Emerging Trends of Multidrug-Resistant (MDR) and Extensively Drug-Resistant (XDR) Salmonella Typhi in a Tertiary Care Hospital of Lahore, Pakistan
Abstract
1. Introduction
2. Materials and Methods
2.1. Sampling and Data Collection
2.2. Antibiotic Susceptibility Test
2.3. Statistical Analysis
3. Results
3.1. Distribution of MDR and XDR Salmonella Strains According to Gender and Age
3.2. Distribution of MDR and XDR Salmonella Strains in OPD and Ward Cases
3.3. Association of Related Factors with Antibiotic Resistance of XDR and MDR S. Typhi Strains
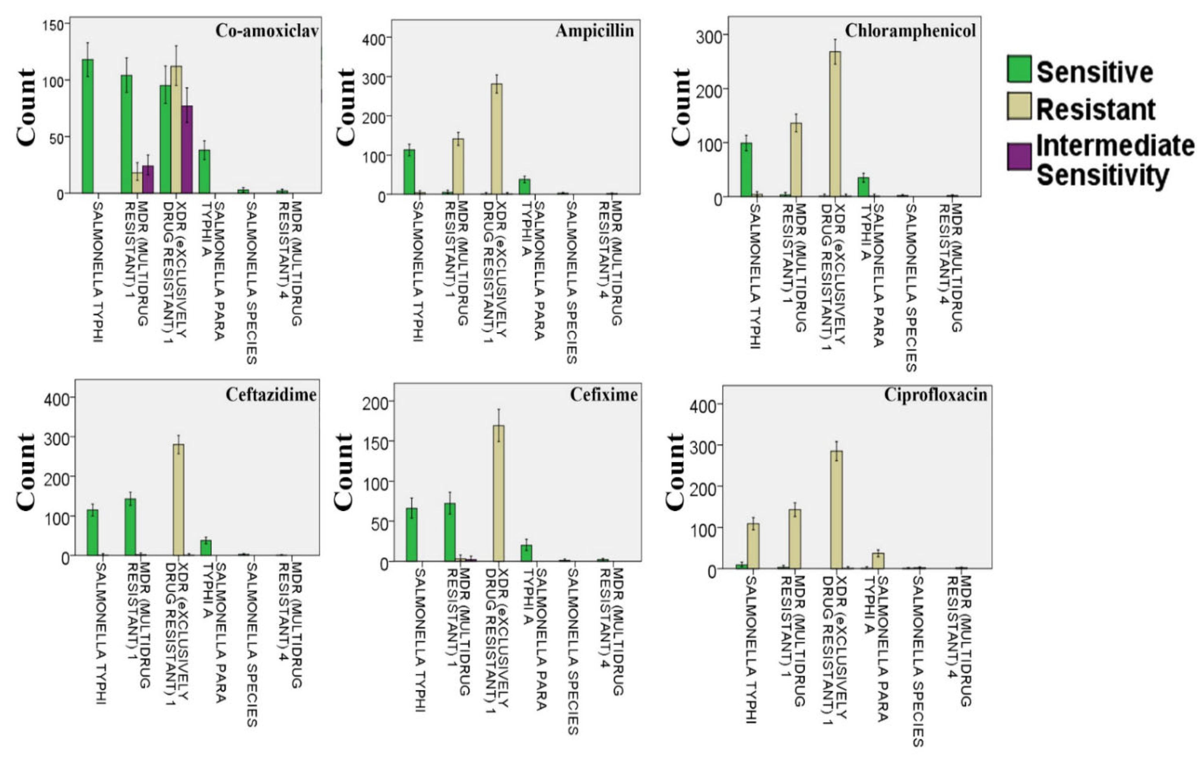
3.4. Resistance of Different Salmonella Strains against Co-Amoxiclav, Ampicillin, Chloramphenicol, Ceftazidime, Cefixime, and Ciprofloxacin
3.5. Resistance of Different Salmonella Strains against Ceftriaxone, Cefoperazone/Sulbactam, Co-Trimoxazole, and Piperacillin/Tazobactam
3.6. Resistance of MDR and XDR S. Typhi against Co-Amoxiclav, Ampicillin, and Chloramphenicol in OPD and Ward Patients
3.7. Resistance of MDR and XDR S. Typhi against Cefoperazone/Sulbactam, Co-Trimoxazole, and Piperacillin/Tazobactam in OPD and Ward Patients
3.8. Resistance of MDR and XDR S. Typhi against Co-Amoxiclav in Various Hospital Wards
3.9. Resistance Pattern of MDR and XDR S. Typhi against Ampicillin in Various Hospital Wards
3.10. Resistance Pattern of MDR and XDR S. Typhi against Chloramphenicol in Various Hospital Wards
3.11. Resistance Pattern of MDR and XDR S. Typhi against Ceftazidime in Various Hospital Wards
3.12. Resistance Pattern of MDR and XDR S. Typhi against Ceftriaxone in Various Hospital Wards
3.13. Resistance Pattern of MDR and XDR S. Typhi against Cefoperazone/Sulbactam in Various Hospital Wards
3.14. Resistance Pattern of MDR and XDR S. Typhi against Piperacillin/Tazobactam in Various Hospital Wards
4. Discussion
5. Conclusions
Supplementary Materials
Author Contributions
Funding
Institutional Review Board Statement
Informed Consent Statement
Data Availability Statement
Acknowledgments
Conflicts of Interest
References
- GBD. Typhoid and paratyphoid collaborators—2019. The global burden of typhoid and paratyphoid fevers: A systematic analysis for the Global Burden of Disease Study 2017. Lancet Infect. Dis. 2017, 19, 369–381. [Google Scholar]
