Inactivation of Listeria monocytogenes and Salmonella spp. in Milano-Type Salami Made with Alternative Formulations to the Use of Synthetic Nitrates/Nitrites
Abstract
1. Introduction
2. Materials and Methods
2.1. Experimental Design
2.2. Bacteria Strains and Inoculums Preparation
2.3. Salami Batches
- -
- Batch B contained a functional system (2.2 g/kg, made by Swiss chard juice concentrate powder and carrot juice concentrate powder) as natural source of nitrates (Frutarom Italy S.r.l., Parma, Italy);
- -
- Batch C contained synthetic nitrates/nitrites (150/125 mg/kg).
2.4. Salami Process
2.5. Sampling
2.6. Proximal Composition and Physico-Chemical Analyses
2.7. Microbiological Analyses
2.8. Data Analysis
3. Results
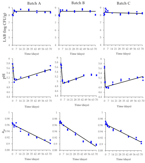
3.1. Proximal Composition and Physico-Chemical Properties
3.2. Inactivation of L. monocytogenes and Salmonella spp. during the Process
4. Discussion
5. Conclusions
Supplementary Materials
Author Contributions
Funding
Institutional Review Board Statement
Informed Consent Statement
Data Availability Statement
Conflicts of Interest
References
- Aquilanti, L.; Santarelli, S.; Silvestri, G.; Osimani, A.; Petruzzelli, A.; Clementi, F. The Microbial Ecology of a Typical Italian Salami during Its Natural Fermentation. Int. J. Food Microbiol. 2007, 120, 136–145. [Google Scholar] [CrossRef] [PubMed]
- Barbuti, S.; Parolari, G. Validation of Manufacturing Process to Control Pathogenic Bacteria in Typical Dry Fermented Products. Meat Sci. 2002, 62, 323–329. [Google Scholar] [CrossRef]
- Colak, H.; Hampikyan, H.; Ulusoy, B.; Bingol, E.B. Presence of Listeria monocytogenes in Turkish Style Fermented Sausage (Sucuk). Food Control 2007, 18, 30–32. [Google Scholar] [CrossRef]
- Carraturo, F.; Gargiulo, G.; Giorgio, A.; Aliberti, F.; Guida, M. Prevalence, distribution, and diversity of Salmonella spp. in meat samples collected from Italian slaughterhouses. J. Food Sci. 2016, 81, 545–551. [Google Scholar] [CrossRef] [PubMed]
- Filipello, V.; Mughini-Gras, L.; Gallina, S.; Vitale, N.; Mannelli, A.; Pontello, M.; Decastelli, L.; Allard, M.W.; Brown, E.W.; Lomonaco, S. Attribution of Listeria monocytogenes Human Infections to Food and Animal Sources in Northern Italy. Food Microbiol. 2020, 89, 103433. [Google Scholar] [CrossRef] [PubMed]
- Leistner, L. Hurdle Technology Applied to Meat Products of The Shelf Stable Product And Intermediate Moisture Food Types. In Properties of Water in Foods; Springer: Berlin/Heidelberg, Germany, 1985; pp. 309–329. [Google Scholar]
- Leistner, L. Basic Aspects of Food Preservation by Hurdle Technology. Int. J. Food Microbiol. 2000, 55, 181–186. [Google Scholar] [CrossRef]
- Cenci-Goga, B.T.; Karama, M.; Sechi, P.; Iulietto, M.F.; Grispoldi, L.; Selvaggini, R.; Ceccarelli, M.; Barbera, S. Fate of Selected Pathogens in Spiked «SALAME NOSTRANO» Produced without Added Nitrates Following the Application of NONITTM Technology. Meat Sci. 2018, 139, 247–254. [Google Scholar] [CrossRef]
- Lücke, F.-K. Fermented Meats. Available online: https://www.oxfordhandbooks.com/view/10.1093/oxfordhb/9780199742707.001.0001/oxfordhb-9780199742707-e-12 (accessed on 3 February 2022).
