Adaptive and Biological Responses of Buffalo Granulosa Cells Exposed to Heat Stress under In Vitro Condition
Abstract
Simple Summary
Abstract
1. Introduction
2. Materials and Methods
2.1. Collection of Ovaries and Granulosa Cells
2.2. Culture of Granulosa Cell under Heat Stress Conditions
2.3. Determination of Estradiol (E2), Progesterone (P4), and Insulin-Like Growth Factor 1 (IGF-1) by ELISA
2.4. Determination of Total Antioxidant Capacity (TAC) and Superoxide Dismutase Enzyme (SOD) Levels
2.5. Gene Expression Analysis
2.5.1. RNA Isolation and cDNA Synthesis
2.5.2. Quantitative Real-Time PCR (qRT-PCR)
2.6. Expression Analysis of microRNAs
2.6.1. Total RNA Isolation and Quality Control
2.6.2. Quantification Analysis of Selected miRNAs Using Droplet Digital PCR (ddPCR)
2.7. Statistical Analysis
3. Results
3.1. Granulosa Cell Viability under Heat Stress Conditions
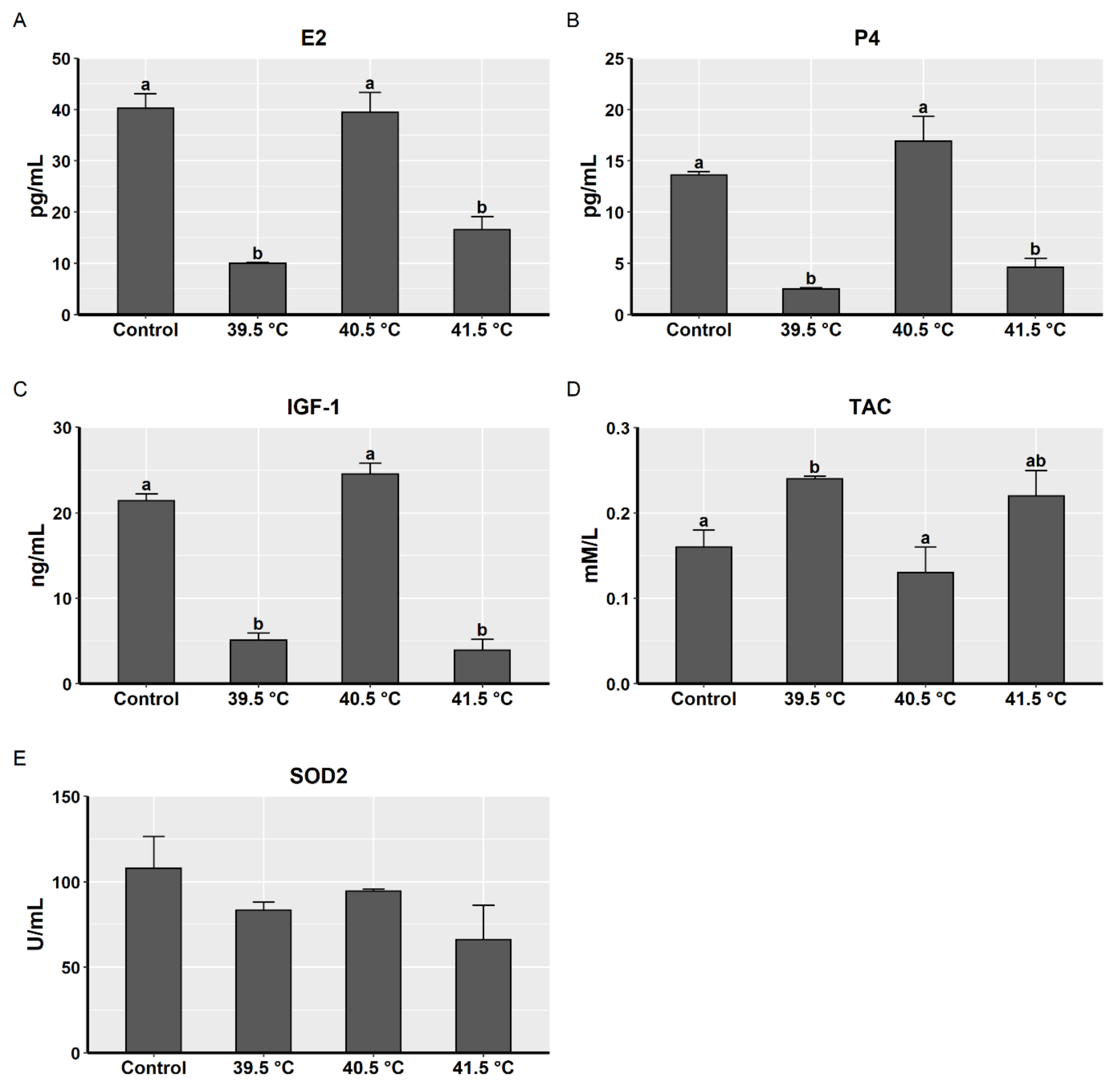
3.2. Steroidogenesis and Enzymatic Activities
3.3. Gene Expression Patterns in Heat-Treated GCs
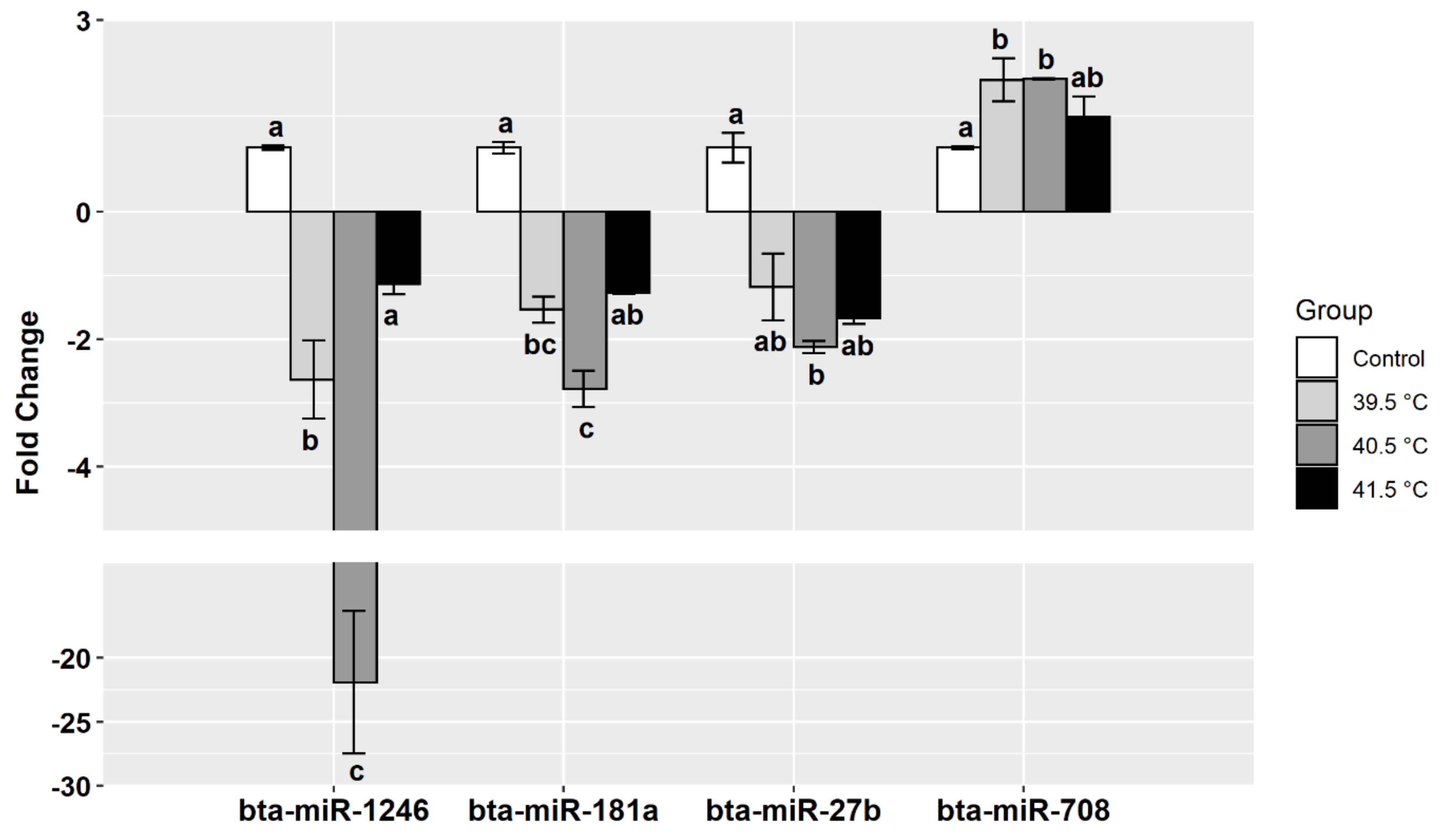
3.4. MiRNAs Expression Patterns in Heat-Treated GCs
4. Discussion
5. Conclusions
Author Contributions
Funding
Institutional Review Board Statement
Acknowledgments
Conflicts of Interest
References
- Senbon, S.; Hirao, Y.; Miyano, T. Interactions between the oocyte and surrounding somatic cells in follicular development: Lessons from in vitro culture. J. Reprod. Dev. 2003, 49, 259–269. [Google Scholar] [CrossRef]
- Gilchrist, R.B.; Lane, M.; Thompson, J.G. Oocyte-secreted factors: Regulators of cumulus cell function and oocyte quality. Hum. Reprod. Update 2008, 14, 159–177. [Google Scholar] [CrossRef]
- Makabe, S.; Naguro, T.; Stallone, T. Oocyte–follicle cell interactions during ovarian follicle development, as seen by high resolution scanning and transmission electron microscopy in humans. Microsc. Res. Tech. 2006, 69, 436–449. [Google Scholar] [CrossRef]
- Gebremedhn, S.; Salilew-Wondim, D.; Ahmad, I.; Sahadevan, S.; Hossain, M.; Hoelker, M.; Rings, F.; Neuhoff, C.; Tholen, E.; Looft, C.; et al. MicroRNA expression profile in bovine granulosa cells of preovulatory dominant and subordinate follicles during the late follicular phase of the estrous cycle. PLoS ONE 2015, 10, e0125912. [Google Scholar] [CrossRef] [PubMed]
- Alam, M.H.; Miyano, T. Interaction between growing oocytes and granulosa cells in vitro. Reprod. Med. Biol. 2020, 19, 13–23. [Google Scholar] [CrossRef] [PubMed]
