Diversity and Evolution of Integrative and Conjugative Elements Involved in Bacterial Aromatic Compound Degradation and Their Utility in Environmental Remediation
Abstract
1. Introduction
2. Metabolic Pathway Genes Transported by ICEs
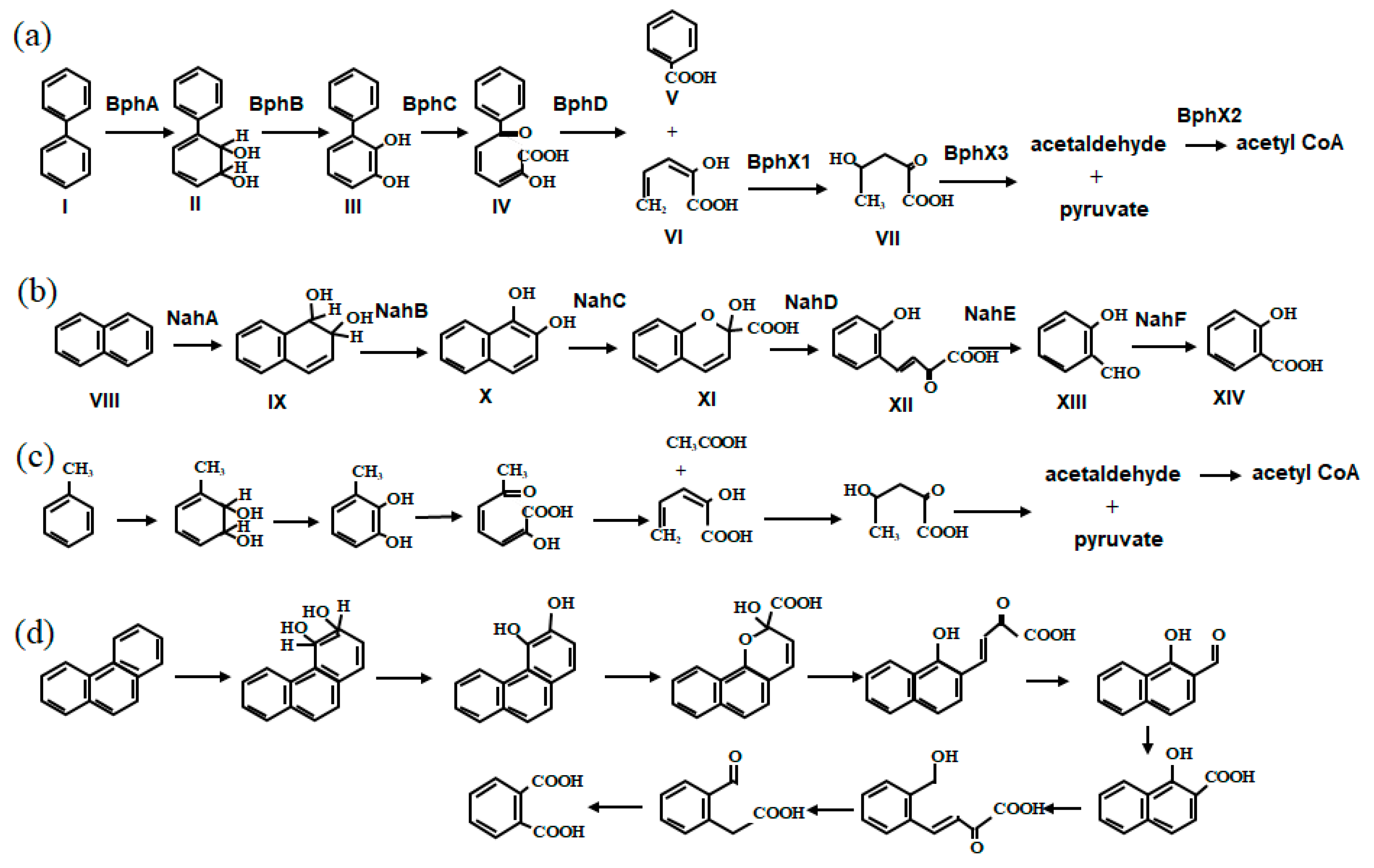
2.1. Aromatic Hydrocarbons
- Aromatic ring hydroxylation: Hydroxylation of the aromatic ring is catalyzed by a dioxygenase that introduces two oxygen atoms into the ring or by a monooxygenase that introduces one oxygen atom. The former introduces two hydroxyl groups into an aromatic ring, whereas the latter introduces one hydroxyl group into an aromatic ring or a side-chain alyl-group. Both dioxygenase and monooxygenase encoded by genes in ICEs are multi-component enzymes [16].
