In Vitro Preventive Effect and Mechanism of Action of Weissella cibaria CMU against Streptococcus mutans Biofilm Formation and Periodontal Pathogens
Abstract
1. Introduction
2. Materials and Methods
2.1. Bacterial Strains and Growth Conditions
2.2. Evaluation of Oral Probiotics on S. mutans Biofilm Formation
2.2.1. Effects of Oral Probiotics on S. mutans Biofilm Formation on Orthodontic Wires
2.2.2. Effects of Oral Probiotics on S. mutans Biofilm Formation on Artificial Teeth
2.3. Evaluation of Oral Probiotic Antagonism against Oral Pathogens
2.4. Evaluation of Oral Probiotic Efficacy in Preventing the Impact of Periodontal Pathogens
2.4.1. Antioxidant Assay
2.4.2. Human Gingival Fibroblast Culture
2.4.3. Bacterial Challenge
2.4.4. Reverse Transcription (RT)-Quantitative Polymerase Chain Reaction (qPCR)
2.4.5. ELISA Analysis
2.4.6. Cell Viability Assay
2.5. Statistical Analysis
3. Results
3.1. In Vitro Beneficial Effects of Oral Probiotics on S. mutans Biofilm Formation
3.1.1. Antibiofilm Activity against S. mutans on Orthodontic Wires
3.1.2. Antibiofilm Activity against S. mutans on Artificial Teeth
3.2. Antibacterial Activity against S. mutans and P. gingivalis
3.3. In Vitro Beneficial Effects of Oral Probiotics against the Impact of Periodontal Pathogens
3.3.1. Antioxidant Activity
3.3.2. Cytotoxic Effects of Oral Probiotics on HGFs
3.3.3. Inhibitory Effect of W. cibaria on Periodontopathogen-Induced Pro-Inflammatory Cytokine Expression
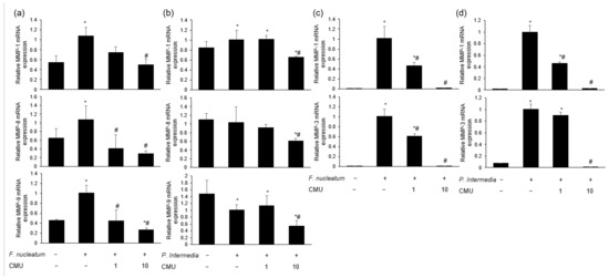
3.3.4. Inhibitory Effect of W. cibaria on Periodontopathogen-Induced MMP Expression
3.3.5. Immunomodulatory Mechanisms of W. cibaria
4. Discussion
5. Conclusions
Supplementary Materials
Author Contributions
Funding
Institutional Review Board Statement
Informed Consent Statement
Data Availability Statement
Conflicts of Interest
References
- Kassebaum, N.J.; Bernabé, E.; Dahiya, M.; Bhandari, B.; Murray, C.J.; Marcenes, W. Global burden of untreated caries: A systematic review and metaregression. J. Dent. Res. 2015, 94, 650–658. [Google Scholar] [CrossRef] [PubMed]
- Kassebaum, N.J.; Bernabé, E.; Dahiya, M.; Bhandari, B.; Murray, C.J.; Marcenes, W. Global burden of severe periodontitis in 1990–2010: A systematic review and meta-regression. J. Dent. Res. 2014, 93, 1045–1053. [Google Scholar] [CrossRef] [PubMed]
- Wolf, T.G.; Cagetti, M.G.; Fisher, J.M.; Seeberger, G.K.; Campus, G. Non-communicable diseases and oral health: An overview. Front. Oral Health 2021, 2, 725460. [Google Scholar] [CrossRef] [PubMed]
- Butera, A.; Maiorani, C.; Morandini, A.; Simonini, M.; Morittu, S.; Trombini, J.; Scribante, A. Evaluation of children caries risk factors: A narrative review of nutritional aspects, oral hygiene habits, and bacterial alterations. Children 2022, 9, 262. [Google Scholar] [CrossRef]
- Lemos, J.A.; Palmer, S.R.; Zeng, L.; Wen, Z.T.; Kajfasz, J.K.; Freires, I.A.; Abranches, J.; Brady, L.J. The Biology of Streptococcus mutans. Microbiol. Spectr. 2019, 7. [Google Scholar] [CrossRef]
- Kinane, D.F. Causation and pathogenesis of periodontal disease. Periodontology 2000 2001, 25, 8–20. [Google Scholar] [CrossRef]