- Carabatsos, M.J.; Sellitto, C.; Goodenough, D.A.; Albertini, D.F. Oocyte–granulosa cell heterologous gap junctions are required for the coordination of nuclear and cytoplasmic meiotic competence. Dev. Biol. 2000, 226, 167–179. [Google Scholar] [CrossRef]
- De La Fuente, R.; Eppig, J.J. Transcriptional activity of the mouse oocyte genome: Companion granulosa cells modulate transcription and chromatin remodeling. Dev. Biol. 2001, 229, 224–236. [Google Scholar] [CrossRef] [PubMed]
- Roth, Z.; Meidan, R.; Braw-Tal, R.; Wolfenson, D. Immediate and delayed effects of heat stress on follicular development and its association with plasma FSH and inhibin concentration in cows. Reproduction 2000, 120, 83–90. [Google Scholar] [CrossRef]
- Shimizu, T.; Ohshima, I.; Ozawa, M.; Takahashi, S.; Tajima, A.; Shiota, M.; Miyazaki, H.; Kanai, Y. Heat stress diminishes gonadotropin receptor expression and enhances susceptibility to apoptosis of rat granulosa cells. Reproduction 2005, 129, 463–472. [Google Scholar] [CrossRef]
- Leung, A.K.L.; Sharp, P.A. MicroRNA functions in stress responses. Mol. Cell 2010, 40, 205–215. [Google Scholar] [CrossRef] [PubMed]
- Shandilya, U.K.; Sharma, A.; Sodhi, M.; Mukesh, M. Heat stress modulates differential response in skin fibroblast cells of native cattle (Bos Indicus) and riverine buffaloes (Bubalus Bubalis). Biosci. Rep. 2020, 40. [Google Scholar] [CrossRef] [PubMed]
- Marai, I.F.M.; Haeeb, A.A.M. Buffalo’s biological functions as affected by heat stress—A review. Livest. Sci. 2010, 127, 89–109. [Google Scholar] [CrossRef]
- Baufeld, A.; Vanselow, J. A tissue culture model of estrogen-producing primary bovine granulosa cells. J. Vis. Exp. 2018, 139. [Google Scholar] [CrossRef] [PubMed]
- Khan, A.; Dou, J.; Wang, Y.; Jiang, X.; Khan, M.Z.; Luo, H.; Usman, T.; Zhu, H. Evaluation of heat stress effects on cellular and transcriptional adaptation of bovine granulosa cells. J. Anim. Sci. Biotechnol. 2020, 11, 25. [Google Scholar] [CrossRef] [PubMed]
- Gebremedhn, S.; Gad, A.; Aglan, H.S.; Laurincik, J.; Prochazka, R.; Salilew-Wondim, D.; Hoelker, M.; Schellander, K.; Tesfaye, D. Extracellular vesicles shuttle protective messages against heat stress in bovine granulosa cells. Sci. Rep. 2020, 10, 1–19. [Google Scholar] [CrossRef] [PubMed]
