Abstract
Steer-by-wire technology, critical for autonomous driving, enables full-wheel steering in articulated vehicles, significantly enhancing maneuverability in complex driving environments. This study investigates dynamic envelope optimization for articulated multi-body vehicles by integrating coordinated multi-axle steering control strategies with higher-order Bezier curve designs. Unlike traditional approaches that primarily focus on single-axle steering, this research emphasizes the advantages of multi-axle steering control, which significantly reduces the dynamic envelope and enhances maneuverability. To address the challenges posed by constrained road environments, a comparative analysis of Septimic Bezier curves under various control point configurations was conducted, demonstrating their effectiveness in achieving smoother curvature transitions and steering comfort. The results highlight the pivotal role of reducing curvature peaks and increasing curvature continuity in optimizing vehicle performance. Furthermore, advanced steering control strategies, such as Articulation Angle Reference (AAR) and Dual Ackermann Steering (DAS), were shown to outperform conventional methods by ensuring precise trajectory control and improved stability. This study provides actionable insights for enhancing vehicle handling and safety in complex driving scenarios, offering a framework for future road design and multi-axle steering system development.
1. Introduction
Electric vehicles (EVs) are rapidly transforming global transportation due to their environmental benefits, energy efficiency, and design flexibility, particularly with advancements in autonomous driving and intelligent transportation systems [1,2]. As intelligent chassis control strategies become central to modern automotive engineering, multi-axle steering systems are gaining prominence for their ability to enhance vehicle maneuverability in complex scenarios like sharp turns, narrow lanes, and high-speed driving [3,4,5]. However, as multi-axle steering becomes more prevalent, it brings new challenges in optimizing dynamic envelopes to balance maneuverability and road space utilization, highlighting the need for advanced steering control and curve design.
Advanced steering control methods, such as dual-Ackermann systems for single-body vehicles and trajectory-tracking controllers for articulated vehicles, have been widely studied [6,7]. Previous research includes speed-dependent controllers for improved path-following accuracy, predictive controllers to mitigate jackknife instability, and precise linearization methods for articulated vehicles. These developments have addressed maneuverability challenges and achieved reduced tracking errors in dynamic scenarios [8,9,10].
For articulated vehicles, advanced multi-axle steering strategies have demonstrated significant potential in improving vehicle maneuverability and stability. Islam et al. developed a closed-loop simulation framework to evaluate active trailer steering systems, highlighting their effectiveness in minimizing off-tracking [11]. Wu and Hai (2003) analyzed dynamic lateral responses for multi-axle steering systems, while Vella et al. investigated cornering behavior using multi-body models, providing insights into the complex interactions between vehicle components and road conditions [12]. These studies collectively emphasize the importance of advanced modeling and steering strategies in overcoming maneuverability challenges for articulated vehicles [13].
Researchers have also developed path-following algorithms to address specific challenges in articulated vehicle control [14,15]. Notable methods include Barbosa’s robust recursive regulator, which improves lateral stability under parametric uncertainties [16,17,18], and Nayl’s switching scheme with multiple model predictive controllers tuned for different speeds and slip angles [19,20]. Gao’s virtual terrain field algorithm considers slip dynamics to enhance steering accuracy, while Ljungqvist’s predictive controller supports low-speed backward motion with multi-steered trailers [21,22]. Across these studies, active steering, robust path-following strategies, and model predictive control have demonstrated significant promise for improving stability, maneuverability, and path-following performance under diverse conditions [23,24].
Existing research has achieved significant progress in steering control and path-following for multi-body vehicles. However, limited attention has been given to the combined impact of road design and steering control strategies on dynamic envelope optimization, leaving opportunities to explore integrated solutions for better maneuverability and road utilization.
The dynamic envelope is defined as the spatial boundary that encompasses the maximum lateral, longitudinal, and vertical displacements of the vehicle’s structure and trajectory during motion. The dynamic envelope is a critical metric in vehicle dynamics and road design, influencing considerations for safety, road capacity, and vehicle maneuverability.
The goal of this paper is to optimize the dynamic envelope of articulated vehicles under complex road conditions. By evaluating the factors influencing the dynamic envelope, analyzing the role of curve design, and exploring various multi-axle steering control strategies, this study aims to provide actionable insights for both vehicle control and road design. The contributions of this paper can be summarized as follows:
- Factors influencing the dynamic envelope of articulated vehicles, including road geometry, vehicle configuration, and steering control strategies, are systematically analyzed, providing a comprehensive understanding of their impact on vehicle stability and maneuverability.
- Advanced curve design methods, such as higher-order Bezier curves, are applied to optimize the dynamic envelope, emphasizing the effects of curvature continuity and transition length on envelope characteristics and vehicle performance.
- The effects of steering control strategies, including single and dual Ackermann steering as well as multi-axle steering control algorithms, on the dynamic envelope are evaluated, offering insights into their advantages and limitations under various road and driving conditions.
This paper is made up of five sections. The definition of dynamic envelope and optimization framework are discussed in Section 2. In this section, the curve design methods and the influencing factors are analyzed. Section 3 outlines steering control strategies, providing a foundation for subsequent simulations. Section 4 details the establishment of a vehicle dynamics model, presents the simulation results and provides a discussion. Finally, the conclusions are given in Section 5.