- Riep, B.; Edesi-Neuss, L.; Claessen, F.; Skarabis, H.; Ehmke, B.; Flemmig, T.F.; Bernimoulin, J.P.; Göbel, U.B.; Moter, A. Are putative periodontal pathogens reliable diagnostic markers? J. Clin. Microbiol. 2009, 47, 1705–1711. [Google Scholar] [CrossRef]
- Socransky, S.S.; Haffajee, A.D. Evidence of bacterial etiology: A historical perspective. Periodontology 2000 1994, 5, 7–25. [Google Scholar] [CrossRef]
- Bodet, C.; Chandad, F.; Grenier, D. Inflammatory responses of a macrophage/epithelial cell co-culture model to mono and mixed infections with Porphyromonas gingivalis, Treponema denticola, and Tannerella forsythia. Microbes Infect. 2006, 8, 27–35. [Google Scholar] [CrossRef]
- Hoare, A.; Soto, C.; Rojas-Celis, V.; Bravo, D. Chronic inflammation as a link between periodontitis and carcinogenesis. Mediat. Inflamm. 2019, 2019, 1029857. [Google Scholar] [CrossRef]
- Leite, F.R.M.; Nascimento, G.G.; Møller, H.J.; Belibasakis, G.N.; Bostanci, N.; Smith, P.C.; López, R. Cytokine profiles and the dynamic of gingivitis development in humans. J. Clin. Periodontol. 2022, 49, 67–75. [Google Scholar] [CrossRef]
- Gürkan, A.; Emingil, G.; Saygan, B.H.; Atilla, G.; Cinarcik, S.; Köse, T.; Berdeli, A. Matrix metalloproteinase-2, -9, and -12 gene polymorphisms in generalized aggressive periodontitis. J. Periodontol. 2007, 78, 2338–2347. [Google Scholar] [CrossRef] [PubMed]
- Loo, W.T.; Wang, M.; Jin, L.J.; Cheung, M.N.; Li, G.R. Association of matrix metalloproteinase (MMP-1, MMP-3 and MMP-9) and cyclooxygenase-2 gene polymorphisms and their proteins with chronic periodontitis. Arch. Oral. Biol. 2011, 56, 1081–1090. [Google Scholar] [CrossRef]
- Domeij, H.; Yucel-Lindberg, T.; Modéer, T. Signal pathways involved in the production of MMP-1 and MMP-3 in human gingival fibroblasts. Eur. J. Oral Sci. 2002, 110, 302–306. [Google Scholar] [CrossRef] [PubMed]
- Bollen, C.M.; Quirynen, M. Microbiological response to mechanical treatment in combination with adjunctive therapy. A review of the literature. J. Periodontol. 1996, 67, 1143–1158. [Google Scholar] [CrossRef]
- Page, R.C. The microbiological case for adjunctive therapy for periodontitis. J. Int. Acad. Periodontol. 2004, 6, 143–149. [Google Scholar] [PubMed]
- Sanders, W.E., Jr. Efficacy, safety, and potential economic benefits of oral ciprofloxacin in the treatment of infections. Rev. Infect. Dis. 1988, 10, 528–543. [Google Scholar] [CrossRef]
- Heelan, J.S.; Hasenbein, M.E.; McAdam, A.J. Resistance of group B streptococcus to selected antibiotics, including erythromycin and clindamycin. J. Clin. Microbiol. 2004, 42, 1263–1264. [Google Scholar] [CrossRef] [PubMed]
- Aliabadi, T.; Saberi, E.A.; Tabatabaei, A.M.; Tahmasebi, E. Antibiotic use in endodontic treatment during pregnancy: A narrative review. Eur. J. Transl. Myol. 2022, 32, 10813. [Google Scholar] [CrossRef]
- Devine, D.A.; Marsh, P.D.; Meade, J. Modulation of host responses by oral commensal bacteria. J. Oral. Microbiol. 2015, 7, 26941. [Google Scholar] [CrossRef]
- Jansen, P.M.; Abdelbary, M.M.H.; Conrads, G. A concerted probiotic activity to inhibit periodontitis-associated bacteria. PLoS ONE 2021, 16, e0248308. [Google Scholar] [CrossRef] [PubMed]