- Zeebaree, B.K.; Kwong, W.Y.; Mann, G.E.; Gutierrez, C.G.; Sinclair, K.D. Physiological responses of cultured bovine granulosa cells to elevated temperatures under low and high oxygen in the presence of different concentrations of melatonin. Theriogenology 2018, 105, 107–114. [Google Scholar] [CrossRef] [PubMed]
- Chaube, S.K.; Prasad, P.V.; Thakur, S.C.; Shrivastav, T.G. Estradiol protects clomiphene citrate–induced apoptosis in ovarian follicular cells and ovulated cumulus–oocyte complexes. Fertil. Steril. 2005, 84, 1163–1172. [Google Scholar] [CrossRef]
- Luo, M.; Li, L.; Xiao, C.; Sun, Y.; Wang, G.-L. Heat stress impairs mice granulosa cell function by diminishing steroids production and inducing apoptosis. Mol. Cell. Biochem. 2016, 412, 81–90. [Google Scholar] [CrossRef] [PubMed]
- Silva, J.R.V.; Figueiredo, J.R.; van den Hurk, R. Involvement of growth hormone (GH) and insulin-like growth factor (IGF) system in ovarian folliculogenesis. Theriogenology 2009, 71, 1193–1208. [Google Scholar] [CrossRef]
- Sirotkin, A.V. Growth factors controlling ovarian functions. J. Cell. Physiol. 2011, 226, 2222–2225. [Google Scholar] [CrossRef]
- Mani, A.M.; Fenwick, M.A.; Cheng, Z.; Sharma, M.K.; Singh, D.; Wathes, D.C. IGF1 induces up-regulation of steroidogenic and apoptotic regulatory genes via activation of phosphatidylinositol-dependent Kinase/AKT in bovine granulosa cells. Reproduction 2010, 139, 139–151. [Google Scholar] [CrossRef] [PubMed]
- Devoto, L.; Christenson, L.K.; McAllister, J.M.; Makrigiannakis, A.; Strauss, J.F. Insulin and insulin-like growth factor-I and- II modulate human granulosa-lutein cell steroidogenesis: Enhancement of steroidogenic acute regulatory protein (StAR) expression. Mol. Hum. Reprod. 1999, 5, 1003–1010. [Google Scholar] [CrossRef]
- Wang, Y.; Zeng, S. Melatonin promotes ubiquitination of phosphorylated pro-apoptotic protein Bcl-2-interacting mediator of cell death-extra long (BimEL) in porcine granulosa cells. Int. J. Mol. Sci. 2018, 19, 3431. [Google Scholar] [CrossRef]
- Yang, M.Y.; Rajamahendran, R. Morphological and biochemical identification of apoptosis in small, medium, and large bovine follicles and the effects of follicle-stimulating hormone and insulin-like growth factor-1 on spontaneous apoptosis in cultured bovine granulosa cells. Biol. Reprod. 2000, 62, 1209–1217. [Google Scholar] [CrossRef]