2. Optimization Framework
This chapter will establish an optimization framework for the dynamic envelope of vehicles, focusing on enhancing maneuverability in complex road conditions, particularly in challenging scenarios such as navigating narrow curves.
2.1. Optimization Strategy
This section proposes two key strategies: to minimize the maximum dynamic envelope and to minimize the average dynamic envelope.
The Minimization of the Maximum Dynamic Envelope strategy, viewed from a road design perspective, focuses on increasing the turning radius to reduce the maximum required dynamic envelope.
The Minimization of the Average Dynamic Envelope strategy, approached from a vehicle design perspective, emphasizes reducing the average dynamic envelope across various operational scenarios.
To comprehensively optimize the dynamic envelope of articulated vehicles in narrow road conditions, the relevant influencing factors are listed as follows:
- 1.
- Turning Radius
The smaller the turning radius, the greater the dynamic envelope space required. This is closely related to the vehicle’s dimensions. Specifically, as the length of vehicle body increases, a more pronounced inward deviation is caused by the rigid body characteristics. The longer the wheelbase, the greater the displacement between the vehicle’s longitudinal midpoint and the expected trajectory centerline, further increasing the spatial requirements for safe navigation.
- 2.
- Off-tracking
For articulated vehicles, a larger off-tracking indicates a greater deviation of the inner wheels’ path from the outer wheels, typically requiring more space for maneuvering through the turn. Furthermore, off-tracking varies depending on the vehicle’s steering control strategy. Vehicles equipped with rear-axle active steering significantly reduce off-tracking, while those without such systems tend to exhibit greater deviations.
- 3.
- Path Tracking Error
Path tracking error primarily refers to the deviation between the front axle and the target trajectory. A smaller path tracking error indicates that the vehicle can more precisely follow the intended path, reducing lateral deviation while navigating the curve. However, vehicles with larger path tracking errors tend to occupy more road space, particularly in complex or congested traffic environments, which increases the consumption of road resources and reduces road utilization efficiency. In contrast, vehicles with smaller path tracking errors are able to use the road more efficiently, minimizing unnecessary road occupancy and thereby enhancing traffic flow and safety.
- 4.
- Steering Control Method
For vehicles equipped with rear axle active steering, the position of the control point plays a critical role in determining dynamic envelope. Specifically, for articulated vehicles, each vehicle unit should have two control points located along the target trajectory. The selection of these two control points directly influences the dynamic envelope of the vehicle during the turning. The equation for calculating the steering angle is shown as follows:
where represents the position of the vehicle, is the steering angle of the i-th axle, f represents different steering control methods, is the position of the i-th control point, and is the steering coefficient of axle i.
This section focuses on the dynamic envelope optimization strategy for articulated vehicles in narrow road conditions. Key factors influencing the dynamic envelope include vehicle dimensions, turning radius, vehicle steering control methods, and path-following accuracy. The optimization strategies aim to minimize both the maximum and the average dynamic envelope. In addition, the impact of curve must also be carefully considered in the optimization process.
2.2. Curve Design Algorithm
The Bezier curve defines the shape of the curve through control points and is widely used for designing smooth curves and paths. Its mathematical foundation is based on Bernstein polynomials and the concept of linear interpolation.
For a given non-negative integer n, the i-th Bernstein polynomial is defined as
where is the binomial coefficient, expressed as
Linear interpolation finds the position of a new point between two known points [25], and , using the parameter t, and is represented as
The Bezier curve is constructed by combining control points and Bernstein polynomials. Given n + 1 control points , … , the Bezier curve formula can be expressed as
To ensure the continuity of the designed path, the Bezier curve must satisfy the following conditions:
- C0 Continuity:
The curve’s position is the same at the connection point.
- C1 Continuity:
In addition to position continuity, the first derivative (tangent direction) is the same at the connection point.
- C2 Continuity:
The curve has the same position, tangent direction, and curvature at the connection point.
- C3 Continuity:
The position, tangent direction, and first derivative of curvature are continuous at the connection point.
2.3. Curve Optimization Algorithm
In Section 4, the Multi-Objective Genetic Algorithm (MOGA) is applied to optimize the control point positions of Septimic Bezier curves for dynamic envelope optimization.
MOGA [26] is an evolutionary algorithm designed to solve multi-objective optimization problems by finding a set of balanced solutions among conflicting objectives. In such optimization problems, the goal is to satisfy multiple objective functions simultaneously, and the resulting solutions form a set called the Pareto-optimal solutions. Pareto-optimal solutions cannot be improved in one objective without compromising at least one other objective, making them crucial for decision-making in engineering applications.
- Definition of Multi-Objective Optimization Problems.
- A multi-objective optimization problem can be defined aswhere represents the decision variables, denotes the objective functions, and and represent the inequality and equality constraints, respectively.
- Pareto-Optimal Solutions and Pareto Front
A solution is considered Pareto-optimal if no other solution exists such that for all , and for at least one . The set of all Pareto-optimal solutions forms the Pareto front, which represents the trade-offs among multiple objectives.
2.4. Performance Metrics
For articulated vehicles, especially during turning, the dynamic envelope becomes more intricate compared to traditional single-unit vehicles. The steering dynamics of articulated vehicles significantly influence their occupied space. The key metrics for evaluating the dynamic envelope are curvature and lateral margin.