- Zhang, Y.; Ding, Y.; Guo, Q. Probiotic species in the management of periodontal diseases: An overview. Front. Cell Infect. Microbiol. 2022, 12, 806463. [Google Scholar] [CrossRef] [PubMed]
- Söderling, E.M.; Marttinen, A.M.; Haukioja, A.L. Probiotic lactobacilli interfere with Streptococcus mutans biofilm formation in vitro. Curr. Microbiol. 2011, 62, 618–622. [Google Scholar] [CrossRef] [PubMed]
- Kang, M.S.; Oh, J.S.; Lee, H.C.; Lim, H.S.; Lee, S.W.; Yang, K.H.; Choi, N.K.; Kim, S.M. Inhibitory effect of Lactobacillus reuteri on periodontopathic and cariogenic bacteria. J. Microbiol. 2011, 49, 193–199. [Google Scholar] [CrossRef] [PubMed]
- Szkaradkiewicz, A.K.; Stopa, J.; Karpiński, T.M. Effect of oral administration involving a probiotic strain of Lactobacillus reuteri on pro-inflammatory cytokine response in patients with chronic periodontitis. Arch. Immunol. Ther. Exp. 2014, 62, 495–500. [Google Scholar] [CrossRef] [PubMed]
- İnce, G.; Gürsoy, H.; İpçi, Ş.D.; Cakar, G.; Emekli-Alturfan, E.; Yılmaz, S. Clinical and biochemical evaluation of lozenges containing Lactobacillus reuteri as an adjunct to non-surgical periodontal therapy in chronic periodontitis. J. Periodontol. 2015, 86, 746–754. [Google Scholar] [CrossRef]
- Cosseau, C.; Devine, D.A.; Dullaghan, E.; Gardy, J.L.; Chikatamarla, A.; Gellatly, S.; Yu, L.L.; Pistolic, J.; Falsafi, R.; Tagg, J.; et al. The commensal Streptococcus salivarius K12 downregulates the innate immune responses of human epithelial cells and promotes host-microbe homeostasis. Infect. Immun. 2008, 76, 4163–4175. [Google Scholar] [CrossRef]
- Heng, N.C.; Haji-Ishak, N.S.; Kalyan, A.; Wong, A.Y.; Lovric, M.; Bridson, J.M.; Artamonova, J.; Stanton, J.A.; Wescombe, P.A.; Burton, J.P.; et al. Genome sequence of the bacteriocin-producing oral probiotic Streptococcus salivarius strain M18. J. Bacteriol. 2011, 193, 6402–6403. [Google Scholar] [CrossRef]
- MacDonald, K.W.; Chanyi, R.M.; Macklaim, J.M.; Cadieux, P.A.; Reid, G.; Burton, J.P. Streptococcus salivarius inhibits immune activation by periodontal disease pathogens. BMC Oral Health 2021, 21, 245. [Google Scholar] [CrossRef]
- Kang, M.S.; Chung, J.; Kim, S.M.; Yang, K.H.; Oh, J.S. Effect of Weissella cibaria isolates on the formation of Streptococcus mutans biofilm. Caries Res. 2006, 40, 418–425. [Google Scholar] [CrossRef]
- Kang, M.S.; Lim, H.S.; Kim, S.M.; Lee, H.; Oh, J.S. Effect of Weissella cibaria on Fusobacterium nucleatum-induced interleukin-6 and interleukin-8 production in KB cells. J. Bacteriol. Virol. 2011, 41, 9–18. [Google Scholar] [CrossRef]
- Jang, H.J.; Kang, M.S.; Yi, S.H.; Hong, J.Y.; Hong, S.P. Comparative study on the characteristics of Weissella cibaria CMU and probiotic strains for oral care. Molecules 2016, 21, 1752. [Google Scholar] [CrossRef] [PubMed]
- Kang, M.S.; Yeu, J.E.; Oh, J.S.; Shin, B.A.; Kim, J.H. Complete genome sequences of Weissella cibaria strains CMU, CMS1, CMS2, and CMS3 isolated from infant saliva in South Korea. Genome Announc. 2017, 5, e01103–e01117. [Google Scholar] [CrossRef] [PubMed]
- Do, K.H.; Park, H.E.; Kang, M.S.; Kim, J.T.; Yeu, J.E.; Lee, W.K. Effects of Weissella cibaria CMU on halitosis and calculus, plaque, and gingivitis indices in beagles. J. Vet. Dent. 2019, 36, 135–142. [Google Scholar] [CrossRef]
