Relationship between Nitrogen Dynamics and Key Microbial Nitrogen-Cycling Genes in an Intensive Freshwater Aquaculture Pond
Abstract
1. Introduction
2. Materials and Methods
2.1. Site Description
2.2. Sample Collection
2.3. Physico-Chemical Parameter Analysis
2.4. Inorganic Nitrogen Fluxes and SPM Flux Calculation
2.5. Total DNA Extraction and Quantitative PCR
2.6. Statistical Analysis
3. Results
3.1. Physicochemical Characteristics of the Aquaculture Ponds
3.2. Inorganic Nitrogen Fluxes across the Sediment–Water Interface
3.3. Relationships between Environmental Factors in Fishponds
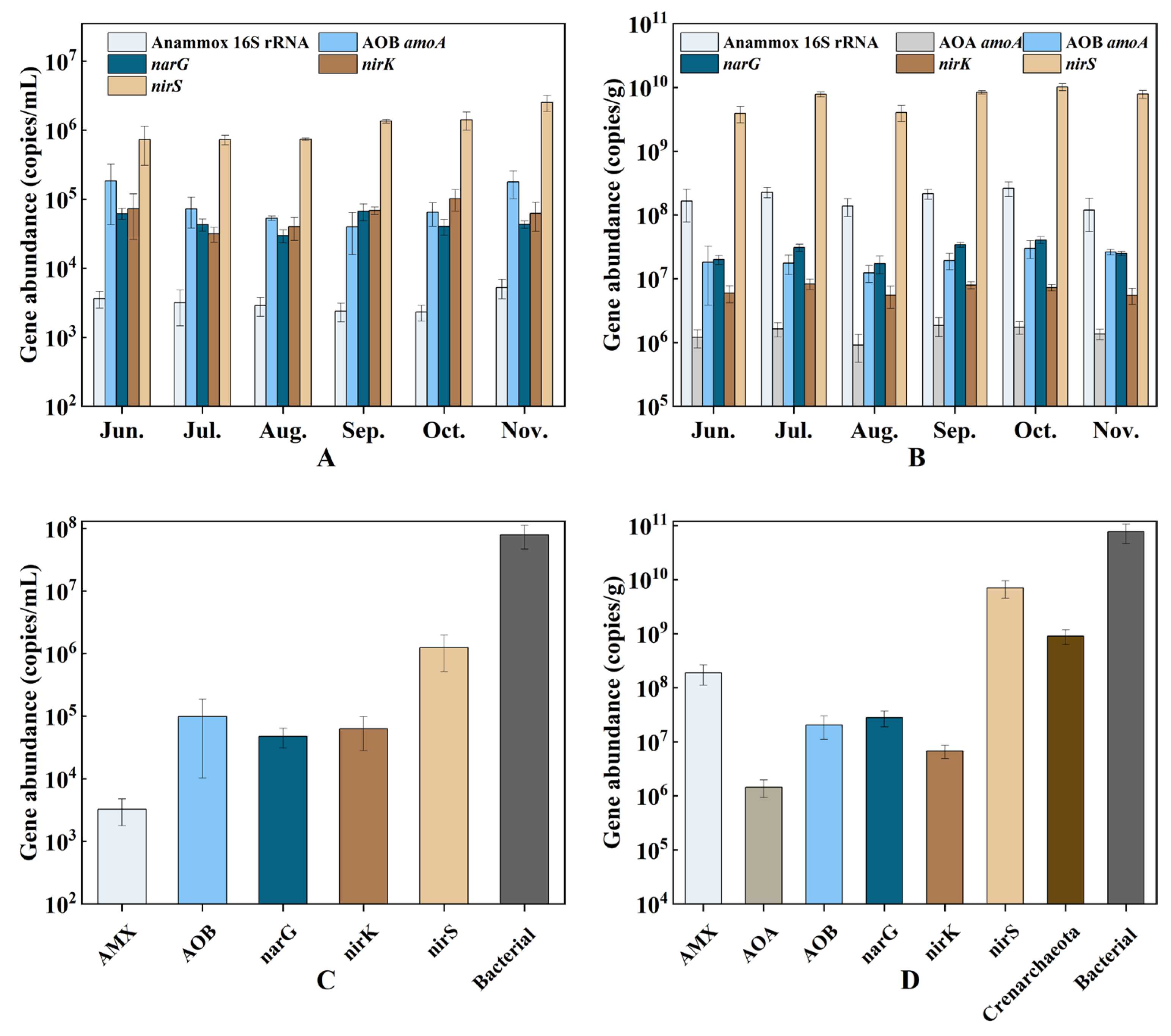
3.4. Variations in the Abundance of Functional Genes in Water and Sediment
3.5. Relationships between Functional Gene Abundance and Environmental Factors
4. Discussion
4.1. Distribution Characteristics of Nitrogen in Different Culture Periods
4.2. Distribution and Variation of Nitrogen Cycle Genes in Water and Sediment
4.3. Nitrogen Cycle Process Mediated by Functional Gene and Environmental Factors in Fishpond
4.4. Recommendations on Management of the Intensive Hybrid Snakehead Fish Farm
5. Conclusions
Supplementary Materials
Author Contributions
Funding
Data Availability Statement
Acknowledgments
Conflicts of Interest
References
- Ahmad, A.; Abdullah, S.R.S.; Hasan, H.A.; Othman, A.R.; Ismail, N.I. Aquaculture industry: Supply and demand, best practices, effluent and its current issues and treatment technology. J. Environ. Manag. 2021, 287, 112271. [Google Scholar] [CrossRef] [PubMed]
- Cao, L.; Wang, W.; Yang, Y.; Yang, C.; Yuan, Z.; Xiong, S.; Diana, J. Environmental impact of aquaculture and countermeasures to aquaculture pollution in China. Environ. Sci. Pollut. Res. Int. 2007, 14, 452–462. [Google Scholar] [PubMed]
- Nie, X.; Mubashar, M.; Zhang, S.; Qin, Y.; Zhang, X. Current progress, challenges and perspectives in microalgae-based nutrient removal for aquaculture waste: A comprehensive review. J. Clean. Prod. 2020, 277, 124209. [Google Scholar] [CrossRef]
- Li, X.; Meng, Q.; Xie, N. Snakehead Culture. Aquaculture in China: Success Stories and Modern Trends; Wiley: Hoboken, NJ, USA, 2018; pp. 246–255. [Google Scholar]