The Dynamic Envelope (DE) is calculated as follows:
where vehicle width (VW) represents the physical width of the vehicle, typically measured as the distance between the outermost points of the vehicle’s body, lateral margin (LM) indicates the minimum clearance required between the vehicle’s side and the road edge, accounting for any lateral deviations or errors during turning, and L represents the wheelbase. This formula provides a comprehensive metric to calculate the spatial requirements of a vehicle’s dynamic envelope during complex maneuvers.
As shown in Figure 1, the solid line represents the boundary trajectory of the vehicle, while the dash-dotted line represents the center trajectory of the vehicle. The red box is a diagram of the simulation vehicle. The specific markers illustrate different key positions: diamonds indicate points on the vehicle’s center trajectory, circles represent the innermost boundary points of vehicle, and triangles mark the outermost boundary points of vehicle. The distance between the circles and triangles determines the dynamic envelope. By iterating through all points along the trajectory, the continuous dynamic envelope values are obtained.
Figure 1.
Dynamic envelope calculation based on vehicle trajectories.
While the maximum dynamic envelope determines the widest point required for road design, the average dynamic envelope reflects the overall road-widening area needed while navigating the curve. For vehicles operating on fixed routes, this metric is crucial as it determines the required total road space occupied by the vehicle during its movement, influencing both road design and vehicle-road compatibility.
3. Steering Control Strategies
By adopting advanced multi-axle steering techniques, articulated vehicles can maneuver narrow lanes and tight curves with improved stability, maneuverability, and safety. This section begins with an analysis of steering control strategies for single-unit vehicles before extending the discussion to articulated vehicles.
3.1. Single-Unit Vehicles Steering Control Strategy
Single Ackermann Steering (SAS) is a traditional method where only the front wheels steer, while rear wheels maintain straight-line motion or make limited adjustments when necessary. Its simplified structure and low cost make it suitable for applications with basic steering requirements. Mathematically, the SAS strategy is defined as
Here, and denote the front and rear steering angles, k is a steering ratio coefficient, v is the vehicle speed, L is the wheelbase, and θ is the steering wheel input. SAS’s primary limitation lies in its reliance on the front wheels, which can affect stability while navigating high-speed straight road or narrow curves.
Dual Ackermann Steering (DAS), by contrast, synchronizes the steering of all wheels, dynamically adjusting angles based on vehicle speed and input. In DAS, the coefficient k is significantly larger compared to SAS and can reach up to 1.0, allowing the rear wheels to contribute actively to steering, thereby improving stability and maneuverability in complex driving scenarios.
3.2. Articulated Vehicles Steering Control Strategy
For articulated vehicles, reducing the dynamic envelope requires the use of advanced multi-axle steering control algorithms, which offer greater precision and flexibility compared to traditional single-axle steering methods.
The Historical Trajectory Reference (HTR) method is proposed and employed in articulated vehicle steering systems, where the heading angle of the first axle in the global coordinate system at each trajectory point serves as a reference. The rear axles then replicate this heading angle when they reach the corresponding positions.
Under the kinematic model assumption, as long as the vehicle’s steering angle matches the heading angle at the corresponding mileage point along the target trajectory, the vehicle’s motion trajectory will align with the target trajectory. After updating the vehicle’s mileage, the heading angle of all control points is updated using the following formula:
where represents the heading angle of control point k, represents the mileage of control point 1, represents the mileage of control point k, and is the historical trajectory reference matrix. Figure 2 illustrates the discrete logic framework of the HTR method for articulated vehicle steering control.
Figure 2.
Discrete flowchart of HTR method for articulated vehicles.
This method ensures that all axles of the vehicle follow the same trajectory as the first axle, thereby enabling precise path tracking and reducing the dynamic envelope. The key steps in this framework are as follows:
- Recording the Heading Angle of the First Axle: At each time step, the heading angle of the first axle is directly recorded in the global coordinate system as it drives along the target trajectory. The real-time heading angle is obtained from onboard sensors and the recorded heading angle serves as the reference value for rear axles.
- Recording the Odometer for Axle Position Updates: The odometer data are used to establish the relationship between the spatial mileage information and the heading angle . This differentiation in mileage serves as the foundation for referencing the historical trajectory, enabling precise alignment and trajectory-following behavior across all axles.
- Propagation of the Heading Angle to Rear Axles: At each time step, when any rear axle reaches the same spatial position with the first axle, it directly retrieves and replicates the corresponding heading angle from the reference table. This ensures that all axles share the same heading angle at the same spatial positions, maintaining consistency in the global coordinate system.
Building on the trajectory alignment principles of HTR method, which utilizes the vehicle’s historical trajectory as a reference, the Articulation Angle Reference (AAR) method [27] shifts focus to the vehicle’s real-time posture during steady-state circular motion. By referring articulation angle adjustments, AAR achieves more precise control of the vehicle axles along with the target trajectory.
The AAR method, under low-speed steering conditions, where the tire side-slip angle is relatively small and can be neglected, ensures that during steady-state circular motion, the trajectories of all vehicle axles lie on the same arc, allowing the rear axle to effectively follow the motion of the front axle. Specifically, under this control strategy, the steering angle of the rear axle is adjusted in the opposite direction and with the similar magnitude as that of the front axle at any given moment. This approach completely eliminates off-tracking during steady-state circular motion. The mathematical expression is as follows:
In this equation, the steering angle of the rear axle is determined by multiplying the front axle’s steering angle by λ.