- Aromatic ring cleavage: The cleavage of the aromatic ring can be grouped into two modes. The first is meta-cleavage, in which the carbon-carbon bond between the 2- and 3-positions of the catechol is cleaved by the addition of molecular oxygen, producing an intermediate that is generally yellow. The second is ortho-cleavage, in which the bond between the two hydroxyl groups is cleaved to produce a colorless intermediate [16].

2.2. Aromatic Carboxylic Acids
2.3. Halogenated Aromatic Compounds
3. Components Required for Conjugal Transfer of Degradative ICEs
3.1. Integrase
3.2. Transmission Module
3.3. Integration Site
4. ICEclc Family
4.1. ICEclcB13
4.2. ICEclcJB2 and ICEclcLB400
4.3. ICEXTD
4.4. ICEbph-sal
4.5. ICEnahCSV86
5. Tn4371 Family
5.1. Tn4371
5.2. ICETn43716054
5.3. ICEKKS1024677
5.4. ICEbphKF708 and ICEbphKF712
6. ICE Belonging to an Unidentified Family
phn Island
7. Evolution of Degradative ICEs
8. Prospects for Use in Bioremediation
9. Conclusions
Funding
Acknowledgments
Conflicts of Interest
References
- Rodríguez-Beltrán, J.; Sørum, V.; Toll-Riera, M.; de la Vega, C.; Peña-Miller, R.; San Millán, Á. Genetic dominance governs the evolution and spread of mobile genetic elements in bacteria. Proc. Natl. Acad. Sci. USA 2020, 117, 15755–15762. [Google Scholar] [CrossRef]
- Botelho, J.; Schulenburg, H. The role of integrative and conjugative elements in antibiotic resistance evolution. Trends Microbiol. 2021, 29, 8–18. [Google Scholar] [CrossRef]
- Bellanger, X.; Payot, S.; Leblond-Bourget, N.; Guédon, G. Conjugative and mobilizable genomic islands in bacteria: Evolution and diversity. FEMS Microbiol. Rev. 2014, 38, 720–760. [Google Scholar] [CrossRef] [PubMed]
- Delavat, F.; Miyazaki, R.; Carraro, N.; Pradervand, N.; van der Meer, J.R. The hidden life of integrative and conjugative elements. FEMS Microbiol. Rev. 2017, 41, 512–537. [Google Scholar] [CrossRef]
- Springael, D.; Kreps, S.; Mergeay, M. Identification of a catabolic transposon, Tn4371, carrying biphenyl and 4-chlorobiphenyl degradation genes in Alcaligenes eutrophus A5. J. Bacteriol. 1993, 175, 1674–1681. [Google Scholar] [CrossRef]
- Ohtsubo, Y.; Ishibashi, Y.; Naganawa, H.; Hirokawa, S.; Atobe, S.; Nagata, Y.; Tsuda, M. Conjugal transfer of polychlorinated biphenyl/biphenyl degradation genes in Acidovorax sp. strain KKS102, which are located on an integrative and conjugative element. J. Bacteriol. 2012, 194, 4237–4248. [Google Scholar] [CrossRef]
- Hirose, J.; Fujihara, H.; Watanabe, T.; Kimura, N.; Suenaga, H.; Futagami, T.; Goto, M.; Suyama, A.; Furukawa, K. Biphenyl/PCB degrading bph genes of ten bacterial strains isolated from biphenyl-contaminated soil in Kitakyushu, Japan: Comparative and dynamic features as integrative conjugative elements (ICEs). Genes 2019, 10, 404. [Google Scholar] [CrossRef]
- Shimizu, S.; Kobayashi, H.; Masai, E.; Fukuda, M. Characterization of the 450-Kb linear plasmid in a polychlorinated biphenyl degrader, Rhodococcus sp. strain RHA1. Appl. Environ. Microbiol. 2001, 67, 2021–2028. [Google Scholar] [CrossRef] [PubMed]