- Woodward, T.E.; Smadel, J.E. Preliminary report on the beneficial effect of chloromycetin in the treatment of typhoid fever. Ann. Intern. Med. 1948, 29, 131–134. [Google Scholar] [CrossRef]
- Crump, J.A.; Sjölund-Karlsson, M.; Gordon, M.A.; Parry, C.M. Epidemiology, clinical presentation, laboratory diagnosis, antimicrobial resistance, and antimicrobial management of invasive Salmonella infections. Clin. Microbiol. Rev. 2015, 28, 901–937. [Google Scholar] [CrossRef] [PubMed]
- Akram, J.; Khan, A.S.; Khan, H.A.; Gilani, S.A.; Akram, S.J.; Ahmad, F.J.; Mehboob, R. Extensively drug-resistant (XDR) typhoid: Evolution, prevention, and its management. BioMed Res. Int. 2020, 2020, 6432580. [Google Scholar] [CrossRef] [PubMed]
- Crump, J.A. Progress in typhoid fever epidemiology. Clin. Infect. Dis. 2019, 68, S4–S9. [Google Scholar] [CrossRef]
- Andrews, J.R.; Qamar, F.N.; Charles, R.C.; Ryan, E.T. Extensively drug-resistant typhoid—Are conjugate vaccines arriving just in time? N. Engl. J. Med. 2018, 379, 1493–1495. [Google Scholar] [CrossRef]
- Basak, S.; Singh, P.; Rajurkar, M. Multidrug Resistant and Extensively Drug Resistant Bacteria: A Study. J. Pathogens. 2016, 2016, 4065603. [Google Scholar] [CrossRef] [PubMed]
- Muhammad, S.; Hidayat, R.M.; Farhan, R.; Muhammad, S.; Atif, N.M.; Anwar, I.A.; Saba, T.; Afreenish, A.; Aamer, I.; Mohsin, K. Extended-spectrum beta-lactamases producing extensively drug-resistant Salmonella Typhi in Punjab, Pakistan. J. Infect. Dev. Ctries. 2020, 14, 169–176. [Google Scholar]
- Karkey, A.; Thwaites, G.E.; Baker, S. The evolution of antimicrobial resistance in Salmonella Typhi. Curr. Opin. Gastroenterol. 2018, 34, 25–30. [Google Scholar] [CrossRef]
- Rasheed, M.K.; Hasan, S.S.; Babar, Z.U.D.; Ahmed, S.I. Extensively drug-resistant typhoid fever in Pakistan. Lancet Infect. Dis. 2019, 19, 242–243. [Google Scholar] [CrossRef]
- WHO. Joint External Evaluation of IHR Core Capacities of the Islamic Republic of Pakistan: Mission Report: 27 April–6 May 2016; World Health Organization: Geneva, Switzerland, 2016. [Google Scholar]
- Dalton, J. Typhoid Superbug in Pakistan Raises Fears of Global Antibiotic Failure. Independent. 2018. Available online: https://www.independent.co.uk/news/world/asia/typhoid-superbug-pakistan-global-antibiotic-failure-a8307836.html (accessed on 5 July 2021).