- Sindelar, J.; Milkowski, A. Sodium Nitrite in Processed Meat and Poultry Meats: A Review of Curin and Examining the Risk and Benefit of Its Use. Am. Meat Sci. Assoc. White Pap. Ser. 2011, 3, 1–14. [Google Scholar]
- Majou, D.; Christieans, S. Mechanisms of the bactericidal effects of nitrate and nitrite in cured meats. Meat Sci. 2018, 145, 273–284. [Google Scholar] [CrossRef]
- Christieans, S.; Picgirard, L.; Parafita, E.; Lebert, A.; Gregori, T. Impact of Reducing Nitrate/Nitrite Levels on the Behavior of Salmonella Typhimurium and Listeria monocytogenes in French Dry Fermented Sausages. Meat Sci. 2018, 137, 160–167. [Google Scholar] [CrossRef]
- Hospital, X.F.; Hierro, E.; Fernández, M. Survival of Listeria innocua in Dry Fermented Sausages and Changes in the Typical Microbiota and Volatile Profile as Affected by the Concentration of Nitrate and Nitrite. Int. J. Food Microbiol. 2012, 153, 395–401. [Google Scholar] [CrossRef]
- Hospital, X.F.; Hierro, E.; Fernandez, M. Effect of Reducing Nitrate and Nitrite Added to Dry Fermented Sausages on the Survival of Salmonella Typhimurium. Food Res. Int. 2014, 62, 410–415. [Google Scholar] [CrossRef]
- European Commission. Commission Regulation (EU) nº 1129/2011 of 11 November 2011 amending Annex II to Regulation (EC) no 1333/2008 of the European Parliament and of the Council by establishing a Union list of food additives. Off. J. Eur. Union L 2011, 295, 1–212. [Google Scholar]
- Corpet, D.E. Red Meat and Colon Cancer: Should We Become Vegetarians, or Can We Make Meat Safer? Meat Sci. 2011, 89, 310–316. [Google Scholar] [CrossRef]
- Aschemann-Witzel, J.; Varela, P.; Peschel, A.O. Consumers’ Categorization of Food Ingredients: Do Consumers Perceive Them as ‘Clean Label’ Producers Expect? An Exploration with Projective Mapping. Food Qual. Prefer. 2019, 71, 117–128. [Google Scholar] [CrossRef]
- Cardinali, F.; Milanović, V.; Osimani, A.; Aquilanti, L.; Taccari, M.; Garofalo, C.; Polverigiani, S.; Clementi, F.; Franciosi, E.; Tuohy, K. Microbial Dynamics of Model Fabriano-like Fermented Sausages as Affected by Starter Cultures, Nitrates and Nitrites. Int. J. Food Microbiol. 2018, 278, 61–72. [Google Scholar] [CrossRef]
- Hospital, X.F.; Carballo, J.; Fernandez, M.; Arnau, J.; Gratacos, M.; Hierro, E. Technological Implications of Reducing Nitrate and Nitrite Levels in Dry-Fermented Sausages: Typical Microbiota, Residual Nitrate and Nitrite and Volatile Profile. Food Control 2015, 57, 275–281. [Google Scholar] [CrossRef]
- Hospital, X.F.; Hierro, E.; Stringer, S.; Fernández, M. A Study on the Toxigenesis by Clostridium Botulinum in Nitrate and Nitrite-Reduced Dry Fermented Sausages. Int. J. Food Microbiol. 2016, 218, 66–70. [Google Scholar] [CrossRef]
- Alahakoon, A.U.; Jayasena, D.D.; Ramachandra, S.; Jo, C. Alternatives to Nitrite in Processed Meat: Up to Date. Trends Food Sci. Technol. 2015, 45, 37–49. [Google Scholar] [CrossRef]
- Pietrzak, D.; Fonberg-Broczek, M.; Mucka, A.; Windyga, B. Effects of High Pressure Treatment on the Quality of Cooked Pork Ham Prepared with Different Levels of Curing Ingredients. High. Press Res. 2007, 27, 27–31. [Google Scholar] [CrossRef]
- Flores, M.; Toldrá, F. Chemistry, safety, and regulatory considerations in the use of nitrite and nitrate from natural origin in meat products-Invited review. Meat Sci. 2021, 171, 108272. [Google Scholar] [CrossRef]
- Aquilani, C.; Sirtori, F.; Flores, M.; Bozzi, R.; Lebret, B.; Pugliese, C. Effect of Natural Antioxidants from Grape Seed and Chestnut in Combination with Hydroxytyrosol, as Sodium Nitrite Substitutes in Cinta Senese Dry-Fermented Sausages. Meat Sci. 2018, 145, 389–398. [Google Scholar] [CrossRef]
- Roberts, T.A.; Cordier, J.-L.; Gram, L.; Tompkin, R.B.; Pitt, J.I.; Gorris, L.G.M.; Swanson, K.M.J. (Eds.) Spices, dry soups, and oriental flavorings. In Micro-Organisms in Foods 6: Microbial Ecology of Food Commodities; Springer: Boston, MA, USA, 2005; pp. 360–391. [Google Scholar]