- Ravatn, R.; Studer, S.; Springael, D.; Zehnder, A.J.B.; van der Meer, J.R. Chromosomal integration, tandem amplification, and deamplification in Pseudomonas putida F1 of a 105-kilobase genetic element containing the chlorocatechol degradative genes from Pseudomonas sp. strain B13. J. Bacteriol. 1998, 180, 4360–4369. [Google Scholar] [CrossRef]
- Toussaint, A.; Merlin, C.; Monchy, S.; Benotmane, M.A.; Leplae, R.; Mergeay, M.; Springael, D. The biphenyl- and 4-chlorobiphenyl-catabolic transposon Tn4371, a member of a new family of genomic islands related to IncP and Ti plasmids. Appl. Environ. Microbiol. 2003, 69, 4837–4845. [Google Scholar] [CrossRef] [PubMed]
- Hickey, W.; Chen, S.; Zhao, J. The phn island: A new genomic island encoding catabolism of polynuclear aromatic hydrocarbons. Front. Microbiol. 2012, 3, 125. [Google Scholar] [CrossRef]
- Liu, M.; Li, X.; Xie, Y.; Bi, D.; Sun, J.; Li, J.; Tai, C.; Deng, Z.; Ou, H.-Y. ICEberg 2.0: An updated database of bacterial integrative and conjugative elements. Nucleic Acids Res 2019, 47, D660–D665. [Google Scholar] [CrossRef]
- Gonçalves, O.S.; de Assis, J.C.S.; Santana, M.F. Breaking the ICE: An easy workflow for identifying and analyzing integrative and conjugative elements in bacterial genomes. Funct. Integr. Genom. 2022, 22, 1139–1145. [Google Scholar] [CrossRef]
- Mohapatra, B.; Malhotra, H.; Phale, P.S. Life within a contaminated niche: Comparative genomic analyses of an integrative conjugative element ICEnahCSV86 and two genomic islands from Pseudomonas bharatica CSV86T suggest probable role in colonization and adaptation. Front. Microbiol. 2022, 13, 928848. [Google Scholar] [CrossRef]
- Dennis, J.J. The evolution of IncP catabolic plasmids. Curr. Opin. Biotechnol. 2005, 16, 291–298. [Google Scholar] [CrossRef]
- Harayama, S.; Kok, M.; Neidle, E.L. Functional and evolutionary relationships among diverse oxygenases. Annu. Rev. Microbiol. 1992, 46, 565–601. [Google Scholar] [CrossRef]
- Zamarro, M.T.; Martín-Moldes, Z.; Díaz, E. The ICEXTDof Azoarcus sp. CIB, an integrative and conjugative element with aerobic and anaerobic catabolic properties. Environ. Microbiol. 2016, 18, 5018–5031. [Google Scholar] [CrossRef]
- Harayama, S.; Mermod, N.; Rekik, M.; Lehrbach, P.R.; Timmis, K.N. Roles of the divergent branches of the meta-cleavage pathway in the degradation of benzoate and substituted benzoates. J. Bacteriol. 1987, 169, 558–564. [Google Scholar] [CrossRef]
- Bartels, I.; Knackmuss, H.-J.; Reineke, W. Suicide inactivation of catechol 2,3-dioxygenase from Pseudomonas putida mt-2 by 3-halocatechols. Appl. Environ. Microbiol. 1984, 47, 500–505. [Google Scholar] [CrossRef] [PubMed]
- Hirose, J.; Tsukimata, R.; Miyatake, M.; Yokoi, H. Identification of the gene responsible for lignin-derived low-molecular-weight compound catabolism in Pseudomonas sp. strain LLC-1. Genes 2020, 11, 1416. [Google Scholar] [CrossRef]
- Furukawa, K.; Tomizuka, N.; Kamibayashi, A. Metabolic breakdown of Kaneclors (polychlorobiphenyls) and their products by Acinetobacter sp. Appl. Environ. Microbiol. 1983, 46, 140–145. [Google Scholar] [CrossRef] [PubMed]
