The Influence of Recombinant Bovine Somatotropin (rbST) on the Metabolic Profile and Milk Composition of Lactating Murrah Buffalo
Abstract
Simple Summary
Abstract
1. Introduction
2. Materials and Methods
2.1. Ethical Statement
2.2. Animals
2.3. Sampling
2.4. Statistical Methods
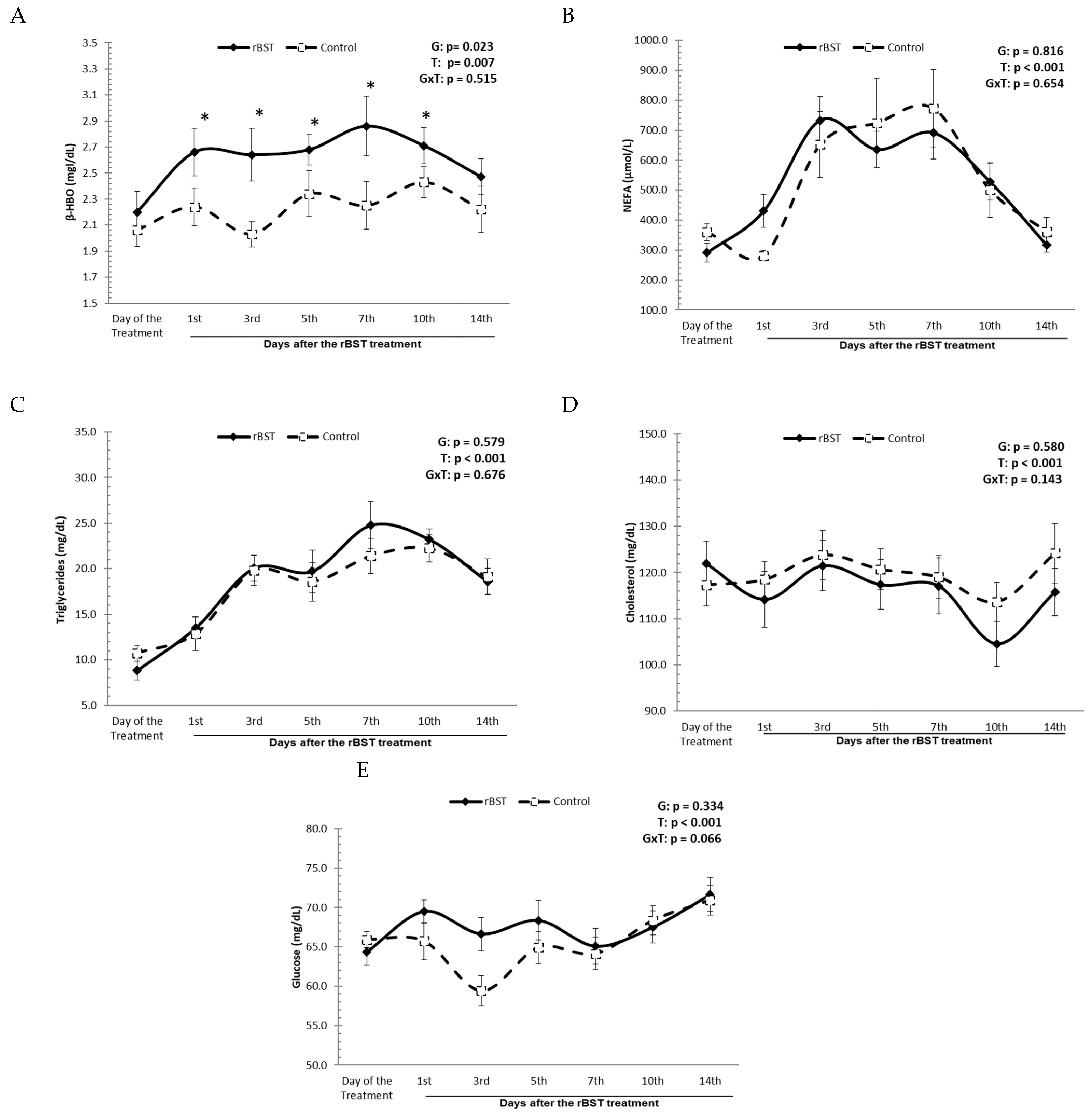
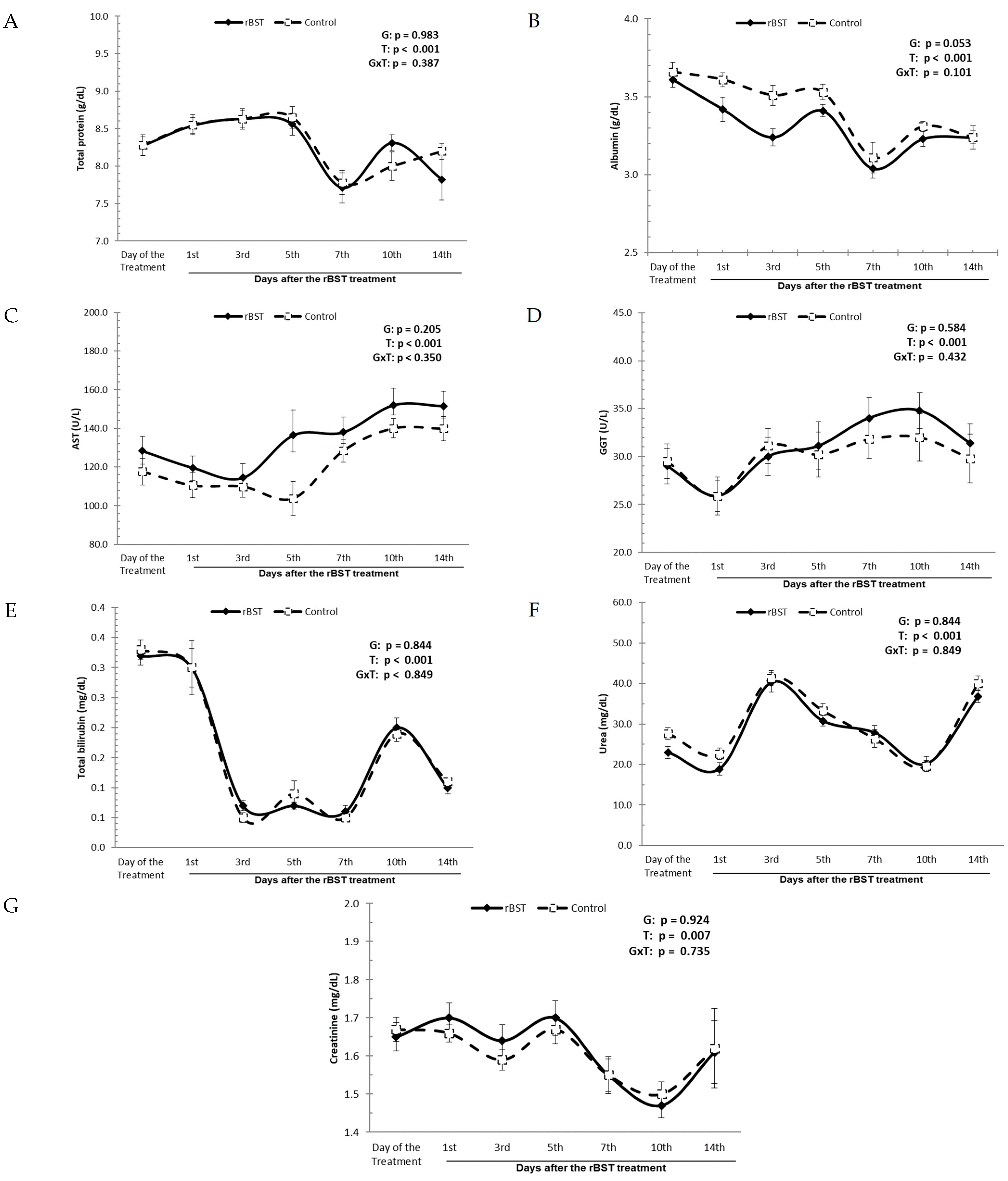
3. Results
4. Discussion
5. Conclusions
Author Contributions
Funding
Institutional Review Board Statement
Informed Consent Statement
Data Availability Statement
Acknowledgments
Conflicts of Interest
References
- Seno, L.O.; Cardoso, V.L.; Tonhati, H. Valores econômicos para as características de leite de búfalas no estado de São Paulo. Rev. Bras. Zootec. 2017, 36, 2016–2022. [Google Scholar] [CrossRef]
- Patiño, E.M. Leite de búfalas. In Produção de Búfalas de Leite; Jorge, A.M., Couto, A.G., Crudeli, G.A., Patiño, E.M., Eds.; FEPAF: Botucatu, Brazil, 2011; pp. 79–108. [Google Scholar]
- Gonsalves Neto, J.; Fernandes, S.A.A.; Silva, F.F.; Pedreira, M.S. Uso de somatotropina bovina em búfalas: Efeitos sobre a produção e composição do leite. Rev. Eletrônica Nutr. 2009, 6, 1056–1071. [Google Scholar]
- Morais, J.P.G.; Cruz, A.P.S.; Minami, N.S.; Veronese, L.P.; Del Valle, T.A.; Aramini, J. Lactation performance of Holstein cows treated with 2 formulations of recombinant bovine somatotropin in a large commercial dairy herd in Brazil. J. Dairy Sci. 2017, 100, 5945–5956. [Google Scholar] [CrossRef]
- Rennó, F.P.; Lucci, C.S.; Silva, A.G.; Rennó, F.P.; Rennó, L.N.; Rennó Neto, B.P.; Cecon, P.R.; Barbosa, P.F. Efeito da somatotropina bovina recombinante (Rbst) sobre o desempenho produtivo e reprodutivo de vacas da raça Holandesa. Arq. Bras. Med. Veterinária Zootec. 2006, 58, 158–166. [Google Scholar] [CrossRef][Green Version]
- Chalupa, W.; Galligan, D.T. Nutricional implications of somatotropin for lactating cows. J. Dairy Sci. 1989, 72, 2510–2524. [Google Scholar] [CrossRef]
- Bauman, D.E. Bovine somatotropin: Review of an emerging animal technology. J. Dairy Sci. 1992, 75, 3432–3451. [Google Scholar] [CrossRef]
- Disenhaus, C.; Jammes, H.; Ternois, F.; Sauvant, D. Effects of recombinant bovine somatotropin on goat milk yield, composition and plasma metabolites. Small Rumin. Res. 1995, 15, 39–148. [Google Scholar] [CrossRef]