- Fu, Y.; He, C.-J.; Ji, P.-Y.; Zhuo, Z.-Y.; Tian, X.-Z.; Wang, F.; Tan, D.-X.; Liu, G.-S. Effects of melatonin on the proliferation and apoptosis of sheep granulosa cells under thermal stress. Int. J. Mol. Sci. 2014, 15, 21090–21104. [Google Scholar] [CrossRef]
- Bhardwaj, J.K.; Sharma, R.K.; Saraf, P. Alterations in phosphatases and antioxidant enzymes’ activity in follicular fluid and granulosa cells during follicular atresia in goat (Capra Hircus) ovary. J. Adv. Zool. 2017, 38, 154–163. [Google Scholar]
- Nuñez-Calonge, R.; Rancan, L.; Cortés, S.; Vara, E.; Andrés, C.; Caballero, P.; Fernández-Tresguerres, J. Apoptotic markers and antioxidant enzymes have altered expression in cumulus and granulosa cells of young women with poor response to ovarian stimulation. J. Reprod. Biol. Endocrinol. 2019, 3, 1–6. [Google Scholar]
- Suzuki, T.; Sugino, N.; Fukaya, T.; Sugiyama, S.; Uda, T.; Takaya, R.; Yajima, A.; Sasano, H. Superoxide dismutase in normal cycling human ovaries: Immunohistochemical localization and characterization. Fertil. Steril. 1999, 72, 720–726. [Google Scholar] [CrossRef]
- Khadrawy, O.; Gebremedhn, S.; Salilew-Wondim, D.; Rings, F.; Neuhoff, C.; Hoelker, M.; Schellander, K.; Tesfaye, D. Quercetin supports bovine preimplantation embryo development under oxidative stress condition via activation of the Nrf2 signalling pathway. Reprod. Domest. Anim. 2020, 55, 1275–1285. [Google Scholar] [CrossRef] [PubMed]
- Saeed-Zidane, M.; Linden, L.; Salilew-Wondim, D.; Held, E.; Neuhoff, C.; Tholen, E.; Hoelker, M.; Schellander, K.; Tesfaye, D. Cellular and exosome mediated molecular defense mechanism in bovine granulosa cells exposed to oxidative stress. PLoS ONE 2017, 12, e0187569. [Google Scholar] [CrossRef]
- Sasaki, J.; Sato, E.F.; Nomura, T.; Mori, H.; Watanabe, S.; Kanda, S.; Watanabe, H.; Utsumi, K.; Inoue, M. Detection of manganese superoxide dismutase mRNA in the theca interna cells of rat ovary during the ovulatory process by in situ hybridization. Histochemistry 1994, 102, 173–176. [Google Scholar] [CrossRef] [PubMed]
- Khadrawy, O.; Gebremedhn, S.; Salilew-Wondim, D.; Taqi, M.O.; Neuhoff, C.; Tholen, E.; Hoelker, M.; Schellander, K.; Tesfaye, D. Endogenous and exogenous modulation of Nrf2 mediated oxidative stress response in bovine granulosa cells: Potential implication for ovarian function. Int. J. Mol. Sci. 2019, 20, 1635. [Google Scholar] [CrossRef]