- Moriarty, J.M.; Harris, C.K.; Friedrichs, M.A.; Fennel, K.; Xu, K. Impact of seabed resuspension on oxygen and nitrogen dynamics in the northern Gulf of Mexico: A numerical modeling study. J. Geophys. Res. Ocean. 2018, 123, 7237–7263. [Google Scholar] [CrossRef]
- Lu, S.; Liao, M.; Xie, C.; He, X.; Li, D.; He, L.; Chen, J. Seasonal dynamics of ammonia-oxidizing microorganisms in freshwater aquaculture ponds. Ann. Microbiol. 2015, 65, 651–657. [Google Scholar] [CrossRef]
- Nair, R.R.; Boobal, R.; Vrinda, S.; Bright Singh, I.; Valsamma, J. Ammonia-oxidizing bacterial and archaeal communities in tropical bioaugmented zero water exchange shrimp production systems. J. Soils Sediments 2019, 19, 2126–2142. [Google Scholar] [CrossRef]
- Zhou, Z.; Li, H.; Song, C.; Cao, X.; Zhou, Y. Prevalence of ammonia-oxidizing bacteria over ammonia-oxidizing archaea in sediments as related to nutrient loading in Chinese aquaculture ponds. J. Soils Sediments 2017, 17, 1928–1938. [Google Scholar] [CrossRef]
- Wei, D.; Zeng, S.; Hou, D.; Zhou, R.; Xing, C.; Deng, X.; Yu, L.; Wang, H.; Deng, Z.; Weng, S. Community diversity and abundance of ammonia-oxidizing archaea and bacteria in shrimp pond sediment at different culture stages. J. Appl. Microbiol. 2021, 130, 1442–1455. [Google Scholar] [CrossRef]
- Chen, R.; Deng, M.; He, X.; Hou, J. Enhancing nitrate removal from freshwater pond by regulating carbon/nitrogen ratio. Front. Microbiol. 2017, 8, 1712. [Google Scholar] [CrossRef]
- Niu, S.; Zhang, K.; Li, Z.; Wang, G.; Li, H.; Xia, Y.; Tian, J.; Yu, E.; Gong, W.; Xie, J. Nitrification and denitrification processes in a zero-water exchange aquaculture system: Characteristics of the microbial community and potential rates. Front. Mar. Sci. 2023, 10, 720. [Google Scholar] [CrossRef]
- Nair, R.R.; Rangaswamy, B.; Sarojini, B.S.I.; Joseph, V. Anaerobic ammonia-oxidizing bacteria in tropical bioaugmented zero water exchange aquaculture ponds. Environ. Sci. Pollut. Res. 2020, 27, 10541–10552. [Google Scholar] [CrossRef] [PubMed]
- Liu, X.; Gao, M.; Wang, J.; Gu, Z.; Cheng, G.-f. Characteristics of denitrification and anammox in the sediment of an aquaculture pond. Front. Environ. Sci. 2022, 10, 2152. [Google Scholar] [CrossRef]