- Ludri, R.S.; Upadahyay, R.C.; Singh, M.; Guneratne, J.R.; Basson, R.P. Milk production in lactating buffalo receiving recombinantly produced bovine somatotropin. J. Dairy Sci. 1989, 72, 2283–2287. [Google Scholar] [CrossRef]
- Polidori, F.; Sgoifo Rossi, C.A.; Senatore, E.M.; Savoini, G.; Dell’Orto, V. Effect of recombinant bovine somatotropina and calcium salts of long-chain fatty acids on milk from Italian buffalo. J. Dairy Sci. 1997, 80, 2137–2142. [Google Scholar] [CrossRef]
- Jorge, A.M.; Gomes, M.I.F.V.; Halt, R.C. Efeito da somatotropina bovina recombinante (bST) sobre a produção de leite em búfalas. Rev. Bras. Zootec. 2002, 31, 1230–1234. [Google Scholar] [CrossRef]
- Abo El-Nor, S.A.H.; Abd El-Gawad, M.A.M.; Abd El-Salam, M.H. Effect of Somatotropin and Monensin on the Yield and Quality of Milk and Tallaga Cheese from Egyptian Buffaloes. Int. J. Dairy Sci. 2007, 2, 58–65. [Google Scholar] [CrossRef]
- Sarwar, M.; Shahzad, M.A.; Sufyan, A. Influence of bovine somatotropin and replacement of corn dextrose with concentrate on the performance of mid-lactating buffaloes fed urea-treated wheat straw. Turk. J. Vet. Anim. Sci. 2007, 31, 259–265. [Google Scholar]
- Khattab, H.M.M.; El-Sayed, H.M.; Abo El-Nor, S.A.H.; El-Alamy, H.A.; Abd El-Gawad, R.M.A. Impact of bovine Somatotropin and monensin on the productive performance of Egyptian dairy buffaloes. Int. J. Dairy Sci. 2008, 3, 11–19. [Google Scholar] [CrossRef][Green Version]
- Mishra, A.; Shukla, D.C. Effect of recombinant bovine somatotropin (Boostin-250) on blood metabolites and milk yield of lactating buffaloes. Asian-Australas. J. Anim. Sci. 2004, 17, 1232–1235. [Google Scholar] [CrossRef]
- Jabbar, M.A.; Ahmad, I.; Javid, S.; Chaudhry, M.A.; Usmani, R.H. Effect of bovine somatotropic hormone on the productive performance of Nili-Ravi buffaloes. Ital. J. Anim. Sci. 2007, 6, 1039–1042. [Google Scholar] [CrossRef]
- Melo, W.O.; Monteiro, B.M.; Chaves, L.C.S.; Santos, E.R.D.; Leão, A.P.; Bragança, G.M.; Faturi, C.; Ribeiro Filho, J.D.; Faria Junior, S.P.; Viana, R.B. Uso da somatotropina recombinante bovina em búfalas leiteiras I: Produção e composição físico-química do leite. Arq. Bras. Med. Vet. Zootec. 2018, 70, 957–964. [Google Scholar] [CrossRef]