- van der Meer, J.R.; Ravatn, R.; Sentchilo, V. The clc element of Pseudomonas sp. strain B13 and other mobile degradative elements employing phage-like integrases. Arch. Microbiol. 2001, 175, 79–85. [Google Scholar] [CrossRef]
- Springael, D.; Peys, K.; Ryngaert, A.; Roy, S.V.; Hooyberghs, L.; Ravatn, R.; Heyndrickx, M.; van der Meer, J.-R.; Vandecasteele, C.; Mergeay, M.; et al. Community shifts in a seeded 3-chlorobenzoate degrading membrane biofilm reactor: Indications for involvement of in situ horizontal transfer of the clc-element from inoculum to contaminant bacteria. Environ. Microbiol. 2002, 4, 70–80. [Google Scholar] [CrossRef]
- Gaillard, M.; Pernet, N.; Vogne, C.; Hagenbüchle, O.; van der Meer, J.R. Host and invader impact of transfer of the clc genomic island into Pseudomonas aeruginosa PAO1. Proc. Natl. Acad. Sci. USA 2008, 105, 7058–7063. [Google Scholar] [CrossRef] [PubMed]
- Sentchilo, V.; Czechowska, K.; Pradervand, N.; Minoia, M.; Miyazaki, R.; van der Meer, J.R. Intracellular excision and reintegration dynamics of the ICEclc genomic island of Pseudomonas knackmussii sp. Strain B13. Mol. Microbiol. 2009, 72, 1293–1306. [Google Scholar] [CrossRef]
- Gaillard, M.; Vallaeys, T.; Vorhölter, F.J.; Minoia, M.; Werlen, C.; Sentchilo, V.; Pühler, A.; van der Meer, J.R. The clc element of Pseudomonas sp. strain B13, a genomic island with various catabolic properties. J. Bacteriol. 2006, 188, 1999–2013. [Google Scholar] [CrossRef]
- Dorn, E.; Hellwig, M.; Reineke, W.; Knackmuss, H.J. Isolation and characterization of a 3-chlorobenzoate degrading Pseudomonad. Arch. Microbiol. 1974, 99, 61–70. [Google Scholar] [CrossRef]
- Miyazaki, R.; Bertelli, C.; Benaglio, P.; Canton, J.; De Coi, N.; Gharib, W.H.; Gjoksi, B.; Goesmann, A.; Greub, G.; Harshman, K.; et al. Comparative genome analysis of Pseudomonas knackmussii B13, the first bacterium known to degrade chloroaromatic compounds. Environ. Microbiol. 2015, 17, 91–104. [Google Scholar] [CrossRef] [PubMed]
- Minoia, M.; Gaillard, M.; Reinhard, F.; Stojanov, M.; Sentchilo, V.; van der Meer, J.R. Stochasticity and bistability in horizontal transfer control of a genomic island in Pseudomonas. Proc. Natl. Acad. Sci. USA 2008, 105, 20792–20797. [Google Scholar] [CrossRef]
- Pradervand, N.; Sulser, S.; Delavat, F.; Miyazaki, R.; Lamas, I.; van der Meer, J.R. An operon of three transcriptional regulators controls horizontal gene transfer of the integrative and conjugative element ICEclc in Pseudomonas knackmussii B13. PLOS Genet. 2014, 10, e1004441. [Google Scholar] [CrossRef]
- Miyazaki, R.; van der Meer, J.R. A dual functional origin of transfer in the ICEclc genomic island of Pseudomonas knackmussii B13. Mol. Microbiol. 2011, 79, 743–758. [Google Scholar] [CrossRef]
- Obi, C.C.; Vayla, S.; de Gannes, V.; Berres, M.E.; Walker, J.; Pavelec, D.; Hyman, J.; Hickey, W.J. The integrative conjugative element clc (ICEclc) of Pseudomonas aeruginosa JB2. Front. Microbiol. 2018, 9, 1532. [Google Scholar] [CrossRef]