- National Institute of Health (NIH), Islamabad. Weekly Field Epidemiology Report. 2020, pp. 1–8. Available online: https://www.nih.org.pk/wp-content/uploads/2020/07/26-FELTP-Pakistan-Weekly-Epidemiological-Report-June-21-27-2020.pdf (accessed on 23 July 2020).
- Saeed, N.; Usman, M.; Khan, E.A. An overview of extensively drug-resistant Salmonella Typhi from a tertiary care hospital in Pakistan. Cureus 2019, 11, e5663. [Google Scholar] [CrossRef]
- François, L.K.W.; Winstead, A.; Appiah, G.D.; Friedman, C.R.; Medalla, F.; Hughes, M.J.; Birhane, M.G.; Schneider, Z.D.; Marcenac, P.; Hanna, S.S.; et al. Update on extensively drug-resistant Salmonella serotype Typhi infections among travelers to or from Pakistan and report of ceftriaxone-resistant Salmonella serotype Typhi infections among travelers to Iraq–United States, 2018–2019. Morb. Mortal. Wkly. Rep. 2020, 69, 618–622. [Google Scholar] [CrossRef]
- Sah, R.; Donovan, S.; Seth-Smith, H.M.; Bloemberg, G.; Wüthrich, D.; Stephan, R.; Kataria, S.; Kumar, M.; Singla, S.; Deswal, V. A novel lineage of ceftriaxone-resistant Salmonella Typhi from India that is closely related to XDR S. Typhi found in Pakistan. Clin. Infect. Dis. 2020, 71, 1327–1330. [Google Scholar] [CrossRef]
- Haqqi, A.; Khurram, M.; Din, M.S.U.; Aftab, M.N.; Ali, M.; Ahmed, H.; Afzal, M.S. COVID-19 and Salmonella Typhi co-epidemics in Pakistan: A real problem. J. Med. Virol. 2020, 93, 184–186. [Google Scholar] [CrossRef]
- Tewari, R.; Jamal, S.; Dudeja, M. Antimicrobial resistance pattern of Salmonella enterica serovars in Southern Delhi. Int. J. Commun. Med. Public Health 2015, 2, 254–258. [Google Scholar] [CrossRef][Green Version]
- Klemm, E.J.; Shakoor, S.; Page, A.J.; Qamar, F.N.; Judge, K.; Saeed, D.K.; Wong, V.K.; Dallman, T.J.; Nair, S.; Baker, S.; et al. Emergence of an extensively drug-resistant Salmonella enterica Serovar Typhi clone harboring a promiscuous plasmid encoding resistance to fluoroquinolones and third-generation cephalosporins. mBio 2018, 9, e00105–e00118. [Google Scholar] [CrossRef]
- Radhakrishnan, A.; Als, D.; Mintz, E.D.; Crump, J.A.; Stanaway, J.; Breiman, R.F.; Bhutta, Z.A. Introductory article on global burden and epidemiology of typhoid fever. Am. J. Trop. Med. Hyg. 2018, 99, 4–9. [Google Scholar] [CrossRef]
- Parry, C.M.; Basnyat, B.; Crump, J.A. The management of antimicrobial-resistant enteric fever. Expert Rev. Anti-Infect. Ther. 2013, 11, 1259–1261. [Google Scholar] [CrossRef]
- Procaccianti, M.; Motta, A.; Giordani, S.; Riscassi, S.; Guidi, B.; Ruffini, M.; Maffini, V.; Esposito, S.; Dodi, I. First case of typhoid fever due to extensively drug-resistant Salmonella enterica serovar Typhi in Italy. Pathogens 2020, 9, 151. [Google Scholar] [CrossRef]
