, opinions and data contained in all publications are solely those of the individual author(s) and contributor(s) and not of MDPI and/or the editor(s). MDPI and/or the editor(s) disclaim responsibility for any injury to people or property resulting from any ideas, methods, instructions or products referred to in the content. |
© 2025 by the authors. Licensee MDPI, Basel, Switzerland. This article is an open access article distributed under the terms and conditions of the Creative Commons Attribution (CC BY) license (https://creativecommons.org/licenses/by/4.0/).
Share and Cite
Rowland, T.; de Assis, L.; Menteith, C.; Winter, L.; Zulch, H.; Mills, D.S. Educational Apps and Dog Behavioural Problem Prevention: Associations Between the Zigzag Dog-Training App and Behavioural Problems. Animals 2025, 15, 520. https://doi.org/10.3390/ani15040520
Rowland T, de Assis L, Menteith C, Winter L, Zulch H, Mills DS. Educational Apps and Dog Behavioural Problem Prevention: Associations Between the Zigzag Dog-Training App and Behavioural Problems. Animals. 2025; 15(4):520. https://doi.org/10.3390/ani15040520
Chicago/Turabian StyleRowland, Tom, Luciana de Assis, Carolyn Menteith, Lorna Winter, Helen Zulch, and Daniel S. Mills. 2025. "Educational Apps and Dog Behavioural Problem Prevention: Associations Between the Zigzag Dog-Training App and Behavioural Problems" Animals 15, no. 4: 520. https://doi.org/10.3390/ani15040520
APA StyleRowland, T., de Assis, L., Menteith, C., Winter, L., Zulch, H., & Mills, D. S. (2025). Educational Apps and Dog Behavioural Problem Prevention: Associations Between the Zigzag Dog-Training App and Behavioural Problems. Animals, 15(4), 520. https://doi.org/10.3390/ani15040520