4. Simulation Results and Discussion
This section presents the outcomes of the simulations, focusing on the effects of curve design and steering control methods on dynamic envelope performance and vehicle maneuverability.
4.1. Vehicle Simulation Model
This study uses the multi-body dynamics simulation software combined with C++ for calculating the dynamic envelope with different steering control algorithms of articulated vehicles.
Figure 3 above illustrate the vehicle structure. Each axle is connected to the vehicle body through air springs, dampers, and suspension arms. These connections are modeled using bipolar forces. The red components in the diagrams represent the axles, while the blue kingpins connect the wheels to the axles, allowing rotation around the z-axis. Axles 1 and 2 are linked via a steering linkage, enabling synchronized steering. Vehicle bodies are connected via spherical joints, with 3 degrees of rotational freedom defined at the connection points. Contact forces are applied to limit movement, while longitudinal and lateral dampers provide additional stabilization, modeled using bipolar forces. After constructing the vehicle model, road data are generated using Bezier curves created in MATLAB R2023a. These curves are then imported into the simulation to produce road files for simulation.
Figure 3.
Structure components of articulated vehicles.
In simulation, a linear tire model is employed to represent the interaction between the tires and the road surface, providing a simplified yet effective means to capture the essential dynamics of the vehicle. The linear tire model assumes that the lateral tire forces are proportional to the slip angle, which is valid for small slip angles typically encountered during moderate vehicle maneuvers. This approach simplifies the complex nonlinear tire–road interaction, making it computationally efficient while maintaining sufficient accuracy for the intended applications.
To provide a detailed representation of the articulated vehicle’s parameters used in the simulation, Table 1 outlines the key physical and structural characteristics.
Table 1.
Vehicle parameters of the simulation model.
4.2. Steering Control Simulation
This section will analyze the influence of different multi-axle steering control methods on the dynamic envelope, evaluating their optimization effects of different steering control strategy.
In road design, maintaining curvature continuity is essential to ensure that vehicles can navigate curves smoothly and steadily. Compared to cubic and quintic Bezier curves, the Septimic Bezier curve demonstrates superior performance due to its smaller curvature derivative, which results in smoother curvature changes and reduced steering angle yaw rate. These characteristics enhance the precision and stability of steering control, making the Septimic Bezier curve an ideal choice for this study’s analysis.
4.2.1. Single-Unit Vehicles
As illustrated in Figure 4, the Dual Ackermann Steering (DAS) system demonstrates significant advantages over the Single Ackermann Steering (SAS) system. Figure 4a shows the steering angle variations for SAS and DAS. Notably, the DAS dynamically adjusts the steering angles of both the front and rear wheels based on vehicle speed and steering input, resulting in smoother and more synchronized steering responses. In contrast, the SAS relies solely on the front wheels for steering, leading to larger steering angle magnitudes and more abrupt transitions, as seen in the figure. This difference is further highlighted in Figure 4b, which compares the dynamic envelopes under the SAS and DAS. The DAS system consistently produces narrower dynamic envelopes, indicative of improved path-following accuracy and reduced off-tracking.
Figure 4.
Single-unit vehicle simulation result: (a) steering angle; (b) dynamic envelope; SA represents the results under Single Ackermann methods while DA represents the results under Dual Ackermann methods.
4.2.2. Articulated Vehicles
The Articulation Angle Reference method (AAR) and Historical Trajectory Reference method (HTR) represent two distinct steering control strategies. Figure 5 provide simulation results that illustrate the respective impacts of these methods on steering control and dynamic envelope performance.
Figure 5.
Articulated vehicle simulation results: (a) steering angle of AAR method; (b) dynamic envelope of AAR method; (c) steering angle of HTR method; (d) dynamic envelope of HTR method.
As shown in Figure 5a, the AAR method dynamically adjusts the steering angles of the front and rear axles in a reversed direction. This adjustment eliminates off-tracking during steady-state circular motion, allowing all axles to follow an identical arc trajectory. This precise control enhances path-tracking accuracy, particularly under low to medium-speed steering conditions, as reflected in the smooth and consistent steering angle transitions.
Figure 5b further demonstrates the AAR method’s impact on the vehicle’s dynamic envelope. The maximum dynamic envelope achieved is 3.45 m, and the average envelope value is 3.13 m, showcasing its effectiveness in minimizing lateral deviations and improving spatial efficiency.
Figure 5c illustrates the application of the HTR method, where the heading angles of the first axle are recorded at discrete mileage points in the global coordinate system. This method ensures accurate trajectory-following, as demonstrated by the controlled and consistent steering angle patterns shown in the figure.
In Figure 5d, the dynamic envelope under the HTR method is visualized, with a maximum dynamic envelope value of 3.51 m and an average value of 3.16 m. While the HTR method provides stable and accurate control, it demands significant computational and storage resources due to the large volume of data required for real-time updates.
The comparison between AAR and HTR methods highlights their distinct strengths tailored to specific scenarios. AAR achieves a smaller maximum dynamic envelope (3.45 m versus 3.51 m for HTR), demonstrating improved spatial efficiency and control precision, particularly under steady-state circular motion. AAR’s reversed steering angle relationship enables superior maneuverability in tight-radius turns, while HTR’s reliance on historical trajectory ensures robust path-following and adaptability under dynamic and complex road conditions.