- Chain, P.S.G.; Denef, V.J.; Konstantinidis, K.T.; Vergez, L.M.; Agulló, L.; Reyes, V.L.; Hauser, L.; Córdova, M.; Gómez, L.; González, M.; et al. Burkholderia xenovorans LB400 harbors a multi-replicon, 9.73-Mbp genome shaped for versatility. Proc. Natl. Acad. Sci. USA 2006, 103, 15280–15287. [Google Scholar] [CrossRef]
- Hickey, W.J.; Sabat, G.; Yuroff, A.S.; Arment, A.R.; Pérez-Lesher, J. Cloning, nucleotide sequencing, and functional analysis of a novel, mobile cluster of biodegradation genes from Pseudomonas aeruginosa strain JB2. Appl. Environ. Microbiol. 2001, 67, 4603–4609. [Google Scholar] [CrossRef]
- Hirose, J.; Watanabe, T.; Futagami, T.; Fujihara, H.; Kimura, N.; Suenaga, H.; Goto, M.; Suyama, A.; Furukawa, K. A new ICEclc subfamily integrative and conjugative element responsible for horizontal transfer of biphenyl and salicylic acid catabolic pathway in the PCB-degrading strain Pseudomonas stutzeri KF716. Microorganisms 2021, 9, 2462. [Google Scholar] [CrossRef]
- Fujihara, H.; Yoshida, H.; Matsunaga, T.; Goto, M.; Furukawa, K. Cross-regulation of biphenyl- and salicylate-catabolic genes by two regulatory systems in Pseudomonas pseudoalcaligenes KF707. J. Bacteriol. 2006, 188, 4690–4697. [Google Scholar] [CrossRef]
- Kim, J.; Pérez-Pantoja, D.; Silva-Rocha, R.; Oliveros, J.C.; de Lorenzo, V. High-resolution analysis of the m-xylene/toluene biodegradation subtranscriptome of Pseudomonas putida mt-2. Environ. Microbiol. 2016, 18, 3327–3341. [Google Scholar] [CrossRef] [PubMed]
- Yamanaka, Y.; Shimada, T.; Yamamoto, K.; Ishihama, A. Transcription factor CecR (YbiH) regulates a set of genes affecting the sensitivity of Escherichia coli against cefoperazone and chloramphenicol. Microbiology 2016, 162, 1253–1264. [Google Scholar] [CrossRef] [PubMed]
- de Sousa, L.P. Mobile genetic elements in Pseudomonas stutzeri. Curr. Microbiol. 2020, 77, 179–184. [Google Scholar] [CrossRef] [PubMed]
- Suenaga, H.; Fujihara, H.; Kimura, N.; Hirose, J.; Watanabe, T.; Futagami, T.; Goto, M.; Shimodaira, J.; Furukawa, K. Insights into the genomic plasticity of Pseudomonas putida KF715, a strain with unique biphenyl-utilizing activity and genome instability properties. Environ. Microbiol. Rep. 2017, 9, 589–598. [Google Scholar] [CrossRef]
- Hooper, S.W.; Dockendorff, T.C.; Sayler, G.S. Characteristics and restriction analysis of the 4-chlorobiphenyl catabolic plasmid, pSS50. Appl. Environ. Microbiol. 1989, 55, 1286–1288. [Google Scholar] [CrossRef]
- Layton, A.C.; Sanseverino, J.; Wallace, W.; Corcoran, C.; Sayler, G.S. Evidence for 4-chlorobenzoic acid dehalogenation mediated by plasmids related to pSS50. Appl. Environ. Microbiol. 1992, 58, 399–402. [Google Scholar] [CrossRef]
- Ryan, M.P.; Pembroke, J.T.; Adley, C.C. Novel Tn4371-ICE like element in Ralstonia pickettiiand genome mining for comparative elements. BMC Microbiol. 2009, 9, 242. [Google Scholar] [CrossRef]
- Van Houdt, R.; Toussaint, A.; Ryan, M.P.; Pembroke, J.T.; Mergeay, M.; Adley, C.C. The Tn4371 ICE Family of Bacterial Mobile Genetic Elements. In Bacterial Integrative Mobile Genetic Elements; Roberts, A.P., Mullany, P., Eds.; Landes Bioscience: Austin, TX, USA, 2012. Available online: http://www.ncbi.nlm.nih.gov/books/NBK63532/ (accessed on 1 February 2023).