- Bauman, D.E.; Eppard, P.J.; De Geeter, M.J.; Lanza, G.M. Responses of high-producing dairy cows to long-term treatment with pituitary somatotropin and recombinant somatotropin. J. Dairy Sci. 1985, 68, 1352–1362. [Google Scholar] [CrossRef] [PubMed]
- Santos, R.A.; Teixeira, J.C.; Abreu, L.R.; Muniz, J.A.; Deresz, F. Efeito de diferentes doses de somatotropina bovina (rbST) na produção e composição do leite. Ciênc. Agrotec. 2001, 25, 1435–1445. [Google Scholar]
- Helal, F.I.S.; Lasheen, M.A. The productive perforance of egyptian dairy buffaloes receiving biosynthetic bovine somatotropin (rbST) with or without monensin. Am. Eurasian J. Agric. Environ. Sci. 2008, 3, 771–777. [Google Scholar]
- Bauman, D.E. Bovine somatotropin and lactation: From basic science to commercial application. Domest. Anim. Endocrinol. 1999, 17, 101–116. [Google Scholar] [CrossRef]
- Chilliard, Y. Long-term effects of recombinant bovine somatotropin (rbST) on dairy cow performances. Ann. Zootech. 1988, 37, 159–180. [Google Scholar] [CrossRef]
- Bauman, D.E.; Peel, C.J.; Steinhour, W.D.; Reynolds, P.J.; Tyrrell, H.F.; Brown, A.C.G.; Haaland, G.L. Effect of bovine somatotropin on metabolism of lactating dairy cows: Influence on rates of irreversible loss and oxidation of glucose and nonesterified fatty acids. J. Nutr. 1988, 118, 1031–1040. [Google Scholar] [CrossRef] [PubMed]
- Tyrrell, H.F.; Brown, A.C.G.; Reynolds, P.J.; Haaland, G.L.; Bauman, D.E.; Peel, C.J.; Steinhour, W.D. Effect of bovine somatotropin on metabolism of lactating dairy cows: Energy and nitrogen utilization as determined by respiration calorimetry. J. Nutr. 1988, 118, 1024–1030. [Google Scholar] [CrossRef] [PubMed]
- Rennó Neto, B.P. Influência da Aplicação da Somatotropina Bovina Recombinante (RBST) na Função Hepática, Renal e no Lipidograma de Bovinos da Raça Holandesa em Lactação. 116f. Master’s Thesis, Faculdade de Medicina Veterinária e Zootecnia, Universidade de São Paulo, São Paulo, Brazil, 2004. [Google Scholar]
- Peel, C.J.; Bauman, D.E. Somatotropin and lactation. J. Dairy Sci. 1987, 70, 474–486. [Google Scholar] [CrossRef] [PubMed]