In summary, AAR outperforms HTR in scenarios demanding precise maneuverability, as reflected in its reduced dynamic envelope and smoother steering transitions.
4.3. Curve Design Simulation
This section summarizes the results of 10 cases selected for the Septimic Bezier curve designs, focusing on curvature characteristics and dynamic envelope performance. These cases were analyzed to evaluate the impact of control point adjustments while designing a curve on the dynamic envelope and steering smoothness. The key parameters include the curvature peak, curve length, maximum dynamic envelope, average dynamic envelope, maximum steering angle, and maximum steering angle rate.
Given the fixed start and end points of the curve and its symmetry, only the x-coordinates of three intermediate control points are optimized. MOGA was employed to optimize the control point positions of Septimic Bezier curves, aiming to achieve optimal dynamic envelope design. The start and end points of the curve were fixed at and , respectively, while the curve’s symmetry dictated the configuration of the control points as , , , , , and . The optimization variables were , , and , with the objective of minimizing the maximum curvature and maximum curvature derivative .
To ensure curve smoothness and continuity, constraints were applied to guarantee the tangent at the start and end points, and the and coordinates of the control points were restricted to predefined ranges. The parameters included a population size of 100 and a maximum of 200 iterations. The Pareto front obtained through MOGA comprised a series of optimal solutions that revealed a trade-off between the objectives: solutions with smaller maximum curvature typically exhibited higher curvature derivatives, while solutions with lower curvature derivatives corresponded to relatively larger maximum curvatures. To visually analyze the trade-off between the maximum curvature and curvature derivative, Figure 6 was plotted.
Figure 6.
Pareto front result of curve design optimization; The X-axis represents the curvature peak, while the Y-axis represents the curvature derivative peak.
The results highlight a clear conflict between these two objectives, as improving one inevitably compromises the other. For instance, to satisfy engineering requirements where the maximum curvature derivative is less than 0.005 and the maximum curvature is below 0.065, only 10 solutions on the Pareto front meet these constraints. The optimization results of MOGA led to the selection of Cases 1 to 6 for analyzing the impact of curvature design on dynamic envelope performance. Additionally, Cases 7 to 10 were designed to evaluate the impacts of curve length on the dynamic envelope. The following table provides a comprehensive comparison of design parameters.
Table 2 summarizes the control point configurations for ten simulation cases. These cases are selected and designed to evaluate the impact of control point placement on curvature peak, curvature derivative, and dynamic envelope.
Table 2.
The optimization results of the MOGA algorithm (the selected control points of simulation cases). It is important to note that the data used in this study were selected solely for research purposes and do not include cases where the curvature derivative is less than 0.005.
Table 3 presents the optimization results obtained from the MOGA algorithm, listing the selected control points for ten simulation cases. It includes key performance metrics such as curvature peak, maximum curvature derivative, maximum dynamic envelope, average dynamic envelope, maximum steering angle, maximum steering angle rate, and curve length. By comparing these parameters, the table illustrates the trade-offs between minimizing the curvature peak, reducing the curvature derivative, and achieving optimal dynamic envelope dimensions, providing insights into the effects of curve length and curvature characteristics on vehicle maneuverability.
Table 3.
The curve parameters and dynamic envelope of simulation cases.
To further illustrate the design and performance of the Bezier curves, Case 2 is selected as a representative example due to its optimal balance between curvature peak reduction and curvature continuity, as shown in Figure 7.
Figure 7.
Septimic Bezier curve Case 2: (a) Bezier curve design; (b) curvature and curvature derivative.
The optimization results based on the Bezier curve design reveal a clear relationship between control point configurations, curvature characteristics, and dynamic envelope performance. As shown in Table 2 and Table 3, the curvature peak and the curvature derivative are significantly influenced by the relative positioning of the control points, which in turn impacts the curve length and dynamic envelope. A decrease in curvature peak, coupled with an increase in curvature radius, consistently reduces dynamic envelope. For example, Case 6, with the lowest curvature peak (0.052) among Cases 1–6, achieves the smallest maximum dynamic envelope (3.69 m). However, the trade-off is evident in Case 6, where a slightly higher curvature derivative peak (0.0117) suggests an increased steering angle rate, potentially affecting maneuverability in dynamic conditions.
To better understand the influence of curvature characteristics on steering behavior, Figure 8a,b compares the steering angle changes for Case 6 and Case 2, respectively.
Figure 8.
Steering angle of Septimic Bezier curve: (a) Case 2; (b) Case 6.
As shown in Figure 8a,b, the steering angle changes in Case 2 and Case 6 reveal distinct characteristics influenced by the curvature peak and curvature derivative. While Case 6 exhibits a smaller curvature peak (0.052) compared to Case 2 (0.075), the higher maximum curvature derivative in Case 6 (0.117 vs. 0.007) results in a more abrupt change in the steering angle rate. This discrepancy highlights the trade-off between curvature continuity and steering smoothness.