- Amsalu, T.; Genet, C.; Siraj, Y.A. Salmonella Typhi and Salmonella Paratyphi prevalence, antimicrobial susceptibility profile and factors associated with enteric fever infection in Bahir Dar, Ethiopia. Sci. Rep. 2021, 11, 7359. [Google Scholar] [CrossRef]
- Hafeez, M.; Saleem, Z.; Bukhari, N.A.; Hussain, K.; Shamim, R.; Hussain, A.; Bukhari, N.I. Off-label antibiotic use in a specialized children care hospital in Punjab, Pakistan: Findings and implications. J. Infect. Dev. Ctries 2020, 14, 540–544. [Google Scholar] [CrossRef]
- Owais, A.; Sultana, S.; Zaman, U.; Rizvi, A.; Zaidi, A.K. Incidence of typhoid bacteremia in infants and young children in southern coastal Pakistan. Pediatr. Infect. Dis. J. 2010, 29, 1035–1039. [Google Scholar] [CrossRef]
- Abro, A.H.; Siddiqui, F.G.; Ahmad, S. Demographic and surgical evaluation of typhoid ileal perforation. J. Ayub Med. Coll. Abbottabad. 2012, 24, 87–89. [Google Scholar]
- Chatham-Stephens, K.; Medalla, F.; Hughes, M.; Appiah, G.D.; Aubert, R.D.; Caidi, H.; Angelo, K.M.; Walker, A.T.; Hatley, N.; Masani, S.; et al. Emergence of extensively drug-resistant Salmonella Typhi infections among travelers to or from Pakistan–United States, 2016–2018. Morb. Mortal. Wkly. Rep. 2019, 68, 11–13. [Google Scholar] [CrossRef]
- Morris, J.G., Jr.; Ferreccio, C.; Garcia, J.; Lobos, H.; Black, R.E.; Rodriguez, H.; Levine, M.M. Typhoid fever in Santiago, Chile: A study of household contacts of pediatric patients. Am. J. Trop. Med. Hyg. 1984, 33, 1198–1202. [Google Scholar] [CrossRef]
- Butler, T.; Islam, A.; Kabir, I.; Jones, P.K. Patterns of morbidity and mortality in typhoid fever dependent on age and gender: Review of 552 hospitalized patients with diarrhea. Rev. Infect. Dis. 1991, 13, 85–90. [Google Scholar] [CrossRef]
- Tran, H.H.; Bjune, G.; Nguyen, B.M.; Rottingen, J.A.; Grais, R.F.; Guerin, P.J. Risk factors associated with typhoid fever in Son La province, northern Vietnam. Trans. R. Soc. Trop. Med. Hyg. 2005, 99, 819–826. [Google Scholar] [CrossRef]
- Yousafzai, M.T.; Irfan, S.; Thobani, R.S.; Kazi, A.M.; Hotwani, A.; Memon, A.M.; Iqbal, K.; Qazi, S.H.; Saddal, N.S.; Rahman, N.; et al. Burden of culture confirmed enteric fever cases in Karachi, Pakistan: Surveillance for Enteric Fever in Asia Project (SEAP), 2016–2019. Clin. Infect. Dis. 2020, 71, S214–S221. [Google Scholar] [CrossRef]
- Karkey, A.; Arjyal, A.; Anders, K.L.; Boni, M.F.; Dongol, S.; Koirala, S.; My, P.V.; Nga, T.V.; Clements, A.C.; Holt, K.E.; et al. The burden and characteristics of enteric fever at a healthcare facility in a densely populated area of Kathmandu. PLoS ONE 2010, 5, e13988. [Google Scholar] [CrossRef]
- Ugboko, H.; De, N. Mechanisms of antibiotic resistance in Salmonella typhi. Int. J. Curr. Microbiol. Appl. Sci. 2014, 3, 461–476. [Google Scholar]