- Gallo, G.F.; Block, E. Effects of recombinant bovine somatotropin on nutritional status and liver function of lactanting dairy cows. J. Dairy Sci. 1990, 73, 3276–3286. [Google Scholar] [CrossRef] [PubMed]
- De La Sota, R.L.; Lucy, M.C.; Staples, C.R.; Thatcher, W.W. Effects of recombinant bovine somatotropin (sometribove) on ovarian function in lactating and nonlactating dairy cows. J. Dairy Sci. 1993, 76, 1002–1013. [Google Scholar] [CrossRef]
- Soderholm, C.G.; Otterby, F.R.; Linn, D.L.; Ehle, J.G.; Wheaton, F.R.; Hansen, J.E.; Annexstad, J.R. Effects of recombinant bovine somatotropin on milk production, body composition and physiological parameters. J. Dairy Sci. 1988, 71, 355–365. [Google Scholar] [CrossRef]
- Morbeck, D.E.; Britt, J.H.; McDaniel, B.T. Relationships among milk yield, metabolism, and reproductive performance of primiparous Holstein cows treated with somatotropin. J. Dairy Sci. 1991, 74, 2153–2164. [Google Scholar] [CrossRef]
- Etherton, T.D.; Louveau, I.; Sorensen, M.T.; Chaudhuri, S. Mechanisms by which somatotropin decreases adipose tissue growth. Am. J. Clin. Nutr. 1993, 58, 287–295. [Google Scholar] [CrossRef]
- Etherton, T.D.; Bauman, D.E. Biology of somatotropin in growth and lactation of domestic animals. Physiol. Rev. 1998, 78, 745–761. [Google Scholar] [CrossRef]
- Melo, W.O.; Nascimento Júnior, A.S.; Monteiro, B.M.; Ribeiro Filho, J.D.; Faturi, C.; Daher, L.C.C.; Souza, D.C.; Sousa, E.M.; Faria Junior, S.P.; Viana, R.B. Uso da somatotropina recombinante bovina em búfalas leiteiras II: Metabolismos energéticos e mineral. Arq. Bras. Med. Veterinária Zootec. 2019, 71, 732–740. [Google Scholar] [CrossRef]
- Kaneko, J.J. Serum proteins and the dysproteinemias. In Clinical Biochemistry of Domestic Animals, 5th ed.; Academic Press: San Diego, CA, USA, 1997; pp. 117–138. [Google Scholar]
- Vicini, J.L.; Hudson, S.; Cole, W.J.; Miller, M.A.; Eppard, P.J.; White, T.C.; Collier, R.J. Effect of acute challenge with an extreme dose of somatotropin in a prolonged-release formulation on milk production and health of dairy cattle. J. Dairy Sci. 1990, 73, 2093–2102. [Google Scholar] [CrossRef] [PubMed]
- Coles, E.H. Veterinary Clinical Pathology, 4th ed.; W.B. Saunders: Philadelphia, PA, USA, 1986. [Google Scholar]