The peak steering angles are different, with Case 6 reaching approximately 15.4 degrees and Case 2 reaching 17.6 degrees. However, the trend of the steering angle in Case 6 displays sharper transitions, particularly at inflection points, indicating fewer smooth adjustments. The higher curvature derivative in Case 6 leads to larger variations in steering angle over shorter time intervals, as evidenced by steeper slopes in the steering angle curves. This results in a higher steering angle rate, contributing to fewer smooth transitions and potentially impacting vehicle stability during dynamic maneuvers. In contrast, Case 2, with its smaller curvature derivative peak, maintains a more gradual and consistent steering angle change, improving overall maneuverability and driving comfort.
Although Case 6 benefits from a smaller curvature peak, its higher curvature derivative leads to faster steering angle variability, compromising smoothness and stability in the turning process. On the other hand, Case 2 achieves a better balance between curvature continuity and steering angle control, ensuring a more stable and precise vehicle steering control response. These findings underscore the importance of minimizing the curvature derivative to optimize steering smoothness and enhance vehicle performance in constrained environments.
Building on this, the impacts of curvature peaks, curvature derivative, and curve length on dynamic envelope performance are analyzed.
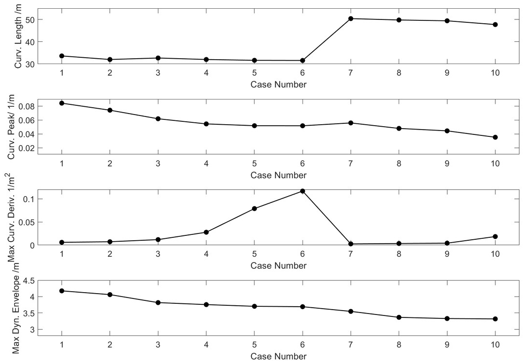
As illustrated in Figure 9, the first subplot shows that curve length remains stable in Cases 1 to 6 but increases significantly in Cases 7 to 10, reflecting adjustments in design parameters. The second subplot highlights the curvature peak values, which gradually increase in Cases 1 to 6 and rise sharply in Cases 7 to 10, indicating the impact of extended path lengths. The third subplot demonstrates the maximum curvature derivative, which fluctuates slightly in Cases 1 to 6 but stabilizes after a sharp decrease in Case 7. Finally, the fourth subplot presents the maximum dynamic envelope, showing a declining trend in Cases 1 to 6, emphasizing improved spatial efficiency, and stabilizing in Cases 7 to 10.
Figure 9.
Boundary analysis diagram of different multi-axle steering control strategies based on different curves.
It is observed that the dynamic envelope is closely correlated with the curvature peak values, particularly when the path length remains constant. Comparing Case 1 to 6, the curve lengths remain relatively unchanged, indicating that the curvature peak primarily determines the maximum dynamic envelope. Higher curvature peaks correspond to wider dynamic envelopes, emphasizing their critical role in dynamic envelope optimization.
In contrast, a comparison between Case 1 and Case 3 reveals a different trend: while the curvature peak increases in Case 3, the maximum dynamic envelope significantly decreases due to a substantial increase in curve length. It suggests that increased path length can mitigate the impact of higher curvature peaks, reducing the maximum dynamic envelope effectively.
4.4. Discussion
Based on practical engineering requirements, this study proposes the following sequential criteria for designing optimal curves:
- Prioritize limiting the maximum curvature derivative: Ensure the maximum curvature derivative remains below a specified threshold to guarantee smooth transitions and enhance vehicle stability during steering maneuvers. This step is critical to avoid abrupt changes in the steering angle that could compromise vehicle control.
- Control curvature peaks under the curvature derivative constraint: Once the maximum curvature derivative requirement is satisfied, select solutions with lower maximum curvature values to minimize the dynamic envelope. This further improves vehicle maneuverability, particularly in constrained or complex environments, while maintaining smooth steering transitions.
The dynamic envelope is influenced by both curvature peaks and curve lengths. When curve lengths remain consistent, curvature peaks are the dominant factor in determining the dynamic envelope. However, substantial increases in path length can partially counteract the effect of higher curvature peaks, leading to a smaller dynamic envelope. This interplay underscores the importance of balancing curvature continuity, curve length, and curvature peaks in road design and steering control.
In addition, when the vehicle enters a curve at a constant speed, the steering angle must be adjusted according to the curvature to maintain a precise trajectory. There is a direct proportional relationship between the steering angle and the curvature: the greater the curvature, the larger the required steering angle. Consequently, ensuring the continuity of curvature is critical for smooth and stable vehicle steering control. However, in the design of transition curves, merely matching curvature at junction points is insufficient to guarantee vehicle stability. To achieve stable steering responses, the continuity of curvature derivative at junction points must also be maintained. A large curvature derivative can result in rapid steering angle adjustments, potentially leading to instability. By ensuring the continuity of the curvature derivative, smoother steering angle transitions can be achieved, enhancing both the stability and comfort of vehicle motion.
In summary, to optimize vehicle maneuverability and stability under constrained conditions, road design should aim to minimize curvature peaks while carefully extending the turning path length as necessary. A lower curvature peak reduces the maximum dynamic envelope, while an appropriately increased path length further enhances stability and vehicle throughput. These findings provide actionable insights into designing roads that accommodate articulated vehicles with improved handling and spatial efficiency.