- Wain, J.; Nga, L.D.; Kidgell, C.; James, K.; Fortune, S.; Diep, T.S.; Ali, T.; Gaora, P.Ó.; Parry, C.; Parkhill, J.; et al. Molecular analysis of incHI1 antimicrobial resistance plasmids from Salmonella serovar Typhi strains associated with typhoid fever. Antimicrob. Agents Chemother. 2003, 47, 2732–2739. [Google Scholar] [CrossRef][Green Version]
- International Typhoid Consortium; Wong, V.K.; Holt, K.E.; Okoro, C.; Baker, S.; Pickard, D.J.; Marks, F.; Page, A.J.; Olanipekun, G.; Munir, H.; et al. Molecular surveillance identifies multiple transmissions of typhoid in West Africa. PLoS Negl. Trop. Dis. 2016, 10, e0004781. [Google Scholar]
- Klein, E.Y.; Van Boeckel, T.P.; Martinez, E.M.; Pant, S.; Gandra, S.; Levine, S.A.; Goossensh, H.; Laxminarayan, R. Global increase and geographic convergence in antibiotic consumption between 2000 and 2015. Proc. Natl. Acad. Sci. USA 2018, 115, E3463–E3470. [Google Scholar] [CrossRef]
- Fatima, G.; Kazmi, S.S.U.K.; Kainat, S. XDR/MDR Salmonella: An experience from a tertiary care hospital, Karachi, Pakistan. Int. J. Infect. Dis. 2020, 101 (Suppl. 1), 37. [Google Scholar] [CrossRef]
- Memon, A.; Ahmed, M.; Iqbal, K. Frequency and antimicrobial resistance pattern of extensive-drug resistance Salmonella typhi isolates. J. Microbiol. Infect. Dis. 2020, 10, 68–74. [Google Scholar] [CrossRef]
- Joshi, S.; Indian Network for Surveillance of Antimicrobial Resistance Group. Antibiogram of S. enterica serovar Typhi and S. enterica serovar Paratyphi A: A multi-centre study from India. WHO South East Asia J. Public Health 2012, 1, 182–188. [Google Scholar] [CrossRef]
- Al-Emran, H.M.; Eibach, D.; Krumkamp, R.; Ali, M.; Baker, S.; Biggs, H.M.; Bjerregaard-Andersen, M.; Breiman, R.F.; Clemens, J.D.; Crump, J.A.; et al. A multicountry molecular analysis of Salmonella enterica serovar Typhi with reduced susceptibility to ciprofloxacin in sub-Saharan Africa. Clin. Infect. Dis. 2016, 62 (Suppl. 1), S42–S46. [Google Scholar] [CrossRef]
- Britto, C.D.; Wong, V.K.; Dougan, G.; Pollard, A.J. A systematic review of antimicrobial resistance in Salmonella enterica serovar Typhi, the etiological agent of typhoid. PLoS Negl. Trop. Dis. 2018, 12, e0006779. [Google Scholar] [CrossRef]
- Rasheed, F.; Saeed, M.; Alikhan, N.-F.; Baker, D.; Khurshid, M.; Ainsworth, E.V.; Turner, A.K.; Imran, A.A.; Rasool, M.H.; Saqalein, M.; et al. Emergence of resistance to fluoroquinolones and third-generation cephalosporins in Salmonella Typhi in Lahore, Pakistan. Microorganisms 2020, 8, 1336. [Google Scholar] [CrossRef]
- Shah, S.A.A.; Nadeem, M.; Syed, S.A.; Abidi, S.T.F.; Khan, N.; Bano, N. Antimicrobial sensitivity pattern of Salmonella Typhi: Emergence of resistant strains. Cureus 2020, 12, e11778. [Google Scholar]