- Kang, M.S.; Lee, D.S.; Lee, S.A.; Kim, M.S.; Nam, S.H. Effects of probiotic bacterium Weissella cibaria CMU on periodontal health and microbiota: A randomised, double-blind, placebo-controlled trial. BMC Oral Health 2020, 20, 243. [Google Scholar] [CrossRef]
- Kang, M.S.; Lee, D.S.; Kim, M.; Lee, S.A.; Nam, S.H. A randomized, double-blind, placebo-controlled trial to assess the acidogenic potential of dental biofilms through a tablet containing Weissella cibaria CMU. Int. J. Environ. Res. Public Health 2021, 18, 4674. [Google Scholar] [CrossRef]
- Kim, M.J.; You, Y.O.; Kim, H.J. Heat-inactivated Weissella cibaria CMU downregulates the mRNA expression of proinflammatory cytokines and matrix metalloproteinases in Porphyromonas gingivalis lipopolysaccharide-stimulated human gingival fibroblasts. Korean J. Oral Anatomy 2022, 43, 75–85. [Google Scholar]
- Han, H.S.; Yum, H.; Cho, Y.D.; Kim, S. Improvement of halitosis by probiotic bacterium Weissella cibaria CMU: A randomized controlled trial. Front Microbiol. 2023, 14, 1108762. [Google Scholar] [CrossRef]
- Reid, G. Food and Agricultural Organization of the United Nation and the WHO. The importance of guidelines in the development and application of probiotics. Curr. Pharm. Des. 2005, 11, 11–16. [Google Scholar] [CrossRef] [PubMed]
- Salminen, S.; Collado, M.C.; Endo, A.; Hill, C.; Lebeer, S.; Quigley, E.M.M.; Sanders, M.E.; Shamir, R.; Swann, J.R.; Szajewska, H.; et al. The International Scientific Association of Probiotics and Prebiotics (ISAPP) consensus statement on the definition and scope of postbiotics. Nat. Rev. Gastroenterol. Hepatol. 2021, 18, 649–667. [Google Scholar] [CrossRef]
- Butera, A.; Gallo, S.; Pascadopoli, M.; Taccardi, D.; Scribante, A. Home oral care of periodontal patients using antimicrobial gel with postbiotics, lactoferrin, and aloe barbadensis leaf juice powder vs. conventional chlorhexidine gel: A split-mouth randomized clinical trial. Antibiotics 2022, 11, 118. [Google Scholar] [CrossRef] [PubMed]
- Butera, A.; Gallo, S.; Pascadopoli, M.; Maiorani, C.; Milone, A.; Alovisi, M.; Scribante, A. Paraprobiotics in non-surgical periodontal therapy: Clinical and microbiological aspects in a 6-month follow-up domiciliary protocol for oral hygiene. Microorganisms 2022, 10, 337. [Google Scholar] [CrossRef]
- Butera, A.; Gallo, S.; Maiorani, C.; Molino, D.; Chiesa, A.; Preda, C.; Esposito, F.; Scribante, A. Probiotic Alternative to Chlorhexidine in Periodontal Therapy: Evaluation of Clinical and Microbiological Parameters. Microorganisms 2020, 9, 69. [Google Scholar] [CrossRef]
- Babaahmady, K.G.; Challacombe, S.J.; Marsh, P.D.; Newman, H.N. Ecological study of Streptococcus mutans, Streptococcus sobrinus and Lactobacillus spp. at sub-sites from approximal dental plaque from children. Caries Res. 1998, 32, 51–58. [Google Scholar] [CrossRef] [PubMed]
- Yang, Y.; Park, B.I.; Hwang, E.H.; You, Y.O. Composition analysis and inhibitory effect of Sterculia lychnophora against biofilm formation by Streptococcus mutans. Evid. Based Complement. Alternat. Med. 2016, 2016, 8163150. [Google Scholar] [CrossRef]