5. Conclusions
The dynamic envelope is critically influenced by curve design, where key parameters such as the curvature, curvature peak, and curvature derivative play a dominant role. Reducing the curvature peak and increasing the curvature radius are proven to effectively decrease the dynamic envelope, thereby enhancing vehicle maneuverability and spatial efficiency. These findings underscore the importance of designing curves with lower curvature peaks and larger radii, particularly for tight spaces or narrow lanes. Furthermore, the adoption of higher-order Bezier curves, such as the seventh-order curve, ensures smoother transitions and enhanced curvature continuity, minimizing abrupt changes in steering angles. In scenarios with more relaxed spatial constraints, curve designs can shift focus toward balancing the reduction in curvature peaks with vehicle stability, optimizing overall performance.
The choice of steering control strategies significantly impacts the dynamic envelope performance, especially for articulated vehicles. Compared to single-axle steering, multi-axle steering demonstrates superior effectiveness in minimizing dynamic envelope, reducing off-tracking, and improving trajectory accuracy. Among these strategies, the Articulation Angle Reference (AAR) method achieves the smallest dynamic envelope in steady-state conditions. Similarly, the Dual Ackermann Steering (DAS) strategy enhances maneuverability in constrained road conditions by reducing turning radius while maintaining precise trajectory control. On the other hand, the Historical Trajectory Reference (HTR) method provides robust path-following capabilities in complex road conditions, though it may require significant computational resources.
Dynamic envelope optimization requires a comprehensive approach integrating curve design and steering control strategies. A critical trade-off exists between curvature peaks and curvature derivatives in curve design, as minimizing the curvature peak often leads to an increase in the curvature derivative.
In practical engineering applications, this trade-off can be managed by selecting curves with the smallest curvature peak while ensuring that the curvature derivative remains below 0.005. Reducing curvature peaks and increasing curvature radii are fundamental to minimizing the dynamic envelope, thereby enhancing vehicle maneuverability and spatial efficiency.
Meanwhile, multi-axle steering systems, such as Articulation Angle Reference (AAR) and Dual Ackermann Steering (DAS), further improve vehicle performance by reducing off-tracking and ensuring precise trajectory control.
By combining carefully designed curves with advanced multi-axle steering strategies, this study provides a robust framework for optimizing vehicle handling and stability in constrained driving environments, enhancing both operational efficiency and safety.
Author Contributions
Methodology and Simulation, Z.S.; Software, S.Y. and H.W.; Resources, C.Z. and Z.C.; Supervision, J.H.M. and W.W. All authors have read and agreed to the published version of the manuscript.
Funding
This research received no external funding.
Data Availability Statement
Data are contained within the article.
Conflicts of Interest
Authors Shizhi Yang, Chi Zhang and Zhousen Cui were employed by the company CRRC NanJing Puzhen Co., Ltd. The remaining authors declare that the research was conducted in the absence of any commercial or financial relationships that could be construed as a potential conflict of interest.
References
- Németh, B.; Fényes, D.; Gáspár, P.; Mihály, A. Analysis and robust control design of a steering system for autonomous vehicles. In Proceedings of the IEEE International Conference on Advanced Intelligent Mechatronics (AIM), Munich, Germany, 3–6 July 2017; pp. 535–540. [Google Scholar] [CrossRef]
- Zhang, D.; Li, J.; Guo, N.; Liu, Y.; Shen, S.; Wei, F.; Chen, Z.; Zheng, J. Adaptive deep reinforcement learning energy management for hybrid electric vehicles considering driving condition recognition. Energy 2023, 262, 134086. [Google Scholar] [CrossRef]
- Tanaka, K.; Kosaki, T. Design of a table fuzzy controller for an articulated vehicle. IEEE Trans. Syst. Man Cybern. 1997, 27, 552–558. [Google Scholar] [CrossRef]
- Cox, R.L. A review of the effect of increases in vehicle size on Australian geometric road design standards. Aust. Road Res. 1998, 28, 45–56. [Google Scholar]
- Haldane, M.J.; Bunker, J.M. Assessing the Impacts of Multi-Combination Vehicles on Traffic Operations and Safety; Tech. Rep.; Queensland Univ. Technol.: Brisbane, Australia, 2002; Available online: https://eprints.qut.edu.au/12345/ (accessed on 20 August 2024).
- Harwood, D.W.; Hummer, J.E.; Knapp, K. Operational and Safety Effects of Highway Geometrics at the Turn of the Millennium and Beyond; Tech. Rep. 00082; Transportation Research Board: Washington, DC, USA, 2000; Available online: https://onlinepubs.trb.org/onlinepubs/millennium/00082.pdf (accessed on 24 August 2024).