- Brown, S.A.; Groves, C.; Barsanti, J.A.; Finco, D.R. Determination of excretion of inulin, creatinine, sodium sulfanilate, and phenolsulfophthalein to asses renal function in goats. Am. J. Vet. Res. 1990, 51, 581–586. [Google Scholar] [CrossRef] [PubMed]
- McDowell, G.H. Somatotropin and endocrine regulation of metabolism during lactation. J. Dairy Sci. 1991, 74, 44–62. [Google Scholar] [PubMed]
- Bauman, D.E.; Vernon, R.G. Effects of exogenous bovine somatotropin on lactation. Annu. Rev. Nutr. 1993, 13, 437–461. [Google Scholar] [CrossRef] [PubMed]
- Barbano, D.J.; Lynch, J.M.; Bauman, D.E.; Hartnell, G.F.; Hintz, R.L.; Nemeth, M.A. Effect of prolonged-release formulation of N-methionyl Bovine Somatotropin (Sometribove) on milk composition. J. Dairy Sci. 1992, 75, 1775–1793. [Google Scholar] [CrossRef] [PubMed]
- Burton, J.L.; McBride, B.W.; Block, E.; Glimm, D.R.; Kennelly, J.J. A review of bovine growth hormone. Can. J. Anim. Sci. 1994, 74, 167–201. [Google Scholar] [CrossRef]
- Laurent, F.; Vignon, B.; Coomans, D.; Wilkinson, J.; Bonnel, A. Influence of bovine somatotropin on the composition and manufacturing properties of milk. J. Dairy Sci. 1992, 75, 2226–2234. [Google Scholar] [CrossRef] [PubMed]
- Ferreira, A.T.; Souza, J.C.; Pereira, M.N.; Pérez, J.R.O.; Rocha, G.P. Influência da somatotropina bovina recombinante (rbst), aplicada um dia após o parto, sobre a produção de vacas da raça Holandês primíparas. Ciênc. Agrotec. 2002, 26, 1568–1574. [Google Scholar]
- Tarazon-Herrera, M.A.; Huber, J.T.; Santos, J.E.P.; Nussio, L.G. Effects of bovine somatotropin on milk yield and composition in Holstein cows in advanced lactation fed low- or high-energy diets. J. Dairy Sci. 2000, 83, 430–434. [Google Scholar] [CrossRef]
- Dohoo, I.R.; DesCôteaux, L.; Leslie, K.; Fredeen, A.; Shewfelt, W.; Preston, A.; Dowling, P. A meta-analysis review of the effects of recombinant bovine somatotropina 2. Effects on animal health, reproductive performance, and culling. Can. J. Vet. Res. 2003, 67, 52–264. Available online: https://www.ncbi.nlm.nih.gov/pmc/articles/PMC280709/ (accessed on 12 October 2023).
- Nytes, A.J.; Combs, D.K.; Shook, G.E.; Shaver, R.D.; Cleale, R.M. Response to recombinant bovine somatotropin in dairy cows with different genetic merit for milk production. J. Dairy Sci. 1990, 73, 784–791. [Google Scholar] [CrossRef] [PubMed]