- Cheng, X.; Zeng, Y.; Guo, Z.; Zhu, L. Diffusion of nitrogen and phosphorus across the sediment-water interface and in seawater at aquaculture areas of Daya Bay, China. Int. J. Environ. Res. Public Health 2014, 11, 1557–1572. [Google Scholar] [CrossRef]
- Wang, Y.; Ji, Z.; Li, X.; Long, Z.; Pei, Y. Comprehensive analysis of the migration and transformation of nutrients between sediment and overlying water in complex habitat systems. Sci. Total Environ. 2022, 852, 158433. [Google Scholar] [CrossRef]
- Petranich, E.; Covelli, S.; Acquavita, A.; De Vittor, C.; Faganeli, J.; Contin, M. Benthic nutrient cycling at the sediment-water interface in a lagoon fish farming system (northern Adriatic Sea, Italy). Sci. Total Environ. 2018, 644, 137–149. [Google Scholar] [CrossRef] [PubMed]
- Zhong, D.; Wang, F.; Dong, S.; Khairnar, S.O. Benthic nutrient fluxes influenced by the common carp Cyprinus carpio in pond polyculture with special reference to nitrification, denitrification and nitrate ammonification. Indian J. Fish 2015, 62, 50–57. [Google Scholar]
- Williams, J.; Humphery, J.; Hardcastle, P.; Wilson, D. Field observations of hydrodynamic conditions and suspended particulate matter in the southern North Sea. Cont. Shelf Res. 1998, 18, 1215–1233. [Google Scholar] [CrossRef]
- Xia, X.; Jia, Z.; Liu, T.; Zhang, S.; Zhang, L. Coupled nitrification-denitrification caused by suspended sediment (SPS) in rivers: Importance of SPS size and composition. Environ. Sci. Technol. 2017, 51, 212–221. [Google Scholar] [CrossRef]
- Covelli, S.; Faganeli, J.; De Vittor, C.; Predonzani, S.; Acquavita, A.; Horvat, M. Benthic fluxes of mercury species in a lagoon environment (Grado Lagoon, Northern Adriatic Sea, Italy). Appl. Geochem. 2008, 23, 529–546. [Google Scholar] [CrossRef]
- Pápista, É.; Ács, É.; Böddi, B. Chlorophyll-a determination with ethanol–a critical test. Hydrobiologia 2002, 485, 191–198. [Google Scholar] [CrossRef]
- Ministry of Environmental Protection of China. Monitoring and Analysis Methods for Water and Wastewater; China Environmental Science Press: Beijing, China, 2002; pp. 232–235.