- Van Houdt, R.; Monchy, S.; Leys, N.; Mergeay, M. New mobile genetic elements in Cupriavidus metallidurans CH34, their possible roles and occurrence in other bacteria. Antonie Van Leeuwenhoek 2009, 96, 205–226. [Google Scholar] [CrossRef]
- Van Houdt, R.; Monsieurs, P.; Mijnendonckx, K.; Provoost, A.; Janssen, A.; Mergeay, M.; Leys, N. Variation in genomic islands contribute to genome plasticity in Cupriavidus metallidurans. BMC Genom. 2012, 13, 111. [Google Scholar] [CrossRef]
- Mergeay, M.; Nies, D.; Schlegel, H.G.; Gerits, J.; Charles, P.; Van Gijsegem, F. Alcaligenes eutrophus CH34 is a facultative chemolithotroph with plasmid-bound resistance to heavy metals. J Bacteriol 1985, 162, 328–334. [Google Scholar] [CrossRef] [PubMed]
- Ohtsubo, Y.; Delawary, M.; Kimbara, K.; Takagi, M.; Ohta, A.; Nagata, Y. BphS, a key transcriptional regulator of bph genes involved in polychlorinated biphenyl/biphenyl degradation in Pseudomonas sp. KKS102. J. Biol. Chem. 2001, 276, 36146–36154. [Google Scholar] [CrossRef]
- Ohtsubo, Y.; Goto, H.; Nagata, Y.; Kudo, T.; Tsuda, M. Identification of a response regulator gene for catabolite control from a PCB-degrading β-proteobacteria, Acidovorax sp. KKS102. Mol. Microbiol. 2006, 60, 1563–1575. [Google Scholar] [CrossRef]
- Shetty, A.R.; de Gannes, V.; Obi, C.C.; Lucas, S.; Lapidus, A.; Cheng, J.-F.; Goodwin, L.A.; Pitluck, S.; Peters, L.; Mikhailova, N.; et al. Complete genome sequence of the phenanthrene-degrading soil bacterium Delftia acidovorans Cs1-4. Stand. Genom. Sci. 2015, 10, 55. [Google Scholar] [CrossRef]
- Bioteau, A.; Durand, R.; Burrus, V. Redefinition and unification of the SXT/R391 family of integrative and conjugative elements. Appl. Environ. Microbiol. 2018, 84, e00485-18. [Google Scholar] [CrossRef] [PubMed]
- Guglielmini, J.; Quintais, L.; Garcillán-Barcia, M.P.; de la Cruz, F.; Rocha, E.P.C. The repertoire of ICE in prokaryotes underscores the unity, diversity, and ubiquity of conjugation. PLOS Genet. 2011, 7, e1002222. [Google Scholar] [CrossRef]
- Bhatt, P.; Bhandari, G.; Bhatt, K.; Maithani, D.; Mishra, S.; Gangola, S.; Bhatt, R.; Huang, Y.; Chen, S. Plasmid-mediated catabolism for the removal of xenobiotics from the environment. J. Hazard. Mater. 2021, 420, 126618. [Google Scholar] [CrossRef]
- Garbisu, C.; Garaiyurrebaso, O.; Epelde, L.; Grohmann, E.; Alkorta, I. Plasmid-mediated bioaugmentation for the bioremediation of contaminated soils. Front. Microbiol. 2017, 8, 1966. [Google Scholar] [CrossRef]
- Mokross, H.; Schmidt, E.; Reineke, W. Degradation of 3-chlorobiphenyl by in vivo constructed hybrid Pseudomonads. FEMS Microbiol. Lett. 1990, 71, 179–185. [Google Scholar] [CrossRef]
- Brophy, J.A.N.; Triassi, A.J.; Adams, B.L.; Renberg, R.L.; Stratis-Cullum, D.N.; Grossman, A.D.; Voigt, C.A. Engineered integrative and conjugative elements for efficient and inducible DNA transfer to undomesticated bacteria. Nat. Microbiol. 2018, 3, 1043–1053. [Google Scholar] [CrossRef]
- Xiang, Y.; Xing, Z.; Liu, J.; Qin, W.; Huang, X. Recent advances in the biodegradation of polychlorinated biphenyls. World J. Microbiol. Biotechnol. 2020, 36, 145. [Google Scholar] [CrossRef]
- Potrawfke, T.; Löhnert, T.-H.; Timmis, K.N.; Wittich, R.-M. Mineralization of low-chlorinated biphenyls by Burkholderia sp. strain LB400 and by a two-membered consortium upon directed interspecies transfer of chlorocatechol pathway genes. Appl. Microbiol. Biotechnol. 1998, 50, 440–446. [Google Scholar] [CrossRef]