- Kano, H.; Fujioka, H. B-spline trajectory planning with curvature constraint. In Proceedings of the American Control Conference (ACC), Milwaukee, WI, USA, 27–29 June 2018; pp. 1963–1968. [Google Scholar] [CrossRef]
- Sun, C.; Zhang, X.; Xi, L.; Tian, Y. Design of a path-tracking steering controller for autonomous vehicles. Energies 2018, 11, 1451. [Google Scholar] [CrossRef]
- Jujnovich, B.A.; Cebon, D. Path-following steering control for articulated vehicles. J. Dyn. Syst. Meas. Control 2013, 135, 031006. [Google Scholar] [CrossRef]
- Samper, M.; Tamura, T.; Kobayashi, N. Arbitrary path tracing control of articulated vehicles using nonlinear control theory. IEEE Trans. Control Syst. Technol. 1995, 3, 125–131. [Google Scholar] [CrossRef]
- Islam, M.M.; Ding, X.; He, Y. A closed-loop dynamic simulation-based design method for articulated heavy vehicles with active trailer steering systems. Veh. Syst. Dyn. 2012, 50, 675–697. [Google Scholar] [CrossRef]
- Vella, A.D.; Lisitano, D.; Tota, A.; Wang, B. Analysis of heavy commercial vehicle cornering behaviour through a multibody model. Int. J. Mech. Control 2020, 21, 39–50. [Google Scholar]
- Wu, D.H.; Hai, J. Analysis of dynamic lateral response for a multi-axle-steering tractor and trailer. Int. J. Heavy Veh. Syst. 2003, 10, 281–294. [Google Scholar] [CrossRef]
- Bolzern, P.; DeSantis, R.M.; Locatelli, A. An input-output linearization approach to the control of an n-body articulated vehicle. J. Dyn. Syst. Meas. Control 2001, 123, 309–316. [Google Scholar] [CrossRef]
- Zhang, Y.; Khajepour, A.; Hashemi, E.; Qin, Y.; Huang, Y. Reconfigurable model predictive control for articulated vehicle stability with experimental validation. IEEE Trans. Transp. Electrif. 2020, 6, 308–317. [Google Scholar] [CrossRef]
- Li, Z.; Chu, H.; Ning, G.; Gao, B. Data-enabled predictive control for stability improvement of articulated vehicles. In Proceedings of the European Control Conference (ECC), Stockholm, Sweden, 13–16 May 2024; pp. 2691–2696. [Google Scholar] [CrossRef]
- Zhou, Q.; Zhang, H.; He, Y.; Su, Y.; Jiang, Y.; Zheng, S. A directional-performance control design for articulated heavy vehicles with extendable-trailers. Veh. Syst. Dyn. 2024. early access. [Google Scholar] [CrossRef]
- Kim, K.-I.; Guan, H.; Wang, B.; Guo, R.; Liang, F. Active steering control strategy for articulated vehicles. Front. Inf. Technol. Electron. Eng. 2016, 17, 576–586. [Google Scholar] [CrossRef]
- Barbosa, F.M.; Marcos, L.B.; da Silva, M.M.; Terra, M.H.; Grassi, V., Jr. Robust path-following control for articulated heavy-duty vehicles. Control Eng. Pract. 2019, 85, 246–256. [Google Scholar] [CrossRef]
- Nayl, T.; Nikolakopoulos, G.; Gustafsson, T. Path following for an articulated vehicle based on switching model predictive control under varying speeds and slip angles. In Proceedings of the IEEE 17th International Conference on Emerging Technologies and Factory Automation (ETFA), Krakow, Poland, 17–21 September 2012; pp. 1–7. [Google Scholar] [CrossRef]
- Gao, Y.; Cao, D.; Shen, Y. Path-following control by dynamic virtual terrain field for articulated steer vehicles. Veh. Syst. Dyn. 2019, 58, 1528–1552. [Google Scholar] [CrossRef]
- Ljungqvist, O.; Axehill, D. A predictive path-following controller for multi-steered articulated vehicles. IFAC-PapersOnLine 2020, 53, 15725–15732. [Google Scholar] [CrossRef]
- Davins-Valldaura, J.; Plestan, F.; Moussaoui, S.; Pita-Gil, G. Design and optimization of nonlinear observers for road curvature and state estimation in automated vehicles. IEEE Trans. Intell. Transp. Syst. 2017, 18, 3315–3327. [Google Scholar] [CrossRef]
- Tang, C.; Li, T.; Ma, J.; Xiong, H. All-wheel steering path tracking control for multi-axle vehicle based on adaptive MPC. In Proceedings of the 4th International Conference on Computer, Control and Robot (ICCCR), Shanghai, China, 6–8 January 2024; pp. 183–190. [Google Scholar] [CrossRef]
- Ibrahim, F.; Misro, M.Y.; Ramli, A.; Ali, J. Maximum safe speed estimation using planar quintic Bézier curve with C2 continuity. In AIP Conference Proceedings; AIP Publishing: Melville, NY, USA, 2017; Volume 1870, No. 1; p. 050006. [Google Scholar] [CrossRef]
- Konak, A.; Coit, D.W.; Smith, A.E. Multi-objective optimization using genetic algorithms: A tutorial. Reliab. Eng. Syst. Saf. 2006, 91, 992–1007. [Google Scholar] [CrossRef]
- Sun, Z.; Dai, P.; Tian, Z.; Meng, H.; Wang, W. Steering modeling and off-tracking suppression control of train-like automobiles. IFAC-PapersOnLine 2022, 55, 223–228. [Google Scholar] [CrossRef]
Disclaimer/Publisher’s Note: The statements, opinions and data contained in all publications are solely those of the individual author(s) and contributor(s) and not of MDPI and/or the editor(s). MDPI and/or the editor(s) disclaim responsibility for any injury to people or property resulting from any ideas, methods, instructions or products referred to in the content. |
© 2025 by the authors. Licensee MDPI, Basel, Switzerland. This article is an open access article distributed under the terms and conditions of the Creative Commons Attribution (CC BY) license (https://creativecommons.org/licenses/by/4.0/).