- Jin, X.; Tu, Q. The Standard Methods in Lake Eutrophication Investigation, 2nd ed.; China Environmental Science Press: Beijing, China, 1990. [Google Scholar]
- Zhang, Z.; Lv, Y.; Zhang, W.; Zhang, Y.; Sun, C.; Marhaba, T. Phosphorus, organic matter and nitrogen distribution characteristics of the surface sediments in Nansi Lake, China. Environ. Earth Sci. 2015, 73, 5669–5675. [Google Scholar] [CrossRef]
- Serpa, D.; Falcão, M.; Pousão-Ferreira, P.; Vicente, M.; Carvalho, S. Geochemical changes in white seabream (Diplodus sargus) earth ponds during a production cycle. Aquacult. Res. 2007, 38, 1619–1626. [Google Scholar] [CrossRef]
- Ren, Y.; Dong, S.; Wang, F.; Gao, Q.; Tian, X.; Liu, F. Sedimentation and sediment characteristics in sea cucumber Apostichopus japonicus (Selenka) culture ponds. Aquacult. Res. 2010, 42, 14–21. [Google Scholar] [CrossRef]
- Schumann, M.; Brinker, A. Understanding and managing suspended solids in intensive salmonid aquaculture: A review. Rev. Aquacult. 2020, 12, 2109–2139. [Google Scholar] [CrossRef]
- Jiménez-Montealegre, R.; Verdegem, M.; Zamora, J.E.; Verreth, J. Organic matter sedimentation and resuspension in tilapia (Oreochromis niloticus) ponds during a production cycle. Aquacult. Eng. 2002, 26, 1–12. [Google Scholar] [CrossRef]
- Zheng, X.; Zhang, K.; Yang, T.; He, Z.; Shu, L.; Xiao, F.; Wu, Y.; Wang, B.; Yu, H.; Yan, Q. Sediment resuspension drives protist metacommunity structure and assembly in grass carp (Ctenopharyngodon idella) aquaculture ponds. Sci. Total Environ. 2021, 764, 142840. [Google Scholar] [CrossRef]
- Elser, J.J.; Andersen, T.; Baron, J.S.; Bergström, A.-K.; Jansson, M.; Kyle, M.; Nydick, K.R.; Steger, L.; Hessen, D.O. Shifts in lake N: P stoichiometry and nutrient limitation driven by atmospheric nitrogen deposition. Science 2009, 326, 835–837. [Google Scholar] [CrossRef]
- Kadir, A.; Kundu, R.; Milstein, A.; Wahab, M. Effects of silver carp and small indigenous species on pond ecology and carp polycultures in Bangladesh. Aquaculture 2006, 261, 1065–1076. [Google Scholar] [CrossRef]
- Zhu, L.; Shi, W.; Zhou, J.; Yu, J.; Kong, L.; Qin, B. Strong turbulence accelerates sediment nitrification-denitrification for nitrogen loss in shallow lakes. Sci. Total Environ. 2021, 761, 143210. [Google Scholar] [CrossRef]
- Seiki, T.; Izawa, H.; Date, E. Benthic nutrient remineralization and oxygen consumption in the coastal area of Hiroshima Bay. Water Res. 1989, 23, 219–228. [Google Scholar] [CrossRef]
- Xu, S.; Lu, J.; Chen, L.; Luo, W.; Zhu, S. Experiment on Sediment Ammonia Nitrogen Release of Chaohu Lake in Varying Hydrodynamic Disturbance. Sustainability 2023, 15, 1581. [Google Scholar] [CrossRef]
- Lu, S.; Liu, X.; Liu, C.; Cheng, G.; Shen, H. Influence of photoinhibition on nitrification by ammonia-oxidizing microorganisms in aquatic ecosystems. Rev. Environ. Sci. Bio/Technol. 2020, 19, 531–542. [Google Scholar] [CrossRef]