- Hu, J.; Qian, M.; Zhang, Q.; Cui, J.; Yu, C.; Su, X.; Shen, C.; Hashmi, M.Z.; Shi, J. Sphingobium fuliginis HC3: A novel and robust isolated biphenyl- and polychlorinated biphenyls-degrading bacterium without dead-end intermediates accumulation. PLoS ONE 2015, 10, e0122740. [Google Scholar] [CrossRef]


| ICE | Size (kb) | Origin | Aromatic Compounds Targeted by Degradative Genes | References |
|---|---|---|---|---|
| ICEclcB13 | 102.8 | Pseudomonas knackmussii B13 | Aminophenol, chlorocatechol | [9,22,23,24,25,26,28,29,30,31] |
| ICEclcJB2 | 123.3 | Pseudomonas aeruginosa JB2 | o-Chlorobenzoate, salicylate | [32] |
| ICEclcLB400 | 122.8 | Paraburkholderia xenovorans LB400 | Aminophenol, chlorocatechol | [26,33] |
| ICEXTD | 173.8 | Azoarcus sp. CIB | Toluene, m-xylene | [17] |
| ICEnahCSV84 | 105.2 | Pseudomonas bharatica CSV86 | Naphthalene, salicylate | [14] |
| ICEbph-salKF701 | 117.4 | Pseudomonas abietaniphila KF701 | Biphenyl, salicylate, benzoate | [7] |
| ICEbph-salKF702 | 125.7 | Pseudomonas aeruginosa KF702 | Biphenyl, salicylate, benzoate | [7] |
| ICEbph-salKF703 | 120.8 | Pseudomonas putida KF703 | Biphenyl, salicylate, benzoate | [7] |
| ICEbph-salKF707 | 122.0 | Pseudomonas furukawaii KF707 | Biphenyl, salicylate, benzoate | [7] |
| ICEbph-salKF710 | 130.3 | Pseudomonas toyotomiensis KF710 | Biphenyl, salicylate, benzoate | [7] |
| ICEbph-salKF716 | 117.3 | Pseudomonas stutzeri KF716 | Biphenyl, salicylate | [7,35] |
| ICE | Size (kb) | Origin | Aromatic Compounds Targeted by Degradative Genes | References |
|---|---|---|---|---|
| Tn4371 | 54.7 | Cupriavidus oxalacticus A5 | Biphenyl | [5,10] |
| ICETn43716054 | 101 | Cupriavidus metallidurans CH34 | Toluene | [43,44] |
| ICEKKS1024677 | 61.8 | Acidovorax sp. strain KKS102 | Biphenyl | [6] |
| ICEbphKF708 | 61.8 | Cupriavidus basilensis KF708 | Biphenyl | [7] |
| ICEbphKF712 | 59.4 | Comamonas testosteroni KF712 | Biphenyl | [7] |
Disclaimer/Publisher’s Note: The statements, opinions and data contained in all publications are solely those of the individual author(s) and contributor(s) and not of MDPI and/or the editor(s). MDPI and/or the editor(s) disclaim responsibility for any injury to people or property resulting from any ideas, methods, instructions or products referred to in the content. |
© 2023 by the author. Licensee MDPI, Basel, Switzerland. This article is an open access article distributed under the terms and conditions of the Creative Commons Attribution (CC BY) license (https://creativecommons.org/licenses/by/4.0/).
Share and Cite
Hirose, J. Diversity and Evolution of Integrative and Conjugative Elements Involved in Bacterial Aromatic Compound Degradation and Their Utility in Environmental Remediation. Microorganisms 2023, 11, 438. https://doi.org/10.3390/microorganisms11020438
Hirose J. Diversity and Evolution of Integrative and Conjugative Elements Involved in Bacterial Aromatic Compound Degradation and Their Utility in Environmental Remediation. Microorganisms. 2023; 11(2):438. https://doi.org/10.3390/microorganisms11020438
Chicago/Turabian StyleHirose, Jun. 2023. "Diversity and Evolution of Integrative and Conjugative Elements Involved in Bacterial Aromatic Compound Degradation and Their Utility in Environmental Remediation" Microorganisms 11, no. 2: 438. https://doi.org/10.3390/microorganisms11020438
APA StyleHirose, J. (2023). Diversity and Evolution of Integrative and Conjugative Elements Involved in Bacterial Aromatic Compound Degradation and Their Utility in Environmental Remediation. Microorganisms, 11(2), 438. https://doi.org/10.3390/microorganisms11020438

