Migration Pattern, Habitat Use, and Conservation Status of the Eastern Common Crane (Grus grus lilfordi) from Eastern Mongolia
Abstract
Simple Summary
Abstract
1. Introduction
2. Materials and Methods
2.1. Satellite Tracking
2.2. Migration Analysis
2.3. Habitat Use and Conservation Gaps
3. Results
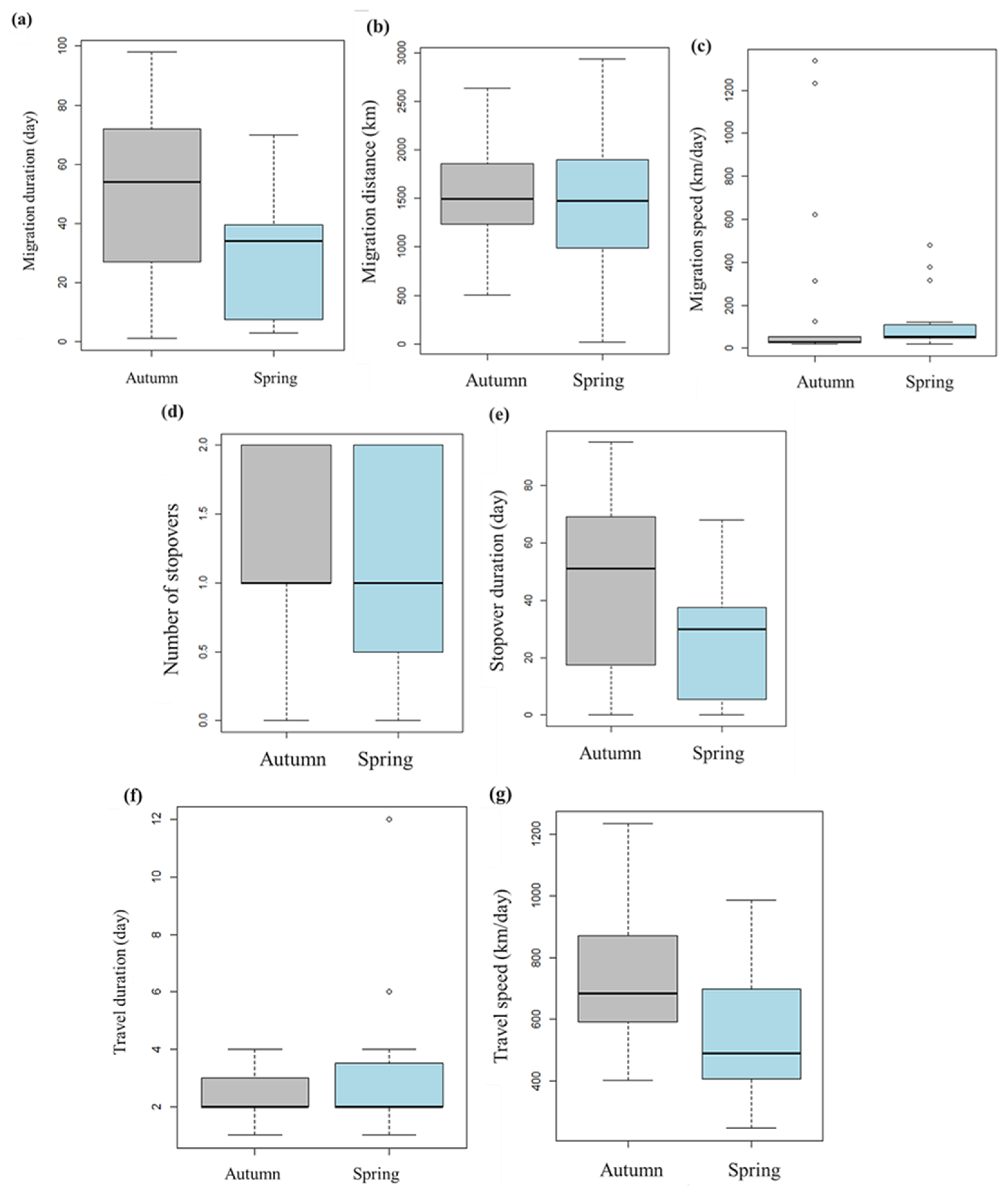
3.1. Migration Patterns
3.2. Stopover Sites
3.3. Habitat Use and Conservation Gaps
4. Discussion
4.1. Migration Patterns and Stopover Sites of the Eastern Common Crane
4.2. Migration Strategy and Site Fidelity of the Eastern Common Crane
4.3. Habitat Use and Conservation Gaps of the Eastern Common Crane
5. Conclusions
Supplementary Materials
Author Contributions
Funding
Institutional Review Board Statement
Data Availability Statement
Acknowledgments
Conflicts of Interest
References
- Newton, I. Migration Ecology of Birds; Academic Press: London, UK, 2008. [Google Scholar]
- Pascua, L. Individual-based tracking systems in ornithology: Welcome to the era of big data. Ardeola 2016, 63, 103–136. [Google Scholar]
- Wu, H.Q.; Yang, X.J.; Yang, J.X. Review of Satellite Tracking in Bird Migratory Studies. Zool. Res. 2008, 3, 346–352. [Google Scholar] [CrossRef]
- Allen, A.M.; Singh, N.J. Linking Movement Ecology with Wildlife Management and Conservation. Front. Ecol. Evol. 2016, 3, 155. [Google Scholar] [CrossRef]
- BirdLife International. Species Factsheet: Grus grus. 2022. Available online: http://www.birdlife.org (accessed on 17 October 2022).
- Ilyashenko, V.Y. The new form of crane from Trans-Caucasus. Russ. J. Ornithol. 2008, 17, 559–562. [Google Scholar]
- Ilyashenko, V.Y.; Ghasabyan, M.G.; Markin, Y.M. The morphology variability of the Common Crane–Grus grus (Linnaeus, 1758) (Aves: Gruidae). In Proceedings of the International Conference “Cranes of Eurasia: Biology and Conservation”, Moscow, Russia, 1–4 October 2007; pp. 82–98. [Google Scholar]
- Ilyashenko, V.Y.; Belyalov, O.V. The new subspecies of the Eurasian Crane—Grus grus korelovi ssp.n. (Aves: Gruidae), from Central and Eastern Tien-Shan. Russ. Ornithol. J. 2011, 20, 803–1811. [Google Scholar]