- Wu, D.; Cheng, M.; Zhao, S.; Peng, N.; Hu, R.; Hu, J.; Liang, Y. Algal growth enhances light-mediated limitation of bacterial nitrification in an aquaculture system. Water Air Soil Pollut. 2020, 231, 1–9. [Google Scholar] [CrossRef]
- Lu, S.; Liu, X.; Ma, Z.; Liu, Q.; Wu, Z.; Zeng, X.; Shi, X.; Gu, Z. Vertical segregation and phylogenetic characterization of ammonia-oxidizing bacteria and archaea in the sediment of a freshwater aquaculture pond. Front. Microbiol. 2016, 6, 1539. [Google Scholar] [CrossRef]
- Bouskill, N.J.; Eveillard, D.; Chien, D.; Jayakumar, A.; Ward, B.B. Environmental factors determining ammonia-oxidizing organism distribution and diversity in marine environments. Environ. Microbiol. 2012, 14, 714–729. [Google Scholar] [CrossRef]
- Fu, B.; Liu, J.; Yang, H.; Hsu, T.C.; He, B.; Dai, M.; Kao, S.J.; Zhao, M.; Zhang, X.H. Shift of anammox bacterial community structure along the P earl E stuary and the impact of environmental factors. J. Geophys. Res. Ocean. 2015, 120, 2869–2883. [Google Scholar] [CrossRef]
- Shen, L.-D.; Wu, H.-S.; Gao, Z.-Q.; Ruan, Y.-J.; Xu, X.-H.; Li, J.; Ma, S.-J.; Zheng, P.-H. Evidence for anaerobic ammonium oxidation process in freshwater sediments of aquaculture ponds. Environ. Sci. Pollut. Res. 2016, 23, 1344–1352. [Google Scholar] [CrossRef]
- Dong, L.F.; Smith, C.J.; Papaspyrou, S.; Stott, A.; Osborn, A.M.; Nedwell, D.B. Changes in benthic denitrification, nitrate ammonification, and anammox process rates and nitrate and nitrite reductase gene abundances along an estuarine nutrient gradient (the Colne Estuary, United Kingdom). Appl. Environ. Microbiol. 2009, 75, 3171–3179. [Google Scholar] [CrossRef] [PubMed]
- Zhu, W.; Wang, C.; Hill, J.; He, Y.; Tao, B.; Mao, Z.; Wu, W. A missing link in the estuarine nitrogen cycle? Coupled nitrification-denitrification mediated by suspended particulate matter. Sci. Rep. 2018, 8, 2282. [Google Scholar]
- Ming, H.; Fan, J.; Chen, Q.; Su, J.; Song, J.; Yuan, J.; Shi, T.; Li, B. Diversity and abundance of denitrifying bacteria in the sediment of a eutrophic estuary. Geomicrobiol. J. 2021, 38, 199–209. [Google Scholar] [CrossRef]
- Liu, T.; Xia, X.; Liu, S.; Mou, X.; Qiu, Y. Acceleration of denitrification in turbid rivers due to denitrification occurring on suspended sediment in oxic waters. Environ. Sci. Technol. 2013, 47, 4053–4061. [Google Scholar] [CrossRef] [PubMed]
- Yao, X.; Zhang, L.; Zhang, Y.; Xu, H.; Jiang, X. Denitrification occurring on suspended sediment in a large, shallow, subtropical lake (Poyang Lake, China). Environ. Pollut. 2016, 219, 501–511. [Google Scholar] [CrossRef] [PubMed]
- Song, H.; Xu, J.; Lavoie, M.; Fan, X.; Liu, G.; Sun, L.; Fu, Z.; Qian, H. Biological and chemical factors driving the temporal distribution of cyanobacteria and heterotrophic bacteria in a eutrophic lake (West Lake, China). Appl. Microbiol. Biotechnol. 2017, 101, 1685–1696. [Google Scholar] [CrossRef] [PubMed]