- Khalfallah, G.; Gartzen, R.; Möller, M.; Heine, E.; Lütticken, R. A new approach to harness probiotics against common bacterial skin pathogens: Towards living antimicrobials. Probiotics Antimicrob. Proteins 2021, 13, 1557–1571. [Google Scholar] [CrossRef] [PubMed]
- De Marco, S.; Sichetti, M.; Muradyan, D.; Piccioni, M.; Traina, G.; Pagiotti, R.; Pietrella, D. Probiotic cell-free supernatants exhibited anti-inflammatory and antioxidant activity on human gut epithelial cells and macrophages stimulated with LPS. Evid. Based Complement. Alternat. Med. 2018, 2018, 1756308. [Google Scholar] [CrossRef] [PubMed]
- Koutnikova, H.; Genser, B.; Monteiro-Sepulveda, M.; Faurie, J.M.; Rizkalla, S.; Schrezenmeir, J.; Clément, K. Impact of bacterial probiotics on obesity, diabetes and non-alcoholic fatty liver disease related variables: A systematic review and meta-analysis of randomised controlled trials. BMJ Open 2019, 9, e017995. [Google Scholar] [CrossRef]
- Mei, Z.; Li, D. The role of probiotics in vaginal health. Front. Cell Infect. Microbiol. 2022, 12, 963868. [Google Scholar] [CrossRef]
- Simón-Soro, A.; Mira, A. Solving the etiology of dental caries. Trends Microbiol. 2015, 23, 76–82. [Google Scholar] [CrossRef]
- Schwendicke, F.; Dörfer, C.; Kneist, S.; Meyer-Lueckel, H.; Paris, S. Cariogenic effects of probiotic Lactobacillus rhamnosus GG in a dental biofilm model. Caries Res. 2014, 48, 186–192. [Google Scholar] [CrossRef] [PubMed]
- Tanzer, J.M.; Thompson, A.; Lang, C.; Cooper, B.; Hareng, L.; Gamer, A.; Reindl, A.; Pompejus, M. Caries inhibition by and safety of Lactobacillus paracasei DSMZ16671. J. Dent. Res. 2010, 89, 921–926. [Google Scholar] [CrossRef] [PubMed]
- de Alvarenga, J.A.; de Barros, P.P.; de Camargo Ribeiro, F.; Rossoni, R.D.; Garcia, M.T.; Dos Santos Velloso, M.; Shukla, S.; Fuchs, B.B.; Shukla, A.; Mylonakis, E.; et al. Probiotic Effects of Lactobacillus paracasei 28.4 to inhibit Streptococcus mutans in a gellan-based formulation. Probiotics Antimicrob. Proteins 2021, 13, 506–517. [Google Scholar] [CrossRef] [PubMed]
- Mann, S.; Park, M.S.; Johnston, T.V.; Ji, G.E.; Hwang, K.T.; Ku, S. Oral probiotic activities and biosafety of Lactobacillus gasseri HHuMIN D. Microb. Cell Fact. 2021, 20, 75. [Google Scholar] [CrossRef] [PubMed]
- Naruishi, K. Biological roles of fibroblasts in periodontal diseases. Cells 2022, 11, 3345. [Google Scholar] [CrossRef]
- Gomez, D.E.; Alonso, D.F.; Yoshiji, H.; Thorgeirsson, U.P. Tissue inhibitors of metalloproteinases: Structure, regulation and biological functions. Eur. J. Cell Biol. 1997, 74, 111–122. [Google Scholar] [PubMed]
- Butera, A.; Maiorani, C.; Gallo, S.; Pascadopoli, M.; Venugopal, A.; Marya, A.; Scribante, A. Evaluation of adjuvant systems in non-surgical peri-implant treatment: A literature review. Healthcare 2022, 10, 886. [Google Scholar] [CrossRef]









| Group | S. mutans (CFU/mL) | Reduction (Log CFU/mL) | % Growth Inhibition |
|---|---|---|---|
| S. mutans alone | 3.52 × 109 ± 7.66 × 108 d | - | - |
| S. mutans + L. reuteri (1:1) | 2.27 × 109 ± 5.77 × 107 b | 0.2 | 35.61 |
| S. mutans + L. paracasei (1:1) | 3.07 × 109 ± 1.53 × 108 c | 0.1 | 12.88 |