- Haase, M.; Ilyashenko, V.Y. A glimpse on mitochondrial differentiation among four currently recognized subspecies of the Common Crane Grus grus. Ardeola 2012, 59, 131–136. [Google Scholar] [CrossRef]
- Ilyashenko, V.Y. About Grus grus systematic problems. In Proceedings of the 7th European Crane Conference, Groß Mohrdorf, Germany, 16 January 2013; pp. 117–122. [Google Scholar]
- Mudrik, E.A.; Kashentseva, T.A.; Redchuk, P.S.; Politov, D.V. Microsatellite Variability Data Confirm Low Genetic Differentiation of Western and Eastern Subspecies of Common Crane Grus grus L. (Gruidae, Aves). Mol. Biol. 2015, 49, 260–266. [Google Scholar] [CrossRef]
- Prange, H. Distribution and migration of the Common Crane on the West European flyway. Cranes Eurasia Biol. Distrib. Captiv. Breed. 2015, 5, 304–312. [Google Scholar]
- Bulyuk, V.N.; Shamuradov, A.K. The migration of the Common Crane, Grus grus, in southern Turkmenistan. Zool. Middle East 1995, 11, 21–30. [Google Scholar] [CrossRef]
- Rustamov, E.A.; Efimenko, N.N.; Marochkina, V.V.; Amanov, A.A. Dynamics of Common Crane numbers on main flyways and wintering grounds in Turkmenistan. Cranes Eurasia Biol. Distrib. Migr. Manag. 2011, 4, 364–370. [Google Scholar]
- Sorokin, A.G.; Lanovenko, E.N.; Markin, Y.M.; Mitropolskii, M.G.; Shilina, A.P.; Filatova, E.A. Common Crane count at the wintering grounds in Uzbekistan in 2011. Cranes Eurasia Biol. Distrib. Migr. Manag. 2011, 4, 378–383. [Google Scholar]
- Ilyashenko, E.I. Estimated number of Cranes (Gruiformes, Gruidae) in Northern Eurasia at the Beginning of the 21st Century. Biol. Bull. 2016, 43, 1048–1051. [Google Scholar] [CrossRef]
- Prange, H.; Ilyashenko, E.I. Species Review: Eurasian Crane (Grus grus); Crane Conservation Strategy: Baraboo, WI, USA, 2019; pp. 397–423. [Google Scholar]
- Wang, Y.H.; Wang, H. Distribution and number of Common Crane in China. Sichuan J. Zool. 2003, 22, 35–38. [Google Scholar]
- Zhan, Y.J.; Chen, W.; Hu, D.; Wu, X.S.; Zhang, J.G. Food selection of wintering Common crane (Grus grus) in the Wetland of Beijing. Wetl. Sci. 2007, 5, 45–50. [Google Scholar]
- Wang, C.; Dong, B.; Zhu, M.; Huang, H.; Zhao, K.; Lu, D.; Cui, Y.; Gao, X. Habitat selection of wintering crane in Shengjin Lake wetland. Chin. J. Ecol. 2018, 37, 810–816. [Google Scholar]