- Qian, H.; Lu, T.; Song, H.; Lavoie, M.; Xu, J.; Fan, X.; Pan, X. Spatial variability of cyanobacteria and heterotrophic bacteria in Lake Taihu (China). Bull. Environ. Contam. Toxicol. 2017, 99, 380–384. [Google Scholar] [CrossRef] [PubMed]
- Zhang, W.; Gao, Y.; Yi, N.; Wang, C.; Di, P.; Yan, S. Variations in abundance and community composition of denitrifying bacteria during a cyanobacterial bloom in a eutrophic shallow lake in China. J. Freshwater Ecol. 2017, 32, 467–476. [Google Scholar] [CrossRef]
- Poulson, S.R.; Sullivan, A.B. Assessment of diel chemical and isotopic techniques to investigate biogeochemical cycles in the upper Klamath River, Oregon, USA. Chem. Geol. 2010, 269, 3–11. [Google Scholar] [CrossRef]
- Chen, X.; Jiang, H.; Sun, X.; Zhu, Y.; Yang, L. Nitrification and denitrification by algae-attached and free-living microorganisms during a cyanobacterial bloom in Lake Taihu, a shallow Eutrophic Lake in China. Biogeochemistry 2016, 131, 135–146. [Google Scholar] [CrossRef]
- Xu, L.; Zhang, B.; Peng, X.; Zhang, X.; Sun, B.; Sun, H.; Jiang, C.; Zhou, S.; Zeng, X.; Bai, Z. Dynamic variations of microbial community structure in Myriophyllum aquaticum constructed wetlands in response to different NH4+-N concentrations. Process Biochem. 2020, 93, 55–62. [Google Scholar] [CrossRef]
- She, Y.; Qi, X.; Xin, X.; He, Y.; Wang, W.; Li, Z. Insights into microbial interactive mechanism regulating dissimilatory nitrate reduction processes in riparian freshwater aquaculture sediments. Environ. Res. 2023, 216, 114593. [Google Scholar] [CrossRef]
- Han, D.; Hu, Z.; Li, D.; Tang, R. Nitrogen Removal of Water and Sediment in Grass Carp Aquaculture Ponds by Mixed Nitrifying and Denitrifying Bacteria and Its Effects on Bacterial Community. Water 2022, 14, 1855. [Google Scholar] [CrossRef]
- Yokoyama, H. Monitoring, assessment and management of fish farm environments in Japan. Rev. Aquacult. 2010, 2, 154–165. [Google Scholar] [CrossRef]





| Functional Gene | Primer Name | Sequence (5′ to 3′) | Thermal Profile |
|---|---|---|---|
| AOA amoA | Arch-amoAF | STAATGGTCTGGCTTAGACG | 95 °C for 5 min × 1 cycle; 95 °C for 15 s, 60 °C for 30 s, with a touchdown of −1 °C by cycle, 72 °C for 40 s × 6 cycles; 95 °C for 15 s, 55 °C for 30 s, 72 °C for 40 s × 40 cycles. |
| Arch-amoAR | GCGGCCATCCATCTGTATGT | ||
| AOB amoA | amoA1F | GGGGTTTCTACTGGTGGT | 95 °C for 5 min × 1 cycle; 95 °C for 15 s, 54 °C for 30 s, 72 °C for 40 s × 40 cycles. |
| amoA2R | CCCCTCKGSAAAGCCTTCTTC | ||
| narG | narG 1960m2f | TAYGTSGGGCAGGARAAACTG | 95 °C for 5 min × 1 cycle; 95 °C for 15 s, 63 °C for 30 s, with a touchdown of −1 °C by cycle, 72 °C for 40 s × 6 cycles; 95 °C for 15 s, 58 °C for 30 s, 72 °C for 40 s × 35 cycles. |
| narG 2050m2r | CGTAGAAGAAGCTGGTGCTGTT | ||
| nirS | nirS1F | CCTAYTGGCCGCCRCART | 95 °C for 5 min × 1 cycle; 95 °C for 15 s, 64 °C for 50 s × 40 cycles. |
| nirS3R | GCCGCCGTCRTGVAGGAA | ||