- Shin, E.; Park, J.; Jeong, H.J.; Park, A.K.; Na, K.; Lee, H.; Chun, J.-H.; Hwang, K.J.; Kim, C.-J.; Kim, J. Emerging high-level ciprofloxacin-resistant Salmonella enterica serovar typhi haplotype H58 in travelers returning to the Republic of Korea from India. PLoS Negl. Trop. Dis. 2021, 15, e0009170. [Google Scholar] [CrossRef] [PubMed]




| Antibiotic | Factors | ||||
|---|---|---|---|---|---|
| Age | Gender | Patient Location (Wards) | Patient Status (Ward/OPD) | Organism | |
| Co-amoxiclav | 0.08 | 0.886 | 0.008 | 0.004 | 0.000 |
| Ampicillin | 0.098 | 0.161 | 0.001 | 0.000 | 0.000 |
| Azithromycin | 0.751 | 0.105 | 0.508 | 0.486 | 0.467 |
| Chloramphenicol | 0.195 | 0.103 | 0.000 | 0.000 | 0.000 |
| Ceftazidime | 0.207 | 0.626 | 0.000 | 0.000 | 0.000 |
| Cefixime | 0.508 | 0.448 | 0.003 | 0.001 | 0.000 |
| Ciprofloxacin | 0.191 | 0.699 | 0.183 | 0.300 | 0.005 |
| Ceftriaxone | 0.200 | 0.545 | 0.000 | 0.000 | 0.000 |
| Imipenem | 0.665 | 0.254 | 0.249 | 0.228 | 0.325 |
| Meropenem | 0.532 | 0.214 | 0.154 | 0.240 | 0.487 |
| Cefoperazone/Sulbactam | 0.543 | 0.739 | 0.000 | 0.000 | 0.000 |
| Co-trimoxazole | 0.186 | 0.262 | 0.001 | 0.000 | 0.000 |
| Piperacillin/Tazobactam | 0.203 | 0.612 | 0.001 | 0.000 | 0.000 |
Publisher’s Note: MDPI stays neutral with regard to jurisdictional claims in published maps and institutional affiliations. |
© 2021 by the authors. Licensee MDPI, Basel, Switzerland. This article is an open access article distributed under the terms and conditions of the Creative Commons Attribution (CC BY) license (https://creativecommons.org/licenses/by/4.0/).
Share and Cite
Zakir, M.; Khan, M.; Umar, M.I.; Murtaza, G.; Ashraf, M.; Shamim, S. Emerging Trends of Multidrug-Resistant (MDR) and Extensively Drug-Resistant (XDR) Salmonella Typhi in a Tertiary Care Hospital of Lahore, Pakistan. Microorganisms 2021, 9, 2484. https://doi.org/10.3390/microorganisms9122484
Zakir M, Khan M, Umar MI, Murtaza G, Ashraf M, Shamim S. Emerging Trends of Multidrug-Resistant (MDR) and Extensively Drug-Resistant (XDR) Salmonella Typhi in a Tertiary Care Hospital of Lahore, Pakistan. Microorganisms. 2021; 9(12):2484. https://doi.org/10.3390/microorganisms9122484
Chicago/Turabian StyleZakir, Muhammad, Maryam Khan, Muhammad Ihtisham Umar, Ghulam Murtaza, Muhammad Ashraf, and Saba Shamim. 2021. "Emerging Trends of Multidrug-Resistant (MDR) and Extensively Drug-Resistant (XDR) Salmonella Typhi in a Tertiary Care Hospital of Lahore, Pakistan" Microorganisms 9, no. 12: 2484. https://doi.org/10.3390/microorganisms9122484
APA StyleZakir, M., Khan, M., Umar, M. I., Murtaza, G., Ashraf, M., & Shamim, S. (2021). Emerging Trends of Multidrug-Resistant (MDR) and Extensively Drug-Resistant (XDR) Salmonella Typhi in a Tertiary Care Hospital of Lahore, Pakistan. Microorganisms, 9(12), 2484. https://doi.org/10.3390/microorganisms9122484