- Faheem, M.S.; Dessouki, S.M.; Abdel- Rahman, F.E.S.; Ghanem, N. Physiological and molecular aspects of heat-treated cultured granulosa cells of egyptian buffalo (Bubalus Bubalis). Anim. Reprod. Sci. 2021, 224, 106665. [Google Scholar] [CrossRef]
- Sanchez-Lazo, L.; Brisard, D.; Elis, S.; Maillard, V.; Uzbekov, R.; Labas, V.; Desmarchais, A.; Papillier, P.; Monget, P.; Uzbekova, S. Fatty acid synthesis and oxidation in cumulus cells support oocyte maturation in bovine. Mol. Endocrinol. 2014, 28, 1502–1521. [Google Scholar] [CrossRef]
- Seo, H.; Lee, I.; Chung, H.S.; Bae, G.-U.; Chang, M.; Song, E.; Kim, M.J. ATP5B regulates mitochondrial fission and fusion in mammalian cells. Anim. Cells Syst. 2016, 20, 157–164. [Google Scholar] [CrossRef]
- Kim, M.-S.; Ramakrishna, S.; Lim, K.-H.; Kim, J.-H.; Baek, K.-H. Protein stability of mitochondrial superoxide dismutase SOD2 is regulated by USP36. J. Cell. Biochem. 2011, 112, 498–508. [Google Scholar] [CrossRef]
- Appasamy, M.; Jauniaux, E.; Serhal, P.; Al-Qahtani, A.; Groome, N.P.; Muttukrishna, S. Evaluation of the relationship between follicular fluid oxidative stress, ovarian hormones, and response to gonadotropin stimulation. Fertil. Steril. 2008, 89, 912–921. [Google Scholar] [CrossRef]
- Verit, F.F.; Erel, O.; Kocyigit, A. Association of increased total antioxidant capacity and anovulation in nonobese infertile patients with clomiphene citrate–resistant polycystic ovary syndrome. Fertil. Steril. 2007, 88, 418–424. [Google Scholar] [CrossRef] [PubMed]
- Alemu, T.W.; Pandey, H.O.; Salilew Wondim, D.; Gebremedhn, S.; Neuhof, C.; Tholen, E.; Holker, M.; Schellander, K.; Tesfaye, D. Oxidative and endoplasmic reticulum stress defense mechanisms of bovine granulosa cells exposed to heat stress. Theriogenology 2018, 110, 130–141. [Google Scholar] [CrossRef] [PubMed]
- Moura, M.T.; Paula-Lopes, F.F. Thermoprotective molecules to improve oocyte competence under elevated temperature. Theriogenology 2020, 156, 262–271. [Google Scholar] [CrossRef] [PubMed]
- Hu, Y.; Cai, M.-C.; Wang, L.; Zhang, T.-H.; Luo, Z.-G.; Zhang, G.-W.; Zuo, F.-Y. MiR-1246 is upregulated and regulates lung cell apoptosis during heat stress in feedlot cattle. Cell Stress Chaperon. 2018, 23, 1219–1228. [Google Scholar] [CrossRef] [PubMed]
- Zheng, Y.; Chen, K.-L.; Zheng, X.-M.; Li, H.-X.; Wang, G.-L. Identification and bioinformatics analysis of MicroRNAs associated with stress and immune response in serum of heat-stressed and normal holstein cows. Cell Stress Chaperon. 2014, 19, 973–981. [Google Scholar] [CrossRef] [PubMed]