- Dalzini, E.; Cosciani-Cunico, E.; Bernini, V.; Bertasi, B.; Losio, M.-N.; Daminelli, P.; Varisco, G. Behaviour of Escherichia coli O157 (VTEC), Salmonella Typhimurium and Listeria monocytogenes during the Manufacture, Ripening and Shelf Life of Low Fat Salami. Food Control 2015, 47, 306–311. [Google Scholar] [CrossRef]
- Anderson, S. Collaborators: Determination of Fat, Moisture, and Protein in Meat and Meat Products by Using the FOSS FoodScan Near-Infrared Spectrophotometer with FOSS Artificial Neural Network Calibration Model and Associated Database: Collaborative Study. J. AOAC Int. 2007, 90, 1073–1083. [Google Scholar] [CrossRef] [PubMed]
- Dionex Corporation. Determination of Nitrate and Nitrite in Meat Using High-Performance Anion-Exchange Chromatography. 4. 1998. Available online: https://assets.thermofisher.com/TFS-Assets/CMD/Application-Notes/4069-AN112_LPN0837-01.pdf (accessed on 3 February 2022).
- ISO 18787:2017; Foodstuff—Determination of Water Activity. ISO: Geneva, Switzerland, 2017.
- ISO 15214:1998; Microbiology of Food and Animal Feeding Stuffs—Horizontal Method for the Enumeration of Mesophilic Lactic Acid Bacteria—Colony-Count Technique at 30 Degrees C. ISO: Geneva, Switzerland, 1998.
- ISO 11290-2:2017; Microbiology of the Food Chain. Horizontal Method for the Detection and Enumeration of Listeria Monocytogenes and Other Listeria spp.—Part 2: Enumeration Method. ISO: Geneva, Switzerland, 2017.
- ISO/TS, 11133-1:2009; Microbiology of Food and Animal Feeding Stuffs—Guidelines on Preparation and Production of Culture Media—Part 1: General Guidelines on Quality Assurance for the Preparation of Culture Media in the Laboratory. ISO: Geneva, Switzerland, 2009.
- ISO/TS, 11133-2:2011; Microbiology of Food and Animal Feeding Stuffs—Guidelines on Preparation and Production of Culture Media—Part 2: Practical Guidelines on Performance Testing of Culture Media. ISO: Geneva, Switzerland, 2011.
- R: The R Project for Statistical Computing. Available online: https://www.r-project.org/ (accessed on 3 February 2022).
- Hereu, A.; Bover-Cid, S.; Garriga, M.; Aymerich, T. High Hydrostatic Pressure and Biopreservation of Dry-Cured Ham to Meet the Food Safety Objectives for Listeria monocytogenes. Int. J. Food Microbiol. 2012, 154, 107–112. [Google Scholar] [CrossRef] [PubMed]
- Estévez, M.; Morcuende, D.; Ventanas, S.; Cava, R. Analysis of Volatiles in Meat from Iberian Pigs and Lean Pigs after Refrigeration and Cooking by Using SPME-GC-MS. J. Agric. Food Chem. 2003, 51, 3429–3435. [Google Scholar] [CrossRef] [PubMed]
- Zanardi, E.; Ghidini, S.; Conter, M.; Ianieri, A. Mineral Composition of Italian Salami and Effect of NaCl Partial Replacement on Compositional, Physico-Chemical and Sensory Parameters. Meat Sci. 2010, 86, 742–747. [Google Scholar] [CrossRef] [PubMed]
- Sebranek, J.G.; Bacus, J.N. Cured Meat Products without Direct Addition of Nitrate or Nitrite: What Are the Issues? Meat Sci. 2007, 77, 136–147. [Google Scholar] [CrossRef]
- Li, L.; Shao, J.; Zhu, X.; Zhou, G.; Xu, X. Effect of Plant Polyphenols and Ascorbic Acid on Lipid Oxidation, Residual Nitrite and N-Nitrosamines Formation in Dry-Cured Sausage. Int. J. Food Sci. Technol. 2013, 48, 1157–1164. [Google Scholar] [CrossRef]
- Huang, L.; Zeng, X.; Sun, Z.; Wu, A.; He, J.; Dang, Y.; Pan, D. Production of a Safe Cured Meat with Low Residual Nitrite Using Nitrite Substitutes. Meat Sci. 2020, 162, 108027. [Google Scholar] [CrossRef]
- American Meat Institute Foundation. Good Manufacturing Practices for Fermented Dry and Semi-Dry Sausage Products. 1997. Available online: https://meathaccp.wisc.edu/Model_Haccp_Plans/assets/GMP%20Dry%20Sausage.pdf (accessed on 3 February 2022).