| nirK | F1aCu | ATCATGGTSCTGCCGCG | 95 °C for 5 min × 1 cycle; 95 °C for 15 s, 63 °C for 30 s, with a touchdown of −1 °C by cycle, 72 °C for 40 s × 6 cycles; 95 °C for 15 s, 58 °C for 30 s, 72 °C for 40 s × 35 cycles. |
| R3Cu | GCCTCGATCAGRTTGTGGTT | ||
| anammox bacterial 16S rRNA | AMX808F | ARCYGTAAACGATGGGCACTAA | 95 °C for 5 min × 1 cycle; 95 °C for 15 s, 54 °C for 30 s, 72 °C for 30 s × 40 cycles. |
| AMX1040R | CAGCCATGCAACACCTGTRATA | ||
| bacterial 16S rRNA | 1055f | ATGGCTGTCGTCAGCT | 95 °C for 5 min × 1 cycle; 95 °C for 15 s, 54 °C for 30 s, 72 °C for 30 s × 35 cycles. |
| 1392r | ACGGGCGGTGTGTAC | ||
| Crenarchaeota 16S rRNA | 771F | ACGGTGAGGGATGAAAGCT | 95 °C for 5 min × 1 cycle; 95 °C for 15 s, 54 °C for 30 s, 72 °C for 30 s × 40 cycles. |
| 957R | CGGCGTTGACTCCAATTG |
| Target Gene | Standard Curve | R2 | Efficiency % |
|---|---|---|---|
| AOA amoA | Y = −3.71X + 34.89 | 0.999 | 86 |
| AOB amoA | Y = −3.48X + 36.66 | 0.998 | 94 |
| narG | Y = −3.66X + 33.93 | 0.999 | 87 |
| nirS | Y = −3.68X + 39.63 | 0.999 | 87 |
| nirK | Y = −3.16X + 30.37 | 0.997 | 107 |
| anammox bacterial 16S rRNA | Y = −3.27X + 35.07 | 0.999 | 102 |
| bacterial 16S rRNA | Y = −3.34X + 38.55 | 0.993 | 99 |
| Crenarchaeota 16S rRNA | Y = −4.09X + 44.36 | 0.999 | 76 |
| June | July | August | September | October | November | |
|---|---|---|---|---|---|---|
| pH | 8.3 ± 0.2 a | 8.1 ± 0.1 b | 7.6 ± 0.1 c | 7.67 ± 0.2 c | 7.4 ± 0.1 d | 7.3 ± 0.1 d |
| DO (mg/L) | 4.5 ± 0.8 ab | 4.8 ± 1.5 a | 4.1 ± 1.8 ab | 3.5 ± 1.7 ab | 4.5 ± 1.2 a | 3.1 ± 1.2 b |
| T (°C) | 28.8 ± 0.7 d | 31.6 ± 0.6 a | 30.9 ± 0.3 b | 30.8 ± 0.5 b | 29.5 ± 1 c | 29.6 ± 0.6 c |
| SD (cm) | 37 ± 4 a | 28 ± 4 b | 21 ± 4 c | 23 ± 2 c | 18 ± 2 d | 17 ± 1 d |
| TNW (mg/L) | 10.38 ± 3.53 d | 12.78 ± 3.27 d | 19.44 ± 10.51 c | 30.55 ± 3.82 b | 36.94 ± 3.52 a | 33.89 ± 7.01 ab |
| NH4+-N (mg/L) | 6.72 ± 4.65 a | 2.64 ± 1.99 b | 2.07 ± 1.62 b | 9.87 ± 5.79 a | 8.28 ± 6.37 a | 2.47 ± 1.73 b |
| NO2−-N (mg/L) | 0.59 ± 0.23 c | 0.81 ± 0.25 c | 2.61 ± 2.1 b | 5.97 ± 2.63 a | 2.97 ± 1.1 b | 1.74 ± 0.48 bc |
| NO3−-N (mg/L) | 2.6 ± 1.64 e | 6.06 ± 4.56 de | 11.92 ± 8.09 c | 10.44 ± 3.44 cd | 17.76 ± 4.73 b | 24.34 ± 5.14 a |
| TPW (mg/L) | 2.7 ± 0.31 b | 2.88 ± 0.25 b | 3.11 ± 0.36 b | 3.94 ± 0.77 a | 3.98 ± 0.9 a | 2.61 ± 0.34 b |
| PO43− (mg/L) | 2.34 ± 0.2 b | 2.34 ± 0.3 b | 2.37 ± 0.12 b | 2.78 ± 0.66 a | 2.37 ± 0.12 b | 1.01 ± 0.53 c |
| Chl-a (mg/m3) | 50.7 ± 25.12 e | 131.07 ± 78.12 d | 215.41 ± 61.5 c | 277.74 ± 43.92 b | 411.73 ± 59.54 a | 237.69 ± 42.25 bc |
| TNS (mg/g) | 3.42 ± 0.25 e | 3.9 ± 0.24 d | 3.96 ± 0.26 d | 4.5 ± 0.51 c | 5.22 ± 0.24 b | 6 ± 0.5 a |
| TPS (mg/g) | 3.99 ± 0.26 c | 4.91 ± 0.71 bc | 4.07 ± 0.71 c | 5.59 ± 0.96 ab | 6.08 ± 1.43 a | 4.86 ± 1.22 bc |
| O-pH | 7.9 ± 0.1 a | 7.9 ± 0.2 ab | 7.7 ± 0.1 bc | 7.6 ± 0.3 c | 7.8 ± 0.08 abc | 7.3 ± 0.3 d |
| O-DO (mg/L) | 4.2 ± 1.7 a | 2.01 ± 0.3 bc | 2.3 ± 1.1 bc | 2.9 ± 0.4 b | 2.7 ± 0.5 b | 1.6 ± 0.2 c |