- Bridge, E.S.; Thorup, K.; Bowlin, M.S.; Chilson, P.B.; Diehl, R.H.; Fléron, R.W.; Hartl, P.; Kays, R.; Kelly, J.F.; Robinson, W.D.; et al. Technology on the move: Recent and forthcoming innovations for tracking migratory birds. Biol. Sci. 2011, 61, 689–698. [Google Scholar] [CrossRef]
- Wang, X.; Cao, L.; Batbayar, N.; Fox, A.D. Variability among autumn migration patterns of Mongolian Common Shelducks (Tadorna tadorna). Avian Res. 2018, 9, 46–56. [Google Scholar] [CrossRef]
- Wang, X.; Cao, L.; Bysykatova, I.; Xu, Z.G.; Rozenfeld, S.; Jeong, W.; Vangeluwe, D.; Zhao, Y.L.; Xie, T.H.; Yi, K.P. The Far East taiga forest unrecognized inhospitable terrain for migrating Arctic-nesting waterbirds. PeerJ 2018, 6, e4353. [Google Scholar] [CrossRef]
- Deng, X.; Zhao, Q.; Fang, L.; Xu, Z.; Wang, X.; He, H.; Cao, L.; Fox, A.D. Spring migration duration exceeds that of autumn migration in Far East Asian Greater White-fronted Geese (Anser albifrons). Avian Res. 2019, 10, 19. [Google Scholar] [CrossRef]
- Kolzsch, A.; Muskens, G.; Kruckenberg, H.; Glazov, P.; Weinzierl, R.; Nolet, B.A.; Wikelski, M. Towards a new understanding of migration timing: Slower spring than autumn migration in geese reflects different decision rules for stopover use and departure. Oikos 2016, 125, 1496–1507. [Google Scholar] [CrossRef]
- Chen, Y.; Dobra, A. Measuring human activity spaces from GPS data with density ranking and summary curves. Ann. Appl. Stat. 2020, 14, 409–432. [Google Scholar] [CrossRef]
- Batbayar, N.; Yi, K.; Zhang, J.; Natsagdorj, T.; Damba, I.; Cao, L.; Fox, A.D. Combining tracking and remote sensing to identify critical year-round site, habitat use and migratory connectivity of a threatened waterbird species. Remote Sens. 2021, 13, 4049. [Google Scholar] [CrossRef]
- Yi, K.; Zhang, J.; Batbayar, N.; Higuchi, H.; Natsagdorj, T.; Bysykatova, I.P. Using Tracking Data to Identify Gaps in Knowledge and Conservation of the Critically Endangered Siberian Crane (Leucogeranus leucogeranus). Remote Sens. 2022, 14, 5101. [Google Scholar] [CrossRef]
- Esri. Sentinel-2 10m Land Use/Land Cover Time Series. Available online: https://www.arcgis.com (accessed on 2 December 2022).