- Bonilauri, P.; Merialdi, G.; Ramini, M.; Bardasi, L.; Taddei, R.; Grisenti, M.S.; Daminelli, P.; Cosciani-Cunico, E.; Dalzini, E.; Frustoli, M.A.; et al. Modeling the Behavior of Listeria innocua in Italian Salami during the Production and High-Pressure Validation of Processes for Exportation to the U.S. Meat Sci. 2021, 172, 108315. [Google Scholar] [CrossRef]
- Bonilauri, P.; Grisenti, M.S.; Daminelli, P.; Merialdi, G.; Ramini, M.; Bardasi, L.; Taddei, R.; Cosciani-Cunico, E.; Dalzini, E.; Frustoli, M.A.; et al. Reduction of Salmonella spp. Populations in Italian Salami during Production Process and High Pressure Processing Treatment: Validation of Processes to Export to the U.S. Meat Sci. 2019, 157, 107869. [Google Scholar] [CrossRef]
- Mataragas, M.; Bellio, A.; Rovetto, F.; Astegiano, S.; Greci, C.; Hertel, C.; Decastelli, L.; Cocolin, L. Quantification of Persistence of the Food-Borne Pathogens Listeria monocytogenes and Salmonella enterica during Manufacture of Italian Fermented Sausages. Food Control 2015, 47, 552–559. [Google Scholar] [CrossRef]
- Nightingale, K.K.; Thippareddi, H.; Phebus, R.K.; Marsden, J.L.; Nutsch, A.L. Validation of a Traditional Italian-Style Salami Manufacturing Process for Control of Salmonella and Listeria monocytogenes. J. Food Prot. 2006, 69, 794–800. [Google Scholar] [CrossRef]
- Porto-Fett, A.C.S.; Call, J.E.; Shoyer, B.E.; Hill, D.E.; Pshebniski, C.; Cocoma, G.J.; Luchansky, J.B. Evaluation of Fermentation, Drying, and/or High Pressure Processing on Viability of Listeria monocytogenes, Escherichia coli O157:H7, Salmonella spp., and Trichinella Spiralis in Raw Pork and Genoa Salami. Int. J. Food Microbiol. 2010, 140, 61–75. [Google Scholar] [CrossRef]
- Poole, K. Stress responses as determinants of antimicrobial resistance in Gram-negative bacteria. Trends Microbiol. 2012, 20, 227–234. [Google Scholar] [CrossRef]
- Bae, Y.M.; Lee, S.Y. Combined effects of organic acids and salt depending on type of acids and pathogens in laboratory media and acidified pickle. J. Appl. Microbiol. 2015, 119, 455–464. [Google Scholar] [CrossRef]
- Ockerman, H.W.; Basu, L. Production and consumption of fermented meat products. In Handbook of Fermented Meat and Poultry; Toldra, F., Ed.; Blackwell Publishing Ltd.: Oxford, UK, 2007; pp. 9–16. [Google Scholar]
- Gounadaki, A.; Skandamis, P.; Drosinos, E.H.; Nychas, G.J.E. Survival of Listeria monocytogenes during the Fermentation and Ripening Process of Sausages. In Proceedings of the 1st Hellenic Symposium in Food Biotechnology and Technology. Association of Greek Chemists and Hellenic Association of Chemical Engineers, Athens, Greece, 2005; pp. 436–441. Available online: https://www.researchgate.net/publication/281164813_Survival_of_Listeria_monocytogenes_during_the_fermentation_and_ripening_process_of_sausages (accessed on 3 February 2022).