- Chen, Q.; Lin, H.; Deng, X.; Li, S.; Zhang, J. MiR-1246 promotes anti-apoptotic effect of mini-αa in oxidative stress-induced apoptosis in retinal pigment epithelial cells. Clin. Exp. Ophthalmol. 2020, 48, 682–688. [Google Scholar] [CrossRef] [PubMed]
- Yin, C.; Zheng, X.; Xiang, H.; Li, H.; Gao, M.; Meng, X.; Yang, K. Differential expression profile analysis of cisplatin-regulated MiRNAs in a human gastric cancer cell line. Mol. Med. Rep. 2019, 20, 1966–1976. [Google Scholar] [CrossRef] [PubMed]
- Lee, J.; Lee, S.; Son, J.; Lim, H.; Kim, E.; Kim, D.; Ha, S.; Hur, T.; Lee, S.; Choi, I. Analysis of circulating-MicroRNA expression in lactating holstein cows under summer heat stress. PLoS ONE 2020, 15, e0231125. [Google Scholar] [CrossRef]
- Sakumoto, R.; Hayashi, K.-G.; Hosoe, M.; Iga, K.; Kizaki, K.; Okuda, K. Gene expression profiles in the bovine corpus luteum (CL) during the estrous cycle and pregnancy: Possible roles of chemokines in regulating CL function during pregnancy. J. Reprod. Dev. 2015, 61, 42–48. [Google Scholar] [CrossRef]
- Sontakke, S.D.; Mohammed, B.T.; McNeilly, A.S.; Donadeu, F.X. Characterization of MicroRNAs differentially expressed during bovine follicle development. Reproduction 2014, 148, 271–283. [Google Scholar] [CrossRef] [PubMed]
- Korhan, P.; Erdal, E.; Atabey, N. MiR-181a-5p is downregulated in hepatocellular carcinoma and suppresses motility, invasion and branching-morphogenesis by directly targeting c-Met. Biochem. Biophys. Res. Commun. 2014, 450, 1304–1312. [Google Scholar] [CrossRef] [PubMed]
- Cheleschi, S.; Tenti, S.; Mondanelli, N.; Corallo, C.; Barbarino, M.; Giannotti, S.; Gallo, I.; Giordano, A.; Fioravanti, A. MicroRNA-34a and MicroRNA-181a mediate visfatin-induced apoptosis and oxidative stress via NF-ΚB pathway in human osteoarthritic chondrocytes. Cells 2019, 8, 874. [Google Scholar] [CrossRef] [PubMed]
- Chen, K.-L.; Fu, Y.-Y.; Shi, M.-Y.; Li, H.-X. Down-regulation of MiR-181a can reduce heat stress damage in pbmcs of holstein cows. In Vitro Cell. Dev. Biol. Anim. 2016, 52, 864–871. [Google Scholar] [CrossRef] [PubMed]
- Xu, W.; Li, F.; Liu, Z.; Xu, Z.; Sun, B.; Cao, J.; Liu, Y. MicroRNA-27b inhibition promotes Nrf2/ARE pathway activation and alleviates intracerebral hemorrhage-induced brain injury. Oncotarget 2017, 8, 70669–70684. [Google Scholar] [CrossRef]