- Ojaste, I.; Leito, A.; Suorsa, P.; Hedenström, A.; Sepp, K.; Leivits, M.; Sellis, U.; Väli, Ü. From northern Europe to Ethiopia: Long-distance migration of Common Cranes (Grus grus). Ornis Fenn. 2020, 97, 12–25. [Google Scholar]
- Ilyashenko, E.I.; Gavrilov, A.E.; Ilyashenko, V.Y. Migration of the Demoiselle Crane (Anthropoides virgo) and Tibetan Common Crane (Grus grus korelovi); Institute of Zoology of the Republic of Kazakhstan: Almaty, Kazakhstan, 2023; Volume 2, pp. 1–14. [Google Scholar]
- Nowald, G.; Kaack, S.; Kettner, A.; Abuladze, A.V.; Sheklashvili, G.; Ghasabyan, M.G.; Akarsu, F.; Chauby, X.; Wikelski, M.; Kandaurov, A.S.; et al. Preliminary results on migration, wintering, and summering patterns of the Transcaucasian Eurasian Crane from Georgia and Armenia. Cranes Eurasia Distrib. Biol. 2021, 6, 227–255. [Google Scholar]
- Alonso, J.A.; Alonso, J.C.; Nowald, G. Migration and wintering patterns of a central European population of Common Cranes Grus grus. Bird Study 2008, 58, 1–7. [Google Scholar] [CrossRef]
- Lang, X.; Gankhuyag, P.; Oyunchimeg, T.; Dashdorj, K.; Baasansuren, E.; Amarkhuu, G.; Mi, C.; Guo, Y. Luan River upper reaches: The important stopover site of the White-naped crane (Grus vipio) western population. Biodivers. Sci. 2020, 28, 1213–1221. [Google Scholar] [CrossRef]
- Schaub, M.; Jenni, L.; Bairlein, F. Fuel stores, fuel accumulation, and the decision to depart from a migration stopover site. Behav. Ecol. 2008, 19, 657–666. [Google Scholar] [CrossRef]
- Liu, H.; Liu, Q.; Liu, W.; Li, Z.J.; Wang, R.B.; Yang, J.J.; Yang, X. Stopover Pattern of Migratory Common Crane (Grus grus) along the Yellow River in Zhongwei, Ningxia, China. Chin. J. Zool. 2018, 53, 161–171. [Google Scholar]
- Schmaljohann, H. Proximate mechanisms affecting seasonal differences in migration speed of avian species. Sci. Rep. 2018, 8, 4106. [Google Scholar] [CrossRef]
- Schmaljohann, H.; Eikenaar, C.; Sapir, N. Understanding the ecological and evolutionary function of stopover in migrating birds. Biol. Rev. 2022, 97, 1231–1252. [Google Scholar] [CrossRef]
- Alonso, J.A.; Alonso, J.C.; Cantos, F.J.; Bautista, L.M. Spring crane Grus grus migration through Gallocanta, Spain. 2. Timing and pattern of daily departures. Ardea 1990, 78, 379–386. [Google Scholar]
- Postelnykh, K.A.; Markin, Y.M.; Pekarsky, S.; Nathan, R. Movements patterns of first-year juvenile Eurasian cranes revealed using GPS-transmitter data. In Proceedings of the 9th European Crane Conference, Arjuzanx, France, 3–9 December 2018; p. 188. [Google Scholar]
- Swanberg, P.O. 1986–1987. Studies on the influence of weather on migrating cranes (Grus grus) in Sweden. Aquila 1987, 93, 203–212. [Google Scholar]
- Haase, M.; Höltje, H.; Blahy, B.; Bridge, D.; Henne, E.; Johansson, U.S.; Kaldma, K.; Khudyakova, E.A.; King, A.; Leito, A.; et al. Shallow genetic population structure in an expanding migratory bird with high breeding site fidelity, the Western Eurasian Crane Grus grus grus. J. Ornithol. 2019, 160, 965–972. [Google Scholar] [CrossRef]
- Mongolian Statistical Information Service. Available online: https://www2.1212.mn (accessed on 20 April 2023).