- Omer, M.K.; Alvarez-Ordonez, A.; Prieto, M.; Skjerve, E.; Asehun, T.; Alvseike, O.A. A Systematic Review of Bacterial Foodborne Outbreaks Related to Red Meat and Meat Products. Foodborne Pathog. Dis. 2018, 15, 598–611. [Google Scholar] [CrossRef]
- Gøtterup, J.; Olsen, K.; Knøchel, S.; Tjener, K.; Stahnke, L.H.; Møller, J.K. Colour Formation in Fermented Sausages by Meat-Associated Staphylococci with Different Nitrite-and Nitrate-Reductase Activities. Meat Sci. 2008, 78, 492–501. [Google Scholar] [CrossRef]
- Honikel, K.-O. The Use and Control of Nitrate and Nitrite for the Processing of Meat Products. Meat Sci. 2008, 78, 68–76. [Google Scholar] [CrossRef]
- Paik, H.-D.; Lee, J.-Y. Investigation of Reduction and Tolerance Capability of Lactic Acid Bacteria Isolated from Kimchi against Nitrate and Nitrite in Fermented Sausage Condition. Meat Sci. 2014, 97, 609–614. [Google Scholar] [CrossRef]




| Batch | Parameters | ||||||
|---|---|---|---|---|---|---|---|
| Protein | Fat | Salt (Sodium Chloride) | Ashes | Moisture | Nitrates (Sodium Nitrate) | Nitrites (Sodium Nitrite) | |
| Batch A | 16.8 ± 0.4 A | 28.9 ± 1.1 A | 2.1 ± 0.1 A | 3.2 ± 0.1 A | 51.5 ± 0.5 A | <10 * | <5 * |
| Batch B | 17.6 ± 0.1 B | 23.8 ± 0.5 B | 2.6 ± 0.2 A | 3.5 ± 0.1 A | 55.5 ± 0.3 B | 87 ± 4.2 B | 5.5 ± 0.7 A |
| Batch C | 17.8 ± 0.3 B | 25.9 ± 0.9 AB | 2.2 ± 0.2 A | 3.2 ± 0.2 A | 52.9 ± 0.5 A | 142 ± 8.5 C | 72 ± 4.2 B |
Publisher’s Note: MDPI stays neutral with regard to jurisdictional claims in published maps and institutional affiliations. |
© 2022 by the authors. Licensee MDPI, Basel, Switzerland. This article is an open access article distributed under the terms and conditions of the Creative Commons Attribution (CC BY) license (https://creativecommons.org/licenses/by/4.0/).
Share and Cite
Dalzini, E.; Merigo, D.; Caproli, A.; Monastero, P.; Cosciani-Cunico, E.; Losio, M.-N.; Daminelli, P. Inactivation of Listeria monocytogenes and Salmonella spp. in Milano-Type Salami Made with Alternative Formulations to the Use of Synthetic Nitrates/Nitrites. Microorganisms 2022, 10, 562. https://doi.org/10.3390/microorganisms10030562
Dalzini E, Merigo D, Caproli A, Monastero P, Cosciani-Cunico E, Losio M-N, Daminelli P. Inactivation of Listeria monocytogenes and Salmonella spp. in Milano-Type Salami Made with Alternative Formulations to the Use of Synthetic Nitrates/Nitrites. Microorganisms. 2022; 10(3):562. https://doi.org/10.3390/microorganisms10030562
Chicago/Turabian StyleDalzini, Elena, Daniela Merigo, Alessia Caproli, Paola Monastero, Elena Cosciani-Cunico, Marina-Nadia Losio, and Paolo Daminelli. 2022. "Inactivation of Listeria monocytogenes and Salmonella spp. in Milano-Type Salami Made with Alternative Formulations to the Use of Synthetic Nitrates/Nitrites" Microorganisms 10, no. 3: 562. https://doi.org/10.3390/microorganisms10030562
APA StyleDalzini, E., Merigo, D., Caproli, A., Monastero, P., Cosciani-Cunico, E., Losio, M.-N., & Daminelli, P. (2022). Inactivation of Listeria monocytogenes and Salmonella spp. in Milano-Type Salami Made with Alternative Formulations to the Use of Synthetic Nitrates/Nitrites. Microorganisms, 10(3), 562. https://doi.org/10.3390/microorganisms10030562