Disclaimer/Publisher’s Note: The statements, opinions and data contained in all publications are solely those of the individual author(s) and contributor(s) and not of MDPI and/or the editor(s). MDPI and/or the editor(s) disclaim responsibility for any injury to people or property resulting from any ideas, methods, instructions or products referred to in the content. |
© 2024 by the authors. Licensee MDPI, Basel, Switzerland. This article is an open access article distributed under the terms and conditions of the Creative Commons Attribution (CC BY) license (https://creativecommons.org/licenses/by/4.0/).
Share and Cite
Feckinghaus, M.A.; Diogo, M.G.d.O.; Storillo, V.M.; Pogliani, F.C.; Monteiro, B.M.; Fantinato Neto, P.; Yasuoka, M.M.; Birgel, D.B.; Birgel Junior, E.H. The Influence of Recombinant Bovine Somatotropin (rbST) on the Metabolic Profile and Milk Composition of Lactating Murrah Buffalo. Animals 2024, 14, 636. https://doi.org/10.3390/ani14040636
Feckinghaus MA, Diogo MGdO, Storillo VM, Pogliani FC, Monteiro BM, Fantinato Neto P, Yasuoka MM, Birgel DB, Birgel Junior EH. The Influence of Recombinant Bovine Somatotropin (rbST) on the Metabolic Profile and Milk Composition of Lactating Murrah Buffalo. Animals. 2024; 14(4):636. https://doi.org/10.3390/ani14040636
Chicago/Turabian StyleFeckinghaus, Marcelo Arne, Mariana Guimarães de Oliveira Diogo, Vanessa Martins Storillo, Fabio Celidonio Pogliani, Bruno Moura Monteiro, Paulo Fantinato Neto, Melina Marie Yasuoka, Daniela Becker Birgel, and Eduardo Harry Birgel Junior. 2024. "The Influence of Recombinant Bovine Somatotropin (rbST) on the Metabolic Profile and Milk Composition of Lactating Murrah Buffalo" Animals 14, no. 4: 636. https://doi.org/10.3390/ani14040636
APA StyleFeckinghaus, M. A., Diogo, M. G. d. O., Storillo, V. M., Pogliani, F. C., Monteiro, B. M., Fantinato Neto, P., Yasuoka, M. M., Birgel, D. B., & Birgel Junior, E. H. (2024). The Influence of Recombinant Bovine Somatotropin (rbST) on the Metabolic Profile and Milk Composition of Lactating Murrah Buffalo. Animals, 14(4), 636. https://doi.org/10.3390/ani14040636