- Pearse, A.T.; Metzger, K.L.; Brandt, D.A.; Bidwell, M.T.; Harner, M.J.; Baasch, D.M.; Harrell, W. Heterogeneity in migration strategies of Whooping Cranes. Condor 2020, 122, duz056. [Google Scholar] [CrossRef]








| Parameter | Mean Value ± SD | U Test | ||
|---|---|---|---|---|
| Autumn Migration | Spring Migration | W | p Value | |
| Departure date | 8/X ± 44 | 7/IV ± 43 | - | - |
| Arrival date | 30/X ± 61 | 2/V ± 27 | - | - |
| Migration duration (day) | 49.6 ± 32.8 | 28.5 ± 22.4 | 183 | 0.08 |
| Migration distance (km) | 1581.5 ± 476.5 | 1446.5 ± 742.8 | 187 | 0.61 |
| Migration speed (km/day) | 196.6 ± 168.3 | 124 ± 104.3 | 103 | 0.08 |
| Number of stopovers | 1.4 ± 0.67 | 1.12 ± 0.81 | 184 | 0.41 |
| Stopover duration (day) | 43.6 ± 31.1 | 25.3 ± 21.9 | 194 | 0.07 |
| Travel duration (day) | 2.3 ± 0.7 | 3.3 ± 2.7 | 126 | 0.40 |
| Travel speed (km/day) | 722 ± 213 | 573 ± 233 | 187 | 0.06 |
| Habitat Types | Summering (RU) | Breeding (MN) | Stopover | Wintering (CN) | Total |
|---|---|---|---|---|---|
| Water | 30.9% | 6.77% | 7.7% | 47.8% | 14.2% |
| Trees | 0.03% | 0.01% | 0.004% | 0.04% | 0.03% |
| Flooded vegetation | 0.1% | 3.19% | 0.8% | 0.06% | 1.4% |
| Crops | 8.57% | 0.44% | 25.3% | 31.8% | 18.14% |
| Built area | 0% | 0.08% | 0.09% | 1.6% | 0.31% |
| Bare ground | 0.2% | 4.95% | 6.3% | 6.14% | 5.6% |
| Rangeland | 60.2% | 84.56% | 59.8% | 12.5% | 60.32% |
Disclaimer/Publisher’s Note: The statements, opinions and data contained in all publications are solely those of the individual author(s) and contributor(s) and not of MDPI and/or the editor(s). MDPI and/or the editor(s) disclaim responsibility for any injury to people or property resulting from any ideas, methods, instructions or products referred to in the content. |
© 2023 by the authors. Licensee MDPI, Basel, Switzerland. This article is an open access article distributed under the terms and conditions of the Creative Commons Attribution (CC BY) license (https://creativecommons.org/licenses/by/4.0/).
Share and Cite
Erdenechimeg, B.; Purev-Ochir, G.; Gungaa, A.; Terbish, O.; Zhao, Y.; Guo, Y. Migration Pattern, Habitat Use, and Conservation Status of the Eastern Common Crane (Grus grus lilfordi) from Eastern Mongolia. Animals 2023, 13, 2287. https://doi.org/10.3390/ani13142287
Erdenechimeg B, Purev-Ochir G, Gungaa A, Terbish O, Zhao Y, Guo Y. Migration Pattern, Habitat Use, and Conservation Status of the Eastern Common Crane (Grus grus lilfordi) from Eastern Mongolia. Animals. 2023; 13(14):2287. https://doi.org/10.3390/ani13142287
Chicago/Turabian StyleErdenechimeg, Baasansuren, Gankhuyag Purev-Ochir, Amarkhuu Gungaa, Oyunchimeg Terbish, Yajie Zhao, and Yumin Guo. 2023. "Migration Pattern, Habitat Use, and Conservation Status of the Eastern Common Crane (Grus grus lilfordi) from Eastern Mongolia" Animals 13, no. 14: 2287. https://doi.org/10.3390/ani13142287
APA StyleErdenechimeg, B., Purev-Ochir, G., Gungaa, A., Terbish, O., Zhao, Y., & Guo, Y. (2023). Migration Pattern, Habitat Use, and Conservation Status of the Eastern Common Crane (Grus grus lilfordi) from Eastern Mongolia. Animals, 13(14), 2287. https://doi.org/10.3390/ani13142287