| S. mutans + L. gasseri (1:1) | 1.67 × 108 ± 5.86 × 107 a | 1.3 | 95.27 |
| S. mutans + S. salivarius (1:1) | 1.20 × 108 ± 3.61 × 107 a | 1.5 | 96.59 |
| S. mutans + W. cibaria CMU (1:0.01) | 1.46 × 106 ± 1.22 × 106 a | 3.4 | 99.96 |
| S. mutans + W. cibaria CMU (1:0.1) | 4.37 × 105 ± 1.17 × 105 a | 3.9 | 99.99 |
| S. mutans + W. cibaria CMU (1:1) | 2.92 × 105 ± 1.72 × 105 a | 4.1 | 99.99 |
| S. mutans + W. cibaria CMS1 (1:0.01) | 1.1.0 × 106 ± 9.94 × 105 a | 3.5 | 99.97 |
| S. mutans + W. cibaria CMS1 (1:0.1) | 7.30 × 105 ± 5.42 × 105 a | 3.7 | 99.98 |
| S. mutans + W. cibaria CMS1 (1:1) | 2.92 × 105 ± 1.64 × 105 a | 4.1 | 99.99 |
| Group | Cell Viability (% of Control) | |
|---|---|---|
| Only DMEM | DMEM + 2% FBS | |
| Untreated control | 100.0 ± 4.4 | 100.0 ± 4.1 |
| L. reuteri (MOI = 0.1) | 115.2 ± 12.7 | 84.0 ± 23.9 |
| L. reuteri (MOI = 1) | 122.5 ± 11.5 | 89.0 ± 25.6 |
| L. reuteri (MOI = 10) | 121.6 ± 5.0 | 86.5 ± 6.0 |
| L. reuteri (MOI = 100) | 127.6 ± 8.1 | 92.0 ± 17.4 |
| W. cibaria CMU (MOI = 0.1) | 108.4 ± 11.8 | 100.5 ± 12.2 |
| W. cibaria CMU (MOI = 1) | 119.5 ± 9.7 | 103.1 ± 17.4 |
| W. cibaria CMU (MOI = 10) | 118.6 ± 14.4 | 92.7 ± 11.5 |
| W. cibaria CMU (MOI = 100) | 166.8 ± 12.2 | 112.8 ± 10.9 |
| W. cibaria CMS1 (MOI = 0.1) | 111.4 ± 2.7 | 87.7 ± 4.8 |
| W. cibaria CMS1 (MOI = 1) | 127.0 ± 4.2 | 85.4 ± 2.4 |
| W. cibaria CMS1 (MOI = 10) | 128.0 ± 3.6 | 87.3 ± 2.8 |
| W. cibaria CMS1 (MOI = 100) | 153.4 ± 6.3 | 100.8 ± 3.1 |
Disclaimer/Publisher’s Note: The statements, opinions and data contained in all publications are solely those of the individual author(s) and contributor(s) and not of MDPI and/or the editor(s). MDPI and/or the editor(s) disclaim responsibility for any injury to people or property resulting from any ideas, methods, instructions or products referred to in the content. |
© 2023 by the authors. Licensee MDPI, Basel, Switzerland. This article is an open access article distributed under the terms and conditions of the Creative Commons Attribution (CC BY) license (https://creativecommons.org/licenses/by/4.0/).
Share and Cite
Kang, M.-S.; Park, G.-Y.; Lee, A.-R. In Vitro Preventive Effect and Mechanism of Action of Weissella cibaria CMU against Streptococcus mutans Biofilm Formation and Periodontal Pathogens. Microorganisms 2023, 11, 962. https://doi.org/10.3390/microorganisms11040962
Kang M-S, Park G-Y, Lee A-R. In Vitro Preventive Effect and Mechanism of Action of Weissella cibaria CMU against Streptococcus mutans Biofilm Formation and Periodontal Pathogens. Microorganisms. 2023; 11(4):962. https://doi.org/10.3390/microorganisms11040962
Chicago/Turabian StyleKang, Mi-Sun, Geun-Yeong Park, and A-Reum Lee. 2023. "In Vitro Preventive Effect and Mechanism of Action of Weissella cibaria CMU against Streptococcus mutans Biofilm Formation and Periodontal Pathogens" Microorganisms 11, no. 4: 962. https://doi.org/10.3390/microorganisms11040962
APA StyleKang, M.-S., Park, G.-Y., & Lee, A.-R. (2023). In Vitro Preventive Effect and Mechanism of Action of Weissella cibaria CMU against Streptococcus mutans Biofilm Formation and Periodontal Pathogens. Microorganisms, 11(4), 962. https://doi.org/10.3390/microorganisms11040962