- Xu, S.; Zhang, R.; Niu, J.; Cui, D.; Xie, B.; Zhang, B.; Lu, K.; Yu, W.; Wang, X.; Zhang, Q. Oxidative stress mediated-alterations of the MicroRNA expression profile in mouse hippocampal neurons. Int. J. Mol. Sci. 2012, 13, 16945–16960. [Google Scholar] [CrossRef] [PubMed]




| Gene Name | Accession Number | Primer Sequence | Fragment Size (bp) |
|---|---|---|---|
| ATP5F1A | NM_174684.2 | F: 5′-CTCTTGAGTCGTGGTGTGCG-3′ R: 5′-CCTGATGTTGGCTGATAACGTG-3′ | 184 |
| CPT2 | NM_001045889 | F: 5′-CCGAGTATAATGACCAGCTC-3′ R: 5′-GCGTATGAATCTCTTGAAGG-3′ | 152 |
| NFE2L2 | NM_001011678 | F: 5′-TAAAACAGCAGTGGCTACCT-3′ R: 5′-GAGACATTCCCGTTTGTAGA-3′ | 159 |
| SOD2 | NM_201527 | F: 5′-GTGATCAACTGGGAGAATGT-3′ R: 5′-AAGCCACACTCAGAAACACT-3′ | 163 |
| TNFα | AF011927 | F: 5′-GTGAAGTCGCTCAGTCGTGC-3′ R: 5′-TCTACAAGGCGGGAGACCTG-3′ | 170 |
| GAPDH | NM_001034034.2 | F: 5′- AGGTCGGAGTGAACGGATTC -3′ R: 5′- GGAAGATGGTGATGGCCTTT -3′ | 219 |
Publisher’s Note: MDPI stays neutral with regard to jurisdictional claims in published maps and institutional affiliations. |
© 2021 by the authors. Licensee MDPI, Basel, Switzerland. This article is an open access article distributed under the terms and conditions of the Creative Commons Attribution (CC BY) license (http://creativecommons.org/licenses/by/4.0/).
Share and Cite
Faheem, M.S.; Ghanem, N.; Gad, A.; Procházka, R.; Dessouki, S.M. Adaptive and Biological Responses of Buffalo Granulosa Cells Exposed to Heat Stress under In Vitro Condition. Animals 2021, 11, 794. https://doi.org/10.3390/ani11030794
Faheem MS, Ghanem N, Gad A, Procházka R, Dessouki SM. Adaptive and Biological Responses of Buffalo Granulosa Cells Exposed to Heat Stress under In Vitro Condition. Animals. 2021; 11(3):794. https://doi.org/10.3390/ani11030794
Chicago/Turabian StyleFaheem, Marwa S., Nasser Ghanem, Ahmed Gad, Radek Procházka, and Sherif M. Dessouki. 2021. "Adaptive and Biological Responses of Buffalo Granulosa Cells Exposed to Heat Stress under In Vitro Condition" Animals 11, no. 3: 794. https://doi.org/10.3390/ani11030794
APA StyleFaheem, M. S., Ghanem, N., Gad, A., Procházka, R., & Dessouki, S. M. (2021). Adaptive and Biological Responses of Buffalo Granulosa Cells Exposed to Heat Stress under In Vitro Condition. Animals, 11(3), 794. https://doi.org/10.3390/ani11030794