| O-T (°C) | 29.0 ± 0.4 b | 30.8 ± 0.3 a | 30.9 ± 0.3 a | 31.1 ± 0.1 a | 29.3 ± 0.8 b | 28.8 ± 0.8 b |
| O-NH4+-N (mg/L) | 6.51 ± 4.25 ab | 1.57 ± 1.22 c | 2.72 ± 1.36 bc | 9.44 ± 5.74 a | 8.13 ± 6.09 a | 4.97 ± 5.03 abc |
| O-NO2−-N (mg/L) | 0.68 ± 0.55 c | 0.89 ± 0.18 c | 2.57 ± 2.06 b | 6.08 ± 2.92 a | 2.56 ± 1.46 b | 1.72 ± 0.32 bc |
| O-NO3−-N (mg/L) | 2.45 ± 2.13 d | 5.82 ± 3.97 cd | 11.06 ± 7.02 c | 10.09 ± 3.33 c | 17 ± 5.73 b | 29.31 ± 7.41 a |
| feed ration (Kg/month) | 3756 ± 1464 d | 12,245 ± 2230 c | 13,568 ± 3444 c | 17,467 ± 3924 b | 21,087 ± 2981 a | 20,347 ± 2042 a |
| fish biomass (g/m3) | 444 ± 252 f | 1354 ± 410 e | 2286 ± 518 d | 3062 ± 883 c | 4801 ± 980 b | 5973 ± 1149 a |
| Non-Standardized Coefficients | Standardized Coefficients | t | p | VIF | ||
|---|---|---|---|---|---|---|
| B | Standard Errors | Beta | ||||
| intercept | −150.768 | 153.733 | - | −0.981 | 0.331 | - |
| feed ration | 0.009 | 0.012 | 0.061 | 0.769 | 0.445 | 1.198 |
| Chl-a | 0.689 | 0.609 | 0.090 | 1.130 | 0.264 | 1.209 |
| fish biomass | 0.309 | 0.037 | 0.665 | 8.342 | 0.000 ** | 1.206 |
| R2 | 0.736 | |||||
| adjusted R2 | 0.720 | |||||
| F | F (3,50) = 46.527, p = 0.000 | |||||
Disclaimer/Publisher’s Note: The statements, opinions and data contained in all publications are solely those of the individual author(s) and contributor(s) and not of MDPI and/or the editor(s). MDPI and/or the editor(s) disclaim responsibility for any injury to people or property resulting from any ideas, methods, instructions or products referred to in the content. |
© 2024 by the authors. Licensee MDPI, Basel, Switzerland. This article is an open access article distributed under the terms and conditions of the Creative Commons Attribution (CC BY) license (https://creativecommons.org/licenses/by/4.0/).
Share and Cite
Yan, Y.; Zhou, J.; Du, C.; Yang, Q.; Huang, J.; Wang, Z.; Xu, J.; Zhang, M. Relationship between Nitrogen Dynamics and Key Microbial Nitrogen-Cycling Genes in an Intensive Freshwater Aquaculture Pond. Microorganisms 2024, 12, 266. https://doi.org/10.3390/microorganisms12020266
Yan Y, Zhou J, Du C, Yang Q, Huang J, Wang Z, Xu J, Zhang M. Relationship between Nitrogen Dynamics and Key Microbial Nitrogen-Cycling Genes in an Intensive Freshwater Aquaculture Pond. Microorganisms. 2024; 12(2):266. https://doi.org/10.3390/microorganisms12020266
Chicago/Turabian StyleYan, Yifeng, Junbo Zhou, Chenghao Du, Qian Yang, Jinhe Huang, Zhaolei Wang, Jun Xu, and Min Zhang. 2024. "Relationship between Nitrogen Dynamics and Key Microbial Nitrogen-Cycling Genes in an Intensive Freshwater Aquaculture Pond" Microorganisms 12, no. 2: 266. https://doi.org/10.3390/microorganisms12020266
APA StyleYan, Y., Zhou, J., Du, C., Yang, Q., Huang, J., Wang, Z., Xu, J., & Zhang, M. (2024). Relationship between Nitrogen Dynamics and Key Microbial Nitrogen-Cycling Genes in an Intensive Freshwater Aquaculture Pond. Microorganisms, 12(2), 266. https://doi.org/10.3390/microorganisms12020266

